Sign in to use this feature.

Years

Between: -

Subjects

remove_circle_outline
remove_circle_outline
remove_circle_outline
remove_circle_outline
remove_circle_outline
remove_circle_outline
remove_circle_outline
remove_circle_outline
remove_circle_outline

Journals

Article Types

Countries / Regions

Search Results (28)

Search Parameters:
Keywords = Passivhaus standard

Order results
Result details
Results per page
Select all
Export citation of selected articles as:
19 pages, 5389 KB  
Article
Assessing Overheating Risks in Moderately Insulated Irish Social Housing: Analysis of Building Energy Ratings and Indoor Temperature Profiles
by Fahimehsadat Sajadirad, Richard O’Hegarty and Oliver Kinnane
Energies 2025, 18(6), 1381; https://doi.org/10.3390/en18061381 - 11 Mar 2025
Cited by 1 | Viewed by 942
Abstract
As buildings become more energy-efficient in cold climates, the unintended consequence of increased overheating risk during warmer seasons necessitates attention. In this context, there is an absence of research addressing the assessment of overheating risks in residential buildings in Ireland. This study assesses [...] Read more.
As buildings become more energy-efficient in cold climates, the unintended consequence of increased overheating risk during warmer seasons necessitates attention. In this context, there is an absence of research addressing the assessment of overheating risks in residential buildings in Ireland. This study assesses data from a sample of 1100 social housing units in Dublin, the majority of which have a Building Energy Rating (BER) of C, representing moderately insulated dwellings. Using indoor temperature data and outdoor climate reports for 2022, the research evaluates overheating risks based on both static and adaptive criteria in the living room zone of dwellings. The static methods used include the Chartered Institution of Building Services Engineers (CIBSE) Guide A and the Passivhaus Institute standard, while adaptive methods follow CIBSE TM59. The findings reveal discrepancies in overheating risk assessments: overall, 4% surpass thresholds under CIBSE Guide A. In contrast, 41% of dwellings exceeded overheating thresholds under the Passivhaus standard during the May to September 2022. Adaptive criteria, however, indicated minimal overheating instances, at 0.4%. These results highlight how different assessment methodologies influence overheating risk conclusions. The impact of this study is two-fold. First it further strengthens existing literature which questions the appropriateness of static methods. Secondly, it shows that the risk of overheating in moderately insulated buildings in this sample set is minimal. Full article
Show Figures

Figure 1

18 pages, 9538 KB  
Article
Effects of Retrofit Strategies on Thermal Comfort and Energy Performance in Social Housing for Current and Future Weather Scenarios
by Lucienne G. Basaly, Arman Hashemi, Heba Elsharkawy, Darryl Newport and Nancy Mahmoud Badawy
Buildings 2025, 15(1), 80; https://doi.org/10.3390/buildings15010080 - 29 Dec 2024
Cited by 2 | Viewed by 2085
Abstract
With growing concerns over energy and heat-related mortality/morbidity rates, enhancing building performances is key to improving the health and well-being of building occupants while reducing CO2 emissions, in line with the UK Government’s Net-Zero targets. This study investigates the impacts of different [...] Read more.
With growing concerns over energy and heat-related mortality/morbidity rates, enhancing building performances is key to improving the health and well-being of building occupants while reducing CO2 emissions, in line with the UK Government’s Net-Zero targets. This study investigates the impacts of different retrofitting scenarios on overheating risk and energy performance in social housing for current and future climate conditions. Dynamic thermal simulations were carried out using Design Summer Year (DSY) weather files in DesignBuilder software for selected case study buildings. Winter performance was analysed using the Predicted Mean Vote (PMV) index, while summer results were assessed according to the Chartered Institution of Building Services Engineers Technical Memorandum 59 (CIBSE TM59) guidelines. The findings revealed that bedrooms, especially those facing south, were at high risk of overheating. Factors such as building construction, the number of exposed surfaces, and window area influenced the risks. External wall insulation outperformed internal wall insulation in improving summer comfort. In the winter, Passivhaus standards with natural ventilation ensured thermal comfort across all zones, with a 41–53% reduction in heating energy consumption under current weather conditions. The risk of overheating and associated health issues significantly increased for the future weather scenarios. Further investigation into ventilation strategies, occupant behaviour, and passive design is required to mitigate overheating risks while reducing energy consumption in buildings. Full article
(This article belongs to the Special Issue Sustainable Development in the Smart Built Environment)
Show Figures

