Sign in to use this feature.

Years

Between: -

Subjects

remove_circle_outline
remove_circle_outline
remove_circle_outline
remove_circle_outline
remove_circle_outline
remove_circle_outline
remove_circle_outline

Journals

Article Types

Countries / Regions

Search Results (160)

Search Parameters:
Keywords = NCCN

Order results
Result details
Results per page
Select all
Export citation of selected articles as:
10 pages, 241 KB  
Review
Current Systemic Treatment Options for Advanced Pancreatic Cancer—An Overview Article
by Małgorzata Domagała-Haduch, Anna Długaszek, Anita Gorzelak-Magiera and Iwona Gisterek-Grocholska
Biomedicines 2026, 14(1), 188; https://doi.org/10.3390/biomedicines14010188 - 15 Jan 2026
Abstract
Pancreatic adenocarcinoma is one of the most aggressive malignancies, with a steadily increasing incidence rate. Due to the asymptomatic nature of early cancer and frequent late diagnosis, only 10–20% of patients are considered for radical treatment. In approximately 40% of patients, local advancement [...] Read more.
Pancreatic adenocarcinoma is one of the most aggressive malignancies, with a steadily increasing incidence rate. Due to the asymptomatic nature of early cancer and frequent late diagnosis, only 10–20% of patients are considered for radical treatment. In approximately 40% of patients, local advancement precludes primary surgical treatment, and in approximately half of patients, the cancer is diagnosed at the metastatic stage. Treatment of advanced pancreatic cancer is based on systemic therapy, while a growing number of studies are focusing on the potential use of molecularly targeted agents. The median survival time for metastatic patients treated with FOLFIRINOX chemotherapy is 11 months, compared to 8.5 months for patients treated with gemcitabine and nab-paclitaxel-based chemotherapy. Olaparib in the maintenance treatment of patients with advanced pancreatic cancer prolongs the time to progression compared to placebo but does not affect median overall survival. Immunotherapy and targeted therapy have so far been used in a narrow group of patients with a specific molecular profile, but further research on this cancer offers a real opportunity to develop new treatment approaches. This review article is based on the NCCN (National Comprehensive Cancer Network) guidelines and publications available in the PubMed database. Full article
17 pages, 4726 KB  
Article
Analytical Validation and Clinical Sensitivity of the Belay Summit™ 2.0 Cerebrospinal Fluid Liquid Biopsy Test—An Expanded Comprehensive Genomic Profiling Platform for Central Nervous System Malignancies
by Sakshi Khurana, Viriya Keo, Alexandra Larson, Vindhya Udhane, Jennifer N. Adams, Anthony Acevedo, Tarin Peltier, Daniel Sanchez, Brett A. Domagala, Samantha A. Vo, Kathleen Mitchell, Dean Ellis, Baymuhammet Muhammedov, Samer I. Al-Saffar, Kyle M. Hernandez, Chetan Bettegowda, Christopher Douville, Kala F. Schilter, Qian Nie and Honey V. Reddi
Cancers 2026, 18(2), 256; https://doi.org/10.3390/cancers18020256 - 14 Jan 2026
Viewed by 37
Abstract
Background/Objectives: The latest National Comprehensive Cancer Network (NCCN) Central Nervous System (CNS) Guidelines recommend utilizing next-generation sequencing (NGS) to enable comprehensive genomic profiling (CGP) as the preferred approach for molecular characterization of central nervous system (CNS) malignancies. CNS malignancies present distinct challenges due [...] Read more.
Background/Objectives: The latest National Comprehensive Cancer Network (NCCN) Central Nervous System (CNS) Guidelines recommend utilizing next-generation sequencing (NGS) to enable comprehensive genomic profiling (CGP) as the preferred approach for molecular characterization of central nervous system (CNS) malignancies. CNS malignancies present distinct challenges due to the infeasibility of tissue-based testing for many patients and the restrictive nature of the blood–brain barrier (BBB) making plasma-based liquid biopsy an ineffective alternative. Recent advances in liquid biopsy have extended molecular testing beyond plasma to include cerebrospinal fluid (CSF), which serves as a valuable source for tumor-derived nucleic acids. Methods: The Belay Summit™ 2.0 is a high-throughput CGP assay capable of detecting multiple variant types, including single nucleotide variants (SNVs) and small insertion and deletions (Indels), copy number variations (CNVs), gene fusions, splice variants, and immunotherapy biomarkers such as microsatellite instability (MSI) and tumor mutational burden (TMB). This study details the analytical and clinical validation of Summit™ 2.0 to assess its technical performance and clinical sensitivity. Analytical validation was conducted using 68 specimens, demonstrating robust and reproducible detection of all variant types with 15 ng of CSF-derived total nucleic acid (tNA). Results: The analytical sensitivity of the Belay Summit™ 2.0 assay for SNVs and Indels was determined to be 96.7% with a 100% limit of detection (LoD) at a variant allele frequency of 0.3%. Clinical validity was evaluated across a cohort of 118 CSF specimens, including both primary and metastatic CNS tumors, demonstrating 96% sensitivity and 98% specificity. Conclusions: These findings support the use of the Belay Summit™ 2.0 assay for accurate and reproducible genomic profiling of CNS tumors using tumor-derived nucleic acids from CSF in patients for whom tissue-based testing is considered infeasible, unsafe, or not deemed by the prescribing physician to be clinically appropriate. Full article
(This article belongs to the Section Cancer Biomarkers)
Show Figures

