Sign in to use this feature.

Years

Between: -

Subjects

remove_circle_outline
remove_circle_outline
remove_circle_outline

Journals

Article Types

Countries / Regions

Search Results (23)

Search Parameters:
Keywords = Mg-Zn-Ca-Ag alloy

Order results
Result details
Results per page
Select all
Export citation of selected articles as:
9 pages, 816 KB  
Proceeding Paper
Hierarchical Ag-Doped Hydroxyapatite Coatings on TiO2 Nanotubes Formed on Ti-407 Alloy: Antibacterial Evaluation Against Escherichia coli 
by Angie P. Tamayo-Jimenez, Frank E. Melendez-Anzures, Maria P. Barron-Gonzalez, Enrique M. Lopez-Cuellar, Yadira Quiñones-Gutierrez, Javier A. Garza-Guajardo and Azael Martinez-De la Cruz
Mater. Proc. 2025, 28(1), 4; https://doi.org/10.3390/materproc2025028004 - 11 Dec 2025
Viewed by 289
Abstract
Postoperative infections in orthopedic implants remain a major complication, particularly in open fractures, where early bacterial colonization and the limited bioactivity of titanium alloys hinder osseointegration. This study reports a hierarchical coating synthesized in situ on Ti-407 alloy, integrating bioactive and antibacterial functions. [...] Read more.
Postoperative infections in orthopedic implants remain a major complication, particularly in open fractures, where early bacterial colonization and the limited bioactivity of titanium alloys hinder osseointegration. This study reports a hierarchical coating synthesized in situ on Ti-407 alloy, integrating bioactive and antibacterial functions. TiO2 nanotube arrays were formed by anodization and subsequently functionalized by sequential electrodeposition of Ag nanoparticles and doped hydroxyapatite (HA) (Ca, P, Mg, Zn). SEM/EDS confirmed uniform coatings with a Ca/P ratio near stoichiometric HA (1.61). Agar diffusion assays against E. coli ATCC® 25922™ revealed well-defined inhibition zones, confirming the antibacterial efficacy of the coatings. These findings highlight the potential of hierarchical coatings to enhance bone integration while reducing infection risk in orthopedic implants. Full article
Show Figures

Figure 1

18 pages, 5271 KB  
Article
Distinct Responses of Corrosion Behavior to the Intermetallic/Impurity Redistribution During Hot Processing in Micro-Alloyed Mg Alloys
by Yiming Jin, Hong Yang, Jan Bohlen, Björn Wiese and Yan Su
Materials 2025, 18(23), 5473; https://doi.org/10.3390/ma18235473 - 4 Dec 2025
Viewed by 343
Abstract
By tuning the extrusion parameters, the corrosion performances of as-extruded Mg-0.5Zn(-0.2X) alloys (X: Ca/Sr/Ag/In/Cu, denoted as Z05, Z0502-Ca, Z0502-Sr, Z0502-Ag, Z0502-In and Z0502-Cu, respectively) with similar grain sizes were investigated and compared with their as-cast counterparts. The formed Fe-Si precipitates after hot processing [...] Read more.
By tuning the extrusion parameters, the corrosion performances of as-extruded Mg-0.5Zn(-0.2X) alloys (X: Ca/Sr/Ag/In/Cu, denoted as Z05, Z0502-Ca, Z0502-Sr, Z0502-Ag, Z0502-In and Z0502-Cu, respectively) with similar grain sizes were investigated and compared with their as-cast counterparts. The formed Fe-Si precipitates after hot processing significantly accelerate the corrosion rates of Z05, Z0502-Ag and Z0502-In, whereas the driving force from the Fe-encapsulated MgCaSi(Fe) and MgSrSi(Fe) precipitates are not as strong in Z0502-Ca and Z0502-Sr. Impacts from Fe impurity in Z0502-Cu are masked in the fast corrosion due to the noble Mg2Cu intermetallics. Fe precipitation during hot processing is critical for micro-alloyed systems, as the changes in intermetallic/impurity distributions impact the corrosion performances profoundly. The enthalpy of formation and the potential difference are the key factors that influence the distribution of precipitate during hot processing. Full article
(This article belongs to the Section Metals and Alloys)
Show Figures