Figure 1

26 pages, 8091 KB  
Article
Heat Recovery Units in Passivhaus Housing on the Spanish Mediterranean Coast: Energy Efficiency and Return on Investment
by Víctor Echarri-Iribarren, Jordi Roviras-Miñana and Ricardo Gómez-Val
Buildings 2024, 14(12), 3975; https://doi.org/10.3390/buildings14123975 - 14 Dec 2024
Viewed by 1658
Abstract
Regulatory demands for indoor air renewal in buildings entail high levels of energy consumption. This is the only way to provide minimum indoor air quality (IAQ) and avoid some common lesions and pathologies. In Passivhaus standard (PHS) houses, a heat recovery system is [...] Read more.
Regulatory demands for indoor air renewal in buildings entail high levels of energy consumption. This is the only way to provide minimum indoor air quality (IAQ) and avoid some common lesions and pathologies. In Passivhaus standard (PHS) houses, a heat recovery system is required between the indoor–outdoor air masses of the air renewal system. This configuration substantially reduces energy consumption. In addition, the obligation to reduce envelope air leakage below the n50 value of 0.60 ACH usually allows for a decrease in the energy consumed to less than 15 kWh/m2y in winter, as required by the PHS. It is complex, however, to quantify the energy demands of a building, whether in the project phase or in the operational or use phase. The present study focuses on the application of the PHS in Spanish Mediterranean housing. The aim was to assess whether it is suitable to use heat recovery systems by quantifying the energy savings obtained, execution costs, infiltration air flow, ventilator power usage, and maintenance. To this end, we performed a study on an existing PHS house in Abrera (Barcelona, Spain). It was found that heat recovery systems are always cost-effective in cold climates such as that of Central Europe but are only profitable in Spanish Mediterranean houses when the system costs less than approximately EUR 2500. In this case, the investment is covered over a period of 9.4–12.8 years and over 14–18 years when the equipment costs more than EUR 3000. Annual savings range from EUR 184.44 to 254.33 in Abrera compared to EUR 904.99 to 934.82 in a city like Berlin, that is, a 400–500% increase in savings. Moreover, leakage air energy accounted for 13% to 15% of that of renewal air, −1.348 kWh/m2y and 2.276 kWh/m2y compared to 8.55 kWh/m2y and 17.31 kWh/m2y, respectively. Lastly, recovery system average efficiency or ηt performance—which is usually between 82% and 95%—did not play a relevant role in deciding whether the system should be installed or not. Full article
(This article belongs to the Special Issue Research on the Airtightness of Buildings)
Show Figures

