Sign in to use this feature.

Years

Between: -

Subjects

remove_circle_outline
remove_circle_outline
remove_circle_outline
remove_circle_outline
remove_circle_outline
remove_circle_outline
remove_circle_outline
remove_circle_outline
remove_circle_outline

Journals

remove_circle_outline
remove_circle_outline
remove_circle_outline

Article Types

Countries / Regions

remove_circle_outline
remove_circle_outline
remove_circle_outline
remove_circle_outline

Search Results (247)

Search Parameters:
Keywords = Y Balance Test

Order results
Result details
Results per page
Select all
Export citation of selected articles as:
23 pages, 4387 KB  
Article
Behavioral, Biochemical, and In Silico Evidence for Extraction-Dependent Neuroprotective Effects of Citrus limon Leaf Essential Oils in Scopolamine-Challenged Zebrafish
by Salwa Bouabdallah, Ahmed Kouki, Mona H. Ibrahim, Ion Brinza, Razvan Stefan Boiangiu, Mossadok Ben-Attia, Lucian Hritcu and Amr Amin
Pharmaceuticals 2026, 19(3), 458; https://doi.org/10.3390/ph19030458 - 11 Mar 2026
Viewed by 128
Abstract
Background/Objectives: Citrus limon leaf essential oil (EO) is traditionally used for its calming and cognitive-enhancing properties. Although the chemical composition of C. limon leaf essential oils (EOs) obtained by means of hydrodistillation (HD) and solvent-free microwave extraction (SFME) has been previously characterized, [...] Read more.
Background/Objectives: Citrus limon leaf essential oil (EO) is traditionally used for its calming and cognitive-enhancing properties. Although the chemical composition of C. limon leaf essential oils (EOs) obtained by means of hydrodistillation (HD) and solvent-free microwave extraction (SFME) has been previously characterized, the influence of the extraction method on their neuroprotective efficacy and dose–response effects remains insufficiently explored. In the present study, EOs obtained by means of HD (CEH) and SFME (CEM) were compared for their behavioral, biochemical, and in silico neuroprotective effects against scopolamine (SCOP)-induced cognitive and anxiety-like impairments in adult zebrafish. Methods: Adult Tübingen zebrafish were exposed to CEH or CEM via immersion at 10, 100, and 150 µL/L for 19 days prior to SCOP challenge (100 µM). Cognitive performance was evaluated using the Y-maze and novel object recognition (NOR) tests, while anxiety-like behavior was assessed using the novel tank test (NTT) and novel approach test (NAT). Brain acetylcholinesterase (AChE) activity and oxidative stress markers were quantified. Molecular docking analyses were conducted to investigate interactions between major EO constituents and AChE and monoamine oxidase A (MAO A). Results: Both CEH and CEM significantly attenuated SCOP-induced memory deficits, improved spontaneous alternation and NOR discrimination, and reduced anxiety-like behaviors. These effects were associated with AChE inhibition and restoration of redox balance. Notably, CEM generally exhibited stronger neurobehavioral and biochemical effects at comparable doses. In silico analyses supported these findings, revealing favorable binding affinities of key EO constituents toward cholinergic and monoaminergic targets. Conclusions: This study demonstrates that the extraction method influences the neuroprotective efficacy of C. limon leaf EOs. While both CEH and CEM exert antioxidant and cholinergic modulatory effects, CEM shows enhanced neuroprotective potential in a zebrafish model of SCOP-induced cognitive impairment, supporting the relevance of extraction-dependent biological profiling in EO-based neurotherapeutic research. Full article
Show Figures

Figure 1

19 pages, 527 KB  
Article
Concentric Versus Eccentric Exercise-Induced Fatigue on Proprioception, Motor Control and Performance of the Upper Limb in Handball Players: A Retrospective Study
by Stelios Hadjisavvas, Michalis A. Efstathiou, Irene-Chrysovalanto Themistocleous and Manos Stefanakis
Life 2026, 16(3), 429; https://doi.org/10.3390/life16030429 - 6 Mar 2026
Viewed by 188
Abstract
Background: Upper-limb performance in handball depends on accurate shoulder sensorimotor control under high loads and fatigue. This study examined between-cohort differences associated with concentric versus eccentric exercise-induced fatigue in shoulder proprioception, kinesthesia, functional stability, and isometric force output in professional male handball players. [...] Read more.
Background: Upper-limb performance in handball depends on accurate shoulder sensorimotor control under high loads and fatigue. This study examined between-cohort differences associated with concentric versus eccentric exercise-induced fatigue in shoulder proprioception, kinesthesia, functional stability, and isometric force output in professional male handball players. Methods: This was a retrospective, quasi-experimental (non-randomized) between-cohort comparison of two previously collected cohorts who completed either a concentric (n = 46) or eccentric (n = 33) fatigue protocol, with pre- and post-fatigue assessments of joint repositioning sense (absolute angular error, AAE), threshold to detection of passive movement (TTDPM), Y Balance Test Upper Quarter (YBT-UQ), and the Athletic Shoulder (ASH) test. Results: Fatigue significantly increased AAE across all tested angles (Time: all p < 0.001), with a contraction-specific effect at end-range internal rotation (IR45°), where AAE increased more after concentric than eccentric fatigue (Time × Fatigue Type: p = 0.017; Δ = +1.34° (+61.8%) vs. +0.20° (+7.4%)). TTDPM increased after fatigue (p = 0.001) with no interaction (p = 0.968). YBT-UQ performance decreased after fatigue for all dominant-limb outcomes and for non-dominant inferolateral, superolateral, and composite scores (all p ≤ 0.018), but not for non-dominant anteromedial reach (p = 0.986); no Time × Fatigue Type interactions were detected for YBT-UQ outcomes (all p > 0.05). ASH force output decreased across all positions and both limbs (all p ≤ 0.002), with the dominant-limb Y position showing a greater decline following eccentric fatigue (Time × Fatigue Type: p = 0.030; e.g., ASH Y dominant Δ = −0.49 (−4.6%) vs. −1.43 N·kg−1 (−13.3%)). Conclusions: Exercise-induced fatigue impairs shoulder sensorimotor function and upper-limb performance in handball. Contraction-mode differences were small and task-specific in this between-cohort comparison, emerging primarily at end-range proprioception and selected isometric strength positions. These findings may inform the design of training programs that emphasize fatigue-resistant sensorimotor control and end-range strength, while causal inferences regarding contraction mode are not warranted given the non-randomized design. Full article
(This article belongs to the Special Issue Sports Biomechanics, Injury, and Physiotherapy)
Show Figures

