Sign in to use this feature.

Years

Between: -

Subjects

remove_circle_outline
remove_circle_outline
remove_circle_outline
remove_circle_outline
remove_circle_outline

Journals

Article Types

Countries / Regions

Search Results (5)

Search Parameters:
Keywords = RVFWSL

Order results
Result details
Results per page
Select all
Export citation of selected articles as:
19 pages, 3174 KB  
Article
Multichamber Strain Imaging and Biomarker Profiling for 1-Year Risk Stratification in Pediatric Dilated Cardiomyopathy
by Iolanda Muntean, Asmaa-Carla Hagau, Diana-Ramona Iurian, Beatrix Julia Hack, Diana Muntean and Horatiu Suciu
Life 2026, 16(3), 369; https://doi.org/10.3390/life16030369 - 24 Feb 2026
Viewed by 349
Abstract
Dilated cardiomyopathy (DCM) in children is rare, but carries a high risk of progression to advanced heart failure (HF) and heart transplant (HTx). Improved short-term risk stratification is essential; however, robust pediatric prognostic tools remain limited. We aimed to evaluate the 1-year prognostic [...] Read more.
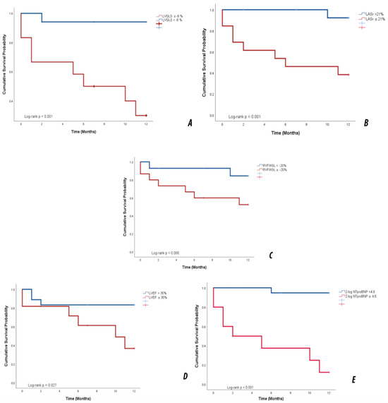
Dilated cardiomyopathy (DCM) in children is rare, but carries a high risk of progression to advanced heart failure (HF) and heart transplant (HTx). Improved short-term risk stratification is essential; however, robust pediatric prognostic tools remain limited. We aimed to evaluate the 1-year prognostic value of multichamber speckle-tracking echocardiography (STE) and biomarkers, including age-adjusted N-terminal pro-B-type natriuretic peptide (NT-proBNP) and vitamin D, in children with DCM. In this single-centre prospective cohort study, 29 children with idiopathic DCM and 27 age- and sex-matched healthy controls underwent standardised clinical, laboratory, and echocardiographic assessment. The primary endpoint was a 12-month composite of implantation of an implantable cardioverter-defibrillator (ICD), left-ventricular assist device (LVAD), HTx, or all-cause mortality. During a 1-year follow-up, 9/29 (31%) DCM patients experienced major events. Compared with event-free patients and controls, children with events had more impaired LVGLS (−5.99 ± 2.45% vs. −13.44 ± 6.88% and −19.98 ± 3.25%), lower LASr (10.97 ± 7.67% vs. 25.36 ± 10.28% and 44.0 ± 11.43%), and reduced RVFWSL (−15.32 ± 5.24% vs. −23.13 ± 8.55% and −24.78 ± 4.45%; all p < 0.01). Zlog NT-proBNP was markedly higher in the event group (5.37 [5.00–6.08] vs. 2.28 [0.71–3.68] and 0.14 [−0.02–0.88]). LVGLS, Zlog NT-proBNP, and LASr showed excellent discrimination for 1-year events (AUC 0.91, 0.91, and 0.87, respectively), with clinically applicable cut-offs (LVGLS ≥ −8%, Zlog NT-proBNP ≥ 4.6, LASr ≤ 21%). In conclusion, multichamber strain imaging combined with age-adjusted NT-proBNP provides clinically relevant, exploratory markers for short-term risk stratification in pediatric DCM, supporting earlier intensification of follow-up and timely referral for advanced heart failure therapies. These findings warrant validation in larger multicenter cohorts. Full article
Show Figures