Figure 1

24 pages, 3462 KB  
Systematic Review
Cost-Related Drivers and Barriers of Passivhaus: A Systematic Literature Review
by Kajavathani Panchalingam, Eziaku Onyeizu Rasheed and James Olabode Bamidele Rotimi
Sustainability 2024, 16(15), 6510; https://doi.org/10.3390/su16156510 - 30 Jul 2024
Cited by 2 | Viewed by 3582
Abstract
Passivhaus (PH) has gained global recognition for its energy-efficient features despite a 5% to 10% higher construction cost than traditional houses, especially within European countries. However, its adoption and popularity have not met the same fate in other countries like New Zealand. The [...] Read more.
Passivhaus (PH) has gained global recognition for its energy-efficient features despite a 5% to 10% higher construction cost than traditional houses, especially within European countries. However, its adoption and popularity have not met the same fate in other countries like New Zealand. The higher upfront cost has been critical to the slow adoption of the PH movement in New Zealand. This study aimed to demystify the mist around the cost of PHs with a focus on the effects of drivers and barriers on their life cycle costs (LCCs). As such, a systematic literature review was conducted to provide a comprehensive understanding of the cost implications associated with PH. Using the preferred reporting items for systematic reviews and meta-analyses (PRISMA) review method, we examined 71 past studies on PHs from 2005 to 2023. We found that the drivers of PHs include reduced heating demand, increased thermal comfort, and indoor air quality (IAQ). Research showed that the rising market for PHs is fueled by climate change, environmental awareness, innovative materials and technologies, individual commitment, improved regulations, pilot studies, research efforts, and governmental funding and initiatives. However, PHs face significant challenges such as increased complexity, advanced technology, higher initial investments compared to conventional and low-energy houses, national requirements, overheating, difficulties in affording the technologies, and a lack of options in the market. Despite the wealth of research on the economic aspects of PH, there is a lack of in-depth studies exploring the LCC of PHs focusing on cost commitments and benefits. Such studies are essential for assessing and optimising the cost-effectiveness of PH, considering different climates and regions, and comparing them with other low energy standards. The findings of our review provide a crucial focus for PH stakeholders in assessing the long-term financial viability of PH projects, thereby improving decision-making and facilitating effective planning for sustainable and cost-effective housing. Full article
(This article belongs to the Section Green Building)
Show Figures

Figure 1

20 pages, 5032 KB  
Article
Energy Losses or Savings Due to Air Infiltration and Envelope Sealing Costs in the Passivhaus Standard: A Review on the Mediterranean Coast
by Víctor Echarri-Iribarren, Ricardo Gómez-Val and Iñigo Ugalde-Blázquez
Buildings 2024, 14(7), 2158; https://doi.org/10.3390/buildings14072158 - 13 Jul 2024
Cited by 1 | Viewed by 1861
Abstract
To obtain the Passivhaus Certificate or Passivhaus Standard (PHS), requirements regarding building envelope air tightness must be met: according to the n50 parameter, at a pressure of 50 Pa, air leakage must be below 0.6 air changes per hour (ACH). This condition [...] Read more.
To obtain the Passivhaus Certificate or Passivhaus Standard (PHS), requirements regarding building envelope air tightness must be met: according to the n50 parameter, at a pressure of 50 Pa, air leakage must be below 0.6 air changes per hour (ACH). This condition is verified by following the blower door test protocol and is regulated by the ISO 9972 standard, or UNE-EN-13829. Some construction techniques make it easier to comply with these regulations, and in most cases, construction joints and material joints must be sealed in a complex way, both on façades and roofs and at ground contact points. Performing rigorous quality control of these processes during the construction phase allows achieving a value below 0.6 ACH and obtaining the PHS certification. Yet, the value can increase substantially with the passage of time: as windows and doors are used, opened, or closed; as envelope materials expand; with humidity; etc. This could result in significant energy consumption increases and losing the PHS when selling the house at a later point in time. It is therefore important to carefully supervise the quality of the construction and its execution. In this study, we focused on a house located in Sitges (Barcelona). The envelope air tightness quality was measured during four construction phases, together with the sealing of the joints and service ducts. The blower door test was performed in each phase, and the n50 value obtained decreased each time. The execution costs of each phase were also determined, as were the investment amortisation rates based on the consequent annual energy demand reductions. Air infiltration dropped by 43.81%, with the final n50 value resulting in 0.59 ACH. However, the execution costs—EUR 3827—were high compared to the energy savings made, and the investment amortisation period rose to a 15- to 30-year range. To conclude, these airtightness improvements are necessary in cold continental climates but are not applicable on the Spanish Mediterranean coast. Full article
(This article belongs to the Special Issue Research on the Airtightness of Buildings)
Show Figures