Figure 1

18 pages, 3350 KB  
Article
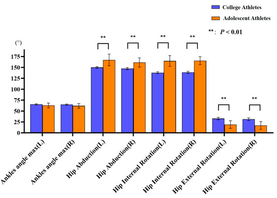
Physical Functional Characteristics of Elite Adolescent and Collegiate Male Soccer Athletes: A Comparative Study Using Medical Check-Ups
by Tingxu Zhang, Hanyan Yan, Ziwen Mu, Ang Ni, Haoxiang Wang, Zhiqiang Han, Kazuhiro Imai and Xiao Zhou
J. Funct. Morphol. Kinesiol. 2026, 11(1), 107; https://doi.org/10.3390/jfmk11010107 - 5 Mar 2026
Viewed by 175
Abstract
Background: Physical functional capacity plays a critical role in sports performance and changes markedly from adolescence to adulthood. This study aimed to compare the physical functional characteristics between adolescent and collegiate soccer athletes. Methods: Fifty elite male soccer athletes (30 adolescents, 20 college [...] Read more.
Background: Physical functional capacity plays a critical role in sports performance and changes markedly from adolescence to adulthood. This study aimed to compare the physical functional characteristics between adolescent and collegiate soccer athletes. Methods: Fifty elite male soccer athletes (30 adolescents, 20 college students) were assessed for joint range of motion, muscle flexibility, dynamic balance, and trunk functional capacity. Results: Adolescent athletes achieved significantly greater general joint laxity score than collegiate athletes (p = 0.01), with significantly greater hip range of motion across all planes (abduction, internal rotation, and external rotation; all p < 0.01). College athletes had significantly lower SLR degree (left: p < 0.01, right: p < 0.05) but significantly greater degrees on passive Ely’s test (p < 0.01) than adolescent athletes. Collegiate athletes delivered significantly superior dynamic balance performance in the Y-balance test, particularly in the posterolateral and posteromedial directions (all p < 0.05). Unexpectedly, trunk functional capacity was significantly lower in collegiate athletes compared with adolescents (p < 0.01). Limb asymmetry was observed in both groups: collegiate athletes showed asymmetry only in the anterior reach direction of the Y-balance test (p = 0.018), whereas adolescents exhibited asymmetry across multiple joints (ankle, hip, hamstrings, and quadriceps; all p < 0.05) and in the posterolateral direction of the Y-balance test (p < 0.01). Conclusions: Adolescent athletes demonstrated significantly superior joint range of motion and lower limb flexibility, whereas collegiate players exhibited better balance performance, indicating distinct functional profiles between the two cohorts, which may be associated with differences in training experience and developmental stages. Full article
(This article belongs to the Section Functional Anatomy and Musculoskeletal System)
Show Figures