Figure 1

16 pages, 2131 KB  
Article
Basal-Predominant Right-Ventricular Dysfunction in Pediatric Dilated Cardiomyopathy: An Integrated Biventricular Strain Analysis
by Iolanda Muntean, Diana Ramona Iurian, Asmaa-Carla Hagau and Beatrix-Julia Hack
Biomedicines 2026, 14(1), 38; https://doi.org/10.3390/biomedicines14010038 - 23 Dec 2025
Cited by 1 | Viewed by 470
Abstract
Background: Right-ventricular (RV) involvement is starting to gain recognition in pediatric dilated cardiomyopathy (DCM), but its deformation characteristics and its relationship to functional status remain insufficiently defined. Methods: Twenty-nine children with primary DCM were compared with age- and sex-matched healthy controls. Conventional echocardiography [...] Read more.
Background: Right-ventricular (RV) involvement is starting to gain recognition in pediatric dilated cardiomyopathy (DCM), but its deformation characteristics and its relationship to functional status remain insufficiently defined. Methods: Twenty-nine children with primary DCM were compared with age- and sex-matched healthy controls. Conventional echocardiography and two-dimensional speckle-tracking echocardiography (2D-STE) were performed. Segmental deformation (basal, mid-ventricular and apical levels) was analyzed using a linear mixed-effects model. Associations between strain indices and advanced functional limitation (NYHA/Ross Class III-IV) were evaluated using exploratory logistic regression and ROC analysis. Results: Children with DCM showed significant impairment in both ventricles. Conventional parameters (TAPSE, tricuspid E/A ratio, RV E′ velocity, and LV ejection fraction) were reduced. Right ventricular strain was significantly lower in DCM compared with controls (p < 0.05). Segmental analysis demonstrated a basal-predominant reduction in RV strain. Right-ventricular free-wall longitudinal strain correlated with RV S′ (r = −0.49), RV E′ (r = −0.46), LVGLS (r = 0.79) and LV ejection fraction (r = −0.63, all p < 0.05). In univariable analysis, RVFWSL predicted advanced functional class (OR 1.13 per 1% decrease, p = 0.026), while LVGLS remained the independent predictor in the multivariable model. A combined model incorporating RVFWSL and LVGLS demonstrated excellent discriminative accuracy (AUC 0.95). Conclusions: Pediatric DCM is characterized by RV involvement with a distinct basal-dominant deformation pattern. Biventricular strain assessment improves the identification of children with advanced functional class and may enhance functional stratification beyond conventional indices. Full article
(This article belongs to the Special Issue Cardiomyopathies and Heart Failure: Charting the Future—2nd Edition)
Show Figures

Figure 1

18 pages, 1219 KB  
Article
Right Ventricular Strain and Left Ventricular Strain Using Speckle Tracking Echocardiography—Independent Prognostic Associations in COPD Alongside NT-proBNP
by Silvana-Elena Hojda, Teodora Mocan, Alexandra-Lucia Pop, Ramona Rusnak, Cristina Bidian and Simona Valeria Clichici
Diseases 2025, 13(10), 344; https://doi.org/10.3390/diseases13100344 - 16 Oct 2025
Viewed by 1187
Abstract
Background/Objectives: Cardiovascular diseases are the most important cause of mortality in chronic obstructive pulmonary disease (COPD). Speckle-tracking echocardiography (2D-STE) can be used for assessing atrial and ventricular function, and its role in COPD is underexplored. The main objective of this study was to [...] Read more.
Background/Objectives: Cardiovascular diseases are the most important cause of mortality in chronic obstructive pulmonary disease (COPD). Speckle-tracking echocardiography (2D-STE) can be used for assessing atrial and ventricular function, and its role in COPD is underexplored. The main objective of this study was to investigate prognostic associations in patients with COPD using 2D-STE echocardiography and laboratory biomarkers. Methods: The study included 70 participants, divided into two groups: 55 patients diagnosed with COPD and 15 healthy controls. All four cardiac chambers were analyzed with standard ultrasound and 2D-STE techniques. We measured NT-proBNP and several oxidative stress biomarkers: reduced glutathione (GSH), the GSH/GSSG ratio, malondialdehyde (MDA), and Caspase-3. Results: An NT-proBNP level above 325 pg/mL independently predicts advanced COPD stages (GOLD grades 3 and 4), with statistically significant results at a 95% confidence interval (CI) (p = 0.001). Additionally, 2D-STE identified reduced right ventricular (RV) and left ventricular (LV) strain in COPD patients before changes in LV ejection fraction. RV and LV strain measurements (RV4CLS < −16.15%, RVFWSL < −18.6%, LV GLS < −19.45%) along with PASP > 37.5 mmHg are independent predictors of advanced COPD stages, demonstrating significance at a 95% CI (p = 0.001). A positive correlation was observed between NT-proBNP, ultrasound parameters assessing RV systolic function, LV longitudinal strain impairment, and PASP. Conclusions: NT-proBNP serves as an independent biomarker of pulmonary hypertension and secondary right heart overload and independently predicts advanced COPD stages (GOLD grades 3 and 4) alongside RV and LV strain measurements. Full article
Show Figures

