Sign in to use this feature.

Years

Between: -

Subjects

remove_circle_outline
remove_circle_outline
remove_circle_outline
remove_circle_outline
remove_circle_outline
remove_circle_outline
remove_circle_outline

Journals

Article Types

Countries / Regions

Search Results (16)

Search Parameters:
Keywords = NeuroHeadset

Order results
Result details
Results per page
Select all
Export citation of selected articles as:
33 pages, 1120 KB  
Review
Wearables in ADHD: Monitoring and Intervention—Where Are We Now?
by Mara-Simina Olinic, Roland Stretea and Cristian Cherecheș
Diagnostics 2025, 15(18), 2359; https://doi.org/10.3390/diagnostics15182359 - 17 Sep 2025
Cited by 3 | Viewed by 5428
Abstract
Introduction: Wearable devices capable of continuously sampling movement, autonomic arousal and neuro-electrical activity are emerging as promising complements to traditional assessment and treatment of Attention-Deficit/Hyperactivity Disorder (ADHD). By moving data collection from the clinic to everyday settings, these technologies offer an unprecedented window [...] Read more.
Introduction: Wearable devices capable of continuously sampling movement, autonomic arousal and neuro-electrical activity are emerging as promising complements to traditional assessment and treatment of Attention-Deficit/Hyperactivity Disorder (ADHD). By moving data collection from the clinic to everyday settings, these technologies offer an unprecedented window onto the moment-to-moment fluctuations that characterise the condition. Methods: Drawing on a comprehensive literature search spanning 2013 to February 2025 across biomedical and engineering databases, we reviewed empirical studies that used commercial or research-grade wearables for ADHD-related diagnosis, monitoring or intervention. Titles and abstracts were screened against predefined inclusion criteria, with full-text appraisal and narrative synthesis of the eligible evidence. A narrative synthesis was conducted, with inclusion criteria targeting empirical studies of wearable devices applied to ADHD for monitoring, mixed monitoring-plus-intervention, or intervention-only applications. No quantitative pooling was undertaken due to heterogeneity of designs, endpoints, and analytic methods. Results: The reviewed body of work demonstrates that accelerometers, heart-rate and electrodermal sensors, and lightweight EEG headsets can enrich clinical assessment by capturing ecologically valid markers of hyperactivity, arousal and attentional lapses. Continuous monitoring studies suggest that wearable-derived metrics align with symptom trajectories and medication effects, while early intervention trials explore haptic prompts, attention-supporting apps and non-invasive neuromodulation delivered through head-worn devices. Across age groups, participants generally tolerate these tools well and value the objective feedback they provide. Nevertheless, the literature is limited by heterogeneous study designs, modest sample sizes and short follow-up periods, making direct comparison and clinical translation challenging. Conclusions: Current evidence paints an optimistic picture of the feasibility and acceptability of wearables in ADHD, yet larger, standardised and longer-term investigations are needed to confirm their clinical utility. Collaboration between clinicians, engineers and policymakers will be crucial to address data-privacy, equity and cost-effectiveness concerns and to integrate wearable technology into routine ADHD care. Full article
Show Figures

