Sign in to use this feature.

Years

Between: -

Subjects

remove_circle_outline
remove_circle_outline
remove_circle_outline
remove_circle_outline
remove_circle_outline
remove_circle_outline
remove_circle_outline

Journals

Article Types

Countries / Regions

Search Results (30)

Search Parameters:
Keywords = TinyOS

Order results
Result details
Results per page
Select all
Export citation of selected articles as:
18 pages, 943 KB  
Article
AVI-SHIELD: An Explainable TinyML Cross-Platform Threat Detection Framework for Aviation Mobile Security
by Chaymae Majdoubi, Saida EL Mendili, Youssef Gahi and Khalil El-Khatib
Information 2026, 17(1), 21; https://doi.org/10.3390/info17010021 - 31 Dec 2025
Viewed by 305
Abstract
The integration of mobile devices into aviation powering electronic flight bags, maintenance logs, and flight planning tools has created a critical and expanding cyber-attack surface. Security for these systems must be not only effective but also transparent, resource-efficient, and certifiable to meet stringent [...] Read more.
The integration of mobile devices into aviation powering electronic flight bags, maintenance logs, and flight planning tools has created a critical and expanding cyber-attack surface. Security for these systems must be not only effective but also transparent, resource-efficient, and certifiable to meet stringent aviation safety standards. This paper presents AVI-SHIELD, a novel framework for developing high-assurance, on-device threat detection. Our methodology, grounded in the MITRE ATT&CK® framework, models credible aviation-specific threats to generate the AviMal-TinyX dataset. We then design and optimize a set of compact, interpretable detection algorithms through quantization and pruning for deployment on resource-constrained hardware. Evaluation demonstrates that AVI-SHIELD achieves 97.2% detection accuracy on AviMal-TinyX while operating with strict resource efficiency (<1.5 MB model size, <35 ms inference time and <0.1 Joules per inference) on both Android and iOS. The framework provides crucial decision transparency through integrated, on-device analysis of detection results, adding a manageable overhead (~120 ms) only upon detection. Its successful deployment on both Android and iOS demonstrates that AVI-SHIELD can provide a uniform security posture across heterogeneous device fleets, a critical requirement for airline operations. This work provides a foundational approach for deploying certifiable, edge-based security that delivers the mandatory offline protection required for safety critical mobile aviation applications. Full article
Show Figures

Graphical abstract

20 pages, 3594 KB  
Article
Energy-Efficient and Robust QoS Control for Wireless Sensor Networks Using the Extended Gur Game
by Xiaoyang Zhong, Yao Liang and Yimei Li
Sensors 2025, 25(3), 730; https://doi.org/10.3390/s25030730 - 25 Jan 2025
Viewed by 979
Abstract
Outdoor wireless sensor networks (WSNs) operate autonomously in dynamic and unattended real-world environments, where sensor nodes are typically powered by their batteries. In hash outdoor settings, such as mountainous regions or underwater locations, recharging or replacing sensor node batteries is particularly challenging. For [...] Read more.
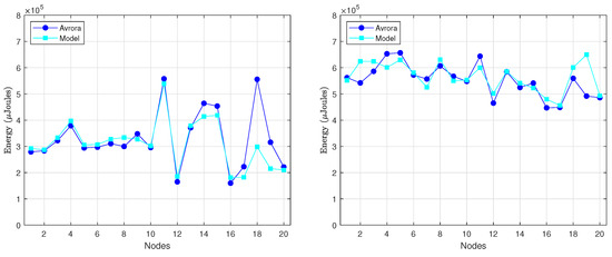
Outdoor wireless sensor networks (WSNs) operate autonomously in dynamic and unattended real-world environments, where sensor nodes are typically powered by their batteries. In hash outdoor settings, such as mountainous regions or underwater locations, recharging or replacing sensor node batteries is particularly challenging. For these WSN deployments, ensuring quality of service (QoS) control while conserving energy is crucial. This paper presents a novel QoS control algorithm for WSNs, built on extensions to the Gur game framework. The proposed approach not only enhances QoS performance compared to existing Gur game-based WSN control algorithms but also addresses their fundamental energy consumption challenges, enabling sustainable communication and extended network lifetimes. We evaluate the approach through comprehensive TinyOS-based WSN simulations and comparisons with existing algorithms. The results demonstrate that our approach, referred to as the robust Gur game, significantly enhances QoS control and achieves a 27.33% improvement in energy efficiency over the original Gur game and shuffle algorithms, showcasing the significant benefits of the proposed method. Full article
(This article belongs to the Section Sensor Networks)
Show Figures

