Sign in to use this feature.

Years

Between: -

Subjects

remove_circle_outline
remove_circle_outline
remove_circle_outline
remove_circle_outline
remove_circle_outline
remove_circle_outline
remove_circle_outline

Journals

Article Types

Countries / Regions

remove_circle_outline
remove_circle_outline
remove_circle_outline
remove_circle_outline
remove_circle_outline

Search Results (450)

Search Parameters:
Keywords = ST-elevation myocardial infarction (STEMI)

Order results
Result details
Results per page
Select all
Export citation of selected articles as:
19 pages, 1668 KB  
Article
Early Post-STEMI Cardiac Rehabilitation in the CSC-Infarct Program: Real-World Safety and Effectiveness of Individualized Training Protocols
by Agnieszka Grochulska, Sebastian Glowinski and Aleksandra Bryndal
J. Clin. Med. 2026, 15(2), 746; https://doi.org/10.3390/jcm15020746 - 16 Jan 2026
Viewed by 210
Abstract
Background/Objectives: Cardiac remodeling post-myocardial infarction is a critical process determining patient prognosis. Poland’s Coordinated Specialist Care program enables early cardiac rehabilitation (CSC-Infarct) during peak remodeling period. This study evaluated the safety and effectiveness of very early cardiac rehabilitation initiated during peak remodeling [...] Read more.
Background/Objectives: Cardiac remodeling post-myocardial infarction is a critical process determining patient prognosis. Poland’s Coordinated Specialist Care program enables early cardiac rehabilitation (CSC-Infarct) during peak remodeling period. This study evaluated the safety and effectiveness of very early cardiac rehabilitation initiated during peak remodeling (mean 16.8 ± 3.4 days post- ST-elevation myocardial infarction [STEMI]) within the CSC-Infarct program. We examined outcomes following two training modalities—interval and continuous—applied according to clinical guidelines based on baseline exercise capacity. Methods: We enrolled 288 patients (135 women, 153 men, age 59.7 ± 9.8 years) after first STEMI into a 24-day rehabilitation program (5 sessions/week) within CSC-Infarct. Patients received either interval training (n = 127) or continuous training (n = 161) according to National Health Fund protocols. Hemodynamic, metabolic (metabolic equivalents [MET], maximal oxygen uptake [VO2max]), and functional parameters (6-minute walk test [6MWT]) were assessed pre- and post-rehabilitation. Results: Both groups showed significant improvement in most parameters. The continuous training group achieved higher final MET values (8.9 ± 2.5 vs. 6.5 ± 1.9; p < 0.001), VO2max (31.0 ± 8.8 vs. 22.9 ± 6.5 mL/kg/min; p < 0.001), and 6MWT distance (530.9 ± 108.9 vs. 455.6 ± 104.3 m; p < 0.001). Significant improvement in heart rate recovery (HRR), indicating autonomic balance, was observed only in the continuous training group (p = 0.026), not in the interval group (p = 0.290). Conclusions: Early rehabilitation within CSC-Infarct (mean 16.8 days post-infarction) during intensive remodeling is safe and effective. Both training modalities produced clinically significant improvements when appropriately matched to patient baseline capacity. Continuous training showed additional benefit in autonomic balance (HRR improvement), while interval training achieved substantial relative gains (+11.8% in 6MWT) in lower-capacity patients. The CSC-Infarct program provides optimal timing for rehabilitation implementation during the critical cardiac remodeling period. Full article
(This article belongs to the Section Cardiology)
Show Figures

Figure 1

9 pages, 527 KB  
Article
Association Between the Aggregate Index of Systemic Inflammation (AISI) and Tirofiban Use During Primary Percutaneous Coronary Intervention in Patients with ST-Elevation Myocardial Infarction
by Kemal Emrecan Parsova, Erkan Kahraman, Furkan Durak, Khagani Isgandarov and Yalcin Velibey
Medicina 2026, 62(1), 155; https://doi.org/10.3390/medicina62010155 - 13 Jan 2026
Viewed by 141
Abstract
Background and Objectives: Inflammation contributes to plaque rupture and thrombosis in ST-elevation myocardial infarction (STEMI). The Aggregate Index of Systemic Inflammation (AISI) is a novel biomarker that reflects innate immune and thrombotic activation. Due to the connection between inflammation and thrombosis, higher [...] Read more.
Background and Objectives: Inflammation contributes to plaque rupture and thrombosis in ST-elevation myocardial infarction (STEMI). The Aggregate Index of Systemic Inflammation (AISI) is a novel biomarker that reflects innate immune and thrombotic activation. Due to the connection between inflammation and thrombosis, higher AISI values could indicate a greater thrombus burden and the necessity of glycoprotein IIb/IIIa inhibitors. The aim of this study was to assess the relationship between AISI and tirofiban use during primary percutaneous coronary intervention (PCI) in STEMI patients. Materials and Methods: This retrospective study included 2624 STEMI patients who underwent primary PCI at a tertiary heart center between 2019 and 2024. Patients with pre-hospital fibrinolysis, missing laboratory data, or rescue PCI were excluded. AISI was calculated as (neutrophil × monocyte × platelet)/lymphocyte. The primary outcome was tirofiban use during PCI. Univariate and multivariable logistic regression analyses were performed to identify independent predictors, and receiver operating characteristic (ROC) curve analysis was used to evaluate AISI performance. Statistical significance was defined as p < 0.05. Results: Among the 2624 patients with STEMI undergoing primary PCI, tirofiban was administered in 23.5% of cases. Patients receiving tirofiban had significantly higher AISI values (p < 0.001). ROC analysis demonstrated that AISI predicted tirofiban use with a modest discriminative performance (AUC = 0.566; 95% CI 0.536–0.596; p < 0.001). In multivariable logistic regression, younger age (OR 0.98; p < 0.001), higher AISI (per 100-unit increase; OR 1.01; p = 0.037), and lower LVEF (OR 0.98; p < 0.001) independently predicted tirofiban use, whereas admission glucose showed only borderline significance (p = 0.089). Conclusions: Elevated AISI was independently associated with tirofiban use during primary PCI, indicating that systemic inflammatory status parallels intraprocedural decision-making in STEMI. Although its discriminative performance was modest, AISI reflects systemic inflammatory–thrombotic activation in this clinical setting. Full article
(This article belongs to the Section Cardiology)
Show Figures