Figure 1

21 pages, 7671 KB  
Article
Microstructure and Properties of Biomedical Mg-Zn-Ca-Ag Alloy and the Micro-Arc Oxidation Coatings
by Wei-Gang Lv, Ze-Xin Wang, Zi-Meng Xiao, Shu-Fan Zhou, Jun Ma, Liang-Yu Chen, Sheng Lu and Dubovyy Oleksandr
Coatings 2025, 15(11), 1357; https://doi.org/10.3390/coatings15111357 - 20 Nov 2025
Viewed by 750
Abstract
This study investigates the influence of Ag addition on the microstructure, mechanical behavior, corrosion resistance, and antibacterial performance of Mg-Zn-Ca-Ag alloys and their micro-arc oxidation (MAO) coatings. Four casting alloys containing 0.2, 0.4, 0,6 and 0.8 wt.% Ag were fabricated and characterized by [...] Read more.
This study investigates the influence of Ag addition on the microstructure, mechanical behavior, corrosion resistance, and antibacterial performance of Mg-Zn-Ca-Ag alloys and their micro-arc oxidation (MAO) coatings. Four casting alloys containing 0.2, 0.4, 0,6 and 0.8 wt.% Ag were fabricated and characterized by SEM, XRD, and TEM. The microstructure consisted mainly of α-Mg, Mg2Ca, Mg7Zn3, and Mg6Ca2Zn3 phases, and the elastic modulus (~25.8 GPa) was comparable to that of human bone. MAO coatings produced in a bio-functional electrolyte exhibited pit-like morphologies due to Ag-induced melt fluidity and self-sealing effects. The coatings were composed primarily of MgO, Mg2SiO4, Ca3(PO4)2, CaCO3, and Ag2O, with the ZQ 0.8-MAO sample showing the highest Ca/P ratio (1.75), indicative of superior bioactivity. Electrochemical impedance spectroscopy revealed optimal corrosion resistance (2.56 × 104 Ω·cm2), while antibacterial efficiency exceeded 96%. Overall, Ag alloying enhanced both the bulk and surface properties of Mg-Zn-Ca alloys, yielding robust, corrosion-resistant, and antibacterial coatings with excellent biocompatibility-highlighting their potential for biodegradable orthopedic implant applications. Full article
(This article belongs to the Section Bioactive Coatings and Biointerfaces)
Show Figures

Figure 1

14 pages, 8387 KB  
Article
Tailoring Multiple Strengthening Phases to Achieve Superior High-Temperature Strength in Cast Mg-RE-Ag Alloys
by Sicong Zhao, Erjun Guo, Kun Liu, Jingfang Li, Jianhua Liu and Mingyang Li
Materials 2024, 17(4), 901; https://doi.org/10.3390/ma17040901 - 15 Feb 2024
Cited by 2 | Viewed by 1632
Abstract
Mg alloys with excellent high-temperature mechanical properties are urgently desired to meet the design requirements of new-generation aircraft. Herein, novel cast Mg-10Gd-2Y-0.4Zn-0.2Ca-0.5Zr-xAg alloys were designed and prepared according to the advantages of multi-component alloying. The SEM and XRD results revealed that the as-cast [...] Read more.
Mg alloys with excellent high-temperature mechanical properties are urgently desired to meet the design requirements of new-generation aircraft. Herein, novel cast Mg-10Gd-2Y-0.4Zn-0.2Ca-0.5Zr-xAg alloys were designed and prepared according to the advantages of multi-component alloying. The SEM and XRD results revealed that the as-cast microstructures contained α-Mg grains, β, and Zr-containing phase. As Ag rose from 0 wt.% to 2.0 wt.%, the grain size was refined from 40.7 μm to 33.5 μm, and the β phase significantly increased. The TEM observations revealed that the nano-scaled γ′ phase could be induced to precipitate in the α-Mg matrix by the addition of Ag. The stacking sequence of lamellar γ′ phases is ABCA. The multiple strengthening phases, including β phase, γ′ phases, and Zr-containing particles, were effectively tailored through alloying and synergistically enhanced the mechanical properties. The ultimate tensile strength increased from 154.0 ± 3.5 MPa to 231.0 ± 4.0 MPa at 548 K when Ag was added from 0 to 2.0 wt.%. Compared to the Ag-free alloy, the as-cast alloy containing 2.0 wt.% Ag exhibited a minor reduction in ultimate tensile strength (7.0 ± 4.0 MPa) from 498 K to 548 K. The excellent high-temperature performance of the newly developed Mg-RE-Ag alloy has great value in promoting the use of Mg alloys in aviation industries. Full article
Show Figures