Figure 1

30 pages, 778 KB  
Review
Immunotherapeutic Strategies for Prostate Cancer: A Comprehensive Review
by Ana K. Flores-Islas, Cecilia Rico-Fuentes, Erick Sierra-Díaz, Mariel García-Chagollán, Ana Laura Pereira-Suárez, José Sergio Zepeda-Nuño, José M. Moreno-Ortiz and Adrián Ramírez-de-Arellano
Cancers 2026, 18(2), 255; https://doi.org/10.3390/cancers18020255 - 14 Jan 2026
Viewed by 49
Abstract
Prostate cancer (PCa) is the leading cause of cancer-related deaths worldwide and the second most common cancer among men. Treatment options depend on factors like age, androgen sensitivity, PSA levels, Gleason score, TNM stage, and recurrence risk. Available treatments include hormonal therapy, radiation, [...] Read more.
Prostate cancer (PCa) is the leading cause of cancer-related deaths worldwide and the second most common cancer among men. Treatment options depend on factors like age, androgen sensitivity, PSA levels, Gleason score, TNM stage, and recurrence risk. Available treatments include hormonal therapy, radiation, surgery, and chemotherapy. Early immunological treatments were limited by poor lymphocyte infiltration and an immunosuppressive environment. Today, strategies such as dendritic cell vaccines, immune checkpoint inhibitors (ICIs), and adoptive cell therapy (ACT) are used. ACT, especially CAR T-cell strategies, aims to overcome traditional treatment limitations, particularly in advanced and metastatic castration-resistant prostate cancer (mCRPC), though it remains in early development. Personalized medicine uses molecular insights from the diseased tissue to tailor treatments. Variability in patient response, due to tumor heterogeneity and prior treatments, highlights the importance of personalized and combination therapies as future strategies for effective immunotherapy. This review explores the current landscape of PCa. We analyze treatment guidelines established by NCCN and EANM-ESTRO-ESUR-ISUP-SIOG. We comprehensively examine immunotherapeutic strategies currently available or under investigation for prostate cancer, with particular emphasis on ICIs, ACT with a focus on CAR T-cell therapy, combination approaches and therapeutic synergies, and predictive biomarkers of immunotherapy response. Additionally, we discuss the challenges and future directions in the implementation of immunotherapy for the management of prostate cancer. Full article
Show Figures

