Sign in to use this feature.

Years

Between: -

Subjects

remove_circle_outline
remove_circle_outline
remove_circle_outline
remove_circle_outline

Journals

Article Types

Countries / Regions

Search Results (13)

Search Parameters:
Keywords = T. gondii lysate antigens

Order results
Result details
Results per page
Select all
Export citation of selected articles as:
13 pages, 886 KB  
Article
The Acute Immune Response in Sheep Following Immunization with Toxoplasma gondii Tachyzoites or Parasite-Derived Glycoconjugates
by Patrícia Oliveira Meira-Santos, Gabriela Cruz Piedade, Maria Tereza Guedes, Dan Loureiro, José Tadeu Raynal, Roberto Meyer, Letícia Vicentini, Luiz Soares, Blima Fux and Ricardo Wagner Portela
Vet. Sci. 2025, 12(10), 928; https://doi.org/10.3390/vetsci12100928 - 24 Sep 2025
Viewed by 834
Abstract
Toxoplasmosis is a relevant parasitic infection in sheep, with ovine meat an important source of human exposure. Accurate detection of the early immune response to Toxoplasma gondii is essential for preventing reproductive losses and improving diagnostic strategies. This study evaluated the kinetics of [...] Read more.
Toxoplasmosis is a relevant parasitic infection in sheep, with ovine meat an important source of human exposure. Accurate detection of the early immune response to Toxoplasma gondii is essential for preventing reproductive losses and improving diagnostic strategies. This study evaluated the kinetics of the acute immune response in eighteen sheep experimentally exposed to live tachyzoites or immunized with parasite-derived glycoconjugates (GlyC). Animals were divided into three groups and injected with saline solution, tachyzoites, or glycoconjugates combined with an adjuvant. Infected sheep developed specific IgM antibodies against both lysate and glycoconjugate antigens from day 4, and IgG against glycoconjugates from day 12 post-infection. Glycoconjugate-immunized sheep produced IgM against lysate antigens from day 4, and IgG against both antigens from day 12. Flow cytometry revealed a significant increase in circulating CD8+ T cells and a reduction in MHC class II+ cells on day 60 in the infected group. These findings demonstrate the early humoral and cellular immune response profiles following infection or GlyC immunization. This supports their future application in diagnostic tests or as vaccine candidates against toxoplasmosis in sheep. Full article
(This article belongs to the Special Issue Detection of Parasitic Diseases in Livestock)
Show Figures

Graphical abstract

14 pages, 1190 KB  
Article
Analysis of the Correlation Between Toxoplasma gondii Seropositivity and Alzheimer’s Disease
by Jianjun Wang, Ping Lin, Dan Li, Biyu Yang, Jiaqi Wang, Meng Feng and Xunjia Cheng
Pathogens 2024, 13(11), 1021; https://doi.org/10.3390/pathogens13111021 - 20 Nov 2024
Cited by 4 | Viewed by 3016
Abstract
Alzheimer’s disease (AD) is a multifactorial brain disorder and infectious diseases are considered as one of the predisposing factors for AD. Toxoplasma gondii, an obligate intracellular parasitic protozoan, is suspected of being associated with AD. Serum samples were collected from 109 AD [...] Read more.
Alzheimer’s disease (AD) is a multifactorial brain disorder and infectious diseases are considered as one of the predisposing factors for AD. Toxoplasma gondii, an obligate intracellular parasitic protozoan, is suspected of being associated with AD. Serum samples were collected from 109 AD patients and 114 age-matched healthy controls. ELISA was performed using recombinant T. gondii cyst wall protein 1 (CST1) to detect T. gondii antibodies. A parallel experiment was performed with Toxoplasma gondii tachyzoites lysate protein. To analyze whether factors associated with the onset of AD included chronic T. gondii infection, a multivariate logistic regression model was applied, further validating the correlation between chronic T. gondii infection and AD. AD patients exhibited significantly higher levels of Toxoplasma-specific antibodies in their serum compared to the control group, with statistically significant differences (p < 0.05). Multivariate logistic regression analysis revealed that Toxoplasma infection is a risk factor for AD (p < 0.01), and the CST1 antigen can significantly improve the model’s performance in predicting the occurrence of AD. The results indicate that chronic infection with Toxoplasma gondii could be one of the risk factors for the development of AD, potentially predisposing individuals with underlying health conditions to the disease. This further validates the correlation between Toxoplasma gondii and AD. Full article
(This article belongs to the Section Parasitic Pathogens)
Show Figures