Figure 1

19 pages, 33543 KB  
Article
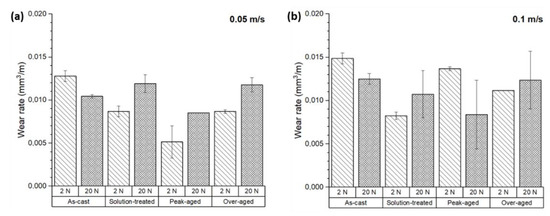
Microstructure and Wear Behavior of Heat-Treated Mg-1Zn-1Ca Alloy for Biomedical Applications
by Nuria Pulido-González, Sonia García-Rodríguez, Belén Torres and Joaquin Rams
Materials 2024, 17(1), 70; https://doi.org/10.3390/ma17010070 - 22 Dec 2023
Cited by 1 | Viewed by 1880
Abstract
The microstructure and wear properties of a Mg-1wt.% Zn-1wt.% Ca (ZX11) alloy with different heat treatments have been investigated. The ZX11 alloy was tested in the as-cast state and after different heat treatment conditions: solution-treated (at 450 °C for 24 h), peak-aged (solution-treated [...] Read more.
The microstructure and wear properties of a Mg-1wt.% Zn-1wt.% Ca (ZX11) alloy with different heat treatments have been investigated. The ZX11 alloy was tested in the as-cast state and after different heat treatment conditions: solution-treated (at 450 °C for 24 h), peak-aged (solution-treated + aged at 180 °C for 3 h), and over-aged (solution-treated + aged at 180 °C for 24 h). The microstructure of the as-cast sample showed a continuous intermetallic phase at the grain boundaries, while the heat-treated samples exhibited discrete precipitated particles within the grains. To evaluate the wear behavior, the samples were tested using a pin-on-disc configuration, where the wear rates and friction coefficients were measured at different loads and sliding speeds. An AZ31 magnesium alloy was used as the counterbody. The worn surfaces and the wear debris were studied to identify the main wear mechanisms corresponding to each test condition. The results indicated the presence of abrasion, oxidation, and adhesive wear mechanisms in all testing conditions. In the as-cast state, delamination and plastic deformation were the dominant wear mechanisms, while they were less relevant in the heat-treated conditions. The peak-aged samples exhibited the lowest wear rates, suggesting that modifying the distribution of intermetallic precipitates contributed to enhancing the wear resistance of the alloy. Full article
(This article belongs to the Section Metals and Alloys)
Show Figures

Figure 1

18 pages, 4075 KB  
Article
Microstructure and Corrosion Behaviour of Mg-Ca and Mg-Zn-Ag Alloys for Biodegradable Hard Tissue Implants
by Lavinia Dragomir (Nicolescu), Iulian Antoniac, Veronica Manescu (Paltanea), Aurora Antoniac, Marian Miculescu, Octavian Trante, Alexandru Streza, Cosmin Mihai Cotruț and Doriana Agop Forna
Crystals 2023, 13(8), 1213; https://doi.org/10.3390/cryst13081213 - 5 Aug 2023
Cited by 12 | Viewed by 3064
Abstract
Trauma orthopaedic surgery was the first domain to use degradable metallic implants made of magnesium alloys since the early 20th century. Unfortunately, the major limitation that consists of rapid degradation and subsequent implant failure, which occur in physiological environments with a pH between [...] Read more.
Trauma orthopaedic surgery was the first domain to use degradable metallic implants made of magnesium alloys since the early 20th century. Unfortunately, the major limitation that consists of rapid degradation and subsequent implant failure, which occur in physiological environments with a pH between 7.4 and 7.6, prevents its widespread application. The biggest challenge in corrosion assay is the choice of the testing medium in order to reproduce more closely in vivo conditions. The current study was focused on two Mg-Zn-Ag alloys (Mg7Zn1Ag and Mg6Zn3Ag) and the Mg1Ca alloy. Dulbecco’s Modified Eagle Medium (DMEM) and Kokubo’s simulated body fluid solution (SBF) were selected as testing mediums and we follow the corrosion evaluation by the corrosion rate and mass loss. Also, the corrosion behaviour was interpreted in correlation with the microstructural features and alloying elements of the experimental magnesium-based alloys revealed by optical microscopy (OM), X-ray diffraction (XRD), and scanning electron microscopy (SEM) coupled with energy dispersive spectroscopy (EDX). The experimental results highlight the more corrosive nature of the SBF environment and that a higher percentage of silver (2.5 wt.%) exhibited a better corrosion resistance. We consider that the magnesium alloy Mg6Zn3Ag showed valuable biodegradation characteristics to be considered as raw materials for manufacturing small trauma implants. Full article
Show Figures