Figure 1

22 pages, 321 KB  
Review
Molecular and Genetic Biomarkers in Prostate Cancer Active Surveillance: Recent Developments and Future Perspectives
by Stephanie F. Smith, Robert D. Mills, Colin S. Cooper and Daniel S. Brewer
Genes 2026, 17(1), 71; https://doi.org/10.3390/genes17010071 - 6 Jan 2026
Viewed by 444
Abstract
Background/Objectives: Active surveillance (AS) has become the standard of care for many men with localised prostate cancer, aiming to avoid the overtreatment of indolent disease while maintaining oncological safety. Despite improvements in diagnostic techniques, misclassification at diagnosis and the limited ability to predict [...] Read more.
Background/Objectives: Active surveillance (AS) has become the standard of care for many men with localised prostate cancer, aiming to avoid the overtreatment of indolent disease while maintaining oncological safety. Despite improvements in diagnostic techniques, misclassification at diagnosis and the limited ability to predict disease progression remain major challenges in AS. Novel molecular and genetic biomarkers, assessed through liquid biopsy approaches, offer the potential to refine patient selection and support risk-adapted monitoring in AS. Methods: We conducted a narrative review of biomarkers in the context of AS for prostate cancer, framing the discussion in terms of the challenges in AS and how biomarkers may address these. PubMed and Embase were searched for English-language peer-reviewed studies published between 2000 and 2025. International guidelines (AUA, EAU, NCCN, NICE) and reference lists were reviewed manually. Priority was given to large prospective cohorts, meta-analyses, and high-impact publications. Results: Blood-based assays such as PHI and the 4K score, urinary tests including ExoDx and SelectMDx, and the Prostate Urine Risk (PUR) signatures have all shown associations with disease progression or decisions to undergo earlier treatment. However, studies are often small, use surrogate endpoints, and lack validation in MRI-integrated cohorts. Biomarkers appear most informative in men with Gleason Grade 1 (GG1) disease, while evidence in GG2 cohorts is limited. Cost-effectiveness, heterogeneity of endpoints, and uncertainty in managing discordant biomarker and MRI results remain barriers to clinical adoption. Conclusions: Molecular and genetic biomarkers show promise for improving AS by reducing diagnostic misclassification and enhancing prediction of progression. Future research should define clinically relevant cut-offs, clarify integration with MRI, and evaluate longitudinal use. Demonstrating utility in contemporary cohorts could enable the development of biomarker-guided, personalised AS that maintains safety while minimising harm. Full article
12 pages, 2110 KB  
Review
Detection of Human Papillomavirus (HPV) in HPV-Associated Oropharyngeal Squamous Cell Carcinoma: A Review of Diagnostic Approach and Its Importance for the Head and Neck Oncologist
by Amanda J. Bastien, Daniel Manzoor, Evan S. Walgama, Kevin S. Scher, Julie K. Jang, Justin Moyers, Zachary S. Zumsteg, Allen S. Ho and Jon Mallen-St. Clair
Cancers 2026, 18(1), 56; https://doi.org/10.3390/cancers18010056 - 24 Dec 2025
Viewed by 393
Abstract
Introduction: Histopathologic assessment of surgical specimens imparts crucial information that is essential for diagnosis, treatment planning and prognostication for patients with Oropharyngeal Squamous Cell Carcinoma (OPSCC). This review explores the range of diagnostic techniques utilized to assess the HPV (Human Papilloma Virus) status [...] Read more.
Introduction: Histopathologic assessment of surgical specimens imparts crucial information that is essential for diagnosis, treatment planning and prognostication for patients with Oropharyngeal Squamous Cell Carcinoma (OPSCC). This review explores the range of diagnostic techniques utilized to assess the HPV (Human Papilloma Virus) status in OPSCC. It covers both traditional methods—such as p16 immunohistochemistry, HPV in situ hybridization, and DNA polymerase chain reaction (PCR)—and newer, evolving strategies including circulating HPV tumor DNA analysis and oral HPV DNA/mRNA PCR testing. Discussion: There are currently several histopathologic techniques for the diagnosis of HPV-associated OPSCC. This complexity of care has led to guidelines from numerous authorities (NCCN, ASCO, CAP), which this paper discusses and summarizes for head and neck oncology specialists. Conclusion: The ability to detect HPV in HPV-associated OPSCC is imperative for diagnosis, prognostication, staging, and management of the disease. Advances including liquid biopsy (TTMV-HPV DNA) may be utilized as an adjunct to diagnosis, treatment, and cancer surveillance in the future. Full article
Show Figures

Figure 1

36 pages, 905 KB  
Review
Systemic Chemotherapy in Penile Squamous Cell Carcinoma: Mechanisms, Clinical Applications, and Evidence-Based Regimens
by Michalina Grudzińska, Mateusz Czajkowski, Maciej Dolny, Marcin Matuszewski, Piotr Mieczysław Wierzbicki, Agnieszka Rybarczyk and Oliver Walther Hakenberg
Cancers 2026, 18(1), 46; https://doi.org/10.3390/cancers18010046 - 23 Dec 2025
Viewed by 375
Abstract
Background/Objectives: Penile squamous cell carcinoma (PSCC) is rare but aggressive. Systemic chemotherapy plays a crucial role in the management of node-positive or metastatic cases; however, the supporting evidence predominantly originates from small, non-randomized studies. This review provides a narrative analysis of the cytotoxic [...] Read more.
Background/Objectives: Penile squamous cell carcinoma (PSCC) is rare but aggressive. Systemic chemotherapy plays a crucial role in the management of node-positive or metastatic cases; however, the supporting evidence predominantly originates from small, non-randomized studies. This review provides a narrative analysis of the cytotoxic classes and regimens employed in PSCC and compares major clinical guidelines to facilitate informed decision-making in practice. Methods: English-language reports were identified in PubMed/Scopus/Google Scholar without date limits. Selection prioritized objective response, survival and toxicity outcomes, and guidance statements across neoadjuvant, adjuvant, and palliative settings. Results: Bleomycin-containing triplet regimens demonstrated efficacy but were associated with unacceptable pulmonary toxicity, leading to their discontinuation in clinical recommendations. Currently, cisplatin/taxane-based combinations remain fundamental in treatment protocols. The paclitaxel–ifosfamide–cisplatin (TIP) regimen achieves approximately 40–50% objective responses in phase II studies and may enable curative surgery, while taxane–cisplatin–5-fluorouracil (TPF) shows comparable efficacy with higher toxicity. For less fit patients, cisplatin–5-fluorouracil (PF) or carboplatin–taxane doublets are pragmatic alternatives. Single-agent taxanes or vinflunine offer modest second-line benefits. Although EAU–ASCO 2023, ESMO–EURACAN 2024, and NCCN v2.2025 are broadly in consensus, recommendations differ regarding eligibility thresholds and regimen preferences. Overall, the quality of the evidence remains low. Conclusions: TIP remains the reference neoadjuvant option for chemotherapy-fit patients with bulky nodal disease; doublets are reasonable when cisplatin fitness is limited; and bleomycin should be avoided. Harmonized eligibility criteria, biomarker-enriched studies, and coordinated multicenter trials are needed to improve outcomes in this rare malignancy. Full article
Show Figures

