Sign in to use this feature.

Years

Between: -

Subjects

remove_circle_outline
remove_circle_outline
remove_circle_outline
remove_circle_outline
remove_circle_outline
remove_circle_outline
remove_circle_outline
remove_circle_outline
remove_circle_outline

Journals

Article Types

Countries / Regions

Search Results (30)

Search Parameters:
Keywords = PageRank problems

Order results
Result details
Results per page
Select all
Export citation of selected articles as:
25 pages, 562 KB  
Article
VeriFlow: A Framework for the Static Verification of Web Application Access Control via Policy-Graph Consistency
by Tao Zhang, Fuzhong Hao, Yunfan Wang, Bo Zhang and Guangwei Xie
Electronics 2025, 14(18), 3742; https://doi.org/10.3390/electronics14183742 - 22 Sep 2025
Viewed by 1605
Abstract
The evolution of industrial automation toward Industry 3.0 and 4.0 has driven the emergence of Industrial Edge-Cloud Platforms, which increasingly depend on web interfaces for managing and monitoring critical operational technology. This convergence introduces significant security risks, particularly from Broken Access Control (BAC)—a [...] Read more.
The evolution of industrial automation toward Industry 3.0 and 4.0 has driven the emergence of Industrial Edge-Cloud Platforms, which increasingly depend on web interfaces for managing and monitoring critical operational technology. This convergence introduces significant security risks, particularly from Broken Access Control (BAC)—a vulnerability consistently ranked as the top web application risk by the Open Web Application Security Project (OWASP). BAC flaws in industrial contexts can lead not only to data breaches but also to disruptions of physical processes. To address this urgent need for robust web-layer defense, this paper presents VeriFlow, a static verification framework for access control in web applications. VeriFlow reformulates access control verification as a consistency problem between two core artifacts: (1) a Formal Access Control Policy (P), which declaratively defines intended permissions, and (2) a Navigational Graph, which models all user-driven UI state transitions. By annotating the graph with policy P, VeriFlow verifies a novel Path-Permission Safety property, ensuring that no sequence of legitimate UI interactions can lead a user from an authorized state to an unauthorized one. A key technical contribution is a static analysis method capable of extracting navigational graphs directly from the JavaScript bundles of Single-Page Applications (SPAs), circumventing the limitations of traditional dynamic crawlers. In empirical evaluations, VeriFlow outperformed baseline tools in vulnerability detection, demonstrating its potential to deliver strong security guarantees that are provable within its abstracted navigational model. By formally checking policy-graph consistency, it systematically addresses a class of vulnerabilities often missed by dynamic tools, though its effectiveness is subject to the model-reality gap inherent in static analysis. Full article
Show Figures

Figure 1

18 pages, 3283 KB  
Article
Influence-Based Community Partition with DegreeRank Label Propagation (DRLP) Algorithm for Social Networks
by Mingwu Li, Ailian Wang, Xuyang Gao and Bolin Li
Appl. Sci. 2025, 15(8), 4295; https://doi.org/10.3390/app15084295 - 13 Apr 2025
Viewed by 780
Abstract
Community detection is increasingly important in social networks with the rapid growth of big data, which provides a deep understanding of the mesoscopic structure of social networks. In this article, we propose a label improvement algorithm, DegreeRank Label Propagation (DRLP), which is based [...] Read more.
Community detection is increasingly important in social networks with the rapid growth of big data, which provides a deep understanding of the mesoscopic structure of social networks. In this article, we propose a label improvement algorithm, DegreeRank Label Propagation (DRLP), which is based on the degree centrality of nodes and adopts a PageRank optimization strategy. We present a damping factor reflecting the affinity between nodes, which can be adjusted to affect the change of affinity between nodes caused by unexpected events, aiming to simulate interpersonal communication in real networks. Next, a novel importance index is designed for nodes to solve the random problem of existing similar algorithms by globalizing the local characteristics of nodes. We also develop an update algorithm with low time complexity during the label selection process to ensure the sum of influence propagation is maximized within each community. Experimental results verify that the algorithm achieves stable and excellent community partitioning results on real network datasets and artificial synthetic networks. Especially in large and medium-sized networks, our method demonstrates higher accuracy and better performance in terms of normalized mutual information (NMI) and modularity than other methods. Full article
Show Figures