Figure 1

12 pages, 988 KB  
Article
Predictive Value of Apelin-36 for No-Reflow Phenomenon in STEMI Patients
by Xhevdet Krasniqi, Xhevat Jakupi, Josip Vincelj, Gresa Gojani, Petrit Çuni, Labinot Shahini, Adriana Berisha, Kreshnik Jashari, Blerim Berisha and Aurora Bakalli
Life 2026, 16(1), 94; https://doi.org/10.3390/life16010094 - 8 Jan 2026
Viewed by 220
Abstract
Background: In patients with ST-segment elevation myocardial infarction (STEMI), apelin is upregulated and exerts cardioprotective effects against ischemia–reperfusion injury (IRI). The present study aimed to investigate serum apelin-36 levels in STEMI patients and their relationship with the no-reflow phenomenon. Methods: In this study, [...] Read more.
Background: In patients with ST-segment elevation myocardial infarction (STEMI), apelin is upregulated and exerts cardioprotective effects against ischemia–reperfusion injury (IRI). The present study aimed to investigate serum apelin-36 levels in STEMI patients and their relationship with the no-reflow phenomenon. Methods: In this study, 161 patients presenting with STEMI within 12 h of symptom onset and undergoing primary percutaneous coronary intervention (pPCI) were enrolled. Biochemical parameters, including apelin-36, troponin T, creatine kinase (CK), the MB fraction of creatine kinase (CK-MB), total cholesterol, triglycerides, and other routine laboratory parameters, were measured. Two-dimensional echocardiography was performed in all patients. Thereafter, patients were divided into two groups according to their level of aaapelin-36. Results: Among the 161 consecutive STEMI patients, 115 (71.42%) had Apelin-36 levels ≤ 0.58 ng/mL (group 1), whereas 46 (28.57%) had Apelin-36 levels > 0.58 ng/mL (group 2). In total, 51 (31.67%) STEMI patients experienced no-reflow phenomenon after PCI: 29 (25.21%) of patients with apelin-36 ≤ 0.58 ng/mL and 22 (47.82%) of those with a value > 0.58 ng/mL (p < 0.001). In terms of Gensini score, the mean value in group 1 was 70.29 (±28.76), while in group 2, it was 81.95 (±23.82) (p = 0.004). Overall, a positive correlation between apelin-36 and Gensini score was observed in both groups using Kendall’s correlation analysis (group 1: p = 0.05; group 2: p < 0.0001). Binary logistic regression analysis identified apelin-36 and diabetes mellitus as significant predictors at the 5% level, with p-values of 0.045 and 0.036, respectively. Patients with apelin-36 levels ≤ 0.58 ng/mL had troponin T levels of 290.0 (8.5–9510.0), while those with a value > 0.58 ng/mL had troponin T levels of 132.15 (9.4–5190.0) (p < 0.012). The receiver operating characteristics (ROC) curve of apelin-36 was used to plot the true positive rate against the false positive rate at different cut-off points, with AUC = 0.77 (95% CI, 0.69–0.84), and the cut-off value for apelin-36 was 0.58 ng/mL, with p = 0.001. Conclusions: Significant associations were observed between apelin-36 and the no-reflow phenomenon in patients with STEMI. An apelin-36 cut-off value of 0.58 ng/mL, measured at admission, could be used to identify patients who were at increased risk of no-reflow phenomenon/reperfusion injury. Full article
(This article belongs to the Section Medical Research)
Show Figures