Figure 1

20 pages, 2140 KB  
Article
Serial Changes in Knee Muscle Strength and Functional Performance After Anterior Cruciate Ligament Reconstruction: A Retrospective Cohort Study of 107 Patients
by Seung Ik Cho, Ju Won Bae, Youngwook Sim, Dhong Won Lee, Byung Sun Park, Yu Bin Lee, Hun-Young Park, Eunjoo Lee, Sang Jin Yang and Joon Kyu Lee
Medicina 2026, 62(3), 489; https://doi.org/10.3390/medicina62030489 - 5 Mar 2026
Viewed by 232
Abstract
Background and Objectives: Anterior cruciate ligament (ACL) reconstruction (ACLR) is widely performed to restore knee stability and facilitate return to activity. However, recovery of muscle strength, balance, functional performance, and patient-reported outcomes does not occur uniformly over time. The longitudinal recovery trajectory [...] Read more.
Background and Objectives: Anterior cruciate ligament (ACL) reconstruction (ACLR) is widely performed to restore knee stability and facilitate return to activity. However, recovery of muscle strength, balance, functional performance, and patient-reported outcomes does not occur uniformly over time. The longitudinal recovery trajectory across various functional areas during the first year after ACLR remains insufficiently characterized. Materials and Methods: We included 107 patients who underwent isolated unilateral ACLR using a hamstring autograft. Isokinetic knee extensor and flexor strength, postural stability, Y-Balance Test (YBT) performance, and subjective knee function scores were assessed post-injury (approximately six weeks after ACL injury and prior to ACLR) and at 3, 6, and 12 months postoperatively. All patients followed a standardized postoperative rehabilitation protocol. Results: Knee extensor strength deficit worsened at 3 months and remained present at 12 months. In contrast, knee flexor strength deficit decreased progressively and reached near-symmetrical values by 12 months. Sway path length decreased significantly over time in both limbs. In the operated limb, improvements plateaued after 6 months, and limb symmetry indices approached symmetry by 12 months. YBT limb symmetry indices demonstrated a non-linear recovery pattern. Anterior, posterolateral, and composite scores decreased at 3 months, recovered to post-injury levels by 6 months, and showed significant improvement at 12 months. Posteromedial reach did not decline at 3 months and improved significantly only at 12 months. Subjective knee function scores (Lysholm and IKDC) did not differ significantly between post-injury and 3-month assessments, but improved significantly from 6 months onward. Tegner activity scores gradually increased and returned to pre-injury levels by 12 months. Conclusions: Recovery after ACLR is prolonged and non-synchronous. Quadricep strength remains incompletely restored at 12 months, whereas hamstring strength recovers more favorably. Balance, functional performance, and subjective outcomes improve mainly after 6 months. These findings support the need for prolonged rehabilitation and serial, multidimensional functional assessments beyond time-based criteria. Full article
(This article belongs to the Special Issue Anterior Cruciate Ligament (ACL) Injury)
Show Figures

Figure 1

21 pages, 19144 KB  
Article
Microstructural and Mechanical Properties of Y2O3 Modified Ti6Al4V Alloy Fabricated by Laser Powder Bed Fusion
by Jinyu Zhu, Yangping Dong, Huihua Zhang, Shuming Zhao, Guonan Ma, Wentian Zhao, Renyi Lu, Pengwei Yang, Guang Yang, Xin Zhang, Yifei Li, Dongzi Wu, Liang Zhong and Peng Xu
Coatings 2026, 16(3), 315; https://doi.org/10.3390/coatings16030315 - 5 Mar 2026
Viewed by 250
Abstract
A Ti6Al4V alloy fabrication via laser powder bed fusion (L-PBF) leads to the formation of coarse columnar β grains that give rise to anisotropic mechanical properties and inadequate strength. Incorporating the rare-earth oxide, yttrium oxide (Y2O3), has proven an [...] Read more.
A Ti6Al4V alloy fabrication via laser powder bed fusion (L-PBF) leads to the formation of coarse columnar β grains that give rise to anisotropic mechanical properties and inadequate strength. Incorporating the rare-earth oxide, yttrium oxide (Y2O3), has proven an effective strategy in enhancing the mechanical performance of Ti6Al4V alloys. Nevertheless, the critical Y2O3 content required to achieve an optimal strength–ductility balance in L-PBF Ti6Al4V has not been systematically determined. To address these critical gaps, this study, for the first time, systematically investigates the effect of various Y2O3 contents on the microstructural evolution and mechanical properties of Ti6Al4V alloys fabricated via L-PBF. The results demonstrate that a Y2O3 addition of 0.2 wt.% produces β grains and α phases with average sizes of 61.6 and 7.6 μm, respectively. Transmission electron microscopy observations reveal that Y2O3 nanoparticles, together with elemental Y nanoparticles formed by reduction, are distributed both within the α-Ti matrix and along phase boundaries. This distribution effectively reinforces grain boundaries and promotes heterogeneous nucleation, thereby refining the microstructure. Mechanical property tests indicate that the alloy strength significantly improves as the Y2O3 content increases. Specifically, the alloy with 0.2 wt.%Y2O3 exhibits a tensile strength of 1106 MPa, a yield strength of 1074 MPa, and an elongation of 10.7%. This study proposes an innovative rare-earth strengthening method for refining the microstructure of L-PBF-fabricated titanium alloys and comprehensively enhancing their mechanical properties. Full article
Show Figures