Figure 1

12 pages, 4734 KB  
Article
High Fidelity Full-Color Optical Sectioning Structured Illumination Microscopy by Fourier Domain Based Reconstruction
by Shipei Dang, Jia Qian, Wang Ma, Rui Ma, Xing Li, Siying Wang, Chen Bai, Dan Dan and Baoli Yao
Photonics 2024, 11(5), 405; https://doi.org/10.3390/photonics11050405 - 26 Apr 2024
Cited by 1 | Viewed by 2309
Abstract
The natural color of biological specimens plays a crucial role in body protection, signaling, physiological adaptations, etc. Full-color optical sectioning structured illumination microscopy (OS-SIM) color is a promising approach that can reconstruct biological specimens in three-dimension meanwhile maintaining their natural color. Full-color OS-SIM [...] Read more.
The natural color of biological specimens plays a crucial role in body protection, signaling, physiological adaptations, etc. Full-color optical sectioning structured illumination microscopy (OS-SIM) color is a promising approach that can reconstruct biological specimens in three-dimension meanwhile maintaining their natural color. Full-color OS-SIM takes the advantages of rapid imaging speed, compatibility with fluorescence and non-fluorescence samples, compact configuration, and low cost. However, the commonly used HSV-RMS reconstruction algorithm for full-color OS-SIM faces two issues to be improved. One is the RMS (root-mean-square) OS reconstruction algorithm is prone to background noise, and the other is the reconstruction is bound in RGB and HSV color spaces, consuming more reconstructing time. In this paper, we propose a full-color Fourier-OS-SIM method that allows for the OS reconstruction using the high-frequency spectrum of the sample and thus is immune to the low-frequency background noise. The full-color Fourier-OS-SIM directly runs in the RGB color space, providing an easy way to restore the color information. Simulation and experiments with various samples (pollen grains and tiny animals) demonstrate that the full-color Fourier-OS-SIM method is superior to the HSV-RMS method regarding background noise suppression. Moreover, benefiting from the background noise suppression merit, the quantitative morphological height map analysis with the full-color Fourier-OS-SIM method is more accurate. The proposed full-color Fourier-OS-SIM method is expected to find broad applications in biological and industrial fields where the 3D morphology and the color information of objects both need to be recovered. Full article
(This article belongs to the Special Issue Emerging Topics in Structured Light)
Show Figures

Figure 1

20 pages, 8868 KB  
Review
An Overview of Medium Access Control and Radio Duty Cycling Protocols for Internet of Things
by Farhan Amin, Rashid Abbasi, Salabat Khan and Muhammad Ali Abid
Electronics 2022, 11(23), 3873; https://doi.org/10.3390/electronics11233873 - 23 Nov 2022
Cited by 7 | Viewed by 3969
Abstract
The Internet of Things (IoT) applications such as smart grids, smart agriculture, smart cities, and e-healthcare are popular nowadays. Generally, IoT end devices are extremely sensitive to the utilization of energy. The medium access control (MAC) layer is responsible for coordination and access [...] Read more.
The Internet of Things (IoT) applications such as smart grids, smart agriculture, smart cities, and e-healthcare are popular nowadays. Generally, IoT end devices are extremely sensitive to the utilization of energy. The medium access control (MAC) layer is responsible for coordination and access of the IoT devices. It is essential to design an efficient MAC protocol for achieving high throughput in IoT. Duty cycling is a fundamental process in wireless networks and also an energy-saving necessity if nodes are required to operate for more than a few days. Numerous MAC protocols along with different objectives have been proposed for the IoT. However, to the best of our knowledge, only limited work has been performed dedicated to covering MAC and radio duty cycling (RDC). Therefore, in this study, we propose a systematic cataloging system and use if to organize the most important MAC and RDC proposals. In this catalog, each protocol has been categorized into main ideas, advantages, applications, limitations, innovative features, and potential future improvements. Our critical analysis is different from previous research studies, as we have fully covered all recent studies in this domain. We discuss challenges and future research directions. Full article
Show Figures