Figure 1

17 pages, 7670 KB  
Article
Influence of Al Addition on the Microstructure and Mechanical Properties of Mg-Zn-Sn-Mn-Ca Alloys
by Shujuan Yan, Caihong Hou, Angui Zhang and Fugang Qi
Materials 2023, 16(10), 3664; https://doi.org/10.3390/ma16103664 - 11 May 2023
Cited by 3 | Viewed by 1953
Abstract
The effects of Al addition on the microstructure and mechanical properties of Mg-Zn-Sn-Mn-Ca alloys are studied in this paper. It was found that the Mg-6Sn-4Zn-1Mn-0.2Ca-xAl (ZTM641-0.2Ca-xAl, x = 0, 0.5, 1, 2 wt.%; hereafter, all compositions are in weight percent unless stated otherwise) [...] Read more.
The effects of Al addition on the microstructure and mechanical properties of Mg-Zn-Sn-Mn-Ca alloys are studied in this paper. It was found that the Mg-6Sn-4Zn-1Mn-0.2Ca-xAl (ZTM641-0.2Ca-xAl, x = 0, 0.5, 1, 2 wt.%; hereafter, all compositions are in weight percent unless stated otherwise) alloys have α-Mg, Mg2Sn, Mg7Zn3, MgZn, α-Mn, CaMgSn, AlMn, Mg32(Al,Zn)49 phases. The grain is also refined when the Al element is added, and the angular-block AlMn phases are formed in the alloys. For the ZTM641-0.2Ca-xAl alloy, the higher Al content is beneficial to elongation, and the double-aged ZTM641-0.2Ca-2Al alloy has the highest elongation, which is 13.2%. The higher Al content enhances the high-temperature strength for the as-extruded ZTM641-0.2Ca alloy; overall, the as-extruded ZTM641-0.2Ca-2Al alloy has the best performance; that is, the tensile strength and yield strength of the ZTM641-0.2Ca-2Al alloy are 159 MPa and 132 MPa at 150 °C, and 103 MPa and 90 MPa at 200 °C, respectively. Full article
Show Figures

Figure 1

11 pages, 4626 KB  
Article
On the Aging Kinetics of a Flame-Resistant AZ91D-1.5%Ca Magnesium Alloy Processed with Ultrasonic Vibration
by Inês V. Gomes, Fabrizio D’Errico, José L. Alves and Hélder Puga
Materials 2023, 16(8), 3152; https://doi.org/10.3390/ma16083152 - 17 Apr 2023
Cited by 2 | Viewed by 2059
Abstract
The Mg-Al-Zn-Ca system has demonstrated excellent flame resistance and mechanical properties in the as-cast condition. However, the potential of these alloys to be heat-treated, e.g., by aging, as well as the influence of the initial microstructure on the precipitation kinetics, is yet to [...] Read more.
The Mg-Al-Zn-Ca system has demonstrated excellent flame resistance and mechanical properties in the as-cast condition. However, the potential of these alloys to be heat-treated, e.g., by aging, as well as the influence of the initial microstructure on the precipitation kinetics, is yet to be comprehensively explored. Ultrasound treatment was applied during the solidification of an AZ91D-1.5%Ca alloy to promote microstructure refinement. Samples from treated and non-treated ingots were subjected to solution treatment at 415 °C for 480 min, followed by aging at 175 °C for up to 4920 min. The results showed that the ultrasound-treated material could reach the peak-age condition in a shorter period than the non-treated one, suggesting accelerated precipitation kinetics and, thus, enhanced aging response. However, the tensile properties showed a decrease in the peak age compared to the as-cast condition, probably due to the formation of precipitates at the grain boundaries that promote the formation of microcracks and intergranular early fracture. This research shows that tailoring the material’s as-cast microstructure may positively affect its aging response, shortening the heat treatment duration, thereby making the process less expensive and more sustainable. Full article
(This article belongs to the Special Issue Physical Metallurgy of Metals and Alloys)
Show Figures