Figure 1

20 pages, 1342 KB  
Article
Diagnostic Correlates of Tumor Biology and Immediate Breast Reconstruction After Mastectomy: Real-World Evidence from a Romanian Cohort
by Iulian Slavu, Raluca Tulin, Alexandru Dogaru, Ileana Dima, Cristina Orlov Slavu, Marius Popescu, Cornelia Nitipir, Daniela-Elena Gheoca Mutu and Adrian Tulin
Diagnostics 2026, 16(1), 31; https://doi.org/10.3390/diagnostics16010031 - 22 Dec 2025
Viewed by 271
Abstract
Background/Objectives: Tumor biology—particularly HER2 expression, Ki-67 proliferation index, and triple-negative phenotype—has traditionally influenced the timing of breast reconstruction after mastectomy. However, real-world data from Eastern Europe remain limited, and variability in access and clinical practice persists. This study aimed to determine whether [...] Read more.
Background/Objectives: Tumor biology—particularly HER2 expression, Ki-67 proliferation index, and triple-negative phenotype—has traditionally influenced the timing of breast reconstruction after mastectomy. However, real-world data from Eastern Europe remain limited, and variability in access and clinical practice persists. This study aimed to determine whether tumor biology independently predicts the likelihood of immediate breast reconstruction (IBR) in a multidisciplinary tertiary center. Methods: We performed a retrospective cross-sectional analysis of 208 consecutive patients who underwent mastectomy with or without IBR between January 2023 and January 2024. Associations between tumor biology (HER2 status, Ki-67 index, and triple-negative subtype) and IBR were examined using χ2 tests, independent samples t-tests, and multivariate logistic regression adjusting for age, BMI, smoking status, comorbidities, neoadjuvant chemotherapy, pathological tumor size (pT), nodal stage (pN), and surgery type. Statistical significance was set at p < 0.05. Results: IBR was performed in 41.4% of HER2-positive and 41.2% of HER2-negative patients (p = 1.00). Reconstruction rates across Ki-67 quartiles (≤10%, 11–20%, 21–40%, ≥41%) were 50.0%, 37.5%, 34.4%, and 37.5%, respectively (p = 0.58). Triple-negative status was not associated with IBR in multivariate analysis (OR = 0.44, 95% CI 0.08–2.18, p = 0.32). Significant predictors of IBR included younger age (OR = 0.87, 95% CI 0.80–0.93, p < 0.001) and less extensive surgery (OR = 0.23, 95% CI 0.09–0.59, p = 0.002). The mean interval to adjuvant therapy was comparable between IBR (28.7 ± 6.2 days) and non-IBR (27.9 ± 5.8 days) groups (p = 0.34), indicating that reconstruction did not delay systemic treatment. Conclusions: In this real-world Romanian cohort, tumor biology did not significantly influence immediate reconstruction decisions. Age and surgical extent were the main determinants of IBR, suggesting that reconstructive access was guided more by clinical than molecular factors. These findings support the shift toward multidisciplinary, biology-informed, and patient-centered surgical decision-making, in line with current ESMO and NCCN recommendations. Despite limitations—including the retrospective design, single-center setting, incomplete BRCA data, and absence of long-term oncologic outcomes—the study provides novel regional perioperative evidence supporting safe and equitable access to immediate reconstruction across biologic subtypes. Full article
(This article belongs to the Special Issue Diagnosis, Prognosis and Management of Breast Cancer)
Show Figures

