Sign in to use this feature.

Years

Between: -

Subjects

remove_circle_outline
remove_circle_outline
remove_circle_outline
remove_circle_outline
remove_circle_outline
remove_circle_outline
remove_circle_outline
remove_circle_outline

Journals

Article Types

Countries / Regions

Search Results (37)

Search Parameters:
Keywords = Sen’s nonparametric method

Order results
Result details
Results per page
Select all
Export citation of selected articles as:
26 pages, 17956 KB  
Article
Spatiotemporal Assessment of Climate Change Impacts on Pasture Ecosystems in Central Kazakhstan Using Remote Sensing and Spatial Analysis
by Aigul Tokbergenova, Damira Kaliyeva, Kanat Zulpykharov, Omirzhan Taukebayev, Ruslan Salmurzauly, Aisara Assanbayeva, Ulan Mukhtarov, Bekzat Bilalov and Dias Tokkozhayev
Sustainability 2025, 17(22), 10331; https://doi.org/10.3390/su172210331 - 18 Nov 2025
Viewed by 484
Abstract
The study aims to evaluate the impact of climate change on pasture ecosystems in Central Kazakhstan, particularly within the Karaganda and Ulytau regions. The assessment combines remote sensing indicators (NDVI, LST) with long-term climatic datasets (CRU TS v4.09 and national meteorological records) for [...] Read more.
The study aims to evaluate the impact of climate change on pasture ecosystems in Central Kazakhstan, particularly within the Karaganda and Ulytau regions. The assessment combines remote sensing indicators (NDVI, LST) with long-term climatic datasets (CRU TS v4.09 and national meteorological records) for the period 2000–2024. Non-parametric statistical methods, including the Mann–Kendall trend test, Sen’s slope estimator, and Pettitt’s test, were applied to identify the direction, intensity, and structural shifts in temperature and precipitation trends. The results indicate significant regional warming, especially during summer and spring, alongside spatially inconsistent precipitation changes. The southern and southwestern areas (Zhezkazgan and Satpayev) show intensified aridization, manifested in rising land surface temperatures, decreasing rainfall, and declining vegetation productivity and exacerbated by anthropogenic pressures. Conversely, the eastern and northeastern regions exhibit stable or increasing NDVI values and moderate precipitation growth, suggesting potential for natural recovery. The study concludes that pasture degradation in Central Kazakhstan is driven by combined climatic and human factors, with pronounced spatial heterogeneity. The integrated approach enhances the reliability of climate impact assessments and provides a scientific basis for developing adaptive and region-specific strategies for sustainable pasture management under ongoing climate change. Full article
Show Figures

Figure 1

14 pages, 4613 KB  
Article
Exploring Trends in Earth’s Precipitation Using Satellite-Gauge Estimates from NASA’s GPM-IMERG
by José J. Hernández Ayala and Maxwell Palance
Earth 2025, 6(4), 130; https://doi.org/10.3390/earth6040130 - 17 Oct 2025
Viewed by 1475
Abstract
Understanding global precipitation trends is critical for managing water resources, anticipating extreme events, and assessing the impacts of climate change. This study analyzes spatial and temporal patterns of precipitation from 1998 to 2024 using NASA’s Global Precipitation Measurement Mission (GPM) Integrated Multi-satellite Retrievals [...] Read more.
Understanding global precipitation trends is critical for managing water resources, anticipating extreme events, and assessing the impacts of climate change. This study analyzes spatial and temporal patterns of precipitation from 1998 to 2024 using NASA’s Global Precipitation Measurement Mission (GPM) Integrated Multi-satellite Retrievals for (IMERG) Version 7, which merges satellite observations with rain-gauge data at 0.1° resolution. A total of 324 monthly datasets were aggregated into annual and seasonal composites to evaluate annual and seasonal trends in global precipitation. The non-parametric Mann–Kendall test was applied at the pixel scale to detect statistically significant monotonic trends, and Sen’s slope estimator method was used to quantify the magnitude of change in mean annual and seasonal global precipitation. Results reveal robust and geographically consistent patterns: significant wetting trends are evident in high-latitude regions, with the Arctic and Southern Oceans showing the strongest increases across multiple seasons, including +0.04 mm/day in December–January–February for the Arctic Ocean and +0.04 mm/day in June–July–August for the Southern Ocean. Northern China also demonstrates persistent increases, aligned with recent intensification of extreme late-season precipitation. In contrast, significant drying trends are detected in the tropical East Pacific (up to −0.02 mm/day), northern South America, and some areas in central-southern Africa, highlighting regions at risk of sustained hydroclimatic stress. The North Atlantic south of Greenland emerges as a summer drying hotspot, consistent with Greenland Ice Sheet melt enhancing stratification and reducing precipitation. Collectively, the findings underscore a dual pattern of wetting at high latitudes and drying in tropical belts, emphasizing the role of polar amplification, ocean–atmosphere interactions, and climate variability in shaping Earth’s precipitation dynamics. Full article
Show Figures