Figure 1

14 pages, 1007 KB  
Article
Immediate Effect of Rigid Taping and Patella-Stabilizing Brace on Proprioception, Functionality, and Balance in Patients with Patellofemoral Pain Syndrome: A Randomised Controlled Trial
by Ömer Naci Ergin, Ayşenur Erekdağ, İrem Nur Şener, Pelin Vural and Yıldız Analay Akbaba
J. Clin. Med. 2026, 15(5), 1936; https://doi.org/10.3390/jcm15051936 - 4 Mar 2026
Viewed by 151
Abstract
Background: Patellofemoral pain syndrome (PFPS) is a common musculoskeletal disorder that involves various biomechanical factors, including the altered positioning of the patella, weakness of the lower extremity muscles, delayed activation of the vastus medialis muscle, and excessive pronation of the foot. Although [...] Read more.
Background: Patellofemoral pain syndrome (PFPS) is a common musculoskeletal disorder that involves various biomechanical factors, including the altered positioning of the patella, weakness of the lower extremity muscles, delayed activation of the vastus medialis muscle, and excessive pronation of the foot. Although the short- and long-term effects of external support among the recommended conservative treatment methods for PFPS have been examined, there remains a lack of consensus regarding their impacts. This study was conducted to investigate the immediate effects of braces and rigid taping applied to control pain on proprioception, functional status, and balance in patients with PFPS, and to compare these outcomes with normative values obtained from healthy individuals. Methods: The study included 18 patients with PFPS and 18 healthy individuals who met the inclusion criteria. Through randomization of the intervention sequence, patients were evaluated under conditions of rigid taping, support, or without any support. Their pain levels before and after the application were assessed using the Visual Analog Scale; their functional status was evaluated with the Kujala Patellofemoral Scoring, the 10-Step Up Test, and the Squat; their balance performance was measured using the Y-Balance Test and the Single Leg Stance Test; and their proprioception was assessed with the Joint Position Sense Test. Results: It has been determined that rigid taping and bracing have similar effects in the immediate management of pain, proprioception, functional status, and balance issues in patients with PFPS. The interventions were observed to bring patients’ static balance and proprioception parameters closer to the values seen in healthy individuals. Conclusions: Rigid taping and bracing are both effective interventions in the management of PFPS, offering benefits such as pain relief, prevention of proprioceptive deficits, mitigation of balance impairments, and enhancement of functional outcomes. The selection of the most appropriate modality should be based on the individual patient’s characteristics and tolerance levels. Full article
(This article belongs to the Section Orthopedics)
Show Figures

Figure 1

30 pages, 2056 KB  
Article
Impact of Biochar and Superabsorbent Polymer at High and Low Soil Water Content on Physiological and Biochemical Response of Chenopodium quinoa Willd. (cv. UDEC-5)
by Natalie Kruspe and Hans-Werner Koyro
Environments 2026, 13(3), 136; https://doi.org/10.3390/environments13030136 - 1 Mar 2026
Viewed by 462
Abstract
In agriculture, soil amendments like compost, manure, superabsorbent polymers (SAP) and biochar (BC) are already in use to mitigate the effects of water shortage and to obtain a higher yield and survivability. The present study focuses on the impact of BC and SAP [...] Read more.
In agriculture, soil amendments like compost, manure, superabsorbent polymers (SAP) and biochar (BC) are already in use to mitigate the effects of water shortage and to obtain a higher yield and survivability. The present study focuses on the impact of BC and SAP under moderate and reduced soil water content (SWC) on the physiological and biochemical response of Chenopodium quinoa Willd. (cv. UDEC-5), a naturally drought-resistant and strategic crop in arid regions, with the aim of further improving its resilience and biomass production. Plants were grown in the presence or absence (control) of SAP (1% or 0.1% g/100 g SAP) or BC (3% g/100 g BC) by taking into account the smallest possible amount of irrigation necessary for optimal growth of the control. Sixty-five days after sowing, the reduced watering approaches started. The irrigation amount was reduced slowly until plants without any amendment showed a significant reduction in CO2/H2O gas exchange and further significant changes in 23 morphological, physiological and biochemical symptoms of water shortage. Each amendment already caused individual plant response in wet conditions: The soil amendments of SAP (1% and 0.1%) and BC had no significant effect on biomass production but caused changes in PS I (portion of oxidized and open centers in PS I), the C/N ratio and N content. The addition of SAP (0.1% and 1%) led to a decrease in gH+, ECStmAu × gH+, RD, RL, the Ci/Catm ratio and ETR/Agross ratio and to an increase in water use efficiency (WUE), especially in the 0.1% SAP treatment. In moderate conditions, 0.1% SAP and 3% BC caused a significant increase in both the LOP and C/N ratio. In the moderate treatments, the application of 0.1% SAP promoted an increased Anet, while 3% BC promoted a significant reduction in malondialdehyde (MDA). The results of the present quinoa experiment indicate the drought avoidance mechanism of the control under low SWC. The reduced transpiration led to increased WUE due to the efficient use of the substomatal CO2 reservoir under low Cs and low E. It could also be confirmed that quinoa plants balanced low soil water potential by the accumulation of compatible solutes to lower the LWP and LOP. Drought led, especially in leaves in the 1% SAP treatment, to significant reductions in CO2/H2O gas exchange (Anet, RD), decreases in Y (II) and ETR in PS II, and an increase in the ETR/A ratio and over-reduced centers in PS I, pointing to an increased appearance of reactive oxygen species (ROS) in the chloroplasts. The latter change was indicated by higher levels of lipid peroxidation (MDA). It could be shown that the response of the test species Chenopodium quinoa to the addition of BC and SAP proved to be highly adaptable. The plant reacted in a very coordinated and specific way to both the danger of oversupply of SAP soil amendments under water shortage conditions and an effective adaptation to a limited water supply with 3% BC and 0.1% SAP by increasing WUE and proline content. However, BC also had a mitigating effect on the level of reactive oxygen species (ROS). It can be assumed that this effect is based on a more plant-compatible, less one-sided ion composition of BC. The results presented indicate that SAP and BC can have an impact on the water and nutrient accessibility for plants. Therefore, optimal biomass production and plant response can only be reached if plant soil interactions and competition between SAP, BC and the plant roots are taken into account when planning for climate-resilient, water-saving agriculture. Full article
Show Figures