Figure 1

23 pages, 1797 KB  
Review
Beyond Precision: Ambiomic Survivorship in Childhood and AYA Cancer
by Juan Antonio Ortega-García, Omar Shakeel, Nicole M. Wood, Antonio Pérez-Martínez, Jose Luís Fuster-Soler and Mark D. Miller
Cancers 2026, 18(1), 7; https://doi.org/10.3390/cancers18010007 - 19 Dec 2025
Viewed by 606
Abstract
Background: Survival among children and adolescents and young adults (AYA) with cancer has improved substantially over recent decades; however, dominant survivorship models remain reactive—activated post-treatment and anchored to static exposure- and organ-based screening. This design underuses the anticipatory window at diagnosis and overlooks [...] Read more.
Background: Survival among children and adolescents and young adults (AYA) with cancer has improved substantially over recent decades; however, dominant survivorship models remain reactive—activated post-treatment and anchored to static exposure- and organ-based screening. This design underuses the anticipatory window at diagnosis and overlooks environmental and social determinants that modulate outcomes across the life course. Methods: We narratively reviewed international frameworks including the Children’s Oncology Group (COG), the International Late Effects of Childhood Cancer Guideline Harmonization Group (IGHG), the Pan-European Network for Care of Survivors after Childhood and Adolescent Cancer (PanCare) and the National Comprehensive Cancer Network (NCCN), and synthesized evidence on environmental determinants, exposomics, toxicogenomics, and implementation. Building on two decades of real-world practice, we describe the evolution from the Pediatric Environmental History (PEHis) to the Ambiomic Health Compass (AHC), integrating genomic, exposomic, geospatial, clinical, and biomonitoring layers into routine care. In this framework, survivorship is conceptualized as beginning at the time of cancer diagnosis (“day 0”). Results: PEHis operationalizes guideline-based care with structured environmental and social assessment, personalized plans, and community integration, contributing to improved survival, healthier behaviors, reduced treatment-related mortality and stronger oncology–primary-care coordination. AHC extends PEHis with dynamic risk recalibration, contextual alerts, targeted biomonitoring, and toxicogenomic interpretation, enabling anticipatory decisions from day 0. The manuscript summarizes the paradigm shift (current vs. Ambiomic models), the domain-specific expansion over existing guidelines, the core clinical/system tools, and time-bound metrics (12, 24, 60 months) to support implementation and evaluation. Conclusions: Survivorship should move upstream—from late surveillance to ambiomic, exposure-aware care beginning at diagnosis. Integrating advanced exposomics, mutational epidemiology, and explainable analytics can reduce preventable events and chronicity, enhance equity, and align pediatric oncology with planetary health. The PEHis–AHC continuum offers a scalable blueprint for next-generation survivorship programs in Europe and beyond. Ambiomic medicine does not replace precision medicine—it completes and extends it by integrating exposomics, social context, and anticipatory analytics from day 0. Full article
Show Figures

Figure 1

14 pages, 830 KB  
Article
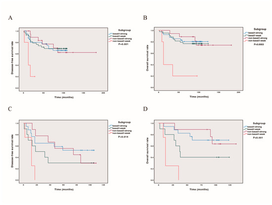
PAM50 Intrinsic Subtypes and Immunity Status in Prognosis of Triple-Negative Breast Cancer: A Retrospective Cohort Study
by Yuan Wang, Yu Song, Songjie Shen, Huanwen Wu, Xinyu Ren and Zhiyong Liang
Cancers 2025, 17(24), 4010; https://doi.org/10.3390/cancers17244010 - 16 Dec 2025
Viewed by 394
Abstract
Background: Although triple-negative breast cancer (TNBC) patients commonly receive adjuvant chemotherapy after surgery, their prognoses vary. This study aimed to investigate how the intrinsic subtypes of TNBCs and immune status of patients affect their prognosis. Methods: A total of 111 TNBC patients were [...] Read more.
Background: Although triple-negative breast cancer (TNBC) patients commonly receive adjuvant chemotherapy after surgery, their prognoses vary. This study aimed to investigate how the intrinsic subtypes of TNBCs and immune status of patients affect their prognosis. Methods: A total of 111 TNBC patients were retrospectively analyzed at Peking Union Medical College Hospital from 2002 to 2014. All underwent surgery and received adjuvant chemotherapy per NCCN guidelines. Intrinsic subtypes (luminal A, luminal B, HER2-enriched, and basal-like) were identified using PAM50 profiling. Recurrence-of-risk (ROR) scores were classified into high, intermediate, and low. Immune status was assessed via a 17-gene panel and categorized as immune-strong or immune-weak. Statistical analyses included chi-square tests, Kaplan–Meier curves, log-rank tests, and Cox regression. Results: All four PAM50 subtypes were present, with basal-like being the most common (77%). Luminal A patients with low-to-intermediate ROR scores showed worse outcomes than other subtypes (DFS, p = 0.123; OS, p = 0.170). Unexpectedly, high-ROR patients had the longest DFS (p = 0.042). Immune-strong status correlated with improved DFS and OS in stage IIB–III patients (DFS, p = 0.029; OS, p = 0.003), and was associated with higher TILs (p = 0.015) and PD-L1 expression on tumor cells (p = 0.022). Conclusions: Multigene-based assessment of molecular subtype and immune status provides important prognostic insight into TNBC and may guide adjuvant treatment decisions, particularly in non-basal-like subtypes. Full article
(This article belongs to the Section Molecular Cancer Biology)
Show Figures

