Sign in to use this feature.

Years

Between: -

Subjects

remove_circle_outline
remove_circle_outline
remove_circle_outline
remove_circle_outline
remove_circle_outline
remove_circle_outline
remove_circle_outline
remove_circle_outline
remove_circle_outline

Journals

remove_circle_outline
remove_circle_outline
remove_circle_outline
remove_circle_outline
remove_circle_outline
remove_circle_outline
remove_circle_outline
remove_circle_outline
remove_circle_outline
remove_circle_outline

Article Types

Countries / Regions

remove_circle_outline
remove_circle_outline
remove_circle_outline
remove_circle_outline

Search Results (823)

Search Parameters:
Keywords = PEG polymer

Order results
Result details
Results per page
Select all
Export citation of selected articles as:
21 pages, 5355 KB  
Article
Flunarizine-Loaded Hydrogels: A Novel Formulation and Physicochemical Characterization
by Camelia Daniela Ionaș, Dorinel Okolišan, Camelia Epuran, Ion Frățilescu, Gabriela Vlase, Alexandru Pahomi, Raul Ștefan-Pantiș, Mihaela Maria Budiul, Mădălina Grădinaru and Titus Vlase
Polymers 2026, 18(9), 1014; https://doi.org/10.3390/polym18091014 - 22 Apr 2026
Abstract
Flunarizine is a calcium channel blocker widely used in neurological disorders; however, its low aqueous solubility may influence formulation stability and drug dispersion in polymer-based systems. The present study aimed to evaluate the compatibility of flunarizine with selected excipients and to investigate its [...] Read more.
Flunarizine is a calcium channel blocker widely used in neurological disorders; however, its low aqueous solubility may influence formulation stability and drug dispersion in polymer-based systems. The present study aimed to evaluate the compatibility of flunarizine with selected excipients and to investigate its incorporation into polymeric hydrogel matrices. Binary mixtures of flunarizine with excipients such as hydroxypropyl-β-cyclodextrin, polyethylene glycol (PEG 6000), Tween 20, gelatin, and citric acid were prepared and characterized using Fourier-transform infrared spectroscopy (FTIR), thermogravimetric analysis (TG/DTG), and high-performance liquid chromatography (HPLC). The FTIR spectra of the analyzed samples do not reveal the appearance of new absorption bands that may indicate chemical interactions; instead, minor spectral variations were observed due to weak intermolecular interactions within the polymer network. Thermal analysis revealed decomposition patterns consistent with those of the individual components, suggesting the absence of significant incompatibilities. A validated RP-HPLC method enabled sensitive and reliable quantification of flunarizine in the analyzed systems, with a limit of detection (LOD) of 0.05 µg/mL and a limit of quantitation (LOQ) of 0.16 µg/mL. Accuracy testing showed average recovery rates of 100% across 80–120% spiking levels. Overall, the results support the compatibility of flunarizine with the investigated excipients and the suitability of the studied hydrogels as potential drug delivery matrices. Full article
(This article belongs to the Special Issue Polymers and Their Role in Drug Delivery, 3rd Edition)
Show Figures