Figure 1

17 pages, 1993 KB  
Article
Gami-Guibitang Attenuates Anxiety-like Behaviors and Modulates Hippocampal Synaptic Signaling in a Valproic Acid-Induced Mouse Model of Autism
by Ji Hye Yoon, Duk Jin Jung, Mikyung Kim, Young-Nam Kim, Minji Shim, Sung Youn Lee, Cheol Shin, Sangeun Im, Sungho Maeng and Jihwan Shin
Brain Sci. 2026, 16(3), 259; https://doi.org/10.3390/brainsci16030259 - 25 Feb 2026
Viewed by 274
Abstract
Background: Autism spectrum disorder (ASD) is a neurodevelopmental condition characterized by social deficits, repetitive behaviors, and heightened anxiety. Despite extensive research, effective interventions targeting core symptoms remain limited. Gami-Guibitang (GBT), a traditional herbal formula, has been clinically prescribed for anxiety-related symptoms and cognitive [...] Read more.
Background: Autism spectrum disorder (ASD) is a neurodevelopmental condition characterized by social deficits, repetitive behaviors, and heightened anxiety. Despite extensive research, effective interventions targeting core symptoms remain limited. Gami-Guibitang (GBT), a traditional herbal formula, has been clinically prescribed for anxiety-related symptoms and cognitive complaints, yet its effects on ASD-associated behavioral and molecular abnormalities have not been fully elucidated. Objective: This study aimed to evaluate the anxiolytic and neuroregulatory effects of GBT in a valproic acid (VPA)-induced ASD mouse model, focusing on behavioral outcomes and hippocampal synaptic protein expression. Methods: Pregnant C57BL/6N mice received a single intraperitoneal injection of VPA (500 mg/kg) at embryonic day 12.5. Male offspring were administered GBT (150 mg/kg, p.o.) twice daily for 4 weeks from postnatal day 21 (PND 21). These mice were behaviorally evaluated by the open-field test, elevated plus maze, marble-burying test, Y-maze, three-chamber social interaction test, and Morris water maze. Western blot analysis was conducted to examine hippocampal expression of phosphorylated and total CREB and GluR1, PI3K/Akt signaling components, as well as GABRA1 and GABRB1. Results: VPA-exposed offspring exhibited increased anxiety-like behaviors, altered repetitive behaviors, dysregulated exploratory activity, and impaired spatial learning, and reduced spontaneous alternation performance in the Y-maze. GBT reduced anxiety-like behaviors in the elevated plus maze and marble burying tests, partially improved spatial learning acquisition in the Morris water maze, and normalized excessive locomotor activity, without significantly affecting short-term working memory performance. At the molecular level, GBT significantly attenuated VPA-induced hyperphosphorylation of CREB, GluR1, PI3K, and Akt, indicating suppression of aberrant synaptic signaling rather than global enhancement. In addition, GBT increased GABRA1 expression toward control levels and enhanced GABRB1 expression beyond baseline, suggesting selective modulation of GABAergic receptor subunit composition rather than simple normalization. Conclusions: These findings provide preclinical evidence that GBT alleviates anxiety-like behavior and modulates hippocampal synaptic signaling disrupted by prenatal VPA exposure. By attenuating aberrant excitatory signaling and selectively regulating GABAergic receptor balance, GBT may represent a multi-target herbal candidate for modulating ASD-associated emotional dysregulation and domain-specific cognitive dysfunction, rather than acting as a broad cognitive enhancer. Full article
(This article belongs to the Section Molecular and Cellular Neuroscience)
Show Figures