Figure 1

16 pages, 677 KB  
Review
Can TP53, TMB and TME Expand the Immunotherapy Benefit in Metastatic Colorectal Cancer?
by Monia Specchia, Denise Drittone, Eva Mazzotti and Federica Mazzuca
Cancers 2025, 17(24), 3984; https://doi.org/10.3390/cancers17243984 - 13 Dec 2025
Viewed by 595
Abstract
Background: Metastatic colorectal cancer (mCRC) with TP53 gene mutations, which are commonly found in tumors that are microsatellite stable (MSS) and not prone to genetic errors seen in some cancers, is associated with aggressive cancer behavior and poor outcomes. While MSI-high (MSI-H, referring [...] Read more.
Background: Metastatic colorectal cancer (mCRC) with TP53 gene mutations, which are commonly found in tumors that are microsatellite stable (MSS) and not prone to genetic errors seen in some cancers, is associated with aggressive cancer behavior and poor outcomes. While MSI-high (MSI-H, referring to high levels of gene instability) disease benefits markedly from PD-1-based immunotherapy (drugs that inhibit the PD-1 protein on immune cells), TP53-mutated MSS tumors rarely receive immune checkpoint inhibitors (ICIs, drugs that help immune cells attack cancer) outside of trials and often only in later lines of therapy. Objective: We aimed to synthesize translational and clinical evidence regarding the effects of early rationale-driven immunotherapy combinations on survival outcomes, in TP53-mutated metastatic colorectal cancer, with a focus on practical clinical implications. Methods: This narrative review was conducted in accordance with SANRA criteria. Literature searches were performed in PubMed/MEDLINE, Scopus, and Web of Science (2010–2025). Relevant ESMO and NCCN guidelines and key references were also reviewed. Results: In KEYNOTE-177 study (MSI-H/dMMR), pembrolizumab improved PFS (HR 0.60) and showed durable OS with >5-year follow-up. CheckMate-142 reported sustained activity with nivolumab ± ipilimumab. Preclinical/early clinical data in MSS/TP53 suggest that ICIs may become effective when combined with priming (chemo/DDR) and vascular normalization (anti-VEGF), particularly in subsets with elevated TMB. The randomized ROME trial supports the clinical utility of genomically matched, NGS-guided strategies. Conclusions: A precision approach integrating TP53 status, TMB, and TME modulation could extend the immunotherapy benefit beyond MSI-H to TP53-mutated MSS mCRC; prospective first-line trials are warranted. Full article
(This article belongs to the Section Cancer Metastasis)
Show Figures

Figure 1

39 pages, 406 KB  
Review
Management of Patients with Epithelial Ovarian Cancer: A Systematic Comparison of International Guidelines from Scientific Societies (AIOM-BGCS-ESGO-ESMO-JGSO-NCCN-NICE)
by Martina Arcieri, Veronica Tius, Sara Filippin, Giovanni Aletti, Domenica Lorusso, Anna Fagotti, Jalid Sehouli, Ignacio Zapardiel, Pierandrea De Iaco, Paolo Scollo, Andrea Ciavattini, Marco Petrillo, Violante Di Donato, Federica Perelli, Giorgio Bogani, Stefano Restaino, Giuseppe Vizzielli and the Gynecologic Oncology Group
Cancers 2025, 17(24), 3915; https://doi.org/10.3390/cancers17243915 - 7 Dec 2025
Viewed by 1998
Abstract
Epithelial ovarian cancer (EOC) remains the most lethal gynecological malignancy worldwide, primarily due to late-stage diagnosis, limited early screening tools, and the aggressive nature of the disease. Increasing global efforts have been directed toward harmonizing clinical guidelines and ensuring equitable access to optimal [...] Read more.
Epithelial ovarian cancer (EOC) remains the most lethal gynecological malignancy worldwide, primarily due to late-stage diagnosis, limited early screening tools, and the aggressive nature of the disease. Increasing global efforts have been directed toward harmonizing clinical guidelines and ensuring equitable access to optimal care. This narrative review provides a comprehensive overview and critical comparison of the most recent international guidelines for ovarian cancer management, emphasizing similarities and discrepancies. Each section examines diagnostic, surgical, and therapeutic recommendations across all disease stages—from prevention to recurrence. Emerging advances that are reshaping the management of EOC such as preclinical models and the application of artificial intelligence are also discussed. This work provides an updated and practical synthesis to support clinicians, researchers, and policymakers in optimizing ovarian cancer management and guiding future research priorities in precision oncology. Full article
(This article belongs to the Special Issue Research on Surgical Treatment for Ovarian Cancer)
21 pages, 317 KB  
Review
The Latest Diagnostic Imaging Technologies and AI: Applications for Melanoma Surveillance Toward Precision Oncology
by Alessandro Valenti, Fabio Valenti, Stefano Giuliani, Simona di Martino, Luca Neroni, Cristina Sorino, Pietro Sollena, Flora Desiderio, Fulvia Elia, Maria Teresa Maccallini, Michelangelo Russillo, Italia Falcone and Antonino Guerrisi
Computers 2025, 14(12), 512; https://doi.org/10.3390/computers14120512 - 24 Nov 2025
Viewed by 811
Abstract
In recent years, the medical field has witnessed the rapid expansion and refinement of omics and imaging technologies, which have profoundly transformed patient surveillance and monitoring strategies, with stage-adapted protocols and cross-sectional imaging important in high-risk follow-up. In the melanoma context, diagnostic imaging [...] Read more.
In recent years, the medical field has witnessed the rapid expansion and refinement of omics and imaging technologies, which have profoundly transformed patient surveillance and monitoring strategies, with stage-adapted protocols and cross-sectional imaging important in high-risk follow-up. In the melanoma context, diagnostic imaging plays a pivotal role in disease staging, follow-up and evaluation of therapeutic response. Moreover, the emergence of Artificial Intelligence (AI) has further driven the transition toward precision medicine, emphasizing the complexity and individuality of each patient: AI/Radiomics pipelines are increasingly supporting lesion characterization and response prediction within clinical workflows. Consequently, it is essential to emphasize the significant potential of quantitative imaging techniques and radiomic applications, as well as the role of AI in improving diagnostic accuracy and enabling personalized oncologic treatment. Early evidence demonstrates increased sensitivity and specificity, along with a reduction in unnecessary biopsies and imaging procedures, within selected care approaches. In this review, we will outline the current clinical guidelines for the management of melanoma patients and use them as a framework to explore and evaluate advanced imaging approaches and their potential contributions. Specifically, we compare the recommendations of major societies such as NCCN, which advocates more intensive imaging for stages IIB–IV; ESMO and AIOM, which recommend symptom-driven surveillance; and SIGN, which discourages routine imaging in the absence of clinical suspicion. Furthermore, we will describe the latest imaging technologies and the integration of AI-based tools for developing predictive models to actively support therapeutic decision-making and patient care. The conclusions will focus on the prospective role of novel imaging modalities in advancing precision oncology, improving patient outcomes and optimizing the allocation of clinical resources. Overall, the current evidences support a stage-adapted surveillance strategy (ultrasound ± elastography for lymph node regions, targeted brain MRI in high-risk patients, selective use of DECT or total-body MRI) combined with rigorously validated AI-based decision support systems to personalize follow-up, streamline workflows and optimize resource utilization. Full article
Show Figures