Figure 1

20 pages, 7194 KB  
Article
Will Zero Vulnerability Computing (ZVC) Ever Be Possible? Testing the Hypothesis
by Fazal Raheman, Tejas Bhagat, Brecht Vermeulen and Peter Van Daele
Future Internet 2022, 14(8), 238; https://doi.org/10.3390/fi14080238 - 30 Jul 2022
Cited by 5 | Viewed by 4983
Abstract
Life without computers is unimaginable. However, computers remain vulnerable to cybercrimes, a USD 6 trillion industry that the world has come to accept as a “necessary evil”. Third-party permissions resulting in an attack surface (AS) and in-computer storage that computers mandate are key [...] Read more.
Life without computers is unimaginable. However, computers remain vulnerable to cybercrimes, a USD 6 trillion industry that the world has come to accept as a “necessary evil”. Third-party permissions resulting in an attack surface (AS) and in-computer storage that computers mandate are key design elements that hackers exploit, formerly by remote malware installation and later by stealing personal data using authentication faking techniques. In legacy computers, the AS cannot be completely eliminated, nor can a connected device retain data offline, rendering fool-proof cybersecurity impossible. Although the architects of legacy computers made perfectly reasonable engineering trade-offs for their world, our world is very different. Zero vulnerability computing (ZVC) challenges the impossible with in-computer offline storage (ICOS) and Supra OS (SOS), to deliver comprehensive protection against vulnerabilities. The feasibility of ZVC is demonstrated in a tiny permanently computer-mounted hardware wallet, providing the first evidence of the complete obliteration of the AS. Malware cannot infect the ZVC device on account of lacking an AS, nor can personal data be hacked as they mostly remain offline, except for sporadic processing. Further research should explore whether ZVC can fully secure computers in more complex real-world scenarios and open a new epoch in the evolution of computers and the Internet. Full article
(This article belongs to the Section Cybersecurity)
Show Figures

Figure 1

24 pages, 5547 KB  
Article
Mineralogical, Textural and Chemical Characteristics of Ophiolitic Chromitite and Platinum Group Minerals from Kabaena Island (Indonesia): Their Petrogenetic Nature and Geodynamic Setting
by Arifudin Idrus, Sara Septiana, Federica Zaccarini, Giorgio Garuti and Hasria Hasria
Minerals 2022, 12(5), 516; https://doi.org/10.3390/min12050516 - 21 Apr 2022
Cited by 3 | Viewed by 4380
Abstract
This contribution presents the first systematic mineralogical study of chromite composition, silicates and PGM (platinum group minerals) by electron microprobes in the podiform chromitite of Kabaena Island (Indonesia) mined in the past. The main target of this study is to understand the petrogenetic [...] Read more.
This contribution presents the first systematic mineralogical study of chromite composition, silicates and PGM (platinum group minerals) by electron microprobes in the podiform chromitite of Kabaena Island (Indonesia) mined in the past. The main target of this study is to understand the petrogenetic nature of the parental melt from which the chromitites of Kabaena Island precipitated and, indirectly, define the geodynamic tectonic setting of their emplacement. The evolution of PGM, from the magmatic stage to low-temperature processes, is also discussed. The variation of the Cr# = Cr/(Cr + Al), being comprised between 0.65 and 0.75, is similar to the podiform-type chromitite and indicates the absence of Al-rich chromitite. The calculated composition of the parental melt varies from arc to MORB (mid-ocean ridge basalts). Several grains of olivine and clinopyroxene have been found in the silicate matrix or included in fresh chromite. Olivine shows a composition typical of a hosted mantle, and clinopyroxene is similar to those analyzed in the forearc of an SSZ (supra-subduction zone). Small PGM, varying in size from 1 to 10 μm, occur in the chromitites. The most abundant PGM is laurite, which has been found included in fresh chromite or in contact with ferrian chromite along the cracks in the chromite. Laurite forms polygonal crystals, and it occurs as a single phase or in association with clinopyroxene and amphibole. Tiny blebs of Ir-Os alloy (less than 2 μm across) have been found associated with grains of awaruite in the serpentine gangue of the chromitites. The composition of the investigated chromitites suggests that they formed in the mantle of a forearc ophiolite. All the discovered grains of laurite are considered to be magmatic in origin, i.e., entrapped as solid phases during the crystallization of chromite at temperatures above 1000 °C and a sulfur fugacity below sulfur saturation. Iridium–osmium alloys are secondary in origin and represent a low-temperature, around 400 °C, exsolution product. Full article
Show Figures