Figure 1

17 pages, 2474 KB  
Article
Molecular Mimicry between Toxoplasma gondii B-Cell Epitopes and Neurodevelopmental Proteins: An Immunoinformatic Approach
by Karla F. Meza-Sosa, David Valle-Garcia, Hugo González-Conchillos, Tonali Blanco-Ayala, Alelí Salazar, Itamar Flores, Saúl Gómez-Manzo, Dinora Fabiola González Esquivel, Gonzalo Pérez de la Cruz, Benjamín Pineda and Verónica Pérez de la Cruz
Biomolecules 2024, 14(8), 933; https://doi.org/10.3390/biom14080933 - 1 Aug 2024
Viewed by 2547
Abstract
Epidemiological studies and meta-analyses have shown a strong association between high seroprevalence of Toxoplasma gondii (T. gondii) and schizophrenia. Schizophrenic patients showed higher levels of anti-Toxoplasma immunoglobulins M and G (IgM and IgG) when compared to healthy controls. Previously, in a [...] Read more.
Epidemiological studies and meta-analyses have shown a strong association between high seroprevalence of Toxoplasma gondii (T. gondii) and schizophrenia. Schizophrenic patients showed higher levels of anti-Toxoplasma immunoglobulins M and G (IgM and IgG) when compared to healthy controls. Previously, in a rat model, we demonstrated that the progeny of mothers immunized with T. gondii lysates before gestation had behavioral and social impairments during adulthood. Therefore, we suggested that T. gondii infection can trigger autoreactivity by molecularly mimicking host brain proteins. Here, we aimed to identify the occurrence of antigenic mimicry between T. gondii epitopes and host brain proteins. Using a bioinformatic approach, we predicted T. gondii RH-88 B cell epitopes and compared them to human cell-surface proteins involved in brain development and differentiation (BrainS). Five different algorithms for B-cell-epitope prediction were used and compared, resulting in 8584 T. gondii epitopes. We then compared T. gondii predicted epitopes to BrainS proteins by local sequence alignments using BLASTP. T. gondii immunogenic epitopes significantly overlapped with 42 BrainS proteins. Among these overlapping proteins essential for brain development and differentiation, we identified HSP90 and NOTCH receptors as the proteins most likely to be targeted by the maternally generated pathogenic antibodies due to their topological overlap at the extracellular region of their sequence. This analysis highlights the relevance of pregestational clinical surveillance and screening for potential pathogenic anti-T. gondii antibodies. It also identifies potential targets for the design of vaccines that could prevent behavioral and cognitive impairments associated with pre-gestational T. gondii exposure. Full article
Show Figures

Figure 1

21 pages, 2105 KB  
Article
The Development of Toxoplasma gondii Recombinant Trivalent Chimeric Proteins as an Alternative to Toxoplasma Lysate Antigen (TLA) in Enzyme-Linked Immunosorbent Assay (ELISA) for the Detection of Immunoglobulin G (IgG) in Small Ruminants
by Bartłomiej Tomasz Ferra, Maciej Chyb, Karolina Sołowińska, Lucyna Holec-Gąsior, Marta Skwarecka, Karolina Baranowicz and Justyna Gatkowska
Int. J. Mol. Sci. 2024, 25(8), 4384; https://doi.org/10.3390/ijms25084384 - 16 Apr 2024
Cited by 5 | Viewed by 3600
Abstract
This study presents an evaluation of seventeen newly produced recombinant trivalent chimeric proteins (containing the same immunodominant fragment of SAG1 and SAG2 of Toxoplasma gondii antigens, and an additional immunodominant fragment of one of the parasite antigens, such as AMA1, GRA1, GRA2, GRA5, [...] Read more.
This study presents an evaluation of seventeen newly produced recombinant trivalent chimeric proteins (containing the same immunodominant fragment of SAG1 and SAG2 of Toxoplasma gondii antigens, and an additional immunodominant fragment of one of the parasite antigens, such as AMA1, GRA1, GRA2, GRA5, GRA6, GRA7, GRA9, LDH2, MAG1, MIC1, MIC3, P35, and ROP1) as a potential alternative to the whole-cell tachyzoite lysate (TLA) used in the detection of infection in small ruminants. These recombinant proteins, obtained by genetic engineering and molecular biology methods, were tested for their reactivity with specific anti-Toxoplasma IgG antibodies contained in serum samples of small ruminants (192 samples of sheep serum and 95 samples of goat serum) using an enzyme-linked immunosorbent assay (ELISA). The reactivity of six recombinant trivalent chimeric proteins (SAG1-SAG2-GRA5, SAG1-SAG2-GRA9, SAG1-SAG2-MIC1, SAG1-SAG2-MIC3, SAG1-SAG2-P35, and SAG1-SAG2-ROP1) with IgG antibodies generated during T. gondii invasion was comparable to the sensitivity of TLA-based IgG ELISA (100%). The obtained results show a strong correlation with the results obtained for TLA. This suggests that these protein preparations may be a potential alternative to TLA used in commercial tests and could be used to develop a cheaper test for the detection of parasite infection in small ruminants. Full article
(This article belongs to the Special Issue Parasite Biology and Host-Parasite Interactions: 2nd Edition)
Show Figures