Figure 1

19 pages, 1769 KB  
Article
Adaptogenic and Neuroprotective Effects of the Thai Herbal Formula AYW-KK-04 Against Chronic Stress-Induced Cognitive Impairment
by Pathomporn Saisud, Orawan Monthakantirat, Prathan Luecha, Suppachai Tiyaworanant, Abdulwaris Mading, Yutthana Chotritthirong, Sunanthra Ruangrit, Nawarat Jintanamaneerat, Jarurat Trakanchan, Juthamart Maneenet, Suresh Awale and Yaowared Sumanont
Pharmaceuticals 2026, 19(2), 339; https://doi.org/10.3390/ph19020339 - 21 Feb 2026
Viewed by 521
Abstract
Background/Objectives: Unpredictable chronic mild stress exposure is a primary driver of cognitive decline, largely mediated by hypothalamic–pituitary–adrenal (HPA) axis dysregulation and subsequent oxidative neurotoxicity. In traditional Thai medicine, the AYW-KK-04 formulation—a complex polyherbal remedy—has long been utilized as a “Ya Aayu-Wattana” to restore [...] Read more.
Background/Objectives: Unpredictable chronic mild stress exposure is a primary driver of cognitive decline, largely mediated by hypothalamic–pituitary–adrenal (HPA) axis dysregulation and subsequent oxidative neurotoxicity. In traditional Thai medicine, the AYW-KK-04 formulation—a complex polyherbal remedy—has long been utilized as a “Ya Aayu-Wattana” to restore vitality and elemental balance, yet its neurobiological mechanisms remain poorly understood. This study aimed to evaluate the adaptogenic and neuroprotective potential of AYW-KK-04 against cognitive impairment. Methods: Unpredictable Chronic Mild Stress (UCMS)-induced cognitive impairment in a ICR mouse model. Total phenolic and flavonoid contents and antioxidant capacity (ABTS assay) of AYW-KK-04 were determined. Behavioral assessments using Y-maze test, novel object recognition test (NORT), and Morris Water Maze (MWM) test. BDNF, CREB, Nrf and Keap1 mRNA gene expression, SOD and CAT enzymatic activity and lipid peroxidation assay were investigated to clarify the mechanisms of action. Moreover, HPLC chromatography was studied to quantify the active compounds of the AYW-KK-04 formulation. Results: It demonstrated that oral administration of AYW-KK-04 significantly reversed UCMS-induced memory deficits. At the molecular level, AYW-KK-04 effectively upregulated BDNF and CREB mRNA expression in the frontal cortex and hippocampus, suggesting a restoration of synaptic plasticity. Simultaneously, the formulation activated the Nrf2/Keap1 signaling pathway, leading to enhanced SOD and CAT enzymatic activities and a marked reduction in MDA-mediated lipid peroxidation. HPLC analysis confirmed the presence and consistency of key bioactive constituents. Conclusions: These findings suggest that the adaptogenic properties of AYW-KK-04 arise from its dual capacity to reinforce neurotrophic support and bolster the endogenous antioxidant shield, providing a mechanistic support for the traditional use of AYW-KK-04 as an adaptogenic formulation and highlighting its potential as a multi-target intervention for stress-related cognitive dysfunction. Full article
(This article belongs to the Section Natural Products)
Show Figures

Graphical abstract

15 pages, 776 KB  
Article
The Effects of Core Training on Selected Physical Performance Parameters in Judo Athletes
by Müjde Atıcı, Soner Akgün, Akan Bayrakdar, Esra Korkmaz Salkılıç, Berna Anıl, Enes Akdemir, Dilara Kumru and Ali Kerim Yılmaz
Appl. Sci. 2026, 16(4), 2013; https://doi.org/10.3390/app16042013 - 18 Feb 2026
Cited by 1 | Viewed by 254
Abstract
Background: The purpose of this study was to examine the effects of an 8-week core training program on the lower-extremity, upper-extremity, and core strength of judokas. Methods: This study is based on a pre-test/post-test experimental design involving repeated measures and a control group. [...] Read more.
Background: The purpose of this study was to examine the effects of an 8-week core training program on the lower-extremity, upper-extremity, and core strength of judokas. Methods: This study is based on a pre-test/post-test experimental design involving repeated measures and a control group. The study was conducted with the voluntary participation of 20 judo athletes (10 females and 10 males) aged between 18 and 22 years (mean age: 18.60 years; height: 163 cm; body weight: 59.40 kg; BMI: 22.30 kg/m2). Participants were divided into two groups: a control group that continued routine judo training and an experimental group that performed core training in addition to routine judo training. Participants performed Medial Push-Ups (MPUs) to assess upper-extremity muscle strength; sit-ups and Plank Tests (PTs) to assess core strength; five different Single-Leg Hop Tests (SLHTs) to assess lower-extremity muscle strength; and the Y Balance Test (YBT) to assess balance. These tests were conducted before and after the 8-week core training program. Results: PT performance improved significantly in both groups, with a significant group × time interaction (p < 0.001, η2p = 0.623), indicating greater improvement in the core training group compared to the control group. No significant interaction was observed for MPU and Sit-up tests; however, a significant main effect of time was detected for MPU (p = 0.032, η2p = 0.231), suggesting general improvements in both groups. For SLHT parameters, no significant group × time interactions were detected (p > 0.050); improvements were observed over time across groups. In balance performance, a significant group × time interaction was found only in the NDS postero-medial (PM) direction (p = 0.020, η2p = 0.267), whereas the other parameters demonstrated time-related improvements without between-group differences. Conclusions: Core stability training resulted in greater improvements in PT performance and influenced balance performance in the NDS PM direction. Improvements observed in other performance parameters appeared to be time-related rather than intervention-specific. Overall, core stability training may contribute to core endurance and certain aspects of lower-extremity function in judokas. Full article
(This article belongs to the Special Issue Human Performance in Sports and Training)
Show Figures