Figure 1

29 pages, 6896 KB  
Article
Research on Modeling and Analysis Methods of Railway Station Yard Diagrams Based on Multi-Layer Complex Networks
by Pengfei Gao, Wei Zheng, Jintao Liu and Daohua Wu
Appl. Sci. 2025, 15(5), 2324; https://doi.org/10.3390/app15052324 - 21 Feb 2025
Cited by 5 | Viewed by 2670
Abstract
Optimizing railway station operations necessitates the identification of critical track sections that constrain design throughput capacity under fixed infrastructure conditions. This paper proposes a novel multi-layer complex network-based approach for modeling and analyzing railway station yard diagrams, reframing the identification of key track [...] Read more.
Optimizing railway station operations necessitates the identification of critical track sections that constrain design throughput capacity under fixed infrastructure conditions. This paper proposes a novel multi-layer complex network-based approach for modeling and analyzing railway station yard diagrams, reframing the identification of key track sections affecting station throughput capacity as a node importance evaluation problem. In this model, nodes represent track sections included in routes specified by the station interlocking tables, while edges denote sequential connections between nodes. The structural relationships among nodes are captured using adjacency matrix (AM), structural matrix (SM), connection count matrix (CCM), and transition probability matrix (TPM). To evaluate node importance, five key indicators are introduced: connectivity strength (CS), destination node count (DNC), source node count (SNC), node efficiency (NE), and an extended PageRank (EPR). Additionally, a layered network node importance analysis method based on a single indicator, along with a comprehensive evaluation approach for the importance of the multi-layer network node, is presented. A case study conducted on a conventional railway station demonstrates that the proposed method effectively identifies key track sections through both hierarchical single-indicator evaluation and comprehensive assessment approaches. Furthermore, this paper investigates key node evaluation indicators and explores an alternative method based on Principal Component Analysis and Rank Sum Ratio (PCA-RSR), which also proves effective in identifying critical track sections. Full article
Show Figures

Figure 1

21 pages, 4262 KB  
Article
Application of Time-Weighted PageRank Method with Citation Intensity for Assessing the Recent Publication Productivity and Partners Selection in R&D Collaboration
by Andrii Biloshchytskyi, Oleksandr Kuchanskyi, Aidos Mukhatayev, Yurii Andrashko, Sapar Toxanov, Adil Faizullin and Khanat Kassenov
Publications 2024, 12(4), 48; https://doi.org/10.3390/publications12040048 - 13 Dec 2024
Cited by 2 | Viewed by 2192
Abstract
This article considers the problem of assessing the recent publication productivity of scientists based on PageRank class methods and proposes to use these assessments to solve the problem of selecting scientific partners for R&D projects. The methods of PageRank, Time-Weighted PageRank, and the [...] Read more.
This article considers the problem of assessing the recent publication productivity of scientists based on PageRank class methods and proposes to use these assessments to solve the problem of selecting scientific partners for R&D projects. The methods of PageRank, Time-Weighted PageRank, and the Time-Weighted PageRank method with Citation Intensity (TWPR-CI) were used as a basis for calculating the publication productivity of individual subjects or scientists. For verification, we used the Citation Network Dataset (Ver. 14) of more than 5 million STEM publications with 36 million citations. The dataset is based on data from ACM, DBLP, and Microsoft Academic Graph databases. Only those individual subjects who published at least two articles after 2000, with at least one of these articles cited at least once before 2023 year, were analyzed. Thus, the number of individual subjects was reduced to 1,042,122, and the number of scientific publications was reduced to 2,422,326. For each of the methods, a range of estimates of productivity is indicated, which are obtained as a result and possible options for making decisions on the selection of potential individual subjects as performers of R&D projects. One of the key advantages of the TWPR-CI method is that it gives priority to those researchers who have recently published and been cited frequently in their respective research areas. This ensures that the best potential R&D project executors are selected, which should minimize the impact of subjective factors on this choice. We believe that the proposed concept for selecting potential R&D project partners could help to reduce the risks associated with these projects and facilitate the involvement of the most suitable specialists in the relevant area of knowledge. Full article
Show Figures