Figure 1

30 pages, 15834 KB  
Article
Ge11-Modified pH-Sensitive Polymer Micelles: A New Breakthrough in Targeted Therapy for Non-Small-Cell Lung Cancer
by Xingmeng Ma, Zhu Wang, Jingyi Wang, Xingyu Chen, Jinggang Zhang, Dengxue Yang, Shiyi Xu and Xueying Yan
Pharmaceutics 2026, 18(4), 498; https://doi.org/10.3390/pharmaceutics18040498 - 17 Apr 2026
Viewed by 120
Abstract
Background/Objective: In lung cancer treatment, increasing the concentration of antitumor drugs at the tumor site, enhancing efficacy, and reducing systemic toxicity are significant challenges. This study aims to develop an intelligent responsive polymer micelle system (GPDD) that achieves efficient accumulation and controlled [...] Read more.
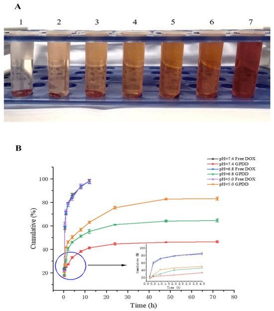
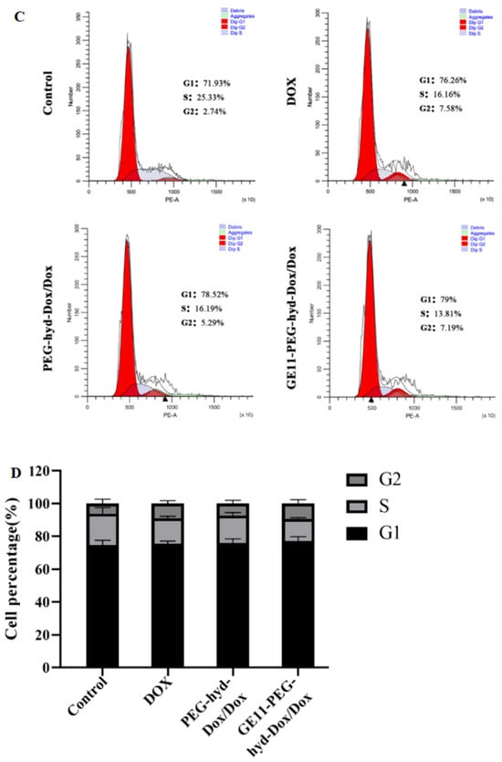
Background/Objective: In lung cancer treatment, increasing the concentration of antitumor drugs at the tumor site, enhancing efficacy, and reducing systemic toxicity are significant challenges. This study aims to develop an intelligent responsive polymer micelle system (GPDD) that achieves efficient accumulation and controlled release of drugs at lung tumor sites through targeted and pH-responsive design. Methods: The GPDD system is formed by the self-assembly of GE11-PEG-hyd-DOX conjugates and co-loads free DOX. This system utilizes the targeting effect of the GE11 peptide with the epidermal growth factor receptor (EGFR) to accumulate at the tumor site, while the hydrazone bond serves as a pH-responsive linker that breaks in the acidic tumor microenvironment, triggering drug release. Experiments employed CCK-8 cytotoxicity assays and tumor-bearing nude mouse models (strain not specified) for in vitro and in vivo evaluations. Results: In vitro experiments showed that GE11-modified GPDD effectively inhibited tumor cell growth. In tumor-bearing nude mouse experiments, GPDD demonstrated more significant tumor suppression effects and lower systemic toxicity compared to free DOX and unmodified PDD. Conclusions: The GPDD nanocarrier integrates targeting and pH responsiveness, improving antitumor efficacy and reducing side effects, with translational potential. The novelty of the study lies in its dual-functional design and co-loading strategy, providing new insights for tumor-targeted delivery systems. Full article
(This article belongs to the Topic Advanced Nanocarriers for Targeted Drug and Gene Delivery)
Show Figures

Figure 1

22 pages, 2510 KB  
Article
Corrosion Behavior of AISI 52100 Bearing Steel in Novel Water-Based Lubricants
by Juan Bosch, Elizabeth Kotzalas, K Zin Htut, Rowan King and Christopher DellaCorte
Metals 2026, 16(4), 428; https://doi.org/10.3390/met16040428 - 15 Apr 2026
Viewed by 242
Abstract
Water-based lubricants (WBLs) are increasingly being considered for electrified drivetrain applications; however, their electrochemical stability toward bearing steels remains insufficiently understood. This study evaluated the corrosion behavior of through-hardened AISI 52100 bearing steel in novel WBLs to elucidate the corrosion kinetics and surface [...] Read more.
Water-based lubricants (WBLs) are increasingly being considered for electrified drivetrain applications; however, their electrochemical stability toward bearing steels remains insufficiently understood. This study evaluated the corrosion behavior of through-hardened AISI 52100 bearing steel in novel WBLs to elucidate the corrosion kinetics and surface degradation mechanisms. Round steel disks were cleaned and tested in 50 wt% aqueous dilutions of glycerol, ethylene glycol (MEG), polyethylene glycol (PEG), and polyalkylene glycol (PAG). Electrochemical measurements were conducted using a three-electrode cell in accordance with ASTM G3-14, employing open circuit potential (OCP), linear polarization resistance (LPR), electrochemical impedance spectroscopy (EIS), and potentiodynamic polarization curves. Among the uninhibited fluids, DI water exhibited the highest corrosion current density (19.85 µA/cm2), while glycerol- and PEG-based systems showed the lowest values (0.79 and 0.85 µA/cm2, respectively), attributed to organic adsorption at the steel/electrolyte interface. EIS analysis revealed a single charge-transfer-controlled process across all fluids, consistent with a weak, non-passive interfacial oxide whose protective character is modulated by organic adsorption. The addition of NaNO3 produced divergent effects depending on the base fluid chemistry: the corrosion activity was reduced in DI water and glycerol systems through enhanced passivation, while PEG- and PAG-based formulations showed increased corrosion current densities and reduced charge transfer resistance, attributed to competitive disruption of the polymer boundary layer by nitrate ions. Surface characterization by SEM/EDAX and white-light interferometry corroborated the electrochemical findings, revealing fluid-dependent corrosion morphologies ranging from uniform attack in DI water to localized pitting in polymer-based systems, with NaNO3 shifting the corrosion mode in PEG/PAG systems from localized to combined localized and uniform attack. These findings highlight the critical role of fluid chemistry in controlling corrosion processes in water-based lubricants and provide mechanistic insight for the development of corrosion-stable formulations for high-performance electrified drivetrain applications. Full article
(This article belongs to the Special Issue Corrosion and Fracture of Metallic Materials)
Show Figures