Figure 1

15 pages, 911 KB  
Article
Predictors of Impaired Reperfusion in ST-Elevation Myocardial Infarction Treated with Primary PCI: Preliminary Results from COMA.NET Project
by Maciej Południewski, Emil Julian Dąbrowski, Piotr Pogorzelski, Michał Łuczaj, Julia Kobylińska, Joanna Kruszyńska, Marcin Kożuch and Sławomir Dobrzycki
Diagnostics 2026, 16(1), 149; https://doi.org/10.3390/diagnostics16010149 - 2 Jan 2026
Viewed by 382
Abstract
Background: The no-reflow phenomenon remains a frequent and clinically significant complication in patients with ST-segment elevation myocardial infarction (STEMI) despite advances in primary percutaneous coronary intervention (pPCI). Its determinants are multifactorial and not fully established. This study aimed to identify independent predictors of [...] Read more.
Background: The no-reflow phenomenon remains a frequent and clinically significant complication in patients with ST-segment elevation myocardial infarction (STEMI) despite advances in primary percutaneous coronary intervention (pPCI). Its determinants are multifactorial and not fully established. This study aimed to identify independent predictors of impaired reperfusion after pPCI. Methods: In this prospective study, 100 consecutive STEMI patients treated with successful pPCI in a high-volume tertiary center were analyzed. Impaired reperfusion was defined as ST-segment resolution < 50% or final TIMI flow < 3. Clinical characteristics, laboratory findings, including platelet reactivity, and detailed angiographic and procedural parameters were collected. Independent predictors were evaluated using multivariable logistic regression. Thirty-day and twelve-month mortality were assessed with Kaplan–Meier analysis. Results: Impaired reperfusion occurred in 39% of patients. Compared with the normal reperfusion group, patients with noreflow were older, had lower left ventricular ejection fraction, eGFR, longer ischemia times, and more often presented with anterior STEMI. Platelet reactivity did not differ between groups. Four variables independently predicted impaired reperfusion: longer pain-to-balloon time (OR 1.05 per 10 min, 95% CI 1.02–1.07; p < 0.001), anterior myocardial infarction (OR 5.05, 95% CI 1.14–22.38; p = 0.03), use of predilatation (OR 7.66, 95% CI 1.78–32.9; p = 0.006), and higher Killip–Kimball class (OR 7.69, 95% CI 1.88–31.38; p = 0.004). Impaired reperfusion was associated with significantly higher mortality at 30 days (1.6% vs. 10%; p < 0.001) and 12 months (3.2% vs. 25.6%; p < 0.001). Conclusions: In this prospective STEMI cohort, impaired reperfusion was frequent and strongly associated with adverse short- and long-term outcomes. Ischemia duration, infarct location, hemodynamic status, and procedural strategy were key determinants of noreflow, while platelet reactivity showed no significant association. Full article
Show Figures

Figure 1

13 pages, 475 KB  
Article
Sleep Quality as a Predictor of Coronary Artery Disease Severity in Geriatric Acute Coronary Syndrome
by Hasan Can Konte, Emir Dervis, Omer Alyan and Dursun Aras
Medicina 2026, 62(1), 101; https://doi.org/10.3390/medicina62010101 - 2 Jan 2026
Viewed by 390
Abstract
Background and Objectives: The conflicting findings in existing studies and insufficient evidence highlight the necessity for additional research on the relationship between sleep quality and coronary artery disease (CAD) in elderly acute coronary syndrome (ACS) patients. We aimed to investigate the association between [...] Read more.
Background and Objectives: The conflicting findings in existing studies and insufficient evidence highlight the necessity for additional research on the relationship between sleep quality and coronary artery disease (CAD) in elderly acute coronary syndrome (ACS) patients. We aimed to investigate the association between sleep quality and the CAD severity of in geriatric patients with ACS. Materials and Methods: This retrospective observational cohort study analyzed data from 308 patients aged 65 years and older admitted with ACS who had undergone coronary angiography between May 2022 and June 2025 at a tertiary cardiology department. Sleep quality was assessed using the Pittsburgh Sleep Quality Index (PSQI) at the 6-month follow-up, with scores > 5 indicating poor quality. CAD severity was quantified by SYNTAX score from angiograms. The primary endpoint was the relationship between PSQI and SYNTAX score, with secondary analyses concerning factors associated with clinical outcomes. Results: Poor sleep quality (PSQI > 5) was associated with higher SYNTAX scores (p < 0.001), lower ejection fraction (p < 0.001), higher CRP (median 5.1 vs. 4.05, p = 0.029), NT-proBNP (median 748.5 vs. 595, p = 0.034), lower glomerular filtration rate (p = 0.025), and higher hypertension prevalence (p = 0.034). ST-elevation myocardial infarction was more common in subjects with poor sleep. Multivariable logistic regression identified hypertension (p = 0.011), reduced ejection fraction (p = 0.030), STEMI (p = 0.045), intermediate SYNTAX (p = 0.003), and high SYNTAX (p = 0.009) as associated factors of poor sleep. Conclusions: Poor sleep quality is independently linked to greater CAD severity in geriatric ACS patients. This is a modifiable risk factor that can reduce morbidity and mortality in this high-risk group. Full article
(This article belongs to the Section Cardiology)
Show Figures