Figure 1

12 pages, 1783 KB  
Article
Boosting Mouse Defense against Lethal Toxoplasma gondii Infection with Full-Length and Soluble SAG1 Recombinant Protein
by Xiang Li, Wei Yuan, Ting He, Ruiying Guo, Xiuxian Du, Yanhong He, Xuan Li, Saeed El-Ashram, Ebtesam M. Al-Olayan, Na Yang and Xiaoyu Sang
Vaccines 2023, 11(11), 1678; https://doi.org/10.3390/vaccines11111678 - 2 Nov 2023
Cited by 2 | Viewed by 4120
Abstract
Toxoplasmosis is a major worldwide protozoan zoonosis. The surface antigen 1 (SAG1) of Toxoplasma gondii (T. gondii) has always been recognized as an ideal vaccine candidate antigen. However, the intact and soluble SAG1 protein is usually difficult to acquire in vitro, [...] Read more.
Toxoplasmosis is a major worldwide protozoan zoonosis. The surface antigen 1 (SAG1) of Toxoplasma gondii (T. gondii) has always been recognized as an ideal vaccine candidate antigen. However, the intact and soluble SAG1 protein is usually difficult to acquire in vitro, which is unfavorable for employing the recombinant protein as a vaccine candidate antigen. In the present study, we obtained the full-length SAG1 recombinant protein in soluble form by Escherichia coli Transetta (DE3) cells under optimized expression conditions. The immunogenicity and protective ability of this recombinant protein against T. gondii acute infection were evaluated in a mouse model. Monitoring changes in serum antibody levels and types, the presence of cytokines, and the rate of lymphocyte proliferation in vaccinated mice were used to assess humoral and cellular immune responses. Additional assessments were performed to determine the protective potency of the recombinant protein in combating T. gondii RH tachyzoites. It was found that the titers of both IgG2a and IgG2b were considerably greater in the immunized mice compared to the titers of IgG1 and IgG3. The levels of Th1-type cytokines (IFN-γ, IL-12p70, IL-2, and TNF-α) and Th2-type cytokines (IL-10) significantly increased when splenocytes from immunological group mice were treated with T. gondii lysate antigen. Compared to the control group, a recombinant protein substantially increased the longevity of infected mice, with an average death time prolonged by 14.50 ± 0.34 days (p < 0.0001). These findings suggest that the full-length and soluble SAG1 recombinant protein produced potent immune responses in mice and could be a preferred subunit vaccine candidate for T. gondii, offering a feasible option for vaccination against acute toxoplasmosis. Full article
(This article belongs to the Special Issue Vaccine Development for Toxoplasmosis)
Show Figures