Figure 1

18 pages, 3215 KB  
Article
Preparation and Plugging Performance Evaluation of Epoxy Resin Particles via an Optimized Synthesis Method
by Jun Zhang, Sheng Fan, Zhong He, Xin Zheng and Shifeng Zhang
Processes 2026, 14(8), 1242; https://doi.org/10.3390/pr14081242 - 13 Apr 2026
Viewed by 326
Abstract
To overcome polymer-based plugging materials’ disadvantage of being prone to degradation and failure under hydrothermal conditions, an epoxy resin plugging particle with a high-pressure-bearing capacity under high temperatures was prepared by optimizing the curing process. Bisphenol A Epoxy Resin E51 and Diethyltoluenediamine (DETDA) [...] Read more.
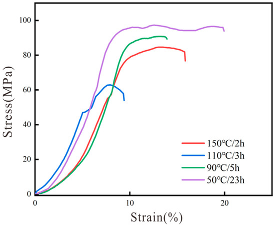
To overcome polymer-based plugging materials’ disadvantage of being prone to degradation and failure under hydrothermal conditions, an epoxy resin plugging particle with a high-pressure-bearing capacity under high temperatures was prepared by optimizing the curing process. Bisphenol A Epoxy Resin E51 and Diethyltoluenediamine (DETDA) were selected as raw materials for sample preparation. Due to the high viscosity of the system, 1,2-cyclohexanediol diglycidyl ether was introduced as a diluent, and an optimal concentration of 20% was determined through experimental optimization. Non-isothermal differential scanning calorimetry, bottle testing, and infrared spectroscopy were employed to investigate the variation laws of curing temperature, curing time and curing degree during the epoxy resin curing process via one-step and multi-step methods. The compressive strength of the epoxy resin prepared using the two processes was evaluated. After comprehensively comparing the preparation time, process complexity, and compressive strength of the final samples of the one-step and two-step curing methods, the one-step process (90 °C/5 h) was determined to be superior. In addition, the results of the fracture plugging experiment showed that after the bulk epoxy resin prepared using the optimized process was made into particles through a mechanical method and treated under hydrothermal conditions at 120 °C, the maximum breakthrough pressure reached 4.2 MPa, which was 950% and 135.96% higher than that of Particle 1 (Poly(2-acrylamido-2-methylpropanesulfonic acid)/acrylamide (PAMPS/AM) gel) and Particle 2 (PAMPS/AM gel treated with Polyethylene glycol (PEG)), respectively, which were used as control groups. This result indicates that epoxy resin can be used as a high-temperature-resistant plugging material and should be further researched. Full article
Show Figures

Figure 1

20 pages, 1588 KB  
Review
Cyclodextrin–Silica Hybrid PEG Hydrogels: Mechanistic Coupling Between Stiffness, Relaxation, and Molecular Transport
by Anca Daniela Raiciu and Amalia Stefaniu
Gels 2026, 12(4), 323; https://doi.org/10.3390/gels12040323 - 10 Apr 2026
Viewed by 248
Abstract
Hybrid supramolecular–nanocomposite hydrogels based on polyethylene glycol (PEG), β-cyclodextrin–adamantane host–guest interactions, and silica nanoparticles represent an important class of hierarchical soft materials with tunable viscoelastic and transport properties. This review critically analyzes recent progress in cyclodextrin–silica hybrid PEG hydrogels, focusing on the mechanistic [...] Read more.
Hybrid supramolecular–nanocomposite hydrogels based on polyethylene glycol (PEG), β-cyclodextrin–adamantane host–guest interactions, and silica nanoparticles represent an important class of hierarchical soft materials with tunable viscoelastic and transport properties. This review critically analyzes recent progress in cyclodextrin–silica hybrid PEG hydrogels, focusing on the mechanistic coupling between stiffness, stress relaxation, and molecular transport arising from the interplay between reversible supramolecular crosslinks and nanoparticle-induced confinement effects. Particular attention is given to how host–guest exchange kinetics regulate dynamic bond rearrangement and affinity-mediated retention of hydrophobic cargo, while silica nanoparticles enhance mechanical reinforcement and modify diffusion pathways through tortuosity and interfacial polymer–particle interactions. The analysis highlights how nanoparticle size, loading level, and surface functionalization influence relaxation spectra and network topology, as well as how environmental stimuli may affect supramolecular bond stability and overall material performance. Comparison with alternative inorganic fillers and mesoporous silica architectures further clarifies the specific advantages of silica in achieving balanced mechanical stability and controlled transport behavior. Overall, current evidence indicates that hybrid CD–silica networks enable partial decoupling of stiffness, relaxation dynamics, and diffusion, although complete independence remains constrained by fundamental polymer physics relationships. These insights support the development of predictive structure–property frameworks for advanced biomedical and controlled release applications. Full article
(This article belongs to the Special Issue Polymer Hydrogels and Networks)
Show Figures