Figure 1

21 pages, 5124 KB  
Article
Quantifying the Enhanced Performance of Multifamily Residential Passive House over Conventional Buildings in Terms of Energy Use
by Homeira Mirhosseini, Jie Li, Lisa D. Iulo and James D. Freihaut
Buildings 2024, 14(6), 1866; https://doi.org/10.3390/buildings14061866 - 20 Jun 2024
Cited by 5 | Viewed by 3540
Abstract
In response to escalating energy demands and global warming concerns, the Passive House Standard has emerged as a solution in residential construction, aiming to drastically reduce energy consumption and operational costs primarily through high-performance building envelopes. While a considerable volume of the literature [...] Read more.
In response to escalating energy demands and global warming concerns, the Passive House Standard has emerged as a solution in residential construction, aiming to drastically reduce energy consumption and operational costs primarily through high-performance building envelopes. While a considerable volume of the literature has focused on the Passivhaus Institute (PHI) standards, predominantly in European contexts, there is a gap in research on the Passive House Institute US (Phius) standards, particularly in North American climates. This study conducts a quantitative comparative analysis of two adjacent multifamily residential buildings in Central Pennsylvania, Climate Zone 5A—one built using conventional construction methods and the other following Passive House (PHIUS+ 2015) certification standards—to validate the energy efficiency improvements attributed to Passive House designs. A comparative analysis of the whole building energy use over two years reveals that the Passive House building consumes approximately 50% less energy than its conventional counterpart in terms of whole building energy use and the national median recommended benchmark metric defined by the Energy Star Portfolio Manager. These findings emphasize the potential for significant energy savings and greenhouse gas reductions in residential buildings, highlighting the necessity for policymakers and governments to incentivize the adoption of Passive House standards to achieve environmental sustainability and reduce energy costs for society. Full article
Show Figures

Figure 1

31 pages, 8872 KB  
Article
Long-Term Analysis of Energy Consumption and Thermal Comfort in a Passivhaus Apartment in Spain
by Iñigo Rodríguez-Vidal, Rufino J. Hernández-Minguillón and Jorge Otaegi
Buildings 2024, 14(4), 878; https://doi.org/10.3390/buildings14040878 - 25 Mar 2024
Cited by 2 | Viewed by 2786
Abstract
This study presents a detailed analysis of thermal comfort and energy consumption in a Passivhaus-certified apartment in Bolueta Tower, Bilbao, Spain, over a period of three years (2020–2022). Utilizing a comprehensive, long-term monitoring approach, the research investigates the effectiveness of the Passivhaus standard [...] Read more.
This study presents a detailed analysis of thermal comfort and energy consumption in a Passivhaus-certified apartment in Bolueta Tower, Bilbao, Spain, over a period of three years (2020–2022). Utilizing a comprehensive, long-term monitoring approach, the research investigates the effectiveness of the Passivhaus standard in achieving both energy efficiency and occupant comfort in a temperate climate. Using calibrated data loggers to record indoor temperature, humidity, and CO2 levels were used alongside the collection of utility bills to assess energy consumption and thermal comfort, as well as IAQ, against several international standards. Significant issues with overheating were confirmed, in line with previous research. During the warmer months, indoor temperatures frequently exceeded the Passivhaus comfort threshold of 25 °C, reaching as high as 31.3 °C, particularly in the living room and bedroom. This resulted in discomfort during summer, with the percentage of hours above 25 °C reaching 23.21% in 2022. Nighttime temperatures often surpassed 24 °C, impacting sleep quality. Conversely, heating consumption was minimal, corroborating the building’s energy efficiency in colder months. The findings highlight a critical gap in the Passivhaus standard when applied in milder climates, where overheating becomes a significant issue. This study suggests the need for an integrated approach in sustainable building design, one that balances energy efficiency with adaptive strategies to mitigate overheating, such as improved natural ventilation and thermal mass. These insights contribute to the ongoing discourse on optimizing energy-efficient buildings for occupant comfort in various climatic conditions. Full article
(This article belongs to the Section Building Energy, Physics, Environment, and Systems)
Show Figures