Graphical abstract

15 pages, 7346 KB  
Article
Fibroblast Activation Protein Alpha (FAP) Expression Is Associated with Disease Recurrence and Poor Response to Tyrosine Kinase Inhibitors in Advanced Clear Cell Renal Cell Carcinoma
by María Riaza Montes, Beatriz Suárez, Jon Danel Solano-Iturri, David Lecumberri, Ane Miren Iturregui, Charles H. Lawrie, María Armesto, Caroline E. Nunes-Xavier, Rafael Pulido, José I. López, Javier C. Angulo and Gorka Larrinaga
Int. J. Mol. Sci. 2025, 26(22), 11112; https://doi.org/10.3390/ijms262211112 - 17 Nov 2025
Viewed by 888
Abstract
Despite advances in the management of advanced clear cell renal cell carcinoma (ccRCC), robust biomarkers for prognosis and therapeutic response prediction remain elusive. Fibroblast activation protein-α (FAP), a marker of activated cancer-associated fibroblasts (CAFs), has emerged as a potential indicator of tumor aggressiveness [...] Read more.
Despite advances in the management of advanced clear cell renal cell carcinoma (ccRCC), robust biomarkers for prognosis and therapeutic response prediction remain elusive. Fibroblast activation protein-α (FAP), a marker of activated cancer-associated fibroblasts (CAFs), has emerged as a potential indicator of tumor aggressiveness and resistance to systemic therapies in various solid tumors. This study evaluated the clinical relevance of stromal FAP expression in a cohort of 137 patients with advanced ccRCC and long-term follow-up. FAP immunohistochemistry (IHC) was performed on primary tumor specimens and correlated with key clinicopathological features, disease-free survival (DFS), overall survival (OS), and radiological response to first-line tyrosine kinase inhibitors (TKIs). A significantly higher percentage of FAP-positive CAFs was observed in primary tumors with high histological grade, extensive local invasion (pT3–4), and advanced clinical stage (NCCN stage III–IV). Stromal FAP expression was associated with shorter DFS and OS. Moreover, tumors lacking FAP expression were more likely to achieve complete response to TKI therapy as defined by RECIST criteria. These findings highlight the potential of FAP IHC as a prognostic and predictive tool in advanced ccRCC and support further clinical validation. Full article
(This article belongs to the Special Issue Editorial Board Members’ Collection Series: Cancer Metastasis)
Show Figures