Figure 1

16 pages, 786 KB  
Perspective
Iatrogenic Microplastic Exposure: A Possible and Underrecognized Healthcare-Associated Exposure Framework in Human Medicotoxicological Risk
by Hüseyin Çetin Ketenci and Hülya Kılıç
Toxics 2026, 14(4), 302; https://doi.org/10.3390/toxics14040302 - 31 Mar 2026
Viewed by 777
Abstract
Microplastics (MPs) are emerging environmental contaminants detected not only in water, soil, and air but also in human biological samples. To date, three main exposure routes have been identified. Currently, the principal exposure routes examined in scholarly works are oral, inhalational, and dermal. [...] Read more.
Microplastics (MPs) are emerging environmental contaminants detected not only in water, soil, and air but also in human biological samples. To date, three main exposure routes have been identified. Currently, the principal exposure routes examined in scholarly works are oral, inhalational, and dermal. This paper explores iatrogenic microplastic exposure (IME) as an underrecognized healthcare-associated source of exposure and suggests that, in certain clinical contexts involving invasive, device-mediated, or direct systemic contact, IME may be considered a possible fourth route of exposure. IME is the introduction of microplastics into the human body through medical interventions. A literature-based conceptual review was conducted focusing on the materials and additives used in pharmaceutical formulations, intravenous systems, and medical devices. Particular attention was given to polymer-based excipients and plasticizers (e.g., phthalates, PEG, triacetin) found in enteric drug coatings and infusion packaging. Findings suggest that polymer-derived particles may enter systemic circulation via intravenous fluids, implantable devices, or oral medications, especially under conditions of heat, pressure, or prolonged contact. Such materials, though deemed biocompatible, may contribute to nanoplastic load and chronic exposure risks. Vulnerable groups such as neonates, oncology patients, and ICU populations may face disproportionate exposure. This calls for re-evaluation of plastic use in medical practice, improved regulatory oversight of pharmaceutical excipients, and innovation in plastic-free biomedical materials. Integrating this route into toxicological and epidemiological frameworks will enrich our understanding of microplastic-related health risks and broaden the scope of environmental health strategies. Full article
Show Figures

Figure 1

21 pages, 8577 KB  
Article
Correlation Between the Morphological Characteristics by Atomic Force Microscopy and the Biological Properties of Bioactive Zirconia/Polyethylene Glycol (ZrO2/PEG) Hybrids
by Antonio D’Angelo, Marika Fiorentino, Marialuigia Raimondo, Raffaele Longo, Luigi Vertuccio and Michelina Catauro
J. Compos. Sci. 2026, 10(4), 187; https://doi.org/10.3390/jcs10040187 - 29 Mar 2026
Viewed by 395
Abstract
Zirconia-based hybrid blends at various molecular or nanometer scales have attracted significant interest from a technological perspective. In particular, several inorganic-organic hybrids are being applied in the biomedical field. In this context, inorganic ZrO2 and hybrids composed of ZrO2, and [...] Read more.
Zirconia-based hybrid blends at various molecular or nanometer scales have attracted significant interest from a technological perspective. In particular, several inorganic-organic hybrids are being applied in the biomedical field. In this context, inorganic ZrO2 and hybrids composed of ZrO2, and polyethylene glycol (PEG) have been synthesized through the sol–gel process and characterized from both morphological and spectroscopic viewpoints to explore their potential as hybrid biomaterials. Atomic Force Microscopy (AFM) has enabled a quantitative assessment of the surface roughness of bioactive sol–gel-based materials. The findings indicated an increase in material porosity in relation to the amount of PEG present in the systems, underscoring the important role of PEG in influencing the morphological characteristics of zirconia-based blends. AFM images display the typical globular structure of PEG spread across the surface of all systems. All hybrid systems seem to be uniform, and no phase separation is evident, thereby validating that the produced materials are hybrid nanostructured ones. The simultaneous presence of both inorganic and organic phases was verified using Fourier-transform infrared spectroscopy (FT-IR). FT-IR deconvolution in 850–550 cm−1 region showed that PEG progressively perturbs the Zr–O–Zr network, increasing disorder and establishing more flexible inorganic domains at high PEG content. Increasing polymer amount enhanced cell viability against NIH-3T3 cell line, while antibacterial activity decreased, with pure ZrO2 showing the strongest inhibition against Escherichia coli (E. coli). Full article
(This article belongs to the Section Biocomposites)
Show Figures