Figure 1

12 pages, 3585 KB  
Article
Optimizing Strategies in Patients Affected by Tumors Infiltrating the Skull: A Single Center Experience
by Giuseppe Emmanuele Umana, Sruthi Ranganathan, Salvatore Marrone, Jessica Naimo, Matteo Giunta, Angelo Spitaleri, Marco Fricia, Gianluca Ferini and Gianluca Scalia
Brain Sci. 2025, 15(4), 420; https://doi.org/10.3390/brainsci15040420 - 20 Apr 2025
Cited by 3 | Viewed by 1028
Abstract
Background: One-step cranioplasty combined with tumor removal is a recognized approach in neuro-oncology for patients with neoplastic skull invasion. The use of advanced technologies, including Mixed Reality (MR), has introduced new possibilities in surgical workflows. MR technology may provide additional benefits in preoperative [...] Read more.
Background: One-step cranioplasty combined with tumor removal is a recognized approach in neuro-oncology for patients with neoplastic skull invasion. The use of advanced technologies, including Mixed Reality (MR), has introduced new possibilities in surgical workflows. MR technology may provide additional benefits in preoperative planning, patient engagement, and intraoperative guidance. Can the proposed treatment algorithm, which includes Mixed Reality (MR) for preoperative planning and intraoperative navigation, demonstrate tangible utility and improve outcomes in the surgical management of skull-invasive tumors? Methods: A retrospective study was conducted on 14 patients treated at Cannizzaro Hospital, Catania, Italy, for skull-invasive tumors. The treatment algorithm incorporated tumor removal and one-step cranioplasty using custom-made titanium alloy meshes. Standard intraoperative navigation was compared with MR-based navigation. MR headsets and the Virtual Surgery Intelligence (VSI) platform were employed for preoperative planning, surgical guidance, and patient/family communication. Tumor types included nine meningiomas and five other tumor variants. Results: The integration of MR proved beneficial for preoperative planning, facilitating enhanced visualization of patient anatomy and aiding communication with patients and families. MR-assisted intraoperative navigation offered improved anatomical familiarity but demonstrated slightly lower accuracy compared with standard navigation. Postoperative outcomes were satisfactory across the cohort, with no significant complications reported. Conclusions: The study highlights the potential utility of the proposed treatment algorithm including MR technology in the surgical management of skull-invasive tumors. While MR provides enhanced visualization and preoperative engagement, standard navigation remains more precise during surgery. Nevertheless, MR serves as a valuable complementary tool, and its role in neuro-oncological workflows is expected to grow with technological advancements. Full article
(This article belongs to the Special Issue Editorial Board Collection Series: Insight into Neurosurgery)
Show Figures

Figure 1

26 pages, 1662 KB  
Article
Applications of Brain Wave Classification for Controlling an Intelligent Wheelchair
by Maria Carolina Avelar, Patricia Almeida, Brigida Monica Faria and Luis Paulo Reis
Technologies 2024, 12(6), 80; https://doi.org/10.3390/technologies12060080 - 3 Jun 2024
Cited by 3 | Viewed by 2773
Abstract
The independence and autonomy of both elderly and disabled people have been a growing concern in today’s society. Therefore, wheelchairs have proven to be fundamental for the movement of these people with physical disabilities in the lower limbs, paralysis, or other type of [...] Read more.
The independence and autonomy of both elderly and disabled people have been a growing concern in today’s society. Therefore, wheelchairs have proven to be fundamental for the movement of these people with physical disabilities in the lower limbs, paralysis, or other type of restrictive diseases. Various adapted sensors can be employed in order to facilitate the wheelchair’s driving experience. This work develops the proof concept of a brain–computer interface (BCI), whose ultimate final goal will be to control an intelligent wheelchair. An event-related (de)synchronization neuro-mechanism will be used, since it corresponds to a synchronization, or desynchronization, in the mu and beta brain rhythms, during the execution, preparation, or imagination of motor actions. Two datasets were used for algorithm development: one from the IV competition of BCIs (A), acquired through twenty-two Ag/AgCl electrodes and encompassing motor imagery of the right and left hands, and feet; and the other (B) was obtained in the laboratory using an Emotiv EPOC headset, also with the same motor imaginary. Regarding feature extraction, several approaches were tested: namely, two versions of the signal’s power spectral density, followed by a filter bank version; the use of respective frequency coefficients; and, finally, two versions of the known method filter bank common spatial pattern (FBCSP). Concerning the results from the second version of FBCSP, dataset A presented an F1-score of 0.797 and a rather low false positive rate of 0.150. Moreover, the correspondent average kappa score reached the value of 0.693, which is in the same order of magnitude as 0.57, obtained by the competition. Regarding dataset B, the average value of the F1-score was 0.651, followed by a kappa score of 0.447, and a false positive rate of 0.471. However, it should be noted that some subjects from this dataset presented F1-scores of 0.747 and 0.911, suggesting that the movement imagery (MI) aptness of different users may influence their performance. In conclusion, it is possible to obtain promising results, using an architecture for a real-time application. Full article
Show Figures