Figure 1

26 pages, 5190 KB  
Article
Analyzing the Driving Mechanism of Drought Using the Ecological Aridity Index Considering the Evapotranspiration Deficit—A Case Study in Xinjiang, China
by Hao Tang, Qiao Li, Hongfei Tao, Pingan Jiang, Congcang Tang and Xiangzhi Kong
Agriculture 2025, 15(19), 2016; https://doi.org/10.3390/agriculture15192016 - 26 Sep 2025
Viewed by 620
Abstract
With global warming, the increasing frequency of drought events threatens the stability of ecosystems, so the development of a rational ecological drought monitoring and assessment model is urgently needed. In this study, an evapotranspiration deficit (ED) was added for the first time into [...] Read more.
With global warming, the increasing frequency of drought events threatens the stability of ecosystems, so the development of a rational ecological drought monitoring and assessment model is urgently needed. In this study, an evapotranspiration deficit (ED) was added for the first time into the construction of an ecological drought index. Considering atmospheric water deficit (WD), soil moisture (SM) and runoff (RF), both the Copula method and a nonparametric method were used to construct a multivariate comprehensive drought index (MCDI) to monitor ecological drought. The MCDI was evaluated using Pearson, actual drought validation, Theil–Sen, Mann–Kendall and ExtraTrees+SHAP methods, in order to assess differences between construction methods, analyze the drivers and sensitivities of ecological drought in Xinjiang, China, and specifically explore the role of ED in ecological drought. The results showed that (1) ED based on the ratio form is more suitable for capturing SM changes; (2) the performance of the composite drought index was improved in all aspects when cumulative effects were considered, and the ecological drought index based on the nonparametric method was superior to the index using the Copula method; (3) soil moisture was identified as the main contributor to ecological drought in Xinjiang, with the strongest synergistic effect occurring between SM and ED; and (4) the sensitivity of ecological drought to soil moisture within the arid regions increased nonlinearly along the decreasing SM gradient. In addition, the sensitivity to all drivers increased over time, with the largest increase observed for RF, followed by SM and then ED. The findings of this paper provide a useful reference for constructing a comprehensive drought index at the global scale, since the nonparametric method requires considerably fewer computational resources compared with the Copula method. In addition, the identified synergistic effect of ED and SM offers a new theoretical basis for ecological drought prevention and management in arid regions. Full article
Show Figures

Figure 1

21 pages, 3218 KB  
Article
Analysis of the Evolution of Rural Fire Occurrences in Guimarães (Portugal) in the Period 1980–2020: Relationship with Climatic Parameters
by Leonel J. R. Nunes
Fire 2025, 8(9), 354; https://doi.org/10.3390/fire8090354 - 5 Sep 2025
Viewed by 833
Abstract
Background: Rural fires represent a significant environmental and socioeconomic challenge in Mediterranean regions, particularly in Portugal, which experiences some of the highest fire incidences in Europe. Understanding the temporal evolution of fire occurrences and their relationship with climatic parameters is crucial for developing [...] Read more.
Background: Rural fires represent a significant environmental and socioeconomic challenge in Mediterranean regions, particularly in Portugal, which experiences some of the highest fire incidences in Europe. Understanding the temporal evolution of fire occurrences and their relationship with climatic parameters is crucial for developing effective fire management strategies and adapting to climate change impacts. This study aims to analyze the evolution of rural fire occurrences in Guimarães, northern Portugal, during the period 1980–2020, and to investigate their relationship with climatic parameters, specifically temperature and precipitation patterns. Methods: We analyzed a comprehensive dataset of rural fire occurrences and burnt areas in the Guimarães municipality from 1980 to 2020, along with corresponding climatic data including mean annual temperature and total annual precipitation. Statistical analyses included descriptive statistics, Mann–Kendall trend analysis, Pearson and Spearman correlation analyses, and multiple linear regression modeling. The relationships between fire variables and climatic parameters were examined using both parametric and non-parametric approaches. Results: The analysis revealed significant temporal trends and climate–fire relationships. Mean annual temperature showed a statistically significant increasing trend (Mann–Kendall Z = 3.055, p = 0.002) with a Sen’s slope of 0.032 °C/year, representing approximately 1.3 °C warming over the 40-year period. Rural fire occurrences demonstrated a positive correlation with mean temperature (Pearson r = 0.459, p = 0.003; Spearman ρ = 0.453, p = 0.003), while total burnt area also showed significant positive correlation with temperature (Pearson r = 0.426, p = 0.005; Spearman ρ = 0.466, p = 0.002). Precipitation showed no significant correlation with fire variables. Multiple regression models explained 23.1% of the variance in fire occurrences and 18.3% of the variance in burnt area, with temperature being the primary climatic predictor. Conclusions: The study provides evidence of a significant warming trend in Guimarães over the past four decades, which is positively associated with increased rural fire activity. The consistent relationship between temperature and fire variables suggests that continued climate warming may lead to increased fire risk in the region. These findings have important implications for fire management strategies and climate adaptation planning in northern Portugal. Full article
Show Figures