Figure 1

46 pages, 4307 KB  
Article
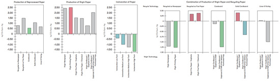
Can Paper Waste Be Utilised as an Insulation Material in Response to the Current Crisis
by Zeyu Wang and Dan Wang
Sustainability 2023, 15(22), 15939; https://doi.org/10.3390/su152215939 - 14 Nov 2023
Cited by 5 | Viewed by 4143
Abstract
Recently, the climate and landfill crises have raised concerns in the UK as the country is struggling to meet the sustainability goal it set to achieve. One of the major reasons is due to the inadequate recycling rate of waste paper. Therefore, as [...] Read more.
Recently, the climate and landfill crises have raised concerns in the UK as the country is struggling to meet the sustainability goal it set to achieve. One of the major reasons is due to the inadequate recycling rate of waste paper. Therefore, as an alternative solution to the issue, the aim of our research was to exploit the potential of waste paper as an insulating material to see whether it can be feasible to improve the recycling rate of waste paper in the country. Waste paper has already been in the construction industry for a while, and the use of cellulose insulation is a standard in the Passivhaus construction approach. The study examines cellulose’s performance as an insulation material and its potential to combat the climate crisis by creating four separate comparisons and calculations using Life-Cycle Assessment and Standard Assessment Procedures. The study will investigate the benefits and limitations of the material as well as a case study to justify the use of it. A pioneer project in the field is a retrofit and new-built building project—54–58 Akerman Road in London. It utilises cellulose fibre insulation as the main material for the new-built part. The study will use this project as a context to compare whether cellulose fibre insulation is the best solution for the project. Also, the study will compare cellulose insulation with other conventional insulation materials in a more general setting as well as with the traditional paper recycling approach, by providing an indication of the carbon footprint of the insulation, the energy resources involved and the amount of raw material. By conducting the study, we can know whether recycling waste paper into cellulose insulation is the best solution to the crisis we face. This research can guide the UK’s recycling and use of waste paper, reduce paper waste and energy consumption and improve the sustainability of building insulation materials. Full article
Show Figures

Figure 1

19 pages, 3077 KB  
Article
Indoor Air Quality and Thermal Environment Assessment of Scottish Homes with Different Building Fabrics
by Alejandro Moreno-Rangel, Tim Sharpe, Gráinne McGill and Filbert Musau
Buildings 2023, 13(6), 1518; https://doi.org/10.3390/buildings13061518 - 13 Jun 2023
Cited by 6 | Viewed by 3318
Abstract
The ongoing climate change and policies around it are changing how we design and build homes to meet national carbon emission targets. Some countries such as Scotland are adopting higher-energy-efficient buildings as minimum requirements in the building regulations. While net zero homes might [...] Read more.
The ongoing climate change and policies around it are changing how we design and build homes to meet national carbon emission targets. Some countries such as Scotland are adopting higher-energy-efficient buildings as minimum requirements in the building regulations. While net zero homes might be more energy-efficient and emit fewer operational carbon emissions, we have yet to fully understand the influence on the indoor environment, particularly on indoor air quality (IAQ) and thermal comfort. This study compares the IAQ of three homes in Scotland with equal internal layouts and designs but different building fabrics. The homes represent the minimum Scottish building regulations (2015), the Passivhaus standard and the Scottish ‘Gold Standard’. Temperature, relative humidity, PM2.5 and total volatile organic compounds (tVOC) were measured at five-minute intervals for seven months and compared to occupants’ subjective responses to the IAQ. All three homes had temperatures above the recommended thresholds for overheating. Measured hygrothermal conditions were within the ideal range 66.4% of the time in the Passivhaus, 56.4% in the Gold Standard home and 62.7% in the control home. Measured IAQ was better in homes with higher energy efficiency, particularly tVOC. For instance, indoor PM2.5 in the Passivhaus were 78.0% of the time below the threshold, while in the standard home the figure was 51.5%, with a weak correlation with outdoor PM2.5 (Passivhaus: B rs = 0.167, K rs = 0.306 and L rs = 0.163 (p < 0.001); Gold: B rs = −0.157, K rs = 0.322 and L rs = 0.340 (p < 0.001); Control: B rs = −0.111, K rs = 0.235 and L rs = 0.235 (p < 0.001)). TVOCs in the Passivhaus were 81.3%, while in the control home they were 55.0%. While the results cannot be generalised, due to the small sample, this study has significant policy implications, particularly in Scotland, exhibiting the importance of IAQ in current building legislation and sustainable assessment methods. Full article
(This article belongs to the Topic Ventilation and Indoor Air Quality, 2nd Edition)
Show Figures