Figure 1

14 pages, 13766 KB  
Article
Effect of Heat Treatment on the Dry Sliding Wear Behavior of the Mg-3Zn-0.4Ca Alloy for Biodegradable Implants
by Nuria Pulido-González, Sonia García-Rodríguez, Belén Torres and Joaquin Rams
Materials 2023, 16(2), 661; https://doi.org/10.3390/ma16020661 - 10 Jan 2023
Cited by 8 | Viewed by 2072
Abstract
The wear behavior of the Mg-3wt.% Zn-0.4wt.% Ca (ZX30) alloy was tested using a pin-on-disc configuration with AZ31 alloy discs as counterparts under dry sliding conditions. The ZX30 alloy was tested in different states: as-cast, solution-treated, peak-aged, and over-aged. Wear rates and friction [...] Read more.
The wear behavior of the Mg-3wt.% Zn-0.4wt.% Ca (ZX30) alloy was tested using a pin-on-disc configuration with AZ31 alloy discs as counterparts under dry sliding conditions. The ZX30 alloy was tested in different states: as-cast, solution-treated, peak-aged, and over-aged. Wear rates and friction coefficients were measured at different loads and sliding speeds. Abrasion and oxidation were the main wear mechanisms found in all the conditions tested. Moreover, aluminum oxides were detected on the worn surfaces, which indicates the presence of an adhesive wear mechanism. The wear behavior of the studied ZX30 alloy showed a greater tendency towards oxidative wear than other Mg alloys, and the microstructure observed strongly affected the wear behavior. Full article
Show Figures

Figure 1

14 pages, 3182 KB  
Article
Potentiometric Chemical Sensors Based on Metal Halide Doped Chalcogenide Glasses for Sodium Detection
by Maria Bokova, Steven Dumortier, Christophe Poupin, Renaud Cousin, Mohammad Kassem and Eugene Bychkov
Sensors 2022, 22(24), 9986; https://doi.org/10.3390/s22249986 - 18 Dec 2022
Cited by 6 | Viewed by 3878
Abstract
Chalcogenide glasses are widely used as sensitive membranes in the chemical sensors for heavy metal ions detection. The lack of research work on sodium ion-selective electrodes (Na+-ISEs) based on chalcogenide glasses is due to the high hygroscopicity of alkali dopes chalcogenides. [...] Read more.
Chalcogenide glasses are widely used as sensitive membranes in the chemical sensors for heavy metal ions detection. The lack of research work on sodium ion-selective electrodes (Na+-ISEs) based on chalcogenide glasses is due to the high hygroscopicity of alkali dopes chalcogenides. However, sodium halide doped Ga2S3-GeS2 glasses are more chemically stable in water and could be used as Na+-sensitive membranes for the ISEs. In this work we have studied the physico-chemical properties of mixed cation (AgI)x(NaI)30-x(Ga2S3)26(GeS2)44 chalcogenide glasses (where x = 0, 7.5, 15, 22.5 and 30 mol.% AgI) using density, DSC, and conductivity measurements. The mixed cation effect with shallow conductivity and glass transition temperature minimum was found for silver fraction r = Ag/(Na + Ag) ≈ 0.5. Silver addition decreases the moisture resistance of the glasses. Only (AgI)22.5(NaI)7.5(Ga2S3)26(GeS2)44 composition was suitable for chemical sensors application, contrary to the single cation sodium halide doped Ga2S3-GeS2 glasses, where 15 mol.% sodium-halide-containing vitreous alloys are stable in water solutions. The analytical parameters of (NaCl)15(Ga2S3)23(GeS2)62; (NaI)15(Ga2S3)23(GeS2)62 and (AgI)22.5(NaI)7.5(Ga2S3)26(GeS2)44 glass compositions as active membranes in Na+-ISEs were investigated, including detection limit, sensitivity, linearity, ionic selectivity (in the presence of K+, Mg2+, Ca2+, Ba2+, and Zn2+ interfering cations), reproducibility and optimal pH-range. Full article
(This article belongs to the Special Issue Chalcogenide Glass Based Sensors)
Show Figures