Figure 1

24 pages, 7620 KB  
Article
Analysis of Minimal Channel Electroencephalography for Wearable Brain–Computer Interface
by Arpa Suwannarat, Setha Pan-ngum and Pasin Israsena
Electronics 2024, 13(3), 565; https://doi.org/10.3390/electronics13030565 - 30 Jan 2024
Cited by 8 | Viewed by 4013
Abstract
Electroencephalography (EEG)-based brain—computer interface (BCI) is a non-invasive technology with potential in various healthcare applications, including stroke rehabilitation and neuro-feedback training. These applications typically require multi-channel EEG. However, setting up a multi-channel EEG headset is time-consuming, potentially resulting in patient reluctance to use [...] Read more.
Electroencephalography (EEG)-based brain—computer interface (BCI) is a non-invasive technology with potential in various healthcare applications, including stroke rehabilitation and neuro-feedback training. These applications typically require multi-channel EEG. However, setting up a multi-channel EEG headset is time-consuming, potentially resulting in patient reluctance to use the system despite its potential benefits. Therefore, we investigated the appropriate number of electrodes required for a successful BCI application in wearable devices using various numbers of EEG channels. EEG multi-frequency features were extracted using the “filter bank” feature extraction technique. A support vector machine (SVM) was used to classify a left/right-hand opening/closing motor imagery (MI) task. Nine electrodes around the center of the scalp (F3, Fz, F4, C3, Cz, C4, P3, Pz, and P4) provided high classification accuracy with a moderate setup time; hence, this system was selected as the minimal number of required channels. Spherical spline interpolation (SSI) was also applied to investigate the feasibility of generating EEG signals from limited channels on an EEG headset. We found classification accuracies of interpolated groups only, and combined interpolated and collected groups were significantly lower than the measured groups. The results indicate that SSI may not provide additional EEG data to improve classification accuracy of the collected minimal channels. The conclusion is that other techniques could be explored or a sufficient number of EEG channels must be collected without relying on generated data. Our proposed method, which uses a filter bank feature, session-dependent training, and the exploration of many groups of EEG channels, offers the possibility of developing a successful BCI application using minimal channels on an EEG device. Full article
(This article belongs to the Section Computer Science & Engineering)
Show Figures

Figure 1

9 pages, 11181 KB  
Proceeding Paper
Control of Unmanned Vehicles in Smart Cities Using a Multi-Modal Brain–Computer Interface
by Daniyar Wolf, Mark Mamchenko and Elena Jharko
Eng. Proc. 2023, 33(1), 43; https://doi.org/10.3390/engproc2023033043 - 28 Jun 2023
Cited by 1 | Viewed by 3850
Abstract
The article presents an overview of several studies in the field of Brain–Computer Interfaces (BCIs), the requirements for the architecture of such promising devices, as well as multi-modal BCI for drone control in a smart-city environment. Distinctive features of the proposed solution are [...] Read more.
The article presents an overview of several studies in the field of Brain–Computer Interfaces (BCIs), the requirements for the architecture of such promising devices, as well as multi-modal BCI for drone control in a smart-city environment. Distinctive features of the proposed solution are the simplicity of the architecture (the use of only one smartphone for both receiving and processing bio-signals from the headset and transmitting commands to the drone), an open-source software solution for signal processing, generating, and sending commands to the unmanned aerial vehicle (UAV), as well as multimodality of the BCI (the use of both electroencephalographic (EEG) and electrooculographic (EOG) signals of the operator). For bio-signal acquisition, we used the NeuroSky Mindwave Mobile 2 headset, which is connected to an Android-based smartphone via Bluetooth. The developed Android application (Tello NeuroSky) processes signals from the headset and generates and transmits commands to the DJI Tello UAV via Wi-Fi. The decrease (depression) and increase of α- and β-rhythms of the brain, as well as EOG signals that occur during blinking were the triggers for UAV commands. The developed software allows the manual setting of the minimum, maximum and threshold values for the processed bio-signals. The following commands for the UAV were implemented: take-off, landing, forward movement, and backwards movement. Two threads of the smartphone’s central processing unit (CPU) were utilized when processing signals in the software to increase the performance: for signal processing (1-D Daubechies 2 (db2) wavelet transform) and updating data on the diagrams, and for generating and transmitting commands to the drone. Full article
(This article belongs to the Proceedings of 15th International Conference “Intelligent Systems” (INTELS’22))
Show Figures