Graphical abstract

17 pages, 776 KB  
Article
Role of Toll-like Receptors Nine and Ten Polymorphisms in Childhood Bronchial Asthma Control and Their Relation to Cardiac Function
by Rehab Ahmed Rabie, Asmaa Elsharkawy Hussien, Hesham Samy Abdelhameed, Soad Abdelsalam Shedeed, Noura Almadani, Hanaa A. Nofal, Dina S. El-Rafey, Hossam T. Ali and Mohammed Sanad Naguib
Diagnostics 2025, 15(7), 817; https://doi.org/10.3390/diagnostics15070817 - 24 Mar 2025
Cited by 1 | Viewed by 996
Abstract
Background: Asthma is designated as the most widely spread chronic disease in children. Toll-like receptors (TLRs) are linked to several human diseases, including allergic diseases. We aimed to assess the link between TLR9 (rs187084) and TLR10 (rs11096956) gene polymorphisms and bronchial asthma and [...] Read more.
Background: Asthma is designated as the most widely spread chronic disease in children. Toll-like receptors (TLRs) are linked to several human diseases, including allergic diseases. We aimed to assess the link between TLR9 (rs187084) and TLR10 (rs11096956) gene polymorphisms and bronchial asthma and its control and their relation to respiratory and cardiac functions. Methods: This is a case-control study comprising 80 participants aged between 5 and 12 years old, divided into 20 healthy non-asthmatic participants and 60 asthmatic ones. The asthmatic group members were diagnosed clinically according to the diagnosis guidelines of The Global Initiative for Asthma (GINA) 2019 and subdivided according to GINA 2019 guidelines for asthma control into three subgroups (well-controlled, partially controlled, and uncontrolled). Genetic polymorphisms in TLR9 (rs187084) and TLR10 (rs11096956) were detected using real-time PCR. Results: We found a significant increase in TLR9 polymorphisms among asthmatic cases compared to the control (OR = 9.09 for the CT genotype and 5.24 for the TT genotype) and a similar increase in TLR10 polymorphisms (OR = 4.29 for the GT genotype and 10.71 for the TT genotype). Also, there was a significant increase in TLR9 and TLR10 polymorphisms among uncontrolled cases compared to both well-controlled cases and the control group. We discovered a significant association between TLR9 (rs187084) gene polymorphisms and pulmonary function tests (PFTs), with better results in the CC genotype. Additionally, a significant association with both RVFWSL (right ventricle free-wall longitudinal strain) and GLS (left ventricle global longitudinal strain apical 2-chamber view) with better values was linked to the CC genotype. Regarding TLR10 (rs11096956), there was a significant association between gene polymorphisms and PFTs, with better function in the GG genotype. Additionally, there was a significant association between TLR10 (rs11096956) gene polymorphisms and GLS AVG (left ventricle global longitudinal strain average), with the GG type having significantly better cardiac function. Conclusion: Subclinical cardiac dysfunction of the left and right ventricles was detected in asthmatic children. The CC genotype of TLR9 and the GG genotype of TLR10 are associated with better asthma control and better cardiac function. Therefore, TLR9 and TLR10 have a role in asthma control and cardiac dysfunction. Full article
(This article belongs to the Section Clinical Diagnosis and Prognosis)
Show Figures

Figure 1

13 pages, 2917 KB  
Article
Effects of a Long-Term Wearable Activity Tracker-Based Exercise Intervention on Cardiac Morphology and Function of Patients with Cystic Fibrosis
by Maria Anifanti, Stavros Giannakoulakos, Elpis Hatziagorou, Asterios Kampouras, John Tsanakas, Asterios Deligiannis and Evangelia Kouidi
Sensors 2022, 22(13), 4884; https://doi.org/10.3390/s22134884 - 28 Jun 2022
Cited by 5 | Viewed by 3427
Abstract
Several studies have shown that patients with cystic fibrosis (CF), even at a young age, have pulmonary and cardiac abnormalities. The main complications are cardiac right ventricular (RV) systolic and/or diastolic dysfunction and pulmonary hypertension, which affects their prognosis. Exercise training (ET) is [...] Read more.
Several studies have shown that patients with cystic fibrosis (CF), even at a young age, have pulmonary and cardiac abnormalities. The main complications are cardiac right ventricular (RV) systolic and/or diastolic dysfunction and pulmonary hypertension, which affects their prognosis. Exercise training (ET) is recommended in patients with CF as a therapeutic modality to improve physical fitness and health-related quality of life. However, questions remain regarding its optimal effective and safe dose and its effects on the patients’ cardiac function. The study aimed to provide a wearable activity tracker (WAT)-based ET to promote physical activity in CF patients and assess its effects on cardiac morphology and function. Forty-two stable CF individuals (aged 16.8 ± 3.6 years) were randomly assigned to either the intervention (Group A) or the control group (Group B). Group A participated in a 1-year WAT-based ET program three times per week. All patients underwent a 6-min walking test (6-MWT) and an echocardiographic assessment focused mainly on RV anatomy and function at the baseline and the end of the study. RV systolic function was evaluated by measuring the tricuspid annular plane systolic excursion (TAPSE), the systolic tricuspid annular velocity (TVS’), the RV free-wall longitudinal strain (RVFWSL), and the right ventricular four-chamber longitudinal strain (RV4CSL). RV diastolic function was assessed using early (TVE) and late (TVA) diastolic transtricuspid flow velocity and their ratio TVE/A. Pulmonary artery systolic pressure (PASP) was also estimated. In Group A after ET, the 6MWT distance improved by 20.6% (p < 0.05), TVA decreased by 17% (p < 0.05), and TVE/A increased by 13.2% (p < 0.05). Moreover, TAPSE, TVS’, RVFWSL, and RV4CSL increased by 8.3% (p < 0.05), 9.0% (p < 0.05), 13.7% (p < 0.05), and 26.7% (p < 0.05), respectively, while PASP decreased by 7.6% (p < 0.05). At the end of the study, there was a significant linear correlation between the number of steps and the PASP (r = −0.727, p < 0.01) as well as the indices of RV systolic function in Group A. In conclusion, WAT is a valuable tool for implementing an effective ET program in CF. Furthermore, ET has a positive effect on RV systolic and diastolic function. Full article
Show Figures

Figure 1

Back to TopTop