Figure 1

20 pages, 374 KB  
Review
Detection of Toxoplasma gondii Infection in Small Ruminants: Old Problems, and Current Solutions
by Lucyna Holec-Gąsior and Karolina Sołowińska
Animals 2023, 13(17), 2696; https://doi.org/10.3390/ani13172696 - 23 Aug 2023
Cited by 16 | Viewed by 3824
Abstract
Toxoplasmosis is a parasitic zoonosis of veterinary importance, with implications for public health. Toxoplasma gondii infection causes abortion or congenital disease in small ruminants. Moreover, the consumption of infected meat, cured meat products, or unpasteurized milk and dairy products can facilitate zoonotic transmission. [...] Read more.
Toxoplasmosis is a parasitic zoonosis of veterinary importance, with implications for public health. Toxoplasma gondii infection causes abortion or congenital disease in small ruminants. Moreover, the consumption of infected meat, cured meat products, or unpasteurized milk and dairy products can facilitate zoonotic transmission. Serological studies conducted in various European countries have shown the high seroprevalence of specific anti-T. gondii antibodies in sheep and goats related to the presence of oocysts in the environment, as well as climatic conditions. This article presents the current status of the detection possibilities for T. gondii infection in small ruminants and their milk. Serological testing is considered the most practical method for diagnosing toxoplasmosis; therefore, many studies have shown that recombinant antigens as single proteins, mixtures of various antigens, or chimeric proteins can be successfully used as an alternative to Toxoplasma lysate antigens (TLA). Several assays based on DNA amplification have been developed as alternative diagnostic methods, which are especially useful when serodiagnosis is not possible, e.g., the detection of intrauterine T. gondii infection when the fetus is not immunocompetent. These techniques employ multicopy sequences highly conserved among different strains of T. gondii in conventional, nested, competitive, and quantitative reverse transcriptase-PCR. Full article
(This article belongs to the Section Animal Genetics and Genomics)
12 pages, 3080 KB  
Article
Co-Immunization with DNA Vaccines Expressing SABP1 and SAG1 Proteins Effectively Enhanced Mice Resistance to Toxoplasma gondii Acute Infection
by Xiaoyu Sang, Xiang Li, Ran Chen, Ying Feng, Ting He, Xiaohan Zhang, Saeed El-Ashram, Ebtsam Al-Olayan and Na Yang
Vaccines 2023, 11(7), 1190; https://doi.org/10.3390/vaccines11071190 - 2 Jul 2023
Cited by 5 | Viewed by 2792
Abstract
Toxoplasma gondii (T. gondii) has many intermediate hosts, obligately invades nucleated cells, and seriously threatens human and animal health due to a lack of effective drugs and vaccines. Sialic acid-binding protein 1 (SABP1) is a novel invasion-related protein that, like surface [...] Read more.
Toxoplasma gondii (T. gondii) has many intermediate hosts, obligately invades nucleated cells, and seriously threatens human and animal health due to a lack of effective drugs and vaccines. Sialic acid-binding protein 1 (SABP1) is a novel invasion-related protein that, like surface antigen 1 (SAG1), is found on the plasma membrane of T. gondii. To investigate the immunogenicity and protective efficacy of DNA vaccines expressing SABP1 and SAG1 proteins against T. gondii acute infection, the recombinant plasmids pVAX1-SABP1 and pVAX1-SAG1 were produced and administered intramuscularly in Balb/c mice. Serum antibody levels and subtypes, lymphocyte proliferation, and cytokines were used to assess immunized mice’s humoral and cellular immune responses. Furthermore, the ability of DNA vaccines to protect mice against T. gondii RH tachyzoites was tested. Immunized mice exhibited substantially higher IgG levels, with IgG2a titers higher than IgG1. When the immune group mice’s splenocytes were stimulated with T. gondii lysate antigen, Th1-type cytokines (IL-12p70, IFN-γ, and IL-2) and Th2-type cytokine (IL-4) increased significantly. The combined DNA vaccine significantly increased the immunized mouse survival compared to the control group, with an average death time extended by 4.33 ± 0.6 days (p < 0.0001). These findings show that DNA vaccines based on the SABP1 and SAG1 genes induced robust humoral and cellular immunity in mice, effectively protecting against acute toxoplasmosis and potentially serving as a viable option for vaccination to prevent T. gondii infection. Full article
Show Figures