Figure 1

14 pages, 3703 KB  
Article
Investigating User Proficiency of Motor Imagery for EEG-Based BCI System to Control Simulated Wheelchair
by Theerat Saichoo, Poonpong Boonbrahm and Yunyong Punsawad
Sensors 2022, 22(24), 9788; https://doi.org/10.3390/s22249788 - 13 Dec 2022
Cited by 12 | Viewed by 5163
Abstract
The research on the electroencephalography (EEG)-based brain–computer interface (BCI) is widely utilized for wheelchair control. The ability of the user is one factor of BCI efficiency. Therefore, we focused on BCI tasks and protocols to yield high efficiency from the robust EEG features [...] Read more.
The research on the electroencephalography (EEG)-based brain–computer interface (BCI) is widely utilized for wheelchair control. The ability of the user is one factor of BCI efficiency. Therefore, we focused on BCI tasks and protocols to yield high efficiency from the robust EEG features of individual users. This study proposes a task-based brain activity to gain the power of the alpha band, which included eyes closed for alpha response at the occipital area, attention to an upward arrow for alpha response at the frontal area, and an imagined left/right motor for alpha event-related desynchronization at the left/right motor cortex. An EPOC X neuroheadset was used to acquire the EEG signals. We also proposed user proficiency in motor imagery sessions with limb movement paradigms by recommending motor imagination tasks. Using the proposed system, we verified the feature extraction algorithms and command translation. Twelve volunteers participated in the experiment, and the conventional paradigm of motor imagery was used to compare the efficiencies. With utilized user proficiency in motor imagery, an average accuracy of 83.7% across the left and right commands was achieved. The recommended MI paradigm via user proficiency achieved an approximately 4% higher accuracy than the conventional MI paradigm. Moreover, the real-time control results of a simulated wheelchair revealed a high efficiency based on the time condition. The time results for the same task as the joystick-based control were still approximately three times longer. We suggest that user proficiency be used to recommend an individual MI paradigm for beginners. Furthermore, the proposed BCI system can be used for electric wheelchair control by people with severe disabilities. Full article
(This article belongs to the Special Issue Real-Life Wearable EEG-Based BCI: Open Challenges)
Show Figures