Figure 1

18 pages, 1567 KB  
Article
Labiaplasty: A Qualitative Analysis of Online Discourse on Labia Minora
by Isabel Ortega-Sánchez, María Orosia Lucha-López and Sofía Monti-Ballano
Sexes 2024, 5(4), 721-738; https://doi.org/10.3390/sexes5040046 - 2 Dec 2024
Cited by 4 | Viewed by 6771
Abstract
In recent years, the practice of female genital cosmetic surgery, particularly labiaplasty, has increased in Spain, as reported by aesthetic surgery associations. The aim of this article is to describe and represent the labia minora in online information and assess whether it includes [...] Read more.
In recent years, the practice of female genital cosmetic surgery, particularly labiaplasty, has increased in Spain, as reported by aesthetic surgery associations. The aim of this article is to describe and represent the labia minora in online information and assess whether it includes elements that may contribute to body dysmorphia. To achieve this, a qualitative content analysis was conducted on the most accessible Spanish-language websites, selected based on their PageRank. The results show that 71.4% of the analyzed websites promote labial reduction, with the majority being commercial sites from medical aesthetic centers. A significant bias towards the medicalization of female genital diversity is revealed, contributing to the creation of the problem: labial hypertrophy is presented as a pathological condition without objective medical criteria, while critical information regarding risks is often omitted. There is a need to reassess the representations, assumptions, and sociocultural values that inform these medical practices and influence their narratives. Full article
(This article belongs to the Section Women's Health and Gynecology)
Show Figures

Figure 1

14 pages, 1924 KB  
Article
Electric Vehicle Charging Load Prediction Considering Spatio-Temporal Node Importance Information
by Sizu Hou, Xinyu Zhang and Haiqing Yu
Energies 2024, 17(19), 4840; https://doi.org/10.3390/en17194840 - 27 Sep 2024
Cited by 7 | Viewed by 1983
Abstract
The rapid development of electric vehicles (EVs) has brought great challenges to the power grid, so improving the EV load prediction accuracy is crucial to the safe operation of the power grid. Aiming at the problem of insufficient consideration of spatial dimension information [...] Read more.
The rapid development of electric vehicles (EVs) has brought great challenges to the power grid, so improving the EV load prediction accuracy is crucial to the safe operation of the power grid. Aiming at the problem of insufficient consideration of spatial dimension information in the current EV charging load forecasting research, this study proposes a forecasting method that considers spatio-temporal node importance information. The improved PageRank algorithm is used to carry out the importance degree calculation of the load nodes based on the historical load information and the geographic location information of the charging station nodes, and the spatio-temporal features are initially extracted. In addition, the attention mechanism and convolutional network techniques are also utilized to further mine the spatio-temporal feature information to improve the prediction accuracy. The results on a charging station load dataset within a city in the Hebei South Network show that the model in this study can effectively handle the task of forecasting large fluctuations and long time series of charging loads and improve the forecasting accuracy. Full article
Show Figures

Figure 1

16 pages, 3244 KB  
Article
Research on Machining Quality Prediction Method Based on Machining Error Transfer Network and Grey Neural Network
by Dongyue Qu, Wenchao Liang, Yuting Zhang, Chaoyun Gu and Yong Zhan
J. Manuf. Mater. Process. 2024, 8(5), 203; https://doi.org/10.3390/jmmp8050203 - 18 Sep 2024
Cited by 4 | Viewed by 1580
Abstract
Machining quality prediction is the critical link of quality control in parts machining. With the advent of the Industry 4.0 era, intelligent manufacturing and data-driven technologies bring new ideas for quality control in complex machining processes. Quality control is complicated for multi-process, multi-condition, [...] Read more.
Machining quality prediction is the critical link of quality control in parts machining. With the advent of the Industry 4.0 era, intelligent manufacturing and data-driven technologies bring new ideas for quality control in complex machining processes. Quality control is complicated for multi-process, multi-condition, small-batch, and high-precision parts processing requirements. To solve this problem, this paper proposes a machining quality prediction method based on the machining error transfer network and the grey neural network. Initially, by constructing a processing error transfer network, the error transfer law in part processing is described, and the PageRank algorithm and the influence degree of the nodes are used to determine the critical quality features. Additionally, the problem of low prediction accuracy due to small sample data and multiple coupling relationships is solved using the grey neural network algorithm, and a high accuracy prediction of critical quality features is achieved. Finally, the effectiveness and reliability of the method are verified by the case of medium-speed marine diesel engine fuselage processing. The results indicate that this method not only effectively identifies critical quality features in the machining process of complex parts, but it also maintains a high predictive accuracy for these features, even with small samples and limited data. Full article
(This article belongs to the Special Issue Industry 4.0: Manufacturing and Materials Processing)
Show Figures