Figure 1

17 pages, 1230 KB  
Article
Investigation of Charge Transport in Thermoelectric Power Generation Performance-Based Nanocomposite of PEG-Coated Nanostructured NiO Synthesized in Ionic Liquid
by Mostefa Koulali, Abdelkader Benabdellah, Yassine Chaker, Ghania Dekkiche, El-Habib Belarbi, Noureddine Harid, Mustapha Hatti, Abdelaziz Rabehi and Mustapha Habib
Energies 2026, 19(6), 1507; https://doi.org/10.3390/en19061507 - 18 Mar 2026
Viewed by 364
Abstract
This study aims to develop high-performance hybrid nanocomposites for solid-state energy conversion. We achieved this by improving charge transport and thermoelectric efficiency through the interaction of polymers, nanoparticles, and ionic liquids. Nickel oxide nanoparticles (NiO NPs) were synthesized via a sonochemical route using [...] Read more.
This study aims to develop high-performance hybrid nanocomposites for solid-state energy conversion. We achieved this by improving charge transport and thermoelectric efficiency through the interaction of polymers, nanoparticles, and ionic liquids. Nickel oxide nanoparticles (NiO NPs) were synthesized via a sonochemical route using a novel ionic liquid, 1,2-(propan). In our recent work, this approach enabled the formation of a hybrid [NiO NPs + IL] system, which was subsequently incorporated at different loadings (8, 15, and 30 wt.%) and coated with polyethylene glycol (PEG). The resulting nanocomposites were investigated to elucidate charge-transport mechanisms and assess the influence of the polymer coating on their optical, electrical, and thermal transport properties. Optical measurements showed a shift in the band gap due to π–π* electronic transitions. This effect indicates strong interface interactions. The PEG-coated [NiO NPs + IL] nanocomposites exhibited significantly enhanced charge-carrier mobility, resulting in improved electrical conductivity. Remarkably, a high Seebeck coefficient of 720 μV/K and an electrical conductivity of 0.35 S/cm were achieved, resulting in a maximum power factor of 24.74 μW/m·K2, surpassing many recently reported polymer-based nanocomposites. PEG-coated [NiO NPs + IL] systems offer tunable optical properties and superior thermoelectric performance. Consequently, they are a promising alternative to conventional nanocomposites for sustainable energy conversion. Full article
Show Figures

Figure 1

18 pages, 5708 KB  
Article
Fabrication of Cellulose Acetate-Based Membrane Doped with Plasticizer for High-Efficiency Separation of CO2
by Jin Li, Zhongyong Su, Tiantian Jia, Kai Liu, Liulian Huang, Fang Huang, Xiaolin Luo, Jianguo Li and Qingxian Miao
Polymers 2026, 18(6), 740; https://doi.org/10.3390/polym18060740 - 18 Mar 2026
Viewed by 425
Abstract
It is essential to develop a practical technology for the separation and capture of carbon dioxide (CO2) due to the gradually increased concentration of CO2 in the atmosphere, which has driven the rise in global temperature. Membrane separation is regarded [...] Read more.
It is essential to develop a practical technology for the separation and capture of carbon dioxide (CO2) due to the gradually increased concentration of CO2 in the atmosphere, which has driven the rise in global temperature. Membrane separation is regarded as a promising technology for the capture of CO2. However, most membranes employ non-biodegradable petroleum-based polymers. In this study, biodegradable and renewable membranes of cellulose acetate (CA) doped with polyethylene glycol (PEG) and polyethylene glycol diacrylate (PEGDA) were fabricated by solution casting and used for the separation of CO2/O2. The results indicated that the membrane doped with PEGDA exhibited higher permeability of CO2 and selectivity of CO2/O2 compared to those doped with PEG, while improving the tensile strain and structural uniformity of membranes. The membrane with a thickness of 25 μm at a PEGDA dosage of 10 wt% achieved optimal gas permeability, selectivity, and mechanical toughness, showing CO2 permeability of 4.59 Barrer and CO2/O2 selectivity of 5.68. The structure of the interpenetrating polymer network was responsible for the excellent properties of the membrane doped with PEGDA due to the formation of more mid- and micro-sized pores that increase the diffusion pathways of CO2. Full article
(This article belongs to the Section Biobased and Biodegradable Polymers)
Show Figures