Figure 1

13 pages, 2577 KB  
Study Protocol
A Study Protocol to Evaluate the Effects of Vestibular Training on the Postural Control of Healthy Adults Using Virtual Reality
by Kwadwo O. Appiah-Kubi, Evan Laing and Masudul H. Imtiaz
Appl. Sci. 2022, 12(23), 11937; https://doi.org/10.3390/app122311937 - 23 Nov 2022
Viewed by 3593
Abstract
Postural instability is a common symptom of vestibular dysfunction due to an insult to the vestibular system. Vestibular rehabilitation is effective in decreasing dizziness and visual symptoms, and improving postural control through several mechanisms, including sensory reweighting. As part of the sensory reweighting [...] Read more.
Postural instability is a common symptom of vestibular dysfunction due to an insult to the vestibular system. Vestibular rehabilitation is effective in decreasing dizziness and visual symptoms, and improving postural control through several mechanisms, including sensory reweighting. As part of the sensory reweighting mechanisms, vestibular activation training with headshake activities influences vestibular reflexes. However, combining challenging vestibular and postural tasks to facilitate more effective rehabilitation outcomes is underutilized. Our research goal is to develop a virtual reality vestibular rehabilitation method for vestibular-postural control in neurological populations with vestibular and/or sensorimotor control impairment. The NeuroCom® SMART Balance Master (Natus Medical Inc., Pleasanton, CA, USA), which was used in a prior study, is expensive and bulky. Hence, a novel study protocol is established in this paper with the detailed objectives and pre-/post-intervention data analysis pipeline (ANOVA, t-test, post hoc analysis, etc.) involving modern off-the-shelf sensors and custom instrumentation (electromyography, electrooculography, video head impulse testing, force plates, and virtual reality headsets). It is expected that the training will significantly decrease vestibuloocular reflex gains and eye movement variability, as well as reweight the somatosensory ratio, finetune postural muscle activation, and consequently improve postural flexibility and produce a faster automatic postural response. The findings may have implications for the future development of vestibular rehabilitation protocols. Full article
(This article belongs to the Topic Virtual Reality, Digital Twins, the Metaverse)
Show Figures

Figure 1

22 pages, 4524 KB  
Article
BCI Wheelchair Control Using Expert System Classifying EEG Signals Based on Power Spectrum Estimation and Nervous Tics Detection
by Dawid Pawuś and Szczepan Paszkiel
Appl. Sci. 2022, 12(20), 10385; https://doi.org/10.3390/app122010385 - 14 Oct 2022
Cited by 22 | Viewed by 4465
Abstract
The constantly developing biomedical engineering field and newer and more advanced BCI (brain–computer interface) systems require their designers to constantly develop and search for various innovative methods used in their creation. In response to practical requirements and the possibility of using the system [...] Read more.
The constantly developing biomedical engineering field and newer and more advanced BCI (brain–computer interface) systems require their designers to constantly develop and search for various innovative methods used in their creation. In response to practical requirements and the possibility of using the system in real conditions, the authors propose an advanced solution using EEG (electroencephalography) signal analysis. A BCI system design approach using artificial intelligence for the advanced analysis of signals containing facial expressions as control commands was used. The signals were burdened with numerous artifacts caused by simulated nervous tics. The proposed expert system consisted of two neural networks. The first one allowed for the analysis of one-second samples of EEG signals from selected electrodes on the basis of power spectrum estimation waveforms. Thus, it was possible to generate an appropriate control signal as a result of appropriate facial expression commands. The second of the neural networks detected the appearance and type of nervous tics in the signal. Additionally, the participants were affected by interference such as street and TV or radio sound, Wi-Fi and radio waves. The system designed in such a way is adapted to the requirements of the everyday life of people with disabilities, in particular those in wheelchairs, whose control is based on BCI technology. Full article
(This article belongs to the Special Issue Advances in Technology of Brain-Computer Interface)
Show Figures