Figure 1

10 pages, 6766 KB  
Article
Microstructure and Mechanical Properties of EK30 Alloy Synergistically Reinforced by Ag Alloying and Hot Extrusion for Aerospace Applications
by Daohe Zhang, Sicong Zhao, Hongtao Chen, Yicheng Feng, Erjun Guo and Jingfang Li
Materials 2022, 15(23), 8613; https://doi.org/10.3390/ma15238613 - 2 Dec 2022
Cited by 6 | Viewed by 1707
Abstract
Enhancing the mechanical properties of magnesium alloys to meet the urgent need for their lightweight applications in the aerospace field has always been a great challenge. Herein, the effect of Ag on the microstructure and tensile properties of the Mg−2.5Nd−1.0Sm−0.4Zn−0.1Ca−0.5Zr (EK30) alloy prepared [...] Read more.
Enhancing the mechanical properties of magnesium alloys to meet the urgent need for their lightweight applications in the aerospace field has always been a great challenge. Herein, the effect of Ag on the microstructure and tensile properties of the Mg−2.5Nd−1.0Sm−0.4Zn−0.1Ca−0.5Zr (EK30) alloy prepared by integrated extrusion and equal-channel angular pressing is studied. The microstructure of as-extruded alloys consists of α-Mg grains and the β phase. The addition of Ag increases the β-phase content. The β phase can promote dynamic recrystallization by inducing a particle-stimulated nucleation mechanism and inhibiting grain growth, which leads to grain refinement and texture weakening. At 250 °C, the ultimate tensile strength of the EK30–2.0Ag alloy (225.9 MPa) increased by 13.8% compared to the Ag-free alloy (198.4 MPa). When the tensile temperature increased from 25 °C to 250 °C, the ultimate tensile strength of the EK30–2.0Ag alloy decreased by 14.3%, from 263.7 MPa to 225.9 MPa. Notably, the addition of Ag slightly reduced the elongation of the alloy at 250 °C; the elongations of the EK30–2.0Ag alloy and the EK30 alloy are 41.5% and 37.0%, respectively. The elongation of the EK30–2.0Ag alloy increased from 22.7% at 25 °C to 52.7% at 275 °C. All alloy tensile fractures exhibited typical plastic fracture characteristics. This study provides an effective way to enhance the high-temperature mechanical properties of magnesium alloys by Ag alloying and a special severe plastic deformation method. Full article
Show Figures