Graphical abstract

25 pages, 5765 KB  
Article
Innovative Inclusion Complexes Clotrimazole: Hydroxypropyl-β-Cyclodextrin-Modified Polyurethane Networks as Carriers for Slow Drug Delivery
by Suzana M. Cakić, Snežana S. Ilić-Stojanović, Ljubiša B. Nikolić, Vesna D. Nikolić, Ivan S. Ristić, Gordana S. Marković and Nada Č. Nikolić
Biomedicines 2026, 14(3), 666; https://doi.org/10.3390/biomedicines14030666 - 14 Mar 2026
Viewed by 470
Abstract
Background/Objectives: Inclusion complexes among drugs and cyclodextrin-modified polymers are a topic of recent interest in pharmaceutical research and industry as they might expand the solubility, bioavailability, and stability of the guest molecules. Polyurethanes derived from cyclodextrins show some biomedical applications. In this [...] Read more.
Background/Objectives: Inclusion complexes among drugs and cyclodextrin-modified polymers are a topic of recent interest in pharmaceutical research and industry as they might expand the solubility, bioavailability, and stability of the guest molecules. Polyurethanes derived from cyclodextrins show some biomedical applications. In this study, two cross-linked polyurethane networks based on hydroxypropyl-β-cyclodextrin (HPβCD) and polyethylene glycols (PEG 2000 or PEG 6000) were synthesized with NCO/OH molar ratio 4.3 and 6.3 by the typical two-step polymerization method. Methods: Inclusion complexes of clotrimazole (CLOT) with two HPβCD-modified polyurethane networks and their corresponding physical mixtures were prepared using kneading methods and physical mixing in a 1:6 weight ratio of CLOT:HPβCD. Results: Obtained prepolymers, previously end-capped with isocyanate groups forming urethane links with HPβCD, which were confirmed by FTIR analysis. TGA results indicate a slight increase in thermal stability of the prepared complexes. The characteristic endothermic peak of the CLOT at around 145.90 °C did not appear in the DSC curve of the drug-loaded inclusion complexes. The XRD patterns of physical mixtures showed specific peaks corresponding to pure clotrimazole. SEM micrographs confirmed an elliptical/spherical- and plate-shaped particles without phase segregation, indirectly confirming that CLOT is not separately present due to inclusion into HPβCD and entrapment into polyurethane networks. Novel complexes PUR2/HPβCD-CLOT-IC and PUR3/HPβCD-CLOT-IC were applied as drug carriers, and diffusion-controlled kinetics of CLOT release were best described using Higuchi model. Conclusions: The obtained in vitro results showed surprisingly slow/prolonged clotrimazole release from modified polyurethane networks due to the significant influence of NCO/OH molar ratio and the chosen polyol soft segments chain length with potential in vivo applications. Full article
(This article belongs to the Special Issue Drug Delivery and Nanocarrier)
Show Figures

Figure 1

23 pages, 2895 KB  
Article
Development of Cannabidiol-Loaded PLGA Microspheres for Long-Acting Injectable Delivery: Evaluation of Poly(2-ethyl-2-oxazoline) as an Alternative to Poly(ethylene glycol)
by Thabata Muta, Haripriya Koppisetti and Sanjay Garg
Pharmaceutics 2026, 18(3), 336; https://doi.org/10.3390/pharmaceutics18030336 - 8 Mar 2026
Viewed by 923
Abstract
Background/Objectives: Current clinical evidence suggests that cannabidiol (CBD) demonstrates therapeutic potential in the management of chronic pain, particularly in conditions involving inflammation. However, its therapeutic potential is severely limited by poor oral bioavailability, extensive first-pass metabolism, and the need for frequent high-dose [...] Read more.
Background/Objectives: Current clinical evidence suggests that cannabidiol (CBD) demonstrates therapeutic potential in the management of chronic pain, particularly in conditions involving inflammation. However, its therapeutic potential is severely limited by poor oral bioavailability, extensive first-pass metabolism, and the need for frequent high-dose administration, which compromises patient adherence and tolerability. Long-acting injectable (LAI) delivery systems offer a strategy to overcome these limitations by providing sustained plasma concentrations and reducing dosing frequency. This study aimed to develop and optimise CBD-loaded poly (lactic-co-glycolic acid) (PLGA) microspheres for LAI delivery and to evaluate poly(2-ethyl-2-oxazoline) (POx) as a functional and biocompatible alternative to the conventionally used poly (ethylene glycol) (PEG). Methods: CBD-loaded microspheres were prepared using emulsion–solvent evaporation technique. The formulations were optimised based on entrapment efficiency (EE), drug loading (DL), particle size distribution, surface morphology, thermal behaviour, in vitro release kinetics, and cytocompatibility using NIH 3T3 fibroblasts. Multiple in vitro release methodologies, including dialysis bag, shaking-flask, and USP Apparatus IV, were evaluated to identify the most discriminative and practical approach for long-term release assessment. Results: The optimised POx-based microspheres demonstrated superior control over particle size, yielding significantly smaller and more uniform particles compared with PEG-based microspheres (124 ± 1.47 µm vs. 218 ± 13.5 µm, respectively). Differential scanning calorimetry (DSC) confirmed molecular dispersion of CBD within the polymer matrix. In vitro release studies demonstrated sustained drug release over 20 days. Conclusions: POx represents a promising alternative to PEG for the formulation of CBD-loaded PLGA microspheres, offering enhanced physicochemical stability and biological compatibility. This platform supports the development of safe and effective long-acting injectable CBD therapies and consideration of POx as an alternative to PEG. Full article
(This article belongs to the Special Issue Recent Advances in Injectable Formulations)
Show Figures