Figure 1

16 pages, 2366 KB  
Article
Brassinazole Resistant 1 Activity Is Organ-Specific and Genotype-Dependent in Barley Seedlings
by Jolanta Groszyk and Magdalena Szechyńska-Hebda
Int. J. Mol. Sci. 2021, 22(24), 13572; https://doi.org/10.3390/ijms222413572 - 17 Dec 2021
Cited by 4 | Viewed by 3503
Abstract
Brassinosteroids (BRs) control many plant developmental processes by regulating different groups of transcription factors, and consequently gene expressions. The most known is BZR1, the main member of the BES1 family. However, to date, it is poorly characterized in crop species. The main goal [...] Read more.
Brassinosteroids (BRs) control many plant developmental processes by regulating different groups of transcription factors, and consequently gene expressions. The most known is BZR1, the main member of the BES1 family. However, to date, it is poorly characterized in crop species. The main goal of the presented study was to identify HvBZR1 and determine its activity in 5-day-old barley (the stage is related to one leaf on the main shoot and a few seminal roots) using two cultivars with different sensitivities to BRs. Using the anti-OsBZR1 antibody, we identified the forms of HvBZR1 transcription factor with different molecular weights, which can be related to different phosphorylated forms of serine/threonine residues. Two phosphorylated forms in the shoots and one dephosphorylated form in the roots were determined. A minor amount of the dephosphorylated form of the HvBZR1 in the Haruna Nijo shoots was also found. The phosphorylated forms gave a higher band intensity for Golden Promise than Haruna Nijo. The bands were similar in their intensity, when two different phosphorylated forms were compared in Golden Promise, while a reduced intensity was detected for the phosphorylated form with a lower molecular weight for Haruna Nijo. Degradation of the phosphorylated forms in the shoots (complete degradation in Golden Promise and significant but not complete in Haruna Nijo) and the presence of the dephosphorylated form in the roots were proven for the etiolated barley. In the case of Haruna Nijo, a wider range of the regulators of the BR biosynthesis and signaling pathways induced the expected effects, 24-EBL (0.001 µM) and bikinin (10 and 50 µM) caused low amount of the phosphorylated forms, and at the same time, a tiny band of dephosphorylated form was detected. However, the expression of genes related to the BR biosynthesis and signaling pathways was not a determinant for the protein amount. Full article
(This article belongs to the Special Issue Plant Hormones Brassinosteroids and Its Actions in Plants)
Show Figures

Figure 1

21 pages, 3010 KB  
Article
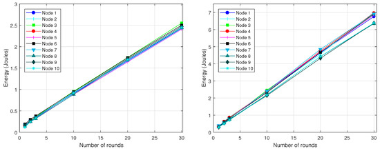
A Model-Based Approach for Adaptable Middleware Evolution in WSN Platforms
by Walter Tiberti, Dajana Cassioli, Antinisca Di Marco, Luigi Pomante and Marco Santic
J. Sens. Actuator Netw. 2021, 10(1), 20; https://doi.org/10.3390/jsan10010020 - 4 Mar 2021
Cited by 11 | Viewed by 3477
Abstract
Advances in technology call for a parallel evolution in the software. New techniques are needed to support this dynamism, to track and guide its evolution process. This applies especially in the field of embedded systems, and certainly in Wireless Sensor Networks (WSNs), where [...] Read more.
Advances in technology call for a parallel evolution in the software. New techniques are needed to support this dynamism, to track and guide its evolution process. This applies especially in the field of embedded systems, and certainly in Wireless Sensor Networks (WSNs), where hardware platforms and software environments change very quickly. Commonly, operating systems play a key role in the development process of any application. The most used operating system in WSNs is TinyOS, currently at its TinyOS 2.1.2 version. The evolution from TinyOS 1.x and TinyOS 2.x made the applications developed on TinyOS 1.x obsolete. In other words, these applications are not compatible out-of-the-box with TinyOS 2.x and require a porting action. In this paper, we discuss on the porting of embedded system (i.e., Wireless Sensor Networks) applications in response to operating systems’ evolution. In particular, using a model-based approach, we report the porting we did of Agilla, a Mobile-Agent Middleware (MAMW) for WSNs, on TinyOS 2.x, which we refer to as Agilla 2. We also provide a comparative analysis about the characteristics of Agilla 2 versus Agilla. The proposed Agilla 2 is compatible with TinyOS 2.x, has full capabilities and provides new features, as shown by the maintainability and performance measurement presented in this paper. An additional valuable result is the architectural modeling of Agilla and Agilla 2, missing before, which extends its documentation and improves its maintainability. Full article
(This article belongs to the Special Issue QoS in Wireless Sensor/Actuator Networks)
Show Figures