Figure 1

34 pages, 1280 KB  
Article
Social Acceptance of Self-Driving Vehicles Across Generations and Genders: An Empirical Analysis
by Patrik Viktor and Gábor Kiss
World Electr. Veh. J. 2026, 17(2), 78; https://doi.org/10.3390/wevj17020078 - 5 Feb 2026
Viewed by 460
Abstract
The rapid development of autonomous vehicle technologies represents a major transformation in contemporary transportation systems; however, their successful integration depends not only on technological maturity but also on societal acceptance. This study investigates public attitudes toward autonomous vehicles, with particular emphasis on generational [...] Read more.
The rapid development of autonomous vehicle technologies represents a major transformation in contemporary transportation systems; however, their successful integration depends not only on technological maturity but also on societal acceptance. This study investigates public attitudes toward autonomous vehicles, with particular emphasis on generational and gender-based differences, aiming to identify key factors influencing acceptance, usage intention, and purchase-related decision-making. A quantitative, cross-sectional research design was applied using an online questionnaire survey conducted between January and September 2025. The final sample consisted of 655 respondents, with a balanced gender distribution and representation across multiple generational cohorts. Statistical analyses included one-way and two-way analysis of variance (ANOVA), complemented by non-parametric tests when distributional assumptions were not fully met. The results indicate significant generational differences across all examined dimensions. Younger generations, particularly Generations Y and Z, exhibit significantly higher willingness to try autonomous vehicles, greater openness to new technologies, and stronger consideration of autonomous functions in vehicle purchasing decisions. Gender-based differences were also identified, with men generally demonstrating higher technological openness than women. Moreover, a significant interaction effect between generation and gender was found, suggesting that gender differences vary across generational groups and are less pronounced among younger cohorts. Despite these contributions, the study has several limitations. Its cross-sectional design captures attitudes at a single point in time and does not allow causal inference or longitudinal analysis of attitude change. The use of self-reported, hypothetical measures may not fully reflect actual behaviour in real-world adoption scenarios. Additionally, online data collection may introduce self-selection bias, favouring respondents with higher digital literacy and technological interest. Overall, the findings highlight the importance of considering demographic heterogeneity when developing, communicating, and regulating autonomous vehicle technologies, while also underscoring the need for longitudinal and behaviour-based research in future studies. Full article
(This article belongs to the Section Marketing, Promotion and Socio Economics)
Show Figures

Figure 1

14 pages, 15800 KB  
Article
Effect of Heat Treatment Process on Microstructure and Mechanical Properties of As-Cast Mg-8Gd-1Y-2Sm-1.2Zn-0.5Mn Alloy
by Zirui Qiao, Feng Wang, Chun Xue, Chaojie Che and Zhibing Chu
Metals 2026, 16(2), 145; https://doi.org/10.3390/met16020145 - 25 Jan 2026
Cited by 1 | Viewed by 292
Abstract
This study investigates the as-cast Mg-8Gd-1Y-2Sm-1.2Zn-0.5Mn (wt.%) alloy with high rare-earth content. Solution treatments were conducted at 480 °C, 520 °C, and 560 °C for 6–10 h. Microstructure and mechanical properties were characterized using OM, XRD, SEM-EDS, and compression testing. The as-cast alloy [...] Read more.
This study investigates the as-cast Mg-8Gd-1Y-2Sm-1.2Zn-0.5Mn (wt.%) alloy with high rare-earth content. Solution treatments were conducted at 480 °C, 520 °C, and 560 °C for 6–10 h. Microstructure and mechanical properties were characterized using OM, XRD, SEM-EDS, and compression testing. The as-cast alloy shows a dendritic structure with continuous grain-boundary phases (Mg5RE, W, and LPSO), exhibiting a compressive yield strength of 145 MPa, ultimate strength of 238 MPa, and fracture strain of 12.66%. Solution temperature has a critical influence on phase dissolution and grain refinement. Notably, the overall plasticity of the material did not show a significant dependence on the specific solution temperature or holding time within the studied range. Treatment at 520 °C produces the most balanced microstructure: clear grain boundaries, extensive phase dissolution, refined grains, and enhanced solid-solution strengthening. Specifically, 520 °C for 10 h results in the finest and most uniformly distributed residual phases, a homogeneous matrix, the highest compressive strength, and suitable conditions for subsequent aging, thus being identified as optimal. Fractography reveals a transition from quasi-cleavage in the as-cast state toward enhanced ductility after solution treatment. However, small cleavage facets after 10 h are attributed to stress concentrations from rare-earth-rich regions and reduced deformation compatibility due to retained LPSO phases. Full article
Show Figures

Figure 1

17 pages, 1715 KB  
Article
Subcytotoxic Exposure to Avobenzone and Ethylhexyl Salicylate Induces microRNA Modulation and Stress-Responsive PI3K/AKT and MAPK Signaling in Differentiated SH-SY5Y Cells
by Agnese Graziosi, Luca Ghelli, Camilla Corrieri, Lisa Iacenda, Maria Chiara Manfredi, Sabrina Angelini, Giulia Sita, Patrizia Hrelia and Fabiana Morroni
Int. J. Mol. Sci. 2026, 27(3), 1134; https://doi.org/10.3390/ijms27031134 - 23 Jan 2026
Viewed by 368
Abstract
Avobenzone (AVO) and ethylhexyl salicylate (EHS) are widely used organic UV filters with distinct photochemical properties and reported biological effects. Experimental and predictive evidence suggests that some lipophilic UV filters may reach systemic circulation and potentially cross the blood–brain barrier (BBB), raising concerns [...] Read more.
Avobenzone (AVO) and ethylhexyl salicylate (EHS) are widely used organic UV filters with distinct photochemical properties and reported biological effects. Experimental and predictive evidence suggests that some lipophilic UV filters may reach systemic circulation and potentially cross the blood–brain barrier (BBB), raising concerns about possible central nervous system effects, although direct evidence for AVO and EHS remains limited. This study evaluated the effects of subcytotoxic concentrations (0.01–1 µM) of AVO and EHS on differentiated SH-SY5Y human neuroblastoma cells, focusing on early stress-related molecular responses. Cell viability and reactive oxygen species production were not significantly affected at any tested concentration. Integrated analyses of microRNA, gene, and protein expression revealed modest and variable modulation of miR-200a-3p and miR-29b-3p. Western blot analysis showed increased phosphorylation of AKT and ERK, no significant changes in mTOR activation, and an increased Bax/Bcl-2 ratio. Overall, these findings indicate that AVO and EHS trigger an early stress-adaptive response involving PI3K/AKT and MAPK/ERK signaling and modulation of apoptosis-related pathways. Such responses reflect a dynamic balance between cellular adaptation and pro-apoptotic signaling, which may become relevant under prolonged or higher-intensity exposure conditions. Full article
(This article belongs to the Section Molecular Toxicology)
Show Figures