Figure 1

38 pages, 13674 KB  
Article
Mineralogical and Fluid Inclusion Evidence for Reworking of Au Mineralization by Ag-Sb-Base Metal-Rich Fluids from the Bytíz Deposit, Příbram Uranium and Base-Metal Ore District, Czech Republic
by Jiří Sejkora, Zdeněk Dolníček, Jiří Zachariáš, Jana Ulmanová, Vladimír Šrein and Pavel Škácha
Minerals 2022, 12(12), 1539; https://doi.org/10.3390/min12121539 - 29 Nov 2022
Cited by 6 | Viewed by 3257
Abstract
This mineralogical and fluid inclusion study was conducted on an Au-bearing quartz–sulfide vein encountered in the deep parts of the Bytíz deposit in the Příbram uranium and base-metal district, Bohemian Massif, Czech Republic. The samples were taken where the Au-bearing vein is crosscut [...] Read more.
This mineralogical and fluid inclusion study was conducted on an Au-bearing quartz–sulfide vein encountered in the deep parts of the Bytíz deposit in the Příbram uranium and base-metal district, Bohemian Massif, Czech Republic. The samples were taken where the Au-bearing vein is crosscut by the common base-metal Zn-Pb ore vein Bt23C. The early mineralization of the Au-bearing vein is composed mainly of quartz (Q-1 to Q-3), illite–muscovite, Fe-Mg chlorite, arsenopyrite, and Au-Ag alloys, showing a wide range of compositions (4–69 at. % Ag) and a decrease in Au/(Au + Ag) ratios during vein evolution. Younger hydrothermal processes led to the crystallization of nests and veinlets composed of late quartz (Q-4), carbonates (siderite, dolomite–ankerite and calcite), base-metal sulfides (galena, sphalerite, chalcopyrite, and tetrahedrite), a suite of Ag and Bi-tellurides, and acanthite. The input of Sb is manifested by the partial to complete replacement of some gold grains by aurostibite and an unnamed (Ag,Au)-Sb oxide with a composition close to AuSbO3. The fluid inclusion study, combined with chlorite thermometry and arsenopyrite thermometry, showed that the early mineralization crystallized from progressively cooled (from 300 to 400 °C down to ca. 180 °C), diluted (1.2–7.0 wt. % NaCl eq.) aqueous solutions. The late portion of the mineralization formed from aqueous fluids with highly variable salinity (0.2–23.4 wt. % NaCl eq.) and homogenization temperatures decreasing from ca. 250 °C to < 50 °C, which compare well with the base-metal mineralization of the vein Bt23C and other base-metal veins of the Příbram ore area. Our study illustrates the nature and intensity of the processes of the reworking of the early gold mineralization mediated by the younger Ag,Sb-rich base-metal fluids, giving rise to Příbram’s typical late-Variscan vein Zn-Pb mineralization. Full article
(This article belongs to the Special Issue Geochemistry and Genesis of Hydrothermal Ore Deposits)
Show Figures

Figure 1

15 pages, 5173 KB  
Article
Influence of Milling Time on Phase Composition and Product Structure of Mg-Zn-Ca-Ag Alloys Obtained by Mechanical Synthesis
by Sabina Lesz, Małgorzata Karolus, Adrian Gabryś and Marek Kremzer
Materials 2022, 15(20), 7333; https://doi.org/10.3390/ma15207333 - 20 Oct 2022
Cited by 7 | Viewed by 2099
Abstract
Magnesium-based alloys are widely used in the construction of automotive, aviation, and medical applications. The solutions presently used for the production of biodegradable materials are characterized by considerable energy consumption and limitations resulting from the use of different devices and technologies. The proposed [...] Read more.
Magnesium-based alloys are widely used in the construction of automotive, aviation, and medical applications. The solutions presently used for the production of biodegradable materials are characterized by considerable energy consumption and limitations resulting from the use of different devices and technologies. The proposed material is easier to manufacture due to mechanical alloying (MA). Thanks to the MA process, it is possible to carefully tailor the desired chemical composition and microstructure. There are many parameters that can be modified during synthesis in order to obtain an alloy with the desired microstructure and specific expected alloy properties. The duration of grinding of the alloy, the size and number of balls, and the protective atmosphere have a great influence on the process of mechanical alloying and the properties of the obtained products. So, the aim of this work was to determine the influence of milling time on the phase composition and structure of Mg-based alloy synthesis products. The tested samples were milled for 5, 8, 13, 20, 30, 50, and 70 h. X-ray diffraction analysis (XRD) and scanning electron microscopy studies (SEM) with energy-dispersive spectroscopy (EDS) were performed to obtain the powder morphology and chemical composition of Mg66−xZn30Ca4Agx (where x = 1, 2) powders. Structure characterization based on the Rietveld refinement and crystallite size determination based on the Williamson–Hall theory of milling products were also carried out. Full article
Show Figures