Figure 1

20 pages, 6376 KB  
Article
Analyses of MODIS Land Cover/Use and Wildfires in Italian Regions Since 2001
by Ebrahim Ghaderpour, Francesca Bozzano, Gabriele Scarascia Mugnozza and Paolo Mazzanti
Land 2025, 14(7), 1443; https://doi.org/10.3390/land14071443 - 10 Jul 2025
Cited by 10 | Viewed by 935
Abstract
Monitoring land cover/use dynamics and wildfire occurrences is very important for land management planning and risk mitigation practices. In this research, moderate-resolution imaging spectroradiometer (MODIS) annual land cover images for the period 2001–2023 are utilized for the twenty administrative regions of Italy. Monthly [...] Read more.
Monitoring land cover/use dynamics and wildfire occurrences is very important for land management planning and risk mitigation practices. In this research, moderate-resolution imaging spectroradiometer (MODIS) annual land cover images for the period 2001–2023 are utilized for the twenty administrative regions of Italy. Monthly MODIS burned area images are utilized for the period 2001–2020 to study wildfire occurrences across these regions. In addition, monthly Global Precipitation Measurement images for the period 2001–2020 are employed to estimate correlations between precipitation and burned areas annually and seasonally. Boxplots are produced to show the distributions of each land cover/use type within the regions. The non-parametric Mann–Kendall trend test and Sen’s slope are applied to estimate a linear trend, with statistical significance being evaluated for each land cover/use time series of size 23. Pearson’s correlation method is applied for correlation analysis. It is found that grasslands and woodlands have been declining and increasing in most regions, respectively, most significantly in Abruzzo (−0.88%/year for grasslands and 0.71%/year for grassy woodlands). The most significant and frequent wildfires have been observed in southern Italy, particularly in Basilicata, Apulia, and Sicily, mainly in grasslands. The years 2007 and 2017 experienced severe wildfires in the southern regions, mainly during July and August, due to very hot and dry conditions. Negative Pearson’s correlations are estimated between precipitation and burnt areas, with the most significant one being for Basilicata during the fire season (r = −0.43). Most of the burned areas were mainly within the elevation range of 0–500 m and the lowlands of Apulia. In addition, for the 2001–2020 period, a high positive correlation (r > 0.7) is observed between vegetation and land surface temperature, while significant negative correlations between these variables are observed for Apulia (r ≈ −0.59), Sicily (r ≈ −0.69), and Sardinia (r ≈ −0.74), and positive correlations (r > 0.25) are observed between vegetation and precipitation in these three regions. This study’s findings can guide land managers and policymakers in developing or maintaining a sustainable environment. Full article
(This article belongs to the Special Issue Integration of Remote Sensing and GIS for Land Use Change Assessment)
Show Figures