Figure 1

21 pages, 1016 KB  
Article
Test–Retest Reliability and Agreement of Postural Control Variables Within and Between Single-Leg Squat Variations
by Vasileios Chatziilias, Ioannis Kafetzakis and Dimitris Mandalidis
Appl. Sci. 2026, 16(2), 1147; https://doi.org/10.3390/app16021147 - 22 Jan 2026
Cited by 1 | Viewed by 287
Abstract
Single-leg squats are commonly used to assess lower-limb strength and alignment; however, their application for evaluating postural control remains underexplored. This study assessed the reliability and agreement of postural control measures within and between unipedal squat variations. Twenty-eight physically active adults performed a [...] Read more.
Single-leg squats are commonly used to assess lower-limb strength and alignment; however, their application for evaluating postural control remains underexplored. This study assessed the reliability and agreement of postural control measures within and between unipedal squat variations. Twenty-eight physically active adults performed a conventional single-leg squat (CSLSQ), the anterior excursion of the Y-Balance Test (ANYBT), and a forward step-down (FRSTD) with both limbs on two occasions, 5–7 days apart. The mean values of five trials were analyzed for center-of-pressure (COP) 95% confidence ellipse area (95%CEA), path length (PL), velocity (VL), and mediolateral and anteroposterior variability (RMS-X and RMS-Y). Most COP variables demonstrated good-to-excellent reliability (ICC = 0.780–0.948), whereas RMS-X showed lower reliability (ICC = 0.367–0.803) and higher measurement error across limbs. The FRSTD demonstrated high ICCs (0.780–0.948) and low measurement error, comparable to the CSLSQ (0.794–0.940) and generally higher than the ANYBT (0.790–0.895), regardless of limb. Overall, the dominant limb exhibited higher ICCs and lower measurement error than the non-dominant limb. Inter-task agreement was greatest between the CSLSQ and FRSTD, primarily on the dominant limb, indicating greater potential interchangeability for selected COP metrics (95% CEA, VL, and RMS-Y). These findings may assist clinicians and sports scientists in selecting appropriate single-leg squat tasks and COP measures for assessment. Full article
Show Figures

Figure 1

15 pages, 1051 KB  
Article
Comparison of Dominant and Non-Dominant Muscle Function Recovery and Limb Symmetry After Achilles Tendon Repair: A Retrospective Study
by Xiangzi Xiao, Yonghwan Kim and Jiyoung Lee
J. Clin. Med. 2026, 15(2), 707; https://doi.org/10.3390/jcm15020707 - 15 Jan 2026
Viewed by 335
Abstract
Background/Objectives: The Achilles tendon is the largest tendon in the human body; it is frequently ruptured during sports and other dynamic physical activities. The purpose of this study was to compare recovery patterns over time between injuries to the dominant (DMT) and [...] Read more.
Background/Objectives: The Achilles tendon is the largest tendon in the human body; it is frequently ruptured during sports and other dynamic physical activities. The purpose of this study was to compare recovery patterns over time between injuries to the dominant (DMT) and non-dominant (NDMT) limbs, and to examine differences in the limb symmetry index (LSI) for the uninjured side. Methods: This study includes a retrospective analysis of individuals who completed a standard rehabilitation program for 12 months and had regular checkups every three months. The study sample comprised 17 patients with DMT injuries and 17 patients with NDMT injuries, all active male recreational participants who underwent surgical repair of an Achilles tendon rupture. Outcome measures included dorsiflexion range of motion (ROM), calf circumference, plantarflexion strength, hop test performance, and the Y-Balance Test (YBT). Results: Both groups demonstrated continuous, progressive improvement in ROM, plantarflexion strength, hop test distance, and YBT scores, showing a significant main effect of time (p < 0.05). Although DMT showed greater strength than NDMT at 6 and 9 months, this difference was no longer significant at 12 months (p > 0.05). In all three YBT directions, the DMT group achieved greater reach distances than the NDMT group at 12 months (p < 0.05). At the final follow-up, both groups exceeded 90% LSI in ROM, calf circumference, plantarflexion strength, and hop performance (p < 0.05). However, in the YBT, only the DMT group surpassed 90% LSI, whereas the NDMT group showed poorer recovery. Conclusions: ROM, calf circumference, and muscle strength ultimately showed no significant differences between groups, but dynamic balance recovery was superior in the DMT group. These findings suggest that clinicians and rehabilitation specialists should consider leg dominance when designing rehabilitation programs. Full article
(This article belongs to the Section Orthopedics)
Show Figures

Figure 1

Back to TopTop