Figure 1

21 pages, 11493 KB  
Article
Toxicological Profile of Nanostructured Bone Substitute Based on Hydroxyapatite and Poly(lactide-co-glycolide) after Subchronic Oral Exposure of Rats
by Smiljana Paraš, Dijana Trišić, Olivera Mitrović Ajtić, Bogomir Prokić, Damjana Drobne, Slavoljub Živković and Vukoman Jokanović
Nanomaterials 2020, 10(5), 918; https://doi.org/10.3390/nano10050918 - 9 May 2020
Cited by 9 | Viewed by 3524
Abstract
Novel three-dimensional (3D) nanohydroxyapatite-PLGA scaffolds with high porosity was developed to better mimic mineral component and microstructure of natural bone. To perform a final assessment of this nanomaterial as a potential bone substitute, its toxicological profile was particularly investigated. Therefore, we performed a [...] Read more.
Novel three-dimensional (3D) nanohydroxyapatite-PLGA scaffolds with high porosity was developed to better mimic mineral component and microstructure of natural bone. To perform a final assessment of this nanomaterial as a potential bone substitute, its toxicological profile was particularly investigated. Therefore, we performed a comet assay on human monocytes for in vitro genotoxicity investigation, and the systemic subchronic toxicity investigation on rats being per oral feed with exactly administrated extract quantities of the nano calcium hydroxyapatite covered with tiny layers of PLGA (ALBO-OS) for 120 days. Histological and stereological parameters of the liver, kidney, and spleen tissue were analyzed. Comet assay revealed low genotoxic potential, while histological analysis and stereological investigation revealed no significant changes in exposed animals when compared to controls, although the volume density of blood sinusoids and connective tissue, as well as numerical density and number of mitosis were slightly increased. Additionally, despite the significantly increased average number of the Ki67 and slightly increased number of CD68 positive cells in the presence of ALBO-OS, immunoreactive cells proliferation was almost neglected. Blood analyses showed that all of the blood parameters in rats fed with extract nanomaterial are comparable with corresponding parameters of no feed rats, taken as blind probe. This study contributes to the toxicological profiling of ALBO-OS scaffold for potential future application in bone tissue engineering. Full article
(This article belongs to the Section Biology and Medicines)
Show Figures

Figure 1

19 pages, 707 KB  
Article
Crowdsourced Security Reconstitution for Wireless Sensor Networks: Secrecy Amplification
by Radim Ostadal, Vashek Matyas, Petr Svenda and Lukas Nemec
Sensors 2019, 19(22), 5041; https://doi.org/10.3390/s19225041 - 19 Nov 2019
Cited by 6 | Viewed by 3241
Abstract
Research in the area of security for Wireless Sensor Networks over the past two decades has yielded many interesting findings. We focus on the topic of (re-)securing link keys between sensor nodes through so-called secrecy amplification (SA) protocols. Crowdsourcing is at the very [...] Read more.
Research in the area of security for Wireless Sensor Networks over the past two decades has yielded many interesting findings. We focus on the topic of (re-)securing link keys between sensor nodes through so-called secrecy amplification (SA) protocols. Crowdsourcing is at the very heart of these SA protocols. Not only do SA protocols work wonders even for low-level constrained nodes with no tamper resistance, they exhibit astonishing performance in networks under significant attacker control. Our work shows that even when 50% of all network links are compromised, SA protocols can re-secure over 90% of the link keys through an intriguingly simple crowdsourcing mechanism. These protocols allow us to re-take control without any broadly coordinated cooperation, without knowledge of the compromised links, with only very limited knowledge of each particular network node and independently of decisions made by other nodes. Our article first outlines the principles of and presents existing approaches to SA, introducing most of the important related concepts, then presents novel conclusive results for a realistic attacker model parametrised by attacker behaviour and capabilities. We undertook this work using two very different simulators, and we present here the results of analyses and detailed comparisons that have not previously been available. Finally, we report the first real, non-simulated network test results for the most attractive SA protocol, our implementations of which are available as open-source code for two platforms: Arduino and TinyOS. This work demonstrates the practical usability (and the attractive performance) of SA, serving as a ripe technology enabler for (among others) networks with many potentially compromised low-level devices. Full article
Show Figures