Figure 1

12 pages, 3345 KB  
Article
Electroencephalography-Based Neuroemotional Responses in Cognitively Normal and Cognitively Impaired Elderly by Watching the Ardisia mamillata Hance with Fruits and without Fruits
by Juan Du, Xiaomei Chen, Li Xi, Beibei Jiang, Jun Ma, Guangsheng Yuan, Ahmad Hassan, Erkang Fu and Yumei Huang
Int. J. Environ. Res. Public Health 2022, 19(16), 10020; https://doi.org/10.3390/ijerph191610020 - 14 Aug 2022
Cited by 3 | Viewed by 2380
Abstract
Background: The purpose of this study is to explore the difference between the indexes of neuro-emotion between the cognitively normal elderly (CNE) and cognitively impaired elderly (CIE) while viewing the Ardisia mamillata Hance with red fruit (F) and without red fruit (NF) to [...] Read more.
Background: The purpose of this study is to explore the difference between the indexes of neuro-emotion between the cognitively normal elderly (CNE) and cognitively impaired elderly (CIE) while viewing the Ardisia mamillata Hance with red fruit (F) and without red fruit (NF) to determine which kind of the Ardisia mamillata Hance would be more beneficial to the participants’ neuro-emotions. Methods: Nine CNE individuals and nine CIE individuals, ranging in age from 80–90 years old, participated in this study and signed the informed consent form before beginning the experiment. Six mood indicators (engagement, excitement, focus, interest, relaxation, and stress) were measured by an EEG headset during the participants’ viewing of the NF, F, and NF + F. Results: For the CNE group, their engagement, excitement, and focus values were the lowest, while their interest value was the highest when they view the NF + F; therefore, we obtain the results that the combination of NF + F was the most beneficial to their EEG emotions. For the CIE group, the combination of NF + F increased their interest score, but decreased their focus score, which indicated that the NF + F was the most beneficial to their neuro-emotions. Conclusions: This study concluded that the combination of plants with and without fruits was most beneficial to the neural emotions of both groups of elderly people. Especially for the CIE, plants with larger and warmer colors, such as yellow, red, and orange fruits, should be considered for installation indoors or outdoors, as this would be better for their emotional well-being. Full article
(This article belongs to the Special Issue Wellness and Health Promotion for the Older Adults)
Show Figures

Figure 1

23 pages, 5792 KB  
Article
Application of EEG Signals Integration to Proprietary Classification Algorithms in the Implementation of Mobile Robot Control with the Use of Motor Imagery Supported by EMG Measurements
by Dawid Pawuś and Szczepan Paszkiel
Appl. Sci. 2022, 12(11), 5762; https://doi.org/10.3390/app12115762 - 6 Jun 2022
Cited by 20 | Viewed by 4699
Abstract
This article is a continuation and extension of research on a new approach to the classification and recognition of EEG signals. Their goal is to control the mobile robot through mental commands, using a measuring set such as Emotiv Epoc Flex Gel. The [...] Read more.
This article is a continuation and extension of research on a new approach to the classification and recognition of EEG signals. Their goal is to control the mobile robot through mental commands, using a measuring set such as Emotiv Epoc Flex Gel. The headset, despite its relative advancement, is rarely found in this type of research, which makes it possible to search for its advanced and innovative applications. The uniqueness of the proposed approach is the use of an EMG measuring device located on the biceps, i.e., MyoWare Muscle Sensor. This is to verify pure mental commands without additional muscle contractions. The participants of the study were asked to imagine the forearm movement that was responsible for triggering the movement command of the LEGO Mindstorms EV3 robot. The change in direction of movement is controlled by artifacts in the signal caused by the blink of an eyelid. The measured EEG signal was subjected to meticulous analysis by an expert system containing a classic classification algorithm and an artificial neural network. It was supposed to recognize mental commands, as well as detect artifacts in the form of blinking and change the direction of the robot’s movement. In addition, the system monitored the analysis of the EMG signal, detecting possible muscle tensions. The output of the expert algorithm was a control signal sent to the mobile robot. Full article
(This article belongs to the Special Issue Advances in Technology of Brain-Computer Interface)
Show Figures