Figure 1

22 pages, 970 KB  
Article
Optimizing Collaborative Crowdsensing: A Graph Theoretical Approach to Team Recruitment and Fair Incentive Distribution
by Hui Liu, Chuang Zhang, Xiaodong Chen and Weipeng Tai
Sensors 2024, 24(10), 2983; https://doi.org/10.3390/s24102983 - 8 May 2024
Cited by 5 | Viewed by 1615
Abstract
Collaborative crowdsensing is a team collaboration model that harnesses the intelligence of a large network of participants, primarily applied in areas such as intelligent computing, federated learning, and blockchain. Unlike traditional crowdsensing, user recruitment in collaborative crowdsensing not only considers the individual capabilities [...] Read more.
Collaborative crowdsensing is a team collaboration model that harnesses the intelligence of a large network of participants, primarily applied in areas such as intelligent computing, federated learning, and blockchain. Unlike traditional crowdsensing, user recruitment in collaborative crowdsensing not only considers the individual capabilities of users but also emphasizes their collaborative abilities. In this context, this paper takes a unique approach by modeling user interactions as a graph, transforming the recruitment challenge into a graph theory problem. The methodology employs an enhanced Prim algorithm to identify optimal team members by finding the maximum spanning tree within the user interaction graph. After the recruitment, the collaborative crowdsensing explored in this paper presents a challenge of unfair incentives due to users engaging in free-riding behavior. To address these challenges, the paper introduces the MR-SVIM mechanism. Initially, the process begins with a Gaussian mixture model predicting the quality of users’ tasks, combined with historical reputation values to calculate their direct reputation. Subsequently, to assess users’ significance within the team, aggregation functions and the improved PageRank algorithm are employed for local and global influence evaluation, respectively. Indirect reputation is determined based on users’ importance and similarity with interacting peers. Considering the comprehensive reputation value derived from the combined assessment of direct and indirect reputations, and integrating the collaborative capabilities among users, we have formulated a feature function for contribution. This function is applied within an enhanced Shapley value method to assess the relative contributions of each user, achieving a more equitable distribution of earnings. Finally, experiments conducted on real datasets validate the fairness of this mechanism. Full article
(This article belongs to the Section Sensor Networks)
Show Figures

Figure 1

35 pages, 10269 KB  
Article
Assessing Interactive Web-Based Systems Using Behavioral Measurement Techniques
by Thanaa Saad AlSalem and Majed Aadi AlShamari
Future Internet 2023, 15(11), 365; https://doi.org/10.3390/fi15110365 - 11 Nov 2023
Cited by 4 | Viewed by 4437
Abstract
Nowadays, e-commerce websites have become part of people’s daily lives; therefore, it has become necessary to seek help in assessing and improving the usability of the services of e-commerce websites. Essentially, usability studies offer significant information about users’ assessment and perceptions of satisfaction, [...] Read more.
Nowadays, e-commerce websites have become part of people’s daily lives; therefore, it has become necessary to seek help in assessing and improving the usability of the services of e-commerce websites. Essentially, usability studies offer significant information about users’ assessment and perceptions of satisfaction, effectiveness, and efficiency of online services. This research investigated the usability of two e-commerce web-sites in Saudi Arabia and compared the effectiveness of different behavioral measurement techniques, such as heuristic evaluation, usability testing, and eye-tracking. In particular, this research selected the Extra and Jarir e-commerce websites in Saudi Arabia based on a combined approach of criteria and ranking. This research followed an experimental approach in which both qualitative and quantitative approaches were employed to collect and analyze the data. Each of the behavioral measurement techniques identified usability issues ranging from cosmetic to catastrophic issues. It is worth mentioning that the heuristic evaluation by experts provided both the majority of the issues and identified the most severe usability issues compared to the number of issues identified by both usability testing and eye-tracking combined. Usability testing provided fewer problems, most of which had already been identified by the experts. Eye-tracking provided critical information regarding the page design and element placements and revealed certain user behavior patterns that indicated certain usability problems. Overall, the research findings appeared useful to user experience (UX) and user interface (UI) designers to consider the provided recommendations to enhance the usability of e-commerce websites. Full article
(This article belongs to the Special Issue Advances and Perspectives in Human-Computer Interaction)
Show Figures