Figure 1

24 pages, 5352 KB  
Article
Nano-Encapsulated Antioxidant: Retinoic Acid as a Natural Mucosal Adjuvant for Intranasal Immunization against Chronic Experimental Toxoplasmosis
by Doaa E. Said, Eglal I. Amer, Eman Sheta, Shaimaa Makled, Fadwa M. Arafa and Hala E. Diab
Trop. Med. Infect. Dis. 2023, 8(2), 106; https://doi.org/10.3390/tropicalmed8020106 - 7 Feb 2023
Cited by 8 | Viewed by 3331
Abstract
The tight relationship between immunity and retinoid levels provides evidence on the critical role of retinoic acid (RA) in regulating immune activity, especially the mucosal one. Mucosal immune response is the key for determination of the outcome of infection, particularly against intracellular mucosal [...] Read more.
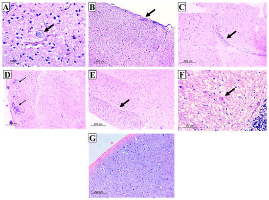
The tight relationship between immunity and retinoid levels provides evidence on the critical role of retinoic acid (RA) in regulating immune activity, especially the mucosal one. Mucosal immune response is the key for determination of the outcome of infection, particularly against intracellular mucosal pathogens such as Toxoplasma gondii, where it plays a crucial role as a sentinel against parasite invasion. Herein, the immunomodulatory adjuvant role of RA was evaluated for prophylactic vaccination against chronic Toxoplasma infection. A quantity of 15 µg of RA pre-encapsulated with lipid-based nanoparticles (SLNs) was intranasally used in three doses, two weeks apart, as an adjuvant to the Toxoplasma lysate antigen (TLA). Afterward, mice were infected with 20 cysts of T. gondii (ME49 strain) and were sacrificed at the 4th week post-infection. Parasitological, immunological, biochemical, and histopathological studies were applied as vaccine efficacy measures. The protective role of the tested vaccine was noted using the statistically marked reduction in brain cyst count, accompanied by remarkable levels of protective IFN-γ and antibodies, with amelioration of infection-induced oxidative stress and brain pathology. Ultimately, this experiment outlined the prospective role of a novel, natural, nano-encapsulated and mucosal vaccine adjuvant RA-SLNs as a propitious candidate against chronic toxoplasmosis. Full article
Show Figures

Figure 1

26 pages, 5615 KB  
Article
Nano-Encapsulated Melatonin: A Promising Mucosal Adjuvant in Intranasal Immunization against Chronic Experimental T. gondii Infection
by Doaa E. Said, Eglal I. Amer, Eman Sheta, Shaimaa Makled, Hala E. Diab and Fadwa M. Arafa
Trop. Med. Infect. Dis. 2022, 7(12), 401; https://doi.org/10.3390/tropicalmed7120401 - 27 Nov 2022
Cited by 7 | Viewed by 3373
Abstract
Melatonin (MLT) is now emerging as one of the universally accepted immunostimulators with broad applications in medicine. It is a biological manipulator of the immune system, including mucosal ones. MLT was encapsulated in solid lipid nanoparticles (SLNs), then 100 mg/kg/dose of MLT-SLNs was [...] Read more.
Melatonin (MLT) is now emerging as one of the universally accepted immunostimulators with broad applications in medicine. It is a biological manipulator of the immune system, including mucosal ones. MLT was encapsulated in solid lipid nanoparticles (SLNs), then 100 mg/kg/dose of MLT-SLNs was used as an adjuvant of Toxoplasma lysate antigen (TLA). Experimental mice were intra-nasally inoculated with three doses of different regimens every two weeks, then challenged with 20 cysts of T. gondii Me49 strain, where they were sacrificed four weeks post-infection. Protective vaccine efficacy was evident via the significant brain cyst count reduction of 58.6%, together with remarkably high levels of humoral systemic and mucosal anti-Toxoplasma antibodies (Ig G, Ig A), supported by a reduced tachyzoites invasion of Vero cells in vitro upon incubation with sera obtained from these vaccinated mice. A cellular immune response was evident through the induction of significant levels of interferon-gamma (IFN γ), associated with morphological deteriorations of cysts harvested from the brains of vaccinated mice. Furthermore, the amelioration of infection-induced oxidative stress (OS) and histopathological changes were evident in mice immunized with TLA/MLT-SLNs. In conclusion, the present study highlighted the promising role of intranasal MLT-SLNs as a novel mucosal adjuvant candidate against chronic toxoplasmosis. Full article
(This article belongs to the Section Infectious Diseases)
Show Figures