Figure 1

23 pages, 2583 KB  
Systematic Review
From Pathology to Formulation: Designing Biodegradable Polymers for Personalized Drug Delivery
by Mariann Dinya, Elek Dinya and Gábor M. Mórotz
Pharmaceutics 2026, 18(3), 330; https://doi.org/10.3390/pharmaceutics18030330 - 6 Mar 2026
Viewed by 1054
Abstract
Background/Objectives: Selection of polymer carriers for targeted drug delivery is typically guided by material availability or trigger responsiveness rather than disease-specific evidence. However, successful preclinical formulations may already encode implicit design rules linking polymer composition to particular pathological environments. This study aimed to [...] Read more.
Background/Objectives: Selection of polymer carriers for targeted drug delivery is typically guided by material availability or trigger responsiveness rather than disease-specific evidence. However, successful preclinical formulations may already encode implicit design rules linking polymer composition to particular pathological environments. This study aimed to identify reproducible material-disease associations across biodegradable polymer systems and to derive formulation-oriented guidance for disease-calibrated carrier selection. Methods: A structured synthesis of 65 preclinical in vivo studies (2020–2025) covering inflammatory bowel disease, arthritis, cardiovascular inflammation, and solid tumors was performed. Extracted variables included polymer family, backbone chemistry, stimulus responsiveness, disease model, and reported therapeutic benefit relative to controls. Associations between polymer composition, trigger mechanisms, and disease categories were analyzed using cross-tabulation, chi-square statistics, Cramér’s V, and direction-of-effect synthesis. Results: Distinct material-disease clustering patterns emerged. Ionizable polysaccharide and methacrylate systems (e.g., alginate, chitosan, Eudragit) were strongly associated with intestinal inflammatory models, reflecting reliance on pH- and ion-mediated mechanisms. Enzyme-degradable hyaluronic acid matrices were concentrated in joint and cartilage disorders characterized by protease overexpression. Oxidation-sensitive polyether systems (e.g., PEG-PPS) and redox-active hybrid platforms predominated in atherosclerosis and tumor models, where oxidative stress is a defining pathological feature. Composite and multi-responsive systems were disproportionately represented in tumors, consistent with microenvironmental heterogeneity. Across studies, therapeutic improvement was consistently reported when polymer functional motifs aligned with dominant biochemical drivers of the disease. Conclusions: Successful biodegradable polymer carriers exhibit disease-specific compatibility patterns rather than universal applicability. These recurring associations suggest that polymer selection can be guided by pathological context even in the absence of direct outcome comparisons. The resulting formulation-oriented framework supports rational carrier choice for personalized drug delivery based on disease-specific microenvironment signatures. Full article
(This article belongs to the Section Biopharmaceutics)
Show Figures

Graphical abstract

22 pages, 4492 KB  
Article
Raman Spectroscopic Classification of Polyethylene Glycol Samples of Varying Molecular Weights Using Machine Learning
by Thomas J. Tewes, Ciara N. Duismann, Udita Singh, Peter F. W. Simon and Dirk P. Bockmühl
Molecules 2026, 31(5), 778; https://doi.org/10.3390/molecules31050778 - 26 Feb 2026
Viewed by 576
Abstract
Polyethylene glycol (PEG) is a widely used water-soluble polymer (WSP) whose properties such as crystallinity depend on molecular weight. This study explores whether Raman spectroscopy, combined with supervised machine learning, can differentiate PEG samples of defined molecular weights within the investigated molecular weight [...] Read more.
Polyethylene glycol (PEG) is a widely used water-soluble polymer (WSP) whose properties such as crystallinity depend on molecular weight. This study explores whether Raman spectroscopy, combined with supervised machine learning, can differentiate PEG samples of defined molecular weights within the investigated molecular weight range. Eight PEG materials with molecular weights ranging from 1000 to 35,000 g/mol were analyzed by confocal Raman microscopy under standardized conditions. A Support Vector Machine (SVM) classifier achieved 93.4% accuracy in five-fold cross-validation and 72.6% on an independent test set, confirming that molecular-weight-dependent vibrational signatures are present in the Raman spectra. Principal component analysis followed by linear discriminant analysis (PCA–LDA) models supported these findings, revealing that discriminative information arises mainly from line-shape and shoulder regions rather than from peak centers, consistent with gradual increases in conformational order. Although sample morphology and drying behavior introduce variability, the results demonstrate that Raman spectroscopy provides a reproducible, non-destructive means of distinguishing between PEG samples of different molecular weights. The established workflow provides a foundation for future quantitative evaluations of spectral trends, cross-polymer generalization, and adaptation to variable measurement conditions to enhance applicability in analytical and industrial contexts. Full article
(This article belongs to the Special Issue Recent Advances in Structural Characterization by Raman Spectroscopy)
Show Figures