Figure 1

15 pages, 3646 KB  
Article
Susceptibility of Exopalaemon carinicauda to the Infection with Shrimp Hemocyte Iridescent Virus (SHIV 20141215), a Strain of Decapod Iridescent Virus 1 (DIV1)
by Xing Chen, Liang Qiu, Hailiang Wang, Peizhuo Zou, Xuan Dong, Fuhua Li and Jie Huang
Viruses 2019, 11(4), 387; https://doi.org/10.3390/v11040387 - 25 Apr 2019
Cited by 81 | Viewed by 8370
Abstract
In this study, ridgetail white prawns—Exopalaemon carinicauda—were infected per os (PO) with debris of Penaeus vannamei infected with shrimp hemocyte iridescent virus (SHIV 20141215), a strain of decapod iridescent virus 1 (DIV1), and via intramuscular injection (IM with raw extracts of [...] Read more.
In this study, ridgetail white prawns—Exopalaemon carinicauda—were infected per os (PO) with debris of Penaeus vannamei infected with shrimp hemocyte iridescent virus (SHIV 20141215), a strain of decapod iridescent virus 1 (DIV1), and via intramuscular injection (IM with raw extracts of SHIV 20141215. The infected E. carinicauda showed obvious clinical symptoms, including weakness, empty gut and stomach, pale hepatopancreas, and partial death with mean cumulative mortalities of 42.5% and 70.8% by nonlinear regression, respectively. Results of TaqMan probe-based real-time quantitative PCR showed that the moribund and surviving individuals with clinical signs of infected E. carinicauda were DIV1-positive. Histological examination showed that there were darkly eosinophilic and cytoplasmic inclusions, of which some were surrounded with or contained tiny basophilic staining, and pyknosis in hemocytes in hepatopancreatic sinus, hematopoietic cells, cuticular epithelium, etc. On the slides of in situ DIG-labeling-loop-mediated DNA amplification (ISDL), positive signals were observed in hematopoietic tissue, stomach, cuticular epithelium, and hepatopancreatic sinus of infected prawns from both PO and IM groups. Transmission electron microscopy (TEM) of ultrathin sections showed that icosahedral DIV1 particles existed in hepatopancreatic sinus and gills of the infected E. carinicauda from the PO group. The viral particles were also observed in hepatopancreatic sinus, gills, pereiopods, muscles, and uropods of the infected E. carinicauda from the IM group. The assembled virions, which mostly distributed along the edge of the cytoplasmic virogenic stromata near cellular membrane of infected cells, were enveloped and approximately 150 nm in diameter. The results of molecular tests, histopathological examination, ISDL, and TEM confirmed that E. carinicauda is a susceptible host of DIV1. This study also indicated that E. carinicauda showed some degree of tolerance to the infection with DIV1 per os challenge mimicking natural pathway. Full article
Show Figures

Figure 1

17 pages, 2869 KB  
Article
Identification of a Novel Semi-Dominant Spotted-Leaf Mutant with Enhanced Resistance to Xanthomonas oryzae pv. oryzae in Rice
by Zheng Chen, Ting Chen, Atul Prakash Sathe, Yuqing He, Xiao-bo Zhang and Jian-li Wu
Int. J. Mol. Sci. 2018, 19(12), 3766; https://doi.org/10.3390/ijms19123766 - 27 Nov 2018
Cited by 22 | Viewed by 6055
Abstract
Many spotted-leaf mutants show enhanced disease resistance to multiple pathogen attacks; however, the mechanisms are largely unknown. Here, we reported a novel semi-dominant spotted-leaf mutant 24 (spl24) obtained from an ethyl methane sulfonate (EMS)-induced IR64 mutant bank. spl24 developed tiny brown [...] Read more.
Many spotted-leaf mutants show enhanced disease resistance to multiple pathogen attacks; however, the mechanisms are largely unknown. Here, we reported a novel semi-dominant spotted-leaf mutant 24 (spl24) obtained from an ethyl methane sulfonate (EMS)-induced IR64 mutant bank. spl24 developed tiny brown lesions on the leaf tip and spread down gradually to the leaf base as well as the sheath at the early heading stage. The performances of major agronomic traits such as the plant height, panicle length, number of panicles/plant, and 1000-grain weight were significantly altered in spl24 when compared to the wild-type IR64. Furthermore, spl24 exhibited a premature senescing phenotype with degeneration of nuclear acids, significantly reduced soluble protein content, increased level of malonaldehyde (MDA), and lowered activities of reactive oxygen species (ROS) scavenging enzymes. Disease evaluation indicated that spl24 showed enhanced resistance to multiple races of Xanthomonas oryzae pv. oryzae, the causal pathogen of bacterial leaf blight in rice, with elevated expression of pathogenesis-related genes, salicylic acid (SA) signaling pathway-associated genes revealed by real-time quantitative PCR and high-throughput RNA sequencing analysis. Genetic analysis and gene mapping indicated that the lesion mimic phenotype was controlled by a novel semi-dominant nuclear gene. The mutation, tentatively termed as OsSPL24, was in a 110 kb region flanked by markers Indel-33 and Indel-12 in chromosome 11. Together, our data suggest that spl24 is a novel lesion mimic mutant with enhanced innate immunity and would facilitate the isolation and functional characterization of the target gene. Full article
(This article belongs to the Section Molecular Plant Sciences)
Show Figures