Figure 1

14 pages, 2493 KB  
Article
Recombinant AMA1 Virus-like Particle Antigen for Serodiagnosis of Toxoplasma gondii Infection
by Min-Ju Kim, Ki-Back Chu, Jie Mao, Hae-Ji Kang, Gi-Deok Eom, Keon-Woong Yoon, Su-Hwa Lee, Eun-Kyung Moon, Young-Ha Lee and Fu-Shi Quan
Biomedicines 2022, 10(11), 2812; https://doi.org/10.3390/biomedicines10112812 - 4 Nov 2022
Cited by 6 | Viewed by 2698
Abstract
Toxoplasmosis diagnosis predominantly relies on serology testing via enzyme-linked immunosorbent assay (ELISA), but these results are highly variable. Consequently, various antigens are being evaluated to improve the sensitivity and specificity of toxoplasmosis serological diagnosis. Here, we generated Toxoplasma gondii virus-like particles displaying AMA1 [...] Read more.
Toxoplasmosis diagnosis predominantly relies on serology testing via enzyme-linked immunosorbent assay (ELISA), but these results are highly variable. Consequently, various antigens are being evaluated to improve the sensitivity and specificity of toxoplasmosis serological diagnosis. Here, we generated Toxoplasma gondii virus-like particles displaying AMA1 of T. gondii and evaluated their diagnostic potential. We found that AMA1 VLPs were highly sensitive and reacted with the sera acquired from mice infected with either T. gondii ME49 or RH strains. The overall IgG and IgM antibody responses elicited by AMA1 VLPs were substantially higher than those induced by the conventionally used T. gondii lysate antigen (TLA). Importantly, AMA1 VLPs were capable of detecting parasitic infection with T. gondii RH and ME49 as early as 1 week post-infection, even when mice were exposed to low infectious doses (5 × 103 and 10 cysts, respectively). AMA1 VLPs also did not cross-react with the immune sera acquired from Plasmodium berghei-infected mice. Compared to TLA, stronger antibody responses were induced by AMA1 VLPs when tested using T. gondii-infected human sera. The sensitivities and specificities of the two antigens were substantially different, with AMA1 VLPs demonstrating over 90% sensitivity and specificity, whereas these values were in the 70% range for the TLA. These results indicated that AMA1 VLPs can detect infections of both T. gondii ME49 and RH at an early stage of infection caused by very low infection doses in mice, and these could be used for serological diagnosis of human toxoplasmosis. Full article
(This article belongs to the Special Issue New Advance in Viral Immunogens and Vaccines)
Show Figures

Figure 1

8 pages, 521 KB  
Communication
Exposure to Toxoplasma gondii in Asian Elephants (Elephas maximus indicus) in Thailand
by Ruenruetai Udonsom, Yoshifumi Nishikawa, Ragab M. Fereig, Thitirat Topisit, Natchakorn Kulkaweewut, Supitcha Chanamrung and Charoonluk Jirapattharasate
Pathogens 2022, 11(1), 2; https://doi.org/10.3390/pathogens11010002 - 21 Dec 2021
Cited by 2 | Viewed by 3101
Abstract
Toxoplasma gondii is the causative agent of toxoplasmosis in humans and various animal species worldwide. In Thailand, seroprevalence studies on T. gondii have focused on domestic animals, and information on infections in Asian elephants (Elephas maximus indicus) is scarce. This study [...] Read more.
Toxoplasma gondii is the causative agent of toxoplasmosis in humans and various animal species worldwide. In Thailand, seroprevalence studies on T. gondii have focused on domestic animals, and information on infections in Asian elephants (Elephas maximus indicus) is scarce. This study was conducted to determine the seroprevalence of T. gondii infection in archival sera collected from 268 elephants living in Thailand. The serum samples were analyzed for anti-T. gondii immunoglobulin G antibodies using the latex agglutination test (LAT) and indirect enzyme-linked immunosorbent assay (iELISA) based on T. gondii lysate antigen (TLA-iELISA) and recombinant T. gondii dense granular antigen 8 protein (TgGRA8-iELISA). The prevalence of antibodies against T. gondii was 45.1% (121/268), 40.7% (109/268), and 44.4% (119/268) using LAT, TLA-iELISA, and TgGRA8-iELISA, respectively. Young elephants had a higher seropositivity rate than elephants aged >40 years (odds ratio = 6.6; p < 0.001; 95% confidence interval: 2.9–15.4). When LAT was used as the reference, TLA-iELISA and TgGRA8-iELISA showed a substantial (κ = 0.69) and moderate (κ = 0.42) agreement, respectively. Although our findings suggest the widespread exposure of Asian elephants to T. gondii in Thailand, the source of infection was not investigated. Therefore, investigation of the predisposing factors associated with toxoplasmosis is necessary to identify the potential risk factors for infection. Full article
(This article belongs to the Section Parasitic Pathogens)
Show Figures