Figure 1

18 pages, 1248 KB  
Review
Endocan as a Novel Biomarker for Endothelial Dysfunction and Cardiovascular Prognosis in ST-Elevation Myocardial Infarction: A Contemporary Literature Review
by Sourabh Khatri, Pooja Suchday, Ananth Guddeti, Supritha Nanna, Shashank Gupta, Haritha Darapaneni, Adil Sarvar Mohammed, Rupak Desai and Hassaan Imtiaz
J. Pers. Med. 2026, 16(1), 7; https://doi.org/10.3390/jpm16010007 - 29 Dec 2025
Viewed by 272
Abstract
The pathophysiology of ST-elevated myocardial infarction (STEMI) extends beyond coronary artery occlusion to include microvascular and endothelial dysfunction, both of which critically influence outcomes. Endocan, a soluble dermatan sulfate proteoglycan secreted by endothelial cells, has emerged as a novel biomarker of endothelial activation [...] Read more.
The pathophysiology of ST-elevated myocardial infarction (STEMI) extends beyond coronary artery occlusion to include microvascular and endothelial dysfunction, both of which critically influence outcomes. Endocan, a soluble dermatan sulfate proteoglycan secreted by endothelial cells, has emerged as a novel biomarker of endothelial activation and dysfunction. Recent studies suggest that elevated endocan levels may carry prognostic significance in patients with STEMI, particularly those undergoing percutaneous coronary intervention (PCI). A comprehensive search of PubMed, Cochrane Library, and Google Scholar was conducted to identify studies evaluating endocan as a prognostic biomarker in STEMI. Review articles, case reports, case series, and experimental studies were excluded. Seven clinical studies, comprising sample sizes ranging from 80 to 320 patients, met the inclusion criteria. Across these studies, endocan levels were analyzed in relation to established prognostic markers and clinical outcomes. Key findings demonstrated that higher endocan levels correlated with stress hyperglycemia (r = 0.21, p < 0.05), higher SYNTAX scores, and worse in-hospital outcomes. A cutoff value of 1.7 ng/mL predicted STEMI with 76.1% sensitivity and 73.6% specificity. Elevated endocan levels also showed positive correlations with the TIMI risk score, major adverse cardiovascular events (MACE), and were identified as independent predictors of incomplete ST-segment resolution (STR) (p = 0.044) and no-reflow phenomenon (NRP) (p < 0.001, OR = 2.39, 95% CI = 1.37–4.15). Collectively, the evidence indicates that endocan is strongly associated with endothelial dysfunction, MACE, NRP post-PCI, and impaired reperfusion. Moreover, traditional prognostic indices such as TIMI and SYNTAX scores appear to correlate with circulating endocan levels. However, variability in reported cutoff values across studies highlights the need for larger, multicenter trials with standardized endpoints to establish endocan’s diagnostic and prognostic utility in STEMI. Full article
(This article belongs to the Special Issue New Perspectives and Current Challenges in Myocardial Infarction)
Show Figures

Figure 1

13 pages, 1767 KB  
Article
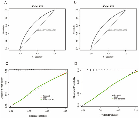
Development and Validation of a Simple-to-Use Nomogram of In-Hospital Heart Failure in Patients with Acute Myocardial Infarction
by Ou Zhang, Yu Geng, Lei Bi, Jian Jia, Siyuan Li, Haowen Xue, Yintang Wang, Yifei Wang and Ping Zhang
J. Clin. Med. 2026, 15(1), 194; https://doi.org/10.3390/jcm15010194 - 26 Dec 2025
Viewed by 352
Abstract
Background: Patients with acute myocardial infarction (AMI) who experience in-hospital heart failure (HF) would present a higher risk for fatal events. This study aims to develop and validate a simple-to-use diagnostic nomogram to identify high-risk individuals for in-hospital HF in patients with [...] Read more.
Background: Patients with acute myocardial infarction (AMI) who experience in-hospital heart failure (HF) would present a higher risk for fatal events. This study aims to develop and validate a simple-to-use diagnostic nomogram to identify high-risk individuals for in-hospital HF in patients with AMI. Methods: Using data from CCC-ACS (Improving Care for Cardiovascular Disease in China-Acute Coronary Syndrome) project (2014–2019), this study included 74,697 patients with ST elevation myocardial infarction (STEMI) or non-STEMI (NSTEMI) who admitted within 24 h after symptom onset, without HF, cardiac arrest, or cardiac shock at admission. Independent predictors were identified through univariate logistic regression analyses and least absolute shrinkage and selection operator (LASSO) regression. A nomogram was subsequently constructed based on multivariate logistic regression. The model’s performance was evaluated by its discrimination and calibration, assessed using Harrell’s C-index and calibration curves with Hosmer–Lemeshow goodness-of-fit tests, respectively. Results: Six predictors were selected for the final nomogram, including age, heart rate, history of atrial fibrillation, history of chronic obstructive pulmonary disease, history of chronic HF, and history of chronic kidney disease. The nomogram demonstrated a C-index of 0.68 (95% CI: 0.66–0.69) in the training cohort and 0.67 (95% CI: 0.66–0.69) in the validation cohort. The calibration curves of the nomogram showed a strong calibration, as Hosmer–Lemeshow goodness-of-fit tests yielded chi-squares of 11.00 (p = 0.21) and 8.48 (p = 0.39) for the training and validation cohort, respectively. Conclusions: This simple-to-use nomogram for effectively predicting the risk for in-hospital HF may be used as a helpful tool in clinical decision-making during treatment and management in patients with AMI. Full article
Show Figures