Graphical abstract

32 pages, 1000 KB  
Article
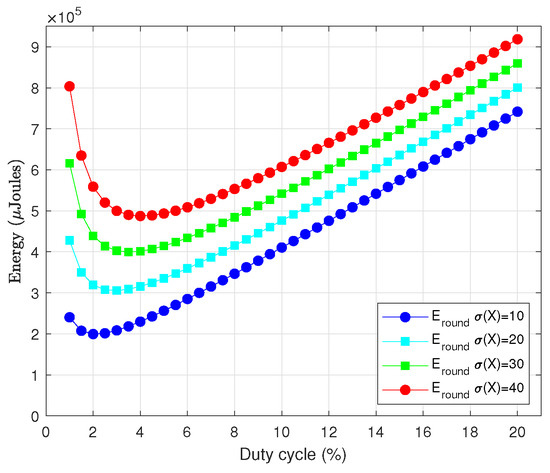
Analytical Model for the Duty Cycle in Solar-Based EH-WSN for Environmental Monitoring
by Sebastià Galmés and Soledad Escolar
Sensors 2018, 18(8), 2499; https://doi.org/10.3390/s18082499 - 1 Aug 2018
Cited by 24 | Viewed by 3998
Abstract
A technology drift is currently taking place from traditional battery-powered sensor networks, which exhibit limited lifetime, to the new Energy-Harvesting Wireless Sensor Networks (EH-WSN), which open the way towards self-sustained operation. However, this emergent modality also brings up new challenges, especially due to [...] Read more.
A technology drift is currently taking place from traditional battery-powered sensor networks, which exhibit limited lifetime, to the new Energy-Harvesting Wireless Sensor Networks (EH-WSN), which open the way towards self-sustained operation. However, this emergent modality also brings up new challenges, especially due to the time-varying nature and unpredictability of ambient energy sources. Most proposals for implementing EH-WSN rely on heuristic approaches to redesign the duty-cycling mechanism at the MAC layer, with the ultimate goal of optimizing network performance while preserving self-sustained and continuous operation. In contrast to the common system-wide reduced duty cycle of battery-powered sensor networks, the duty cycle in EH-WSN is much larger and adapted to the energy harvesting rate and traffic load of each node in the network. In this paper, we focus on solar-based EH-WSN devoted to environmental monitoring. In contrast to current works, we follow an analytical approach, which results into closed-form expressions for the duty cycle and initial energy storage that guarantee self-sustained operation to any node in a solar-based EH-WSN. To center the analysis, we consider TinyOS sensor nodes, though we postulate that the essential components of the obtained formulation will contribute to further develop duty cycle adaptation schemes for TinyOS and other software platforms. Full article
(This article belongs to the Section Sensor Networks)
Show Figures