Figure 1

19 pages, 3237 KB  
Article
Power Spectrum and Connectivity Analysis in EEG Recording during Attention and Creativity Performance in Children
by Diego M. Mateos, Gabriela Krumm, Vanessa Arán Filippetti and Marisel Gutierrez
NeuroSci 2022, 3(2), 347-365; https://doi.org/10.3390/neurosci3020025 - 2 Jun 2022
Cited by 15 | Viewed by 6545
Abstract
The present research aims at examining the power spectrum and exploring functional brain connectivity/disconnectivity during concentration performance, as measured by the d2 test of attention and creativity as measured by the CREA test in typically developing children. To this end, we examined brain [...] Read more.
The present research aims at examining the power spectrum and exploring functional brain connectivity/disconnectivity during concentration performance, as measured by the d2 test of attention and creativity as measured by the CREA test in typically developing children. To this end, we examined brain connectivity by using phase synchrony (i.e., phase locking index (PLI) over the EEG signals acquired by the Emotiv EPOC neuroheadset in 15 children aged 9- to 12-years. Besides, as a complement, a power spectrum analysis of the acquired signals was performed. Our results indicated that, during d2 Test performance there was an increase in global gamma phase synchronization and there was a global alpha and theta band desynchronization. Conversely, during CREA task, power spectrum analysis showed a significant increase in the delta, beta, theta, and gamma bands. Connectivity analysis revealed marked synchronization in theta, alpha, and gamma. These findings are consistent with other neuroscience research indicating that multiple brain mechanisms are indeed involved in creativity. In addition, these results have important implications for the assessment of attention functions and creativity in clinical and research settings, as well as for neurofeedback interventions in children with typical and atypical development. Full article
(This article belongs to the Special Issue EEG in Cognitive and Affective Neuroscience)
Show Figures

Figure 1

19 pages, 3257 KB  
Article
The Application of Integration of EEG Signals for Authorial Classification Algorithms in Implementation for a Mobile Robot Control Using Movement Imagery—Pilot Study
by Dawid Pawuś and Szczepan Paszkiel
Appl. Sci. 2022, 12(4), 2161; https://doi.org/10.3390/app12042161 - 18 Feb 2022
Cited by 17 | Viewed by 4937
Abstract
This paper presents a new approach to the issue of recognition and classification of electroencephalographic signals (EEG). A small number of investigations using the Emotiv Epoc Flex sensor set was the reason for searching for original solutions including control of elements of robotics [...] Read more.
This paper presents a new approach to the issue of recognition and classification of electroencephalographic signals (EEG). A small number of investigations using the Emotiv Epoc Flex sensor set was the reason for searching for original solutions including control of elements of robotics with mental orders given by a user. The signal, measured and archived with a 32-electrode device, was prepared for classification using a new solution consisting of EEG signal integration. The new waveforms modified in this way could be subjected to recognition both by a classic authorial software and an artificial neural network. The properly classified signals made it possible to use them as the signals controlling the LEGO EV3 Mindstorms robot. Full article
(This article belongs to the Special Issue Advances in Technology of Brain-Computer Interface)
Show Figures

Figure 1

11 pages, 2609 KB  
Article
A Pilot Study of Game Design in the Unity Environment as an Example of the Use of Neurogaming on the Basis of Brain–Computer Interface Technology to Improve Concentration
by Szczepan Paszkiel, Ryszard Rojek, Ningrong Lei and Maria António Castro
NeuroSci 2021, 2(2), 109-119; https://doi.org/10.3390/neurosci2020007 - 19 Apr 2021
Cited by 11 | Viewed by 6932
Abstract
The article describes the practical use of Unity technology in neurogaming. For this purpose, the article describes Unity technology and brain–computer interface (BCI) technology based on the Emotiv EPOC + NeuroHeadset device. The process of creating the game world and the test results [...] Read more.
The article describes the practical use of Unity technology in neurogaming. For this purpose, the article describes Unity technology and brain–computer interface (BCI) technology based on the Emotiv EPOC + NeuroHeadset device. The process of creating the game world and the test results for the use of a device based on the BCI as a control interface for the created game are also presented. The game was created in the Unity graphics engine and the Visual Studio environment in C#. The game presented in the article is called “NeuroBall” due to the player’s object, which is a big red ball. The game will require full focus to make the ball move. The game will aim to improve the concentration and training of the user’s brain in a user-friendly environment. Through neurogaming, it will be possible to exercise and train a healthy brain, as well as diagnose and treat various symptoms of brain disorders. The project was entirely created in the Unity graphics engine in Unity version 2020.1. Full article
(This article belongs to the Special Issue Brain – Computer Interfaces: Challenges and Applications)
Show Figures