Figure 1

22 pages, 6654 KB  
Article
Comparative Analysis of Overheating Risk for Typical Dwellings and Passivhaus in the UK
by Jihoon Jang, Sukumar Natarajan, Joosang Lee and Seung-Bok Leigh
Energies 2022, 15(10), 3829; https://doi.org/10.3390/en15103829 - 23 May 2022
Cited by 12 | Viewed by 3585
Abstract
There is growing concern that airtight and well-insulated buildings designed to limit heat loss in temperate and cold climates could unintentionally elevate the risk of overheating in summers. Existing literature primarily uses dynamic simulation to investigate this problem due to the difficulty of [...] Read more.
There is growing concern that airtight and well-insulated buildings designed to limit heat loss in temperate and cold climates could unintentionally elevate the risk of overheating in summers. Existing literature primarily uses dynamic simulation to investigate this problem due to the difficulty of obtaining large-scale in-performance data. To address this gap, we undertake a meta-analysis of large-scale indoor air temperature data for 195 UK dwellings, as a study of performance in a temperate climate. Of these, 113 are baseline (i.e., typical existing dwellings) and the rest designed to the high-performance Passivhaus standard. Using both Passivhaus and the well-known CIBSE TM59 overheating standards, this study found that there were few overheated cases for any building type. However, the average summer nighttime temperature of Passivhaus bedrooms was 1.6 °C higher than baseline, with 20 out of 31 measured bedrooms exceeding the overheating criterion, and the average overheating hours constituting approximately 19% of the total summertime observation period. These findings suggest that bedrooms in highly insulated dwellings may pose an overheating risk although whole-dwelling overheating risk is low. Full article
(This article belongs to the Topic Sustainable Built Environment)
Show Figures

Figure 1

26 pages, 3489 KB  
Article
Domestic Energy Efficiency Scenarios for Northern Ireland
by Oluwatobiloba Stephanie Ogunrin, Inna Vorushylo, Oghenovo Okpako and Neil Hewitt
Energies 2022, 15(9), 2985; https://doi.org/10.3390/en15092985 - 19 Apr 2022
Cited by 6 | Viewed by 3377
Abstract
Building fabric retrofitting is an important first step in improving building energy efficiency. The United Kingdom’s (UK) housing stock is one of the most inefficient in Europe, and Northern Ireland has the second-highest level of fuel poverty in the UK. This Northern Irish [...] Read more.
Building fabric retrofitting is an important first step in improving building energy efficiency. The United Kingdom’s (UK) housing stock is one of the most inefficient in Europe, and Northern Ireland has the second-highest level of fuel poverty in the UK. This Northern Irish case study developed three fabric retrofit scenarios that estimate potential demand reductions, CO2 emissions removals and retrofit costs. The first scenario reduces domestic demand by 10% and removes 6% of domestic emissions. The second scenario is more ambitious than the first, and results in an 18% reduction in demand and 12% of emissions removed. The third scenario proposes fabric retrofitting to PassivHaus standard and results in a 42% reduction in demand and 27% of emissions removed. Furthermore, retrofit schemes can provide up to approximately 350,000 jobs annually between 2022 and 2050 for the Northern Irish population. This study demonstrates how fabric retrofit scenarios can be streamlined to the unique features of a housing stock. It shows that fabric retrofit research is important for the formulation of energy efficiency policy and emphasises that domestic sector retrofitting will yield socioeconomic and environmental benefits locally and internationally. Full article
(This article belongs to the Topic Sustainable Built Environment)
Show Figures