Figure 1

18 pages, 2384 KB  
Article
Delegated Proof of Stake Consensus Mechanism Based on Community Discovery and Credit Incentive
by Wangchun Li, Xiaohong Deng, Juan Liu, Zhiwei Yu and Xiaoping Lou
Entropy 2023, 25(9), 1320; https://doi.org/10.3390/e25091320 - 10 Sep 2023
Cited by 28 | Viewed by 6575
Abstract
Consensus algorithms are the core technology of a blockchain and directly affect the implementation and application of blockchain systems. Delegated proof of stake (DPoS) significantly reduces the time required for transaction verification by selecting representative nodes to generate blocks, and it has become [...] Read more.
Consensus algorithms are the core technology of a blockchain and directly affect the implementation and application of blockchain systems. Delegated proof of stake (DPoS) significantly reduces the time required for transaction verification by selecting representative nodes to generate blocks, and it has become a mainstream consensus algorithm. However, existing DPoS algorithms have issues such as “one ballot, one vote”, a low degree of decentralization, and nodes performing malicious actions. To address these problems, an improved DPoS algorithm based on community discovery is designed, called CD-DPoS. First, we introduce the PageRank algorithm to improve the voting mechanism, achieving “one ballot, multiple votes”, and we obtain the reputation value of each node. Second, we propose a node voting enthusiasm measurement method based on the GN algorithm. Finally, we design a comprehensive election mechanism combining node reputation values and voting enthusiasm to select secure and reliable accounting nodes. A node credit incentive mechanism is also designed to effectively motivate normal nodes and drive out malicious nodes. The experimental simulation results show that our proposed algorithm has better decentralization, malicious node eviction capabilities and higher throughput than similar methods. Full article
(This article belongs to the Special Issue Quantum and Classical Physical Cryptography)
Show Figures

Figure 1

12 pages, 514 KB  
Article
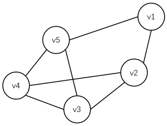
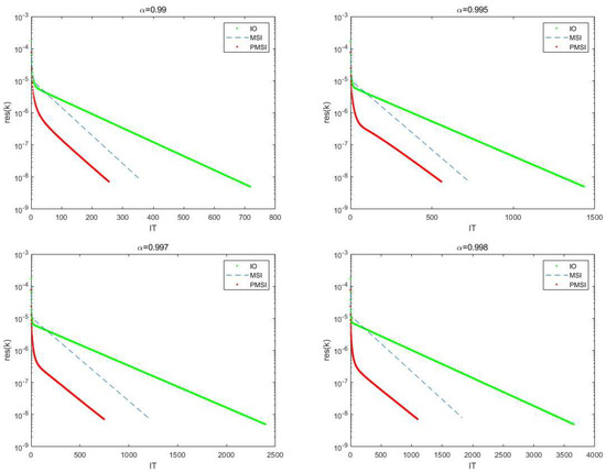
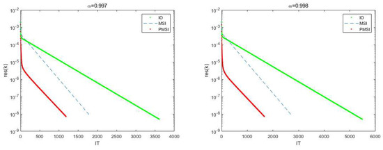
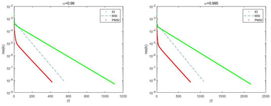
A Parameterized Multi-Splitting Iterative Method for Solving the PageRank Problem
by Yajun Xie, Lihua Hu and Changfeng Ma
Mathematics 2023, 11(15), 3320; https://doi.org/10.3390/math11153320 - 28 Jul 2023
Cited by 1 | Viewed by 1610
Abstract
In this paper, a new multi-parameter iterative algorithm is proposed to address the PageRank problem based on the multi-splitting iteration method. The proposed method solves two linear subsystems at each iteration by splitting the coefficient matrix, considering therefore inner and outer iteration to [...] Read more.
In this paper, a new multi-parameter iterative algorithm is proposed to address the PageRank problem based on the multi-splitting iteration method. The proposed method solves two linear subsystems at each iteration by splitting the coefficient matrix, considering therefore inner and outer iteration to find the approximate solutions of these linear subsystems. It can be shown that the iterative sequence generated by the multi-parameter iterative algorithm finally converges to the PageRank vector when the parameters satisfy certain conditions. Numerical experiments show that the proposed algorithm has better convergence and numerical stability than the existing algorithms. Full article
Show Figures