Figure 1

21 pages, 15000 KB  
Article
Spatiotemporal Dynamics and Driving Mechanism of Aboveground Biomass Across Three Alpine Grasslands in Central Asia over the Past 20 Years Using Three Algorithms
by Xu Wang, Yansong Li, Yanming Gong, Yanyan Liu, Jin Zhao and Kaihui Li
Remote Sens. 2025, 17(3), 538; https://doi.org/10.3390/rs17030538 - 5 Feb 2025
Cited by 3 | Viewed by 2089
Abstract
Aboveground biomass (AGB) is a sensitive indicator of grassland resource quality and ecological degradation. However, accurately estimating AGB at large scales to reveal long-term trends remains challenging. Here, single-factor parametric models, multi-factor parametric models, and multi-factor non-parametric models (Random Forest) were developed for [...] Read more.
Aboveground biomass (AGB) is a sensitive indicator of grassland resource quality and ecological degradation. However, accurately estimating AGB at large scales to reveal long-term trends remains challenging. Here, single-factor parametric models, multi-factor parametric models, and multi-factor non-parametric models (Random Forest) were developed for three grassland types (alpine meadow, alpine grassland, and swampy meadow) in the Bayanbuluk Grassland using MODIS satellite data and environmental factors, including climate and topography. A 10-fold cross-validation method was employed to assess the accuracy and stability of these models, and an AGB remote sensing inversion model was established to estimate the AGB of the Bayanbuluk Grassland from 2005 to 2024. Moreover, the BEAST mutation test, Theil–Sen median trend analysis, and Mann–Kendall test were used to analyse the temporal trends of AGB, identify the years of mutation points, and explore the changes in AGB across the entire study period (2005–2024) and at 5-year intervals, considering the influence of climatic factors. The results indicated that the machine learning (RF) model outperformed both multi-factor parametric and single-factor parametric models, with specific improvements in R2 and RMSE across all grassland types. For instance, the RF model achieved an R2 of 0.802 in alpine grasslands, outperforming the multi-factor parametric model with an R2 of 0.531. The overall spatial distribution of AGB exhibited heterogeneity, with a gradual increase from northwest to southeast over the study period. Interannual AGB changes fluctuated significantly, with an overall increasing trend. Notably, from 2015 to 2019, 78% of the Bayanbuluk Grassland area showed a nonsignificant increase in AGB. Specifically, 46.7% of the alpine meadow AGB, 23% of the alpine grassland AGB, and 8.3% of the swampy meadow AGB showed non-significant increases. Further, temperature was found to be the dominant driver of AGB, with a stronger effect on alpine meadows and alpine grasslands than on swampy meadows. This is likely due to the relatively constant moisture levels in the swampy meadows, where precipitation plays a more prominent role. This study provides a comprehensive assessment of AGB trends, including both spatial and temporal analyses, which will inform future grassland resource management. Full article
Show Figures

Figure 1

15 pages, 5676 KB  
Article
The Spatiotemporal Dynamics of Vegetation Cover and Its Response to the Grain for Green Project in the Loess Plateau of China
by Yinlan Huang, Yunxiang Jin and Shi Chen
Forests 2024, 15(11), 1949; https://doi.org/10.3390/f15111949 - 6 Nov 2024
Cited by 10 | Viewed by 2031
Abstract
The Grain for Green Project (GGP) is a major national initiative aimed at ecological improvement and vegetation restoration in China, achieving substantial ecological and socio-economic benefits. Nevertheless, research on vegetation cover trends and the long-term restoration efficacy of the GGP in the Loess [...] Read more.
The Grain for Green Project (GGP) is a major national initiative aimed at ecological improvement and vegetation restoration in China, achieving substantial ecological and socio-economic benefits. Nevertheless, research on vegetation cover trends and the long-term restoration efficacy of the GGP in the Loess Plateau remains limited. This study examines the temporal–spatial evolution and sustainability of vegetation cover in this region, using NDVI data from Landsat (2000–2022) with medium-high spatial resolution. The analytical methods involve Sen’s slope, Mann–Kendall non-parametric test, and Hurst exponent to assess trends and forecast sustainability. The findings reveal that between 2000 and 2022, vegetation coverage in the Loess Plateau increased by an average of 0.86% per year (p < 0.01), marked by high vegetation cover expansion (173 × 103 km2, 26.49%) and low vegetation cover reduction (149 × 103 km2, 22.83%). The spatial pattern exhibited a northwest-to-southeast gradient, with a transition from low to high coverage levels, reflecting a persistent increase in high vegetation cover and decrease in low vegetation cover. Approximately 93% of the vegetation cover in the Loess Plateau showed significant improvement, while 5% (approximately 31 × 103 km2) displayed a degradation trend, mainly in the urbanized and Yellow River Basin regions. Projections suggest that 90% of vegetation cover will continue to improve. In GGP-targeted areas, high and medium-high levels of vegetation cover increased significantly at rates of 0.456 ×103 km2/year and 0.304 × 103 km2/year, respectively, with approximately 75% of vegetation cover levels exhibiting positive trends. This study reveals the effectiveness of the GGP in promoting vegetation restoration in the Loess Plateau, offering valuable insights for vegetation recovery research and policy implementation in other ecologically fragile regions. Full article
(This article belongs to the Special Issue Application of Remote Sensing in Vegetation Dynamic and Ecology)
Show Figures