Graphical abstract

10 pages, 5014 KB  
Case Report
Unveiling the Hidden Risk: Ticagrelor-Induced Bradyarrhythmias and Conduction Complications in ACS Patients—Case Series
by Aleksandra Gorzynska-Schulz, Damian Stencelewski, Ludmiła Daniłowicz-Szymanowicz, Monika Lica-Gorzynska, Agata Firkowska and Elżbieta Wabich
J. Cardiovasc. Dev. Dis. 2026, 13(1), 7; https://doi.org/10.3390/jcdd13010007 - 22 Dec 2025
Viewed by 329
Abstract
Background: Ticagrelor is a reversible, direct inhibitor of the platelet adenosine diphosphate (P2Y12) receptor, widely used in combination with acetylsalicylic acid (ASA) as dual antiplatelet therapy (DAPT) in patients with acute coronary syndrome (ACS) to prevent cardiovascular events. Despite its well-established efficacy, ticagrelor [...] Read more.
Background: Ticagrelor is a reversible, direct inhibitor of the platelet adenosine diphosphate (P2Y12) receptor, widely used in combination with acetylsalicylic acid (ASA) as dual antiplatelet therapy (DAPT) in patients with acute coronary syndrome (ACS) to prevent cardiovascular events. Despite its well-established efficacy, ticagrelor may cause adverse effects ranging from common ones (e.g., bleeding, dyspnea) to rare but potentially serious reactions such as bradyarrhythmias. These rare events are likely related to elevated adenosine levels secondary to inhibition of the human equilibrative nucleoside transporter 1 (hENT1). Methods: We describe two clinical cases of ticagrelor-associated bradyarrhythmia observed in patients following ACS. Both cases were analyzed in terms of clinical presentation, ECG findings, management strategy, and outcomes after discontinuation of the drug. Results: The first case concerns a 67-year-old woman with non-ST-segment elevation myocardial infarction (NSTEMI) who developed complete atrioventricular block (third degree) with a 45 s asystolic pause and syncope. The second case involves a 67-year-old man with anterior ST-segment elevation myocardial infarction (STEMI) who experienced recurrent sinus pauses lasting up to 5 s. In both cases, symptoms resolved following ticagrelor discontinuation and theophylline administration. No recurrence of arrhythmia was observed after switching to prasugrel. Conclusions: Ticagrelor-induced bradyarrhythmias, although rare, represent an important and reversible adverse effect that clinicians should be aware of, particularly during the early post-ACS phase. Prompt recognition and drug withdrawal may prevent severe outcomes and avoid unnecessary interventions such as pacemaker implantation. Further studies are warranted to identify patient-specific risk factors predisposing to ticagrelor-related conduction disturbances. Full article
Show Figures

Figure 1

14 pages, 1208 KB  
Article
The Uremic Toxin p-Cresyl Sulfate Is a New Predictor of Major Adverse Cardiovascular Events in Patients with ST-Elevation Myocardial Infarction
by Laure-Anne Raillon, Thomas Bochaton, Griet Glorieux, Fitsum Guebre-Egziabher and Christophe Olivier Soulage
Toxins 2026, 18(1), 4; https://doi.org/10.3390/toxins18010004 - 20 Dec 2025
Viewed by 564
Abstract
ST-elevation myocardial infarction (STEMI) remains a major health concern despite advances in care. Indoxyl sulfate (IS) and p-cresyl-sulfate (p-CS) are gut-derived uremic toxins linked to higher morbidity and mortality in patients with chronic kidney disease (CKD). IS has been identified as an independent [...] Read more.
ST-elevation myocardial infarction (STEMI) remains a major health concern despite advances in care. Indoxyl sulfate (IS) and p-cresyl-sulfate (p-CS) are gut-derived uremic toxins linked to higher morbidity and mortality in patients with chronic kidney disease (CKD). IS has been identified as an independent predictor of major adverse cardiovascular events (MACE) after STEMI, but data on p-CS are lacking. This study assessed the predictive value of IS and p-CS in STEMI patients with preserved renal function (cohort # NCT03070496). Plasma IS and p-CS were measured in 260 patients with STEMI who underwent primary coronary angiography. Samples collected 4 h after inclusion were analyzed using ultra-performance liquid chromatography with fluorescence detection. Optimal cut-offs were determined by the Youden index, and associations with MACE were evaluated by log-rank tests and Cox regression. Among 234 analyzed patients, 11.5% experienced MACE within one year. IS and p-CS levels were higher in the MACE group (IS: 3.14 vs. 2.19 µmol/L, p < 0.05; p-CS: 6.76 vs. 2.70 µmol/L, p < 0.01). Elevated p-CS independently predicted MACE (HR 3.79, 95% CI 1.29–11.17, p < 0.05), whereas IS lost significance after adjusting for kidney function. In STEMI patients, plasma p-CS is a stronger independent predictor of MACE than IS, highlighting its potential role in the gut–heart axis. Full article
(This article belongs to the Section Uremic Toxins)
Show Figures