Figure 1

25 pages, 822 KB  
Article
A Comprehensive Survey of Facet Ranking Approaches Used in Faceted Search Systems
by Esraa Ali, Annalina Caputo and Gareth J. F. Jones
Information 2023, 14(7), 387; https://doi.org/10.3390/info14070387 - 7 Jul 2023
Cited by 5 | Viewed by 5705
Abstract
Faceted Search Systems (FSSs) have gained prominence as one of the dominant search approaches in vertical search systems. They provide facets to educate users about the information space and allow them to refine their search query and navigate back and forth between resources [...] Read more.
Faceted Search Systems (FSSs) have gained prominence as one of the dominant search approaches in vertical search systems. They provide facets to educate users about the information space and allow them to refine their search query and navigate back and forth between resources on a single results page. Despite the importance of this problem, it is rare to find studies dedicated solely to the investigation of facet ranking methods, nor to how this step, aside from other aspects of faceted search, affects the user’s search experience. The objective of this survey paper is to review the state of the art in research related to faceted search systems, with a focus on existing facet ranking approaches and the key challenges posed by this problem. In addition to that, this survey also investigates state-of-the-art FSS evaluation frameworks and the most commonly used techniques and metrics to evaluate facet ranking approaches. It also lays out criteria for dataset appropriateness and its needed structure to be used in evaluating facet ranking methods aside from other FSS aspects. This paper concludes by highlighting gaps in the current research and future research directions related to this area. Full article
Show Figures

Figure 1

22 pages, 2618 KB  
Article
User Real-Time Influence Ranking Algorithm of Social Networks Considering Interactivity and Topicality
by Zhaohui Li, Wenjia Piao, Zhengyi Sun, Lin Wang, Xiaoqian Wang and Wenli Li
Entropy 2023, 25(6), 926; https://doi.org/10.3390/e25060926 - 12 Jun 2023
Cited by 6 | Viewed by 4552
Abstract
At present, the existing influence evaluation algorithms often ignore network structure attributes, user interests and the time-varying propagation characteristics of influence. To address these issues, this work comprehensively discusses users’ own influence, weighted indicators, users’ interaction influence and the similarity between user interests [...] Read more.
At present, the existing influence evaluation algorithms often ignore network structure attributes, user interests and the time-varying propagation characteristics of influence. To address these issues, this work comprehensively discusses users’ own influence, weighted indicators, users’ interaction influence and the similarity between user interests and topics, thus proposing a dynamic user influence ranking algorithm called UWUSRank. First, we determine the user’s own basic influence based on their activity, authentication information and blog response. This improves the problem of poor objectivity of initial value on user influence evaluation when using PageRank to calculate user influence. Next, this paper mines users’ interaction influence by introducing the propagation network properties of Weibo (a Twitter-like service in China) information and scientifically quantifies the contribution value of followers’ influence to the users they follow according to different interaction influences, thereby solving the drawback of equal value transfer of followers’ influence. Additionally, we analyze the relevance of users’ personalized interest preferences and topic content and realize real-time monitoring of users’ influence at various time periods during the process of public opinion dissemination. Finally, we conduct experiments by extracting real Weibo topic data to verify the effectiveness of introducing each attribute of users’ own influence, interaction timeliness and interest similarity. Compared to TwitterRank, PageRank and FansRank, the results show that the UWUSRank algorithm improves the rationality of user ranking by 9.3%, 14.2%, and 16.7%, respectively, which proves the practicality of the UWUSRank algorithm. This approach can serve as a guide for research on user mining, information transmission methods, and public opinion tracking in social network-related areas. Full article
(This article belongs to the Special Issue Advances in Information Sciences and Applications II)
Show Figures