Figure 1

12 pages, 1547 KB  
Article
A Method to Obtain Parameters of One-Column Jansen–Rit Model Using Genetic Algorithm and Spectral Characteristics
by Adam Łysiak and Szczepan Paszkiel
Appl. Sci. 2021, 11(2), 677; https://doi.org/10.3390/app11020677 - 12 Jan 2021
Cited by 7 | Viewed by 3887
Abstract
In this paper, a method of obtaining parameters of one-column Jansen–Rit model was proposed. Methods present in literature are focused on obtaining parameters in an on-line manner, producing a set of parameters for every point in time. The method described in this paper [...] Read more.
In this paper, a method of obtaining parameters of one-column Jansen–Rit model was proposed. Methods present in literature are focused on obtaining parameters in an on-line manner, producing a set of parameters for every point in time. The method described in this paper can provide one set of parameters for a whole, arbitrarily long signal. The procedure consists of obtaining specific frequency features, then minimizing mean square error of those features between the measured signal and the modeled signal, using genetic algorithm. This method produces an 8-element vector, which can be treated as an EEG signal feature vector specific for a person. The parameters which were being obtained are maximum postsynaptic potential amplitude, maximum inhibitory potential amplitude, ratio of the number of connections between particular neuron populations, the shape of a nonlinear function transforming the average membrane potential into the firing rate and the input noise range. The method shows high reproducibility (intraclass correlation coefficient for particular parameters ranging from 0.676 to 0.978) and accuracy (ranging from 0.662 to 0.863). It was additionally verified using EEG signal obtained for a single participant. This signal was measured using Emotiv EPOC+ NeuroHeadset. Full article
(This article belongs to the Section Applied Biosciences and Bioengineering)
Show Figures

Figure 1

11 pages, 993 KB  
Article
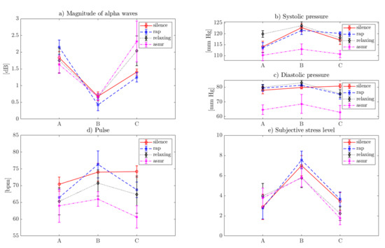
The Impact of Different Sounds on Stress Level in the Context of EEG, Cardiac Measures and Subjective Stress Level: A Pilot Study
by Szczepan Paszkiel, Paweł Dobrakowski and Adam Łysiak
Brain Sci. 2020, 10(10), 728; https://doi.org/10.3390/brainsci10100728 - 13 Oct 2020
Cited by 81 | Viewed by 10931
Abstract
Everyone experiences stress at certain times in their lives. This feeling can motivate, however, if it persists for a prolonged period, it leads to negative changes in the human body. Stress is characterized, among other things, by increased blood pressure, increased pulse and [...] Read more.
Everyone experiences stress at certain times in their lives. This feeling can motivate, however, if it persists for a prolonged period, it leads to negative changes in the human body. Stress is characterized, among other things, by increased blood pressure, increased pulse and decreased alpha-frequency brainwave activity. An overview of the literature indicates that music therapy can be an effective and inexpensive method of improving these factors. The objective of this study was to analyze the impact of various types of music on stress level in subjects. The conducted experiment involved nine females, aged 22. All participants were healthy and did not have any neurological or psychiatric disorders. The test included four types of audio stimuli: silence (control sample), rap, relaxing music and music triggering an autonomous sensory meridian response (ASMR) phenomenon. The impact of individual sound types was assessed using data obtained from four sources: a fourteen-channel electroencephalograph, a blood pressure monitor, a pulsometer and participant’s subjective stress perception. The conclusions from the conducted study indicate that rap music negatively affects the reduction of stress level compared to the control group (p < 0.05), whereas relaxing music and ASMR calms subjects much faster than silence (p < 0.05). Full article
Show Figures

Graphical abstract

Back to TopTop