Figure 1

13 pages, 1769 KB  
Article
The Immunogenic and Immunoprotective Activities of Recombinant Chimeric T. gondii Proteins Containing AMA1 Antigen Fragments
by Justyna Gatkowska, Katarzyna Dzitko, Bartłomiej Tomasz Ferra, Lucyna Holec-Gąsior, Malwina Kawka and Bożena Dziadek
Vaccines 2020, 8(4), 724; https://doi.org/10.3390/vaccines8040724 - 2 Dec 2020
Cited by 7 | Viewed by 2996
Abstract
Toxoplasmosis, one of the most common parasitoses worldwide, is potentially dangerous for individuals with a weakened immune system, but specific immunoprophylaxis intended for humans is still lacking. Thus, efforts have been made to create an efficient universal vaccine for both animals and humans [...] Read more.
Toxoplasmosis, one of the most common parasitoses worldwide, is potentially dangerous for individuals with a weakened immune system, but specific immunoprophylaxis intended for humans is still lacking. Thus, efforts have been made to create an efficient universal vaccine for both animals and humans to overcome the shortcomings of currently used treatment methods and protect all hosts against toxoplasmosis. The current work represents a relatively new approach to vaccine development based on recombinant chimeric Toxoplasma gondii antigens. In the present research, three tetravalent chimeric proteins containing different portions of the parasite’s AMA1 antigen—AMA1domainI-SAG2-GRA1-ROP1L (ANSGR), AMA1domainsII,III-SAG2-GRA1-ROP1L (ACSGR) and AMA1fullprotein-SAG2-GRA1-ROP1L (AFSGR)—were tested for their immunogenic and immunoprotective capacities. All tested proteins were immunogenic, as evidenced by the triggering of specific humoral and cellular immune responses in vaccinated C3H/HeOuJ mice, defined by the production of specific IgG (IgG1/IgG2a) antibodies in vivo and synthesis of key Th1/Th2 cytokines by Toxoplasma lysate antigen-stimulated splenocytes in vitro. Although all tested preparations provided partial protection against chronic toxoplasmosis in immunized and T. gondii-challenged mice, the intensity of the generated immunoprotection depended on the fragment of the AMA1 antigen incorporated into the chimeric antigen’s structure. Full article
(This article belongs to the Special Issue Evaluation of Vaccine Immunogenicity)
Show Figures

Figure 1

8 pages, 232 KB  
Brief Report
Toxoplasma gondii Tetravalent Chimeric Proteins as Novel Antigens for Detection of Specific Immunoglobulin G in Sera of Small Ruminants
by Lucyna Holec-Gąsior, Bartłomiej Ferra and Weronika Grąźlewska
Animals 2019, 9(12), 1146; https://doi.org/10.3390/ani9121146 - 13 Dec 2019
Cited by 14 | Viewed by 3742
Abstract
The detection of Toxoplasma gondii infection in small ruminants has important significance for public health and veterinary medicine. This study, for the first time, describes the reactivity of four tetravalent chimeric proteins (AMA1N-SAG2-GRA1-ROP1, AMA1C-SAG2-GRA1-ROP1, AMA1-SAG2-GRA1-ROP1, and SAG2-GRA1-ROP1-GRA2) containing immunodominant [...] Read more.
The detection of Toxoplasma gondii infection in small ruminants has important significance for public health and veterinary medicine. This study, for the first time, describes the reactivity of four tetravalent chimeric proteins (AMA1N-SAG2-GRA1-ROP1, AMA1C-SAG2-GRA1-ROP1, AMA1-SAG2-GRA1-ROP1, and SAG2-GRA1-ROP1-GRA2) containing immunodominant regions from the AMA1 (apical membrane antigen 1), SAG2 (surface antigen 2), GRA1 (dense granule antigen 1), GRA2 (dense granule antigen 2), and ROP1 (rhoptry antigen 1) with specific IgG antibodies from the sera of small ruminants with the use of an indirect enzyme-linked immunosorbent assay (ELISA). The reactivity of individual chimeric antigens was analyzed in relation to the results obtained in IgG ELISA based on a Toxoplasma lysate antigen (TLA). All chimeric proteins were characterized by high specificity (between 96.39% to 100%), whereas the sensitivity of the IgG ELISAs was variable (between 78.49% and 96.77%). The highest sensitivity was observed in the IgG ELISA test based on the AMA1-SAG2-GRA1-ROP1. These data demonstrate that this chimeric protein can be a promising serodiagnostic tool for T. gondii infection in small ruminants. Full article
(This article belongs to the Section Animal Nutrition)
Show Figures

Graphical abstract

Back to TopTop