Figure 1

35 pages, 812 KB  
Review
Extreme Value Statistics for Evolving Random Networks
by Natalia Markovich and Marijus Vaičiulis
Mathematics 2023, 11(9), 2171; https://doi.org/10.3390/math11092171 - 5 May 2023
Cited by 5 | Viewed by 3962
Abstract
Our objective is to survey recent results concerning the evolution of random networks and related extreme value statistics, which are a subject of interest due to numerous applications. Our survey concerns the statistical methodology but not the structure of random networks. We focus [...] Read more.
Our objective is to survey recent results concerning the evolution of random networks and related extreme value statistics, which are a subject of interest due to numerous applications. Our survey concerns the statistical methodology but not the structure of random networks. We focus on the problems arising in evolving networks mainly due to the heavy-tailed nature of node indices. Tail and extremal indices of the node influence characteristics like in-degrees, out-degrees, PageRanks, and Max-linear models arising in the evolving random networks are discussed. Related topics like preferential and clustering attachments, community detection, stationarity and dependence of graphs, information spreading, finding the most influential leading nodes and communities, and related methods are surveyed. This survey tries to propose possible solutions to unsolved problems, like testing the stationarity and dependence of random graphs using known results obtained for random sequences. We provide a discussion of unsolved or insufficiently developed problems like the distribution of triangle and circle counts in evolving networks, or the clustering attachment and the local dependence of the modularity, the impact of node or edge deletion at each step of evolution on extreme value statistics, among many others. Considering existing techniques of community detection, we pay attention to such related topics as coloring graphs and anomaly detection by machine learning algorithms based on extreme value theory. In order to understand how one can compute tail and extremal indices on random graphs, we provide a structured and comprehensive review of their estimators obtained for random sequences. Methods to calculate the PageRank and PageRank vector are shortly presented. This survey aims to provide a better understanding of the directions in which the study of random networks has been done and how extreme value analysis developed for random sequences can be applied to random networks. Full article
(This article belongs to the Special Issue New Advances and Applications of Extreme Value Theory)
Show Figures

Figure 1

17 pages, 5326 KB  
Article
Emergency Material Scheduling Optimization Method Using Multi-Disaster Point Distribution Approach
by Mengying Chang, Huizhi Xu, Dongsheng Hao, Jinhuan Zhou, Chen Liu and Chujie Zhong
Processes 2023, 11(5), 1330; https://doi.org/10.3390/pr11051330 - 25 Apr 2023
Cited by 5 | Viewed by 2566
Abstract
The outbreak of multiple disaster sites during the coronavirus disease 2019 (COVID-19) pandemic has presented challenges due to varying access time intensity, population density, and medical resources at each site. To address these issues, this study focuses on 13 districts and counties in [...] Read more.
The outbreak of multiple disaster sites during the coronavirus disease 2019 (COVID-19) pandemic has presented challenges due to varying access time intensity, population density, and medical resources at each site. To address these issues, this study focuses on 13 districts and counties in Wuhan, China. The importance of each research area is analyzed using the improved PageRank and TOPSIS algorithms to determine the optimal site selection plan. Additionally, a particle swarm algorithm is used to construct an emergency material dispatching model that targets both distribution and site selection costs to solve the multi-distribution center dispatching problem. The results suggest that constructing 10 distribution centers can satisfy the demand for epidemic prevention and control in Wuhan city while saving costs associated with site selection and material distribution. Compared to the previous optimal solution, the distribution and site selection costs under the optimal solution decreased by 27.9% and 17.82%, respectively. This approach can serve as a basis for dispatching emergency materials during public health emergencies. Full article
Show Figures

Figure 1

Back to TopTop