Figure 1

27 pages, 4598 KB  
Systematic Review
Comparative Meta-Analysis of Left Ventricular Mechanics in Takotsubo Syndrome and Anterior STEMI Due to Left Anterior Descending Artery Occlusion
by Andrea Sonaglioni, Gian Luigi Nicolosi, Michele Lombardo, Massimo Baravelli and Paola Muti
J. Clin. Med. 2025, 14(24), 8748; https://doi.org/10.3390/jcm14248748 - 10 Dec 2025
Viewed by 416
Abstract
Background: Takotsubo syndrome (TTS) often mimics anterior ST-elevation myocardial infarction (STEMI) caused by left anterior descending (LAD) occlusion, yet the two entities differ fundamentally in pathophysiology and mechanical behavior. Two-dimensional speckle-tracking echocardiography (2D-STE) enables detailed assessment of left ventricular (LV) deformation beyond conventional [...] Read more.
Background: Takotsubo syndrome (TTS) often mimics anterior ST-elevation myocardial infarction (STEMI) caused by left anterior descending (LAD) occlusion, yet the two entities differ fundamentally in pathophysiology and mechanical behavior. Two-dimensional speckle-tracking echocardiography (2D-STE) enables detailed assessment of left ventricular (LV) deformation beyond conventional ejection fraction (LVEF). This meta-analysis compared global and regional LV strain patterns in TTS versus LAD-related anterior STEMI during the acute phase. Methods: A systematic search of PubMed, Embase, and Scopus through October 2025 identified observational case–control studies directly comparing TTS and angiographically confirmed anterior STEMI, with LV mechanics assessed by 2D-STE. Random-effects models were used to pool standardized mean differences (SMDs) for LVEF; global longitudinal strain (GLS); apical, mid-ventricular, and basal longitudinal strain (ALS, MLS, BLS); and global radial strain (GRS). Heterogeneity (I2), publication bias (funnel plots, Egger’s test), meta-regression, and leave-one-out sensitivity analyses were performed. Results: Six studies comprising 221 TTS and 290 anterior STEMI patients met the inclusion criteria. TTS patients were older, predominantly female, and had fewer metabolic risk factors, while LV size was comparable. LVEF was significantly lower in TTS (SMD −1.149; 95% CI −2.20 to −0.10; p = 0.032), with stable findings across sensitivity analyses and no evidence of publication bias. GLS, ALS, MLS, and BLS showed only a non-significant trend toward greater impairment in TTS, and these comparisons were limited by marked inter-study heterogeneity. In contrast, GRS was significantly and consistently more reduced in TTS (SMD −1.284; 95% CI −1.59 to −0.98; p < 0.001), indicating more profound global radial dysfunction. Meta-regression showed no significant influence of demographic factors or vendor-specific software on LVEF or GLS differences. Conclusions: Compared with LAD-related anterior STEMI, TTS is associated with more severely depressed LVEF and markedly impaired radial strain, while longitudinal strain differences remain inconclusive and suggest only a potential trend toward greater dysfunction, reflecting the limited and heterogeneous evidence. These findings are consistent with diffuse, stress-induced myocardial stunning in TTS and suggest that 2D-STE may aid differentiation between stress cardiomyopathy and ischemic infarction in the acute setting, although longitudinal strain parameters should be interpreted cautiously and regarded as hypothesis-generating. Full article
(This article belongs to the Special Issue Perspectives on the Diagnosis and Treatment of Cardiomyopathies)
Show Figures