Figure 1

18 pages, 6729 KB  
Article
Indoor Air Quality Assessment of Latin America’s First Passivhaus Home
by Alejandro Moreno-Rangel, Filbert Musau, Tim Sharpe and Gráinne McGill
Atmosphere 2021, 12(11), 1477; https://doi.org/10.3390/atmos12111477 - 8 Nov 2021
Cited by 11 | Viewed by 4560
Abstract
Sustainable building design, such as the Passivhaus standard, seeks to minimise energy consumption, while improving indoor environmental comfort. Very few studies have studied the indoor air quality (IAQ) in Passivhaus homes outside of Europe. This paper presents the indoor particulate matter (PM2.5 [...] Read more.
Sustainable building design, such as the Passivhaus standard, seeks to minimise energy consumption, while improving indoor environmental comfort. Very few studies have studied the indoor air quality (IAQ) in Passivhaus homes outside of Europe. This paper presents the indoor particulate matter (PM2.5), carbon dioxide (CO2), and total volatile organic compounds (tVOC) measurements of the first residential Passivhaus in Latin America. It compares them to a standard home in Mexico City. Low-cost monitors were installed in the bedroom, living room, and kitchen spaces of both homes, to collect data at five-minute intervals for one year. The physical measurements from each home were also compared to the occupants’ IAQ perceptions. The measurements demonstrated that the Passivhaus CO2 and tVOC annual average levels were 143.8 ppm and 81.47 μg/m3 lower than the standard home. The PM2.5 in the Passivhaus was 11.13 μg/m3 lower than the standard home and 5.75 μg/m3 lower than outdoors. While the results presented here cannot be generalised, the results suggest that Passivhaus dwellings can provide better and healthier indoor air quality in Latin America. Further, large-scale studies should look at the indoor environmental conditions, energy performance, and dwelling design of Passivhaus dwellings in Latin America. Full article
(This article belongs to the Topic Ventilation and Indoor Air Quality)
Show Figures

Figure 1

17 pages, 4824 KB  
Article
Evaluating Insulation, Glazing and Airtightness Options for Passivhaus EnerPHit Retrofitting of a Dwelling in China’s Hot Summer–Cold Winter Climate Region
by Chenfei Liu, Stephen Sharples and Haniyeh Mohammadpourkarbasi
Energies 2021, 14(21), 6950; https://doi.org/10.3390/en14216950 - 22 Oct 2021
Cited by 4 | Viewed by 2652
Abstract
Passivhaus EnerPHit is a rigorous retrofit energy standard for buildings, based on high thermal insulation and airtightness levels, which aims to significantly reduce building energy consumption during operation. However, extra retrofit materials are required to achieve this standard, which raises a contradiction between [...] Read more.
Passivhaus EnerPHit is a rigorous retrofit energy standard for buildings, based on high thermal insulation and airtightness levels, which aims to significantly reduce building energy consumption during operation. However, extra retrofit materials are required to achieve this standard, which raises a contradiction between how to balance the environmental impacts of the retrofitting material inputs and extremely low energy consumption after retrofit. This motivated the analysis in this paper, which aimed to evaluate the possibilities of reducing the required retrofitting material inputs when trying to achieve the EnerPHit energy standard using a typical suburban dwelling in China’s hot summer–cold winter climate region as a case study. Firstly, how the insulation performance of each envelope component affected the building’s energy consumption was analysed. Based on this, sensitivity simulations of combinations of different insulation levels with different fabric components were investigated under four scenarios of insulation levels, airtightness and glazing choice. The final proposed retrofitting plans achieved the EnerPHit standard with insulation materials’ savings between 18% to 58% compared to a baseline retrofit plan, and this led, in turn, to 3.9 to 12.6 tonnes of carbon reductions. Moreover, an energy-saving of 87% in heating and 70% in cooling was achieved compared with the pre-retrofit dwelling. Full article
(This article belongs to the Special Issue Improving the Energy Efficiency of Buildings)
Show Figures