Figure 1

18 pages, 2335 KB  
Article
Cyclodextrin Polymer Complexation Improves the Tolerability of Parenteral Oestradiol
by Réka Révész, Akay Dogan Mengenli, Eleftheria Dossi, Raghad Alsheikh, Dániel Nemes, Zoltán Ujhelyi, Ágota Pető, Ágnes Rusznyák, Éva Sipos, Alexandra Gyöngyösi, István Lekli, Ildikó Bácskay, Ferenc Fenyvesi and Ádám Haimhoffer
Pharmaceutics 2026, 18(2), 247; https://doi.org/10.3390/pharmaceutics18020247 - 17 Feb 2026
Viewed by 738
Abstract
Background: Menopause is characterised by a decline in oestrogen levels, leading to physical and psychological symptoms that significantly affect quality of life. Current parenteral oestradiol ester therapies, while effective, are often associated with side effects due to their oil-based formulations, including injection-site [...] Read more.
Background: Menopause is characterised by a decline in oestrogen levels, leading to physical and psychological symptoms that significantly affect quality of life. Current parenteral oestradiol ester therapies, while effective, are often associated with side effects due to their oil-based formulations, including injection-site reactions and immune responses. Methods: In this study, we developed a water-soluble, polyethylene glycol cross-linked β-cyclodextrin (PEG–β-CD) polymer-based system for parenteral oestradiol delivery and evaluated its biocompatibility, solubility enhancement, immune compatibility, and pharmacokinetics. Results: Cytotoxicity assays using NIH-3T3 fibroblasts and RAW 264.7 macrophages showed minimal toxicity up to 10% (w/w). Phase-solubility studies demonstrated a significant increase in oestradiol solubility with the PEG–β-CD polymer, surpassing that of β-cyclodextrin or PEG alone. Dynamic light scattering and FTIR analyses confirmed successful complex formation, with submicron particles averaging 271 nm and physical incorporation of oestradiol into the polymer matrix. Macrophage activation assays and RT-qPCR analyses indicated an absence of immunogenic responses or pro-inflammatory cytokine induction. In vivo toxicity testing in Galleria mellonella larvae confirmed safety, while pharmacokinetic studies in Wistar rats revealed rapid initial absorption followed by stable, low-level serum concentrations comparable to those of commercially used oestradiol esters. Conclusions: These findings indicate that the PEG–β-CD polymer–oestradiol complex provides a safe, water-based alternative to traditional oil-based injections, with the potential to reduce side effects and improve patient compliance in postmenopausal hormone therapy. Full article
Show Figures

Figure 1

18 pages, 9856 KB  
Article
Polylactide Microparticles with Tunable Morphology for Biomedical Applications
by Vladislav Potseleev, Sergey Uspenskii, Ivan Kovtun and Nikita Sedush
Polymers 2026, 18(4), 497; https://doi.org/10.3390/polym18040497 - 17 Feb 2026
Viewed by 538
Abstract
The ability to precisely control the morphology of polylactide (PLA) microparticles is crucial for their biomedical applications, yet it is a challenge due to the interdependent nature of key parameters such as size, porosity, and surface topology. This study presents a systematic approach [...] Read more.
The ability to precisely control the morphology of polylactide (PLA) microparticles is crucial for their biomedical applications, yet it is a challenge due to the interdependent nature of key parameters such as size, porosity, and surface topology. This study presents a systematic approach to fabricating PLA microparticles with tunable architecture via emulsion-solvent evaporation by investigating the interplay of polymer molecular weight (44–442 kDa), solution concentration (0.5–20% w/v), and porogen type (PEG, alkanes, lithium salts). We achieved precise size control from 5 to 500 μm, dictated by solution viscosity and the polymer’s crystallization tendency, with poly(L-lactide) yielding irregular particles and poly(D,L-lactide) forming perfect spheres. Furthermore, porogen selection was critical for porosity: alkanes enabled tailored pore networks, with longer chains (e.g., decane) producing larger pores via enhanced phase separation, whereas the double-emulsion method with Li2CO3 proved superior for macroporosity due to its slow leaching kinetics. This work provides a foundational guideline for the rational design of PLA microparticles with customized properties for targeted applications in drug delivery and tissue engineering. Full article
(This article belongs to the Section Biobased and Biodegradable Polymers)
Show Figures

Figure 1

Back to TopTop