Figure 1

15 pages, 272 KB  
Article
Pharmacological Evaluation of Ticagrelor and Aspirin Versus Clopidogrel and Aspirin Pretreatment on Infarct Artery Flow in Patients with Acute STEMI
by Miljan Opancina, Valentina Opancina, Miloš N. Milosavljević, Ana V. Pejčić, Milos Stepovic and Zoran Jovic
Pharmaceuticals 2025, 18(12), 1856; https://doi.org/10.3390/ph18121856 - 5 Dec 2025
Viewed by 591
Abstract
Background and Objectives: Dual antiplatelet therapy (DAPT) with aspirin and a P2Y12 inhibitor is standard in ST-segment elevation myocardial infarction (STEMI). Guidelines favor ticagrelor over clopidogrel, but their effect on infarct artery flow prior to percutaneous coronary intervention (PCI) remains debated. Objective [...] Read more.
Background and Objectives: Dual antiplatelet therapy (DAPT) with aspirin and a P2Y12 inhibitor is standard in ST-segment elevation myocardial infarction (STEMI). Guidelines favor ticagrelor over clopidogrel, but their effect on infarct artery flow prior to percutaneous coronary intervention (PCI) remains debated. Objective was to compare the effects of aspirin + clopidogrel versus aspirin + ticagrelor pretreatment on infarct artery Thrombolysis in Myocardial Infarction (TIMI) flow in STEMI patients. Materials and Methods: This retrospective cohort study included first-time STEMI patients ≥ 18 years admitted to the Military Medical Academy, Belgrade (January 2016–January 2022), who received pretreatment with aspirin + clopidogrel or aspirin + ticagrelor and underwent PCI. TIMI flow was graded before and after PCI. Primary outcomes were pre- and post-PCI TIMI flow; secondary outcome was in-hospital mortality. Results: Of 299 STEMI patients, 174 received aspirin + ticagrelor and 125 received aspirin + clopidogrel. Pre-PCI TIMI flow was significantly higher in the ticagrelor group (p < 0.001), while post-PCI TIMI flow (p = 0.056) and in-hospital mortality (p = 0.083) did not significantly differ between groups. After exclusion of patients receiving glycoprotein IIb/IIIa inhibitors, the difference in PCI TIMI flow grade after PCI became statistically significant (p = 0.007), favoring the aspirin + ticagrelor group. In multivariate analysis, male gender, drug-eluting stent implantation, and glycoprotein IIb/IIIa inhibitor use were independently associated with reduced in-hospital mortality. Conclusions: In STEMI patients, ticagrelor-based DAPT was associated with better initial coronary flow compared to clopidogrel. However, this advantage was not evident after PCI. Male gender, drug-eluting stent implantation, and glycoprotein IIb/IIIa inhibitor use were associated with improved survival. Full article
(This article belongs to the Section Pharmacology)
22 pages, 1769 KB  
Article
Machine Learning-Based Prediction of Early Left Ventricular Function After STEMI
by Shunjie-Fabian Zheng, Kathrin Diegruber, David Esser, Solveig Vieluf and Christopher Stremmel
J. Clin. Med. 2025, 14(23), 8563; https://doi.org/10.3390/jcm14238563 - 3 Dec 2025
Viewed by 506
Abstract
Background: Left ventricular (LV) function and lactate dynamics are major prognostic markers after ST-segment elevation myocardial infarction (STEMI). Early identification of patients at risk for impaired LV function or systemic hypoperfusion may improve outcomes. Machine learning (ML) can enhance predictive accuracy beyond traditional [...] Read more.
Background: Left ventricular (LV) function and lactate dynamics are major prognostic markers after ST-segment elevation myocardial infarction (STEMI). Early identification of patients at risk for impaired LV function or systemic hypoperfusion may improve outcomes. Machine learning (ML) can enhance predictive accuracy beyond traditional statistical methods, yet most prior studies were limited by small sample sizes and categorical outcomes. Methods: We retrospectively analyzed 2132 consecutive STEMI patients admitted to LMU Hospital (2014–2023). After preprocessing, 1608 patients with complete data were included. Thirty-eight demographic, clinical, procedural, and laboratory variables were used to train Decision Tree, Random Forest, and XGBoost regression models for predicting continuous left ventricular ejection fraction (LVEF) at discharge and lactate levels during hospitalization. Model performance was evaluated using mean squared error (MSE), root mean squared error (RMSE), mean absolute error (MAE), coefficient of determination (R2), and mean absolute percentage error (MAPE). Feature importance and Shapley additive explanations (SHAP) were applied for interpretability. Results: Ensemble models outperformed single trees. XGBoost achieved the best performance for LVEF prediction (MSE = 0.008, RMSE = 0.086, MAE = 0.068, R2 = 0.35). Lactate prediction showed moderate accuracy (R2 = 0.42 for admission and 0.47 for peak levels). Key predictors included cardiogenic shock, left anterior descending (LAD) culprit lesions, and peak lactate. Conclusions: ML enables individualized prediction of LV function and lactate dynamics after STEMI using routinely available clinical and laboratory data. Ensemble models, particularly XGBoost, demonstrated consistent and clinically meaningful predictive performance and generalizability, supporting their potential for early, data-driven risk stratification in acute cardiac care. Full article
(This article belongs to the Section Cardiology)
Show Figures

Figure 1

25 pages, 1437 KB  
Review
The Irreversible March of Time: Ischemic Delay and Impact on Outcomes in ST-Segment Elevation Myocardial Infarction
by Artur Dziewierz, Barbara Zdzierak, Wojciech Wańha, Giuseppe De Luca and Tomasz Rakowski
J. Cardiovasc. Dev. Dis. 2025, 12(12), 474; https://doi.org/10.3390/jcdd12120474 - 2 Dec 2025
Viewed by 1223
Abstract
ST-segment elevation myocardial infarction (STEMI) represents a time-critical medical emergency where complete coronary artery occlusion initiates progressive myocardial necrosis. The fundamental principle of modern STEMI care—“Time is Muscle”—establishes that ischemic duration directly determines infarct size and clinical outcomes. Each minute of delay correlates [...] Read more.
ST-segment elevation myocardial infarction (STEMI) represents a time-critical medical emergency where complete coronary artery occlusion initiates progressive myocardial necrosis. The fundamental principle of modern STEMI care—“Time is Muscle”—establishes that ischemic duration directly determines infarct size and clinical outcomes. Each minute of delay correlates with increased mortality, larger infarcts, and a higher risk of heart failure development. Total ischemic time encompasses both patient-mediated delays (often the largest component) and system-related delays, each influenced by distinct factors requiring targeted interventions. This comprehensive review analyzes the components of total ischemic time, quantifies the clinical consequences of delay, and evaluates evidence-based mitigation strategies. We examine the evolution from fibrinolysis to primary percutaneous coronary intervention and the resulting logistical challenges. System-level interventions—including public awareness campaigns, regionalized STEMI networks, pre-hospital ECG acquisition, and standardized hospital protocols—have dramatically reduced treatment times. However, persistent disparities based on geography, presentation timing, sex, race, and age remain problematic. Emerging technologies, particularly artificial intelligence for ECG interpretation, offer promise for further time reduction. Full article
Show Figures