Figure 1

15 pages, 2402 KB  
Article
Assessment of Hydrometeorological Impacts of Climate Change on Water Bodies in Northern Kazakhstan
by Baurzhan Yessenzholov, Abilzhan Khussainov, Anuarbek Kakabayev, Ivan Plachinta, Zulfiya Bayazitova, Gulmira Kyzdarbekova, Uzak Zhamkenov and Makhabbat Ramazanova
Water 2024, 16(19), 2794; https://doi.org/10.3390/w16192794 - 1 Oct 2024
Cited by 4 | Viewed by 2126
Abstract
This article examines the impact of climate change on the hydrometeorological indicators of some lakes and reservoirs in the Akmola and North Kazakhstan regions. Two meteorological variables’ annual and seasonal trends at three weather stations in 1986–2023 were analyzed. The non-parametric Mann–Kendall and [...] Read more.
This article examines the impact of climate change on the hydrometeorological indicators of some lakes and reservoirs in the Akmola and North Kazakhstan regions. Two meteorological variables’ annual and seasonal trends at three weather stations in 1986–2023 were analyzed. The non-parametric Mann–Kendall and Sen’s slope methods were used to determine the presence of a positive or negative trend in weather data and their statistical significance. Hydrometric indicators were studied using the ArcGIS 10.8 program from 1995 to 2023. The results indicate an increasing average spring air temperature, with an annual rise of 0.08–0.09 °C. A significant trend in increasing average annual precipitation was observed in Saumalkol, with a rise of 4.7 mm per year. In contrast, no significant trends were found in the annual and seasonal precipitation data for Sergeyevka. It was also found that the area of Lake Saumalkol increased by 1.6% due to a rise in annual precipitation. In contrast, the area of Lake Kopa decreased by 6.04% because of an increase in the annual average temperature. Full article
(This article belongs to the Section Water and Climate Change)
Show Figures

Figure 1

25 pages, 5144 KB  
Article
Assessing the Effects of Climate Variability on Maize Yield in the Municipality of Dschang—Cameroon
by Coretta Tchouandem Nzali, Cherifa Abdelbaki and Navneet Kumar
Land 2024, 13(9), 1360; https://doi.org/10.3390/land13091360 - 25 Aug 2024
Cited by 3 | Viewed by 3318
Abstract
Evidence-based research on the effects of rainfall, temperature, and relative humidity variability on maize yield is essential for understanding the climate dynamics of, and paving the way for informed adaptive solutions to future potential negative impacts in, Dschang-Cameroon. This study employed the non-parametric [...] Read more.
Evidence-based research on the effects of rainfall, temperature, and relative humidity variability on maize yield is essential for understanding the climate dynamics of, and paving the way for informed adaptive solutions to future potential negative impacts in, Dschang-Cameroon. This study employed the non-parametric Mann–Kendall and Sen’s slope method to detect trends in climate variables and maize yield in the period between 1990 to 2018. Pearson correlation and multilinear regression (MLR) analyses were also used to establish the linear relationship between climate variables and maize yield, and to explore the behavior of the response variable (maize yield) with the predictor variables (climatic variables), respectively. In addition, perceptions of climate variability and its impact on maize yield from a hundred farmers were collected through a questionnaire and analyzed in SPSS. Twenty key informants’ interviews (KII) were conducted using a semi-structured interview and analyzed by thematic analysis. The results showed that the minimum temperature exhibited a decreasing trend at a rate of 0.039 °C per annum, whereas relative humidity had an increasing trend of 0.25% per annum with statistical significance at p = 0.001. In addition, a decreasing trend of rainfall, at a rate of 4.94 mm per annum, was observed; however, this had no statistical significance. Furthermore, the MLR analysis showed that mean temperature and relative humidity have an inversely proportional but statistically significant relationship with maize yield (p = 0.046 and p = 0.001, respectively). The analysis of farmers’ perceptions confirmed the results of trend analyses of decreasing rainfall and increasing maximum temperatures. Moreover, the farmers asserted that the vulnerability of farmers to climate variability is also linked to gender and locality, where women’s outputs are more assailable and farms in low-lying areas are more prone to floods. The high price of farm inputs was also reported as a key factor, other than climate variability, hindering the flourishing of the maize sector in Dschang. Finally, an analysis of the KII indicated the inadequate implementation of flagship agricultural programs in the locality. Full article
(This article belongs to the Special Issue Sustainability and Peri-Urban Agriculture II)
Show Figures