Figure 1

24 pages, 696 KB  
Article
Homomorphic Filtering for Improving Time Synchronization in Wireless Networks
by José María Castillo-Secilla, José Manuel Palomares, Fernando León and Joaquín Olivares
Sensors 2017, 17(4), 909; https://doi.org/10.3390/s17040909 - 20 Apr 2017
Cited by 5 | Viewed by 4425
Abstract
Wireless sensor networks are used to sample the environment in a distributed way. Therefore, it is mandatory for all of the measurements to be tightly synchronized in order to guarantee that every sensor is sampling the environment at the exact same instant of [...] Read more.
Wireless sensor networks are used to sample the environment in a distributed way. Therefore, it is mandatory for all of the measurements to be tightly synchronized in order to guarantee that every sensor is sampling the environment at the exact same instant of time. The synchronization drift gets bigger in environments suffering from temperature variations. Thus, this work is focused on improving time synchronization under deployments with temperature variations. The working hypothesis demonstrated in this work is that the clock skew of two nodes (the ratio of the real frequencies of the oscillators) is composed of a multiplicative combination of two main components: the clock skew due to the variations between the cut of the crystal of each oscillator and the clock skew due to the different temperatures affecting the nodes. By applying a nonlinear filtering, the homomorphic filtering, both components are separated in an effective way. A correction factor based on temperature, which can be applied to any synchronization protocol, is proposed. For testing it, an improvement of the FTSP synchronization protocol has been developed and physically tested under temperature variation scenarios using TelosB motes flashed with the IEEE 802.15.4 implementation supplied by TinyOS. Full article
(This article belongs to the Special Issue State-of-the-Art Sensors Technology in Spain 2016)
Show Figures

Figure 1

23 pages, 6280 KB  
Article
Platinum-Group Minerals and Other Accessory Phases in Chromite Deposits of the Alapaevsk Ophiolite, Central Urals, Russia
by Federica Zaccarini, Evgeny Pushkarev, Giorgio Garuti and Igor Kazakov
Minerals 2016, 6(4), 108; https://doi.org/10.3390/min6040108 - 19 Oct 2016
Cited by 24 | Viewed by 8082
Abstract
An electron microprobe study has been carried out on platinum-group minerals, accessory phases, and chromite in several chromite deposits of the Alapaevsk ophiolite (Central Urals, Russia) namely the Bakanov Kluch, Kurmanovskoe, Lesnoe, 3-d Podyony Rudnik, Bol’shaya Kruglyshka, and Krest deposits. These deposits occur [...] Read more.
An electron microprobe study has been carried out on platinum-group minerals, accessory phases, and chromite in several chromite deposits of the Alapaevsk ophiolite (Central Urals, Russia) namely the Bakanov Kluch, Kurmanovskoe, Lesnoe, 3-d Podyony Rudnik, Bol’shaya Kruglyshka, and Krest deposits. These deposits occur in partially to totally serpentinized peridotites. The microprobe data shows that the chromite composition varies from Cr-rich to Al-rich. Tiny platinum-group minerals (PGM), 1–10 µm in size, have been found in the chromitites. The most abundant PGM is laurite, accompanied by minor cuproiridsite and alloys in the system Os–Ir–Ru. A small grain (about 20 μm) was found in the interstitial serpentine of the Bakanov Kluch chromitite, and its calculated stoichiometry corresponds to (Ni,Fe)5P. Olivine, occurring in the silicate matrix or included in fresh chromite, has a mantle-compatible composition in terms of major and minor elements. Several inclusions of amphibole, Na-rich phlogopite, and clinopyroxene have been identified. The bimodal Cr–Al composition of chromite probably corresponds to a vertical distribution in the ophiolite sequence, implying formation of Cr-rich chromitites in the deep mantle, and Al-rich chromitites close to the Moho-transition zone, in a supra-subduction setting. The presence of abundant hydrous silicate inclusions, such as amphibole and phlogopite, suggests that the Alapaevsk chromitites crystallized as a result of the interaction between a melt enriched in fluids and peridotites. Laurite and cuproiridsite are considered to be magmatic in origin, i.e., entrapped as solid phases during the crystallization of chromite at high temperatures. The sulfur fugacity was relatively high to allow the precipitation of Ir-bearing sulfides, but below the Os–OsS2 buffer. The alloys in the system Os–Ir–Ru are classified as secondary PGM, i.e., formed at low temperature during the serpentinization process. The (Ni,Fe)5P phase is the first occurrence of a Ni-phosphide in terrestrial samples. Its composition indicates that it may be a new mineral. However, the small size has, so far, prevented a crystallographic study to support this conclusion. Full article
(This article belongs to the Special Issue Mineral Deposit Genesis and Exploration)
Show Figures

Figure 1

Back to TopTop