Figure 1

24 pages, 3190 KB  
Article
Ga-68-Labeled Affibody Molecule-Based Radiopharmaceutical Targeting Platelet Derived Growth Factor Receptor Beta for Detection of Active Fibrosis in Patients with Myocardial Infarction
by Irina Velikyan, Karl-Henrik Grinnemo, Viktor Flodin, Stefan James, Ulrika Thelander, Michael Wagner, Sergey Rodin, Tanja Kero, Olle Korsgren and Olof Eriksson
Pharmaceuticals 2025, 18(12), 1833; https://doi.org/10.3390/ph18121833 - 1 Dec 2025
Viewed by 540
Abstract
Introduction: Platelet-derived growth factor receptor beta (PDGFRβ) is a key regulator of fibrogenesis. Non-invasive imaging of PDGFRβ expression may offer a novel approach to assess fibrotic remodeling, particularly in cardiac patients’ post-intervention, where fibrosis poses clinical risk. This study presents the GMP-compliant [...] Read more.
Introduction: Platelet-derived growth factor receptor beta (PDGFRβ) is a key regulator of fibrogenesis. Non-invasive imaging of PDGFRβ expression may offer a novel approach to assess fibrotic remodeling, particularly in cardiac patients’ post-intervention, where fibrosis poses clinical risk. This study presents the GMP-compliant production of a novel PDGFRβ-targeted PET radiopharmaceutical, [68Ga]Ga-DOTA-Z09591 ([68Ga]Ga-ATH001), and its preclinical evaluation in mouse and human myocardial tissue, along with initial clinical imaging in patients with ST-elevation myocardial infarction (STEMI). Methods: The precursor was chemically synthesized and radiolabeled with gallium-68 using a fully automated, GMP-compatible system and a pharmaceutical-grade 68Ge/68Ga generator. Autoradiography, H&E, Sirius Red, Masson’s trichrome, and IHC staining were performed on infarcted mouse hearts and human myocardial biopsies. In vivo PET/MRI with [68Ga]Ga-ATH001, 15O-H2O, and gadolinium contrast was conducted in STEMI patients one week post-percutaneous coronary intervention. Results: [68Ga]Ga-ATH001 was produced with high radiochemical yield and purity. Autoradiography demonstrated specific, receptor-mediated binding of [68Ga]Ga-ATH001, co-localizing with PDGFRβ immunoreactivity, collagen deposition, and tissue damage. In STEMI patients, focal tracer uptake was observed in infarcted myocardium correlating with MRI-detected structural abnormalities and perfusion defects on 15O-H2O PET. Uptake in unaffected myocardium was low and homogeneous, consistent with minimal physiological PDGFRβ expression. Conclusions: [68Ga]Ga-ATH001 was successfully developed and validated for phase 0 clinical study. The tracer demonstrated PDGFRβ-specific binding in human fibrotic myocardium and enabled non-invasive detection of myocardial fibrogenic activity in STEMI patients. These findings support further clinical evaluation of [68Ga]Ga-ATH001 as a targeted molecular imaging agent for early assessment of post-infarction fibrosis. Full article
(This article belongs to the Section Radiopharmaceutical Sciences)
Show Figures

Graphical abstract

13 pages, 1262 KB  
Article
Risk Factors for QRS-Fragmentation in Patients with STEMI Undergoing PCI
by Florian Tinhofer, Rosana Rakhimova, Elena A. Badykova, Lukas Fiedler, Dilvin Semo, Christoph C. Kaufmann, Irina A. Lakman, Eduard F. Agletdinov, Dimitry M. Grishaev, Ksenia A. Cheremisina, Anastasia V. Baraboshkina, Lukas J. Motloch, Rudin Pistulli and Naufal S. Zagidullin
Medicina 2025, 61(11), 2023; https://doi.org/10.3390/medicina61112023 - 12 Nov 2025
Viewed by 401
Abstract
Background and Objectives: Despite modern therapy algorithms, ST-elevation myocardial infarction (STEMI) substantially contributes to cardiovascular morbidity and mortality worldwide. Early Risk assessment is crucial to guide therapy allocation, especially in countries with limited healthcare resources. Electrocardiographic parameters such as QRS fragmentation (fQRS) [...] Read more.
Background and Objectives: Despite modern therapy algorithms, ST-elevation myocardial infarction (STEMI) substantially contributes to cardiovascular morbidity and mortality worldwide. Early Risk assessment is crucial to guide therapy allocation, especially in countries with limited healthcare resources. Electrocardiographic parameters such as QRS fragmentation (fQRS) evolved as an important prognostic marker. The underlying mechanisms and specific risk factors for the occurrence of fQRS in patients with STEMI undergoing PCI have not been analyzed yet. Materials and Methods: Between 09/2020 and 06/2021, out of 179 consecutive patients with STEMI undergoing primary percutaneous coronary intervention (pPCI), 122 patients were included in this study. The occurrence of fQRS was analyzed and correlated to clinical as well as biochemical parameters. Results: In this population, the fQRS pattern was present in 33.6% (n = 41) of patients. Besides gender, no statistically significant differences in baseline characteristics or comorbidities were observed between the two groups. In univariable logistic regression analysis, both glomerular filtration rate (GFR) (p = 0.050) and C-reactive protein (CRP) (p = 0.014) were significantly associated with the presence of fQRS. However, in the multivariable logistic regression model, only CRP levels on admission remained independently associated with fQRS (OR = 3.44, 95% CI: 1.95; 6.05), (p = 0.029). Conclusions: In this analysis, a correlation between fQRS and CRP levels in patients with STEMI undergoing pPCI could be demonstrated. Consequently, fQRS might serve as a marker for extensive inflammation in the context of myocardial ischemia. Full article
(This article belongs to the Section Cardiology)
Show Figures

Figure 1

Back to TopTop