Figure 1

26 pages, 9167 KB  
Article
Spatiotemporal Analysis of Hydrometeorological Factors in the Source Region of the Dongting Lake Basin, China
by Shanshan Li, Changbo Jiang, Yuan Ma and Chuannan Li
Atmosphere 2023, 14(12), 1793; https://doi.org/10.3390/atmos14121793 - 6 Dec 2023
Cited by 2 | Viewed by 1937
Abstract
The Dongting Lake basin, located in the middle Yangtze River region, has long been under the threat of climate change. However, there has been a lack of comprehensive analysis and research on the long-term trends and interactions among hydrometeorological factors within the region. [...] Read more.
The Dongting Lake basin, located in the middle Yangtze River region, has long been under the threat of climate change. However, there has been a lack of comprehensive analysis and research on the long-term trends and interactions among hydrometeorological factors within the region. To address this gap, this study collected data from 31 meteorological stations in the region and employed statistical analysis methods, including the non-parametric Mann–Kendall test, Sen’s slope test, and cross-wavelet analysis. The results revealed significant increases in temperatures, especially in the spring season, while summer, winter, and annual rainfall also exhibited a significant increase. However, spring and autumn rainfall showed a non-significant decrease, and there was a clear decreasing trend in annual streamflow. Interestingly, evaporation demonstrated a significant increasing trend. The annual average temperature and annual runoff exhibited approximately negative correlations in the 6–10-year resonance period and positive correlations in the 4–6-year resonance period. There are significant positive resonance periods in the relationship between annual precipitation and annual runoff within the range of 0–12 years, indicating that precipitation has a substantial impact and serves as the primary source of runoff. Furthermore, there was a transition between “abundance” and “dry” periods in the annual runoff around 4 a, occurring before and after 1973 and 2005. The change points in annual precipitation and runoff were identified as 1993 and 1983. Full article
(This article belongs to the Special Issue Characteristics of Extreme Climate Events over China)
Show Figures

Figure 1

20 pages, 3316 KB  
Article
The Compound Response Relationship between Hydro-Sedimentary Variations and Dominant Driving Factors: A Case Study of the Huangfuchuan basin
by Jingwei Yao, Zhanbin Li, Wenyi Yao, Peiqing Xiao, Pan Zhang, Mengyao Xie, Jingshu Wang and Shasha Mei
Sustainability 2023, 15(18), 13632; https://doi.org/10.3390/su151813632 - 12 Sep 2023
Cited by 4 | Viewed by 1417
Abstract
The Huangfuchuan basin is one of the major sources of coarse sediment in the Yellow River and has long been a focal point and challenge for the conservation of soil and water in the Yellow River Basin. In this study, we analyzed the [...] Read more.
The Huangfuchuan basin is one of the major sources of coarse sediment in the Yellow River and has long been a focal point and challenge for the conservation of soil and water in the Yellow River Basin. In this study, we analyzed the phase differentiation characteristics of water–sediment variations during the flood season in the Huangfuchuan basin using a long-term dataset. We elucidated the complex response relationship between water–sediment variations and meteorological factors and human activities, which is of great significance for revealing the mechanisms of water–sediment variations in the region and establishing a scientific water–sediment regulation system in the basin. Statistical methods such as the Mann–Kendall trend test, Sen’s slope estimation, Pettitt nonparametric test, and principal component analysis were employed to identify and analyze the trends and dominant driving factors before and after the water–sediment variations and abrupt changes in parameters such as rainfall and temperature in the Huangfuchuan basin. Additionally, multiple regression analysis was used to determine the extent of the contribution of climate and human activities to water–sediment variations in the Huangfuchuan basin. The study revealed that the year 2000 was a turning point for water–sediment variations, with decreases of 11.3%, 76.7%, and 85.1% in flood season rainfall, flood season runoff, and flood season sediment transport, respectively. Despite significant changes in the underlying surface conditions of the Huangfuchuan basin, the relationship between flood season sediment transport and flood season runoff remained a power–law relationship. In the absence of obvious abrupt changes in temperature, rainfall, and other meteorological factors, the changes in the underlying surface caused by human activities are the main cause of the changes in runoff and sediment yield in the Huangfuchuan basin. The current level of vegetation restoration in the Huangfuchuan basin is still relatively low, making it difficult to exert stronger control on sediment yield during the flood season. Meanwhile, human activities, primarily based on engineering measures, play a more significant role in the control of soil and water loss in the basin. Full article
(This article belongs to the Special Issue Soil Erosion and Water and Soil Conservation)
Show Figures