Figure 1

9 pages, 207 KB  
Article
Patients with Marked Prostatomegaly and Clinically Significant Prostate Cancer Have Inferior Perioperative Outcomes Following Radical Prostatectomy
by Tara N. Morgan, Bradley Q. Fox, Austin Lai, Matthew Li, Megan Zhao, Joshua K. Kim, Jingchen Chai, David Barquin, Brian Calio and Jeffrey Gahan
J. Clin. Med. 2025, 14(22), 7993; https://doi.org/10.3390/jcm14227993 - 11 Nov 2025
Viewed by 449
Abstract
Background/Objectives: While robot-assisted radical prostatectomy (RARP) is the standard surgical treatment for localized prostate cancer, patients with marked prostatomegaly may experience worse outcomes. The current literature lacks generalizable, multi-surgeon data examining surgical complications in this population. Methods: We conducted a retrospective [...] Read more.
Background/Objectives: While robot-assisted radical prostatectomy (RARP) is the standard surgical treatment for localized prostate cancer, patients with marked prostatomegaly may experience worse outcomes. The current literature lacks generalizable, multi-surgeon data examining surgical complications in this population. Methods: We conducted a retrospective cohort study of 2030 patients who underwent RARP at a tertiary academic referral center. Perioperative complications and oncologic outcomes were compared between patients with marked prostatomegaly (defined as a prostate volume >100 grams (g)) and those with average-sized glands (<100 g). Logistic regression was used to compare groups. Results: Patients with marked prostatomegaly had a lower PSA density (0.10 vs. 0.20, p < 0.001), but there were no significant differences in pathologic NCCN grade groups, margin status, or lymph node involvement between groups. Patients with marked prostatomegaly had 60% higher odds of experiencing perioperative complications (OR 1.60, 95% CI 1.25–2.07, p < 0.0003) and were over twice as likely to have an ED visit or hospital readmission following surgery (OR 2.16, 95% CI 1.79–2.61, p < 0.001). They were also 25% more likely to undergo non-nerve-sparing or unilateral nerve-sparing procedures (OR 1.25, 95% CI 1.11–1.42, p < 0.001). Conclusions: Marked prostatomegaly is associated with higher rates of perioperative complications following RARP, with more frequent emergency room visits and readmissions. While nerve-sparing procedures were less commonly performed, oncologic outcomes remained comparable. Further prospective, multicenter studies are warranted to validate these results, which impact preoperative counseling. Full article
(This article belongs to the Special Issue Prostatectomy: Clinical Updates and Perspectives)
15 pages, 1906 KB  
Review
Chemotherapy Strategies and Their Efficacy for Mesenchymal Chondrosarcoma
by Piotr Remiszewski, Julia Wąż, Sławomir Falkowski, Piotr Rutkowski and Anna M. Czarnecka
Curr. Oncol. 2025, 32(11), 615; https://doi.org/10.3390/curroncol32110615 - 3 Nov 2025
Viewed by 1170
Abstract
Mesenchymal chondrosarcoma (MCS) is characterised by small round cell biology, frequent HEY1-NCOA2 fusion, and high vascularity. These features plausibly lessen extracellular matrix barriers and confer relative chemosensitivity. We synthesised peri-operative (preoperative/neoadjuvant; postoperative/adjuvant) and palliative chemotherapy outcomes separately across multiple cohorts and case reports [...] Read more.
Mesenchymal chondrosarcoma (MCS) is characterised by small round cell biology, frequent HEY1-NCOA2 fusion, and high vascularity. These features plausibly lessen extracellular matrix barriers and confer relative chemosensitivity. We synthesised peri-operative (preoperative/neoadjuvant; postoperative/adjuvant) and palliative chemotherapy outcomes separately across multiple cohorts and case reports as well as the summarised the guidelines (ESMO/NCCN) In localised disease, integrating multi-agent Ewing-type chemotherapy with complete resection is associated with improved disease control. Contemporary 5-year overall survival (OS) typically spans ~55–73% across studies, while event-free survival (EFS) gains are demonstrated more consistently than OS gains in pooled analyses. In advanced MCS, first-line polychemotherapy yields modest, non-curative activity, with objective response rates (ORRs) of ~25–35% in adults, median progression-free survival (PFS) of ~4.7–6.7 months, and median OS of ~18 months. Activity may be higher in younger patients and for platinum–anthracycline combinations. We also discussed emerging therapies. Trabectedin demonstrates low disease control rate in translocation-related sarcomas, including few MCS cases. Anti-angiogenic tyrosine kinase inhibitors, such as apatinib and pazopanib, demonstrate activity in chondrosarcoma, but MCS-specific data are lacking. IDH1 inhibition benefits conventional subtypes rather than MCS. Early immunotherapy experience is limited, but pathway-directed strategies targeting BCL2 and PI3K-mTOR warrant evaluation. Full article
Show Figures

Graphical abstract

Back to TopTop