Figure 1

31 pages, 4004 KB  
Article
Mass Timber Envelopes in Passivhaus Buildings: Designing for Moisture Safety in Hot and Humid Australian Climates
by Marcus Strang, Paola Leardini, Arianna Brambilla and Eugenia Gasparri
Buildings 2021, 11(10), 478; https://doi.org/10.3390/buildings11100478 - 14 Oct 2021
Cited by 22 | Viewed by 5528
Abstract
The uptake of buildings employing cross-laminated timber (CLT) assemblies and designed to Passivhaus standard has accelerated internationally over the past two decades due to several factors including responses to the climate crisis by decarbonising the building stock. Structural CLT technology and the Passivhaus [...] Read more.
The uptake of buildings employing cross-laminated timber (CLT) assemblies and designed to Passivhaus standard has accelerated internationally over the past two decades due to several factors including responses to the climate crisis by decarbonising the building stock. Structural CLT technology and the Passivhaus certification both show measurable benefits in reducing energy consumption, while contributing to durability and indoor comfort. However, there is a general lack of evidence to support a fast uptake of these technologies in Australia. This paper responds to the compelling need of providing quantitative data and adoption strategies; it explores their combined application as a potential pathway for climate-appropriate design of energy-efficient and durable mass timber envelope solutions for subtropical and tropical Australian climates. Hygrothermal risk assessments of interstitial condensation and mould growth of CLT wall assemblies inform best-practice design of mass timber buildings in hot and humid climates. This research found that the durability of mass timber buildings located in hot and humid climates may benefit from implementing the Passivhaus standard to manage interior conditions. The findings also suggested that climate-specific design of the wall assembly is critical for mass timber buildings, in conjunction with excellent stormwater management practices during construction and corrosion protection for metallic fasteners. Full article
Show Figures

Figure 1

15 pages, 3228 KB  
Article
Active Buildings Based on Passivhaus Standard to Reduce the Energy Deficit of Regional Electric Network: Proposal Analysis
by Josué Aarón López-Leyva, Carolina Barrera-Silva, Luisa Fernanda Sarmiento-Leyva and María Fernanda González-Romero
Electronics 2021, 10(19), 2361; https://doi.org/10.3390/electronics10192361 - 28 Sep 2021
Viewed by 2434
Abstract
This manuscript presents the analysis of a real distributed generation network considering the integration of Active Buildings that meet the Passivhaus standard criteria at the Premium level, as a base case model. The novelty aspect presented in this paper is the interconnection of [...] Read more.
This manuscript presents the analysis of a real distributed generation network considering the integration of Active Buildings that meet the Passivhaus standard criteria at the Premium level, as a base case model. The novelty aspect presented in this paper is the interconnection of Active Buildings based on the Passivhaus standard at the Premium level with the National Electricity System (particularly, in Mexico’s North Baja California region) to mitigate the energy deficit. The objective of the proposal grid is to reduce the energy deficit (≈600 MW) due to the high energy demand in the region and the reduced energy generation through conventional and renewable energy sources. In a particular way, the energy rehabilitation of some buildings was analyzed with the aim of reducing the energy demand of each one and then adding energy generation through renewable sources. As a result, all Passivhaus standard criteria (i.e., heating and cooling demands, heating and cooling loads, among others) were met. Regarding the Active Buildings performance in each distributed generation circuit, an overall installed power capacity of ≈2.3 MW was obtained, which corresponds to ≈19.1% of the maximum capacity, and ≈34.30% of the recommended integration capacity. In addition, adequate results were obtained related to the import and export of energy between distributed generation circuits, i.e., the energy exchange is up to ≈106.8 kW, intending to reduce the energy contribution of the utility electrical network. Finally, the analysis of the Active Buildings showed an increase in the net generation forecast, up to ≈2.25 MW. Full article
(This article belongs to the Section Power Electronics)
Show Figures

Figure 1

Back to TopTop