Figure 1

34 pages, 11080 KB  
Article
Evaluation of Temporal Stability in Radiometric Calibration Network Sites Using Multi-Source Satellite Data and Continuous In Situ Measurements
by Enchuan Qiao, Chao Ma, Hao Zhang, Zhenzhen Cui and Chenglong Zhang
Remote Sens. 2023, 15(10), 2639; https://doi.org/10.3390/rs15102639 - 18 May 2023
Cited by 8 | Viewed by 2763
Abstract
The radiometric calibration network (RadCalNet) comprises four pseudo-invariant calibration sites (PICS): Gobabeb, Baotou, Railroad Valley Playa, and La Crau. Due to its site stability characteristics, it is widely used for sensor performance monitoring and radiometric calibration, which require high spatiotemporal stability. However, some [...] Read more.
The radiometric calibration network (RadCalNet) comprises four pseudo-invariant calibration sites (PICS): Gobabeb, Baotou, Railroad Valley Playa, and La Crau. Due to its site stability characteristics, it is widely used for sensor performance monitoring and radiometric calibration, which require high spatiotemporal stability. However, some studies have found that PICS are not invariable. Previous studies used top-of-atmosphere (TOA) data without verifying site data, which could affect the accuracy of their results. In this study, we analyzed the short- and long-term radiometric trends of RadCalNet sites using bottom-of-atmosphere (BOA) data, and verified the trends revealed by the TOA data from Landsat 7, 8, and Sentinel-2. Besides the commonly used methods (e.g., nonparametric Mann–Kendall and sequential Mann–Kendall tests), a more robust Sen’s slope method was used to estimate the magnitude of the change. We found that (1) the trends based on TOA reflectance contrasted with those based on BOA reflectance in certain cases, e.g., the reflectance trends in the red band of BOA data for La Crau in summer and autumn and Baotou were not significant, while the TOA data showed a significant downward trend; (2) the temporal trends showed statistically significant and abrupt changes in all PICS, e.g., the SWIR2 band of La Crau in winter and spring changed by 1.803% per year, and the SWIR1 band of Railroad Valley Playa changed by >0.282% per year, indicating that the real changes in sensor performance are hard to detect using these sites; (3) spatial homogeneity was verified using the coefficient of variation (CV) and Getis statistic (Gi*) for each PICS (CV < 3% and Gi* > 0). Overall, the RadCalNet remains a highly reliable tool for vicarious calibration; however, the temporal stability should be noted for radiometric performance monitoring of sensors. Full article
Show Figures

Figure 1

13 pages, 2983 KB  
Article
Are the Regional Precipitation and Temperature Series Correlated? Case Study from Dobrogea, Romania
by Alina Bărbulescu and Florin Postolache
Hydrology 2023, 10(5), 109; https://doi.org/10.3390/hydrology10050109 - 11 May 2023
Cited by 4 | Viewed by 2998
Abstract
In the context of climate change, this article tries to answer the question of whether a correlation exists between the precipitation and temperature series at a regional scale in Dobrogea, Romania. Six sets of time series are used for this aim, each of [...] Read more.
In the context of climate change, this article tries to answer the question of whether a correlation exists between the precipitation and temperature series at a regional scale in Dobrogea, Romania. Six sets of time series are used for this aim, each of them containing ten series—precipitation and temperatures—recorded at the same period at the same hydro-meteorological stations. The existence of a monotonic trend was first assessed for each individual series. Then, the Regional time series (RTS) (one for a set of series) were built and the Mann–Kendall test was employed to test the existence of a monotonic trend for RTSs. In an affirmative case, Sen’s method was employed to determine the slope of the linear trend. Finally, nonparametric trend tests were utilized to verify if there was a correlation between the six RTSs. This study resulted in the fact that the only RTS presenting an increasing trend was that of minimum temperatures, and there was a weak correlation between the RTS of minimum precipitations and maximum temperatures. Full article
(This article belongs to the Special Issue Stochastic and Deterministic Modelling of Hydrologic Variables)
Show Figures

Figure 1

16 pages, 2965 KB  
Article
Time Series Analysis of Temperature and Rainfall in the Savannah Region in Togo, West Africa
by Komlagan Mawuli Apelete Yao, Edinam Kola, Wole Morenikeji and Walter Leal Filho
Water 2023, 15(9), 1656; https://doi.org/10.3390/w15091656 - 23 Apr 2023
Cited by 5 | Viewed by 3661
Abstract
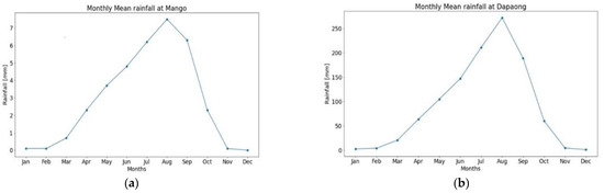
This study investigates the trend in monthly and annual rainfall, and minimum and maximum temperature (Tmin and Tmax) in the Savannah region of Togo. The historical data of Mango and Dapaong weather stations from 1981 to 2019 were used. A serial correlation test [...] Read more.
This study investigates the trend in monthly and annual rainfall, and minimum and maximum temperature (Tmin and Tmax) in the Savannah region of Togo. The historical data of Mango and Dapaong weather stations from 1981 to 2019 were used. A serial correlation test was applied to all time series to identify serially independent series. A Non-parametric Mann–Kendall (MK) test was applied to serially independent series. The magnitude of the trend was calculated using the Sen’s slope (SS) method. For the data influenced by serial correlation, a modified version of the Mann–Kendall test was applied. An open-source library package was developed in the R language, namely, “mkmodified”. For annual rainfall, results showed a significant increasing trend at Dapaong (p < 0.05) and a non-significant decreasing trend at Mango (p > 0.05) at 95%. There was an increasing trend in the Tmin both at Mango and Dapaong. No statistically significant trend was found at Mango (p > 0.05), while at Dapaong (p < 0.05), a significant trend was found at 95%. Simlarly, there was a statistically increasing trend in the Tmax both at Mango and Dapaong. Rainfall in Dapaong has increased (5.50 mm/year) whereas in Mango, it has decreased (−0.93 mm/year). Tmn increased by 0.04 and 0.008 °C per year in Mango and Dapaong, respectively. Tmax increased by 0.03 and 0.02 °C per year in Mango and Dapaong, respectively. A Rainfall Anomaly Index (RAI) was also used to present a temporal variation in rainfall; the historical series presented drier years. Many studies have analysed the trend of climate parameters in northern Togo, but none of them has specifically targeted the Savannah region that is considered the poorest region of the country. Full article
(This article belongs to the Section Water and Climate Change)
Show Figures

Figure 1

16 pages, 11352 KB  
Article
The Impact of Urbanization on Extreme Climate Indices in the Yangtze River Economic Belt, China
by Wentao Yang, Yining Yan, Zhibin Lin, Yijiang Zhao, Chaokui Li, Xinchang Zhang and Liang Shan
Land 2022, 11(9), 1379; https://doi.org/10.3390/land11091379 - 23 Aug 2022
Cited by 5 | Viewed by 2535
Abstract
Urbanization has been proven to be a critical factor in modifying local or regional climate characteristics. This research aims to examine the impact of urbanization on extreme climate indices in the Yangtze River Economic Belt (YREB), China, by using meteorological observation data from [...] Read more.
Urbanization has been proven to be a critical factor in modifying local or regional climate characteristics. This research aims to examine the impact of urbanization on extreme climate indices in the Yangtze River Economic Belt (YREB), China, by using meteorological observation data from 2000 to 2019. Three main steps are involved. First, a clustered threshold method based on remote-sensing nighttime light data is used to extract urban built-up areas, and urban and rural meteorological stations can be identified based on the boundary of urban built-up areas. Nonparametric statistical tests, namely, the Mann–Kendall test and Sen’s slope, are then applied to measure the trend characteristics of extreme climate indices. Finally, the urbanization contribution rate is employed to quantify the impact of urbanization on extreme climate indices. The results indicate that urbanization has a more serious impact on extreme temperature indices than on extreme precipitation indices in the YREB. For extreme temperature indices, urbanization generally causes more (less) frequent occurrence of warm (cold) events. The impact of urbanization on different extreme temperature indices has heterogeneous characteristics, including the difference in contamination levels and spatial variation of the impacted cities. For extreme precipitation indices, only a few cities impacted by urbanization are detected, but among these cities, urbanization contributes to increasing the trend of all indices. Full article
Show Figures

Figure 1

Back to TopTop