Figure 1

40 pages, 13655 KB  
Review
Significance of Alloying Elements on the Mechanical Characteristics of Mg-Based Materials for Biomedical Applications
by Sachin Kumar Sharma, Kuldeep Kumar Saxena, Vinayak Malik, Kahtan A. Mohammed, Chander Prakash, Dharam Buddhi and Saurav Dixit
Crystals 2022, 12(8), 1138; https://doi.org/10.3390/cryst12081138 - 12 Aug 2022
Cited by 101 | Viewed by 10547
Abstract
Magnesium alloys are widely employed in various applications due to their high strength-to-weight ratio and superior mechanical properties as compared to unalloyed Magnesium. Alloying is considered an important way to enhance the strength of the metal matrix composite but it significantly influences the [...] Read more.
Magnesium alloys are widely employed in various applications due to their high strength-to-weight ratio and superior mechanical properties as compared to unalloyed Magnesium. Alloying is considered an important way to enhance the strength of the metal matrix composite but it significantly influences the damping property of pure magnesium, while controlling the rate of corrosion for Mg-based material remains critical in the biological environment. Therefore, it is essential to reinforce the magnesium alloy with a suitable alloying element that improves the mechanical characteristics and resistance to corrosion of Mg-based material. Biocompatibility, biodegradability, lower stress shielding effect, bio-activeness, and non-toxicity are the important parameters for biomedical applications other than mechanical and corrosion properties. The development of various surface modifications is also considered a suitable approach to control the degradation rate of Mg-based materials, making lightweight Mg-based materials highly suitable for biomedical implants. This review article discusses the various binary and ternary Mg alloys, which are mostly composed of Al, Ca, Zn, Mn, and rare earth (RE) elements as well as various non-toxic elements which are Si, Bi, Ag, Ca, Zr, Zn, Mn, Sr, Li, Sn, etc. The effects of these alloying elements on the microstructure, the mechanical characteristics, and the corrosion properties of Mg-based materials were analyzed. The mechanical and corrosion behavior of Mg-based materials depends upon the percentage of elements and the number of alloying elements used in Mg. The outcomes suggested that ZEK100, WE43, and EW62 (Mg-6% Nd-2% Y-0.5% Zr) alloys are effectively used for biomedical applications, having preferable biodegradable, biocompatible, bioactive implant materials with a lower corrosion rate. Full article
Show Figures

Figure 1

20 pages, 10922 KB  
Article
Electroless Deposits of ZnO and Hybrid ZnO/Ag Nanoparticles on Mg-Ca0.3 Alloy Surface: Multiscale Characterization
by José Luis González-Murguía, Veleva Lucien and Mario Alpuche-Avilés
Coatings 2022, 12(8), 1109; https://doi.org/10.3390/coatings12081109 - 3 Aug 2022
Cited by 4 | Viewed by 3164
Abstract
ZnO and hybrid of ZnO/Ag structures in the nanometer size were electroless deposited on the Mg-Ca0.3 alloy surface, achieved from aqueous solutions (10−3 M at 21 °C) of ZnO (suspension), Zn(NO3)2 and AgNO3. The surface characterization of [...] Read more.
ZnO and hybrid of ZnO/Ag structures in the nanometer size were electroless deposited on the Mg-Ca0.3 alloy surface, achieved from aqueous solutions (10−3 M at 21 °C) of ZnO (suspension), Zn(NO3)2 and AgNO3. The surface characterization of the deposits was carried out by Scanning Electron Microscopy-Energy Dispersive Spectroscopy (SEM-EDS), X-Ray Photoelectron Spectroscopy (XPS), Fourier transform infrared (FTIR), UV-Visible and Raman spectroscopy. The nanoparticles (NPs) area size distribution analysis revealed that the average of ZnO-NPs was ~85 nm. Likewise, the Ag-NPs of electroless deposits had an average area size of ~100 nm and nucleated in the vicinity of ZnO-NPs as Ag+ ions have been attracted by the negatively charged O2− atoms of the Zn-O dipole. The ZnO-NPs had the wurtzite structure, as indicated by Raman spectroscopy analysis and XRD complementary analysis. The UV-Visible spectroscopy analysis gave a peak at ~320 nm associated with the decrease in the imaginary part (k) of the refractive index of Ag-NPs. On the Mg-Ca0.3 surface, MgO, Mg(OH)2 and MgCO3 are present due to the Mg-matrix. XRD spectra of Ag-NPs indicated the presence of planes arranged with the FCC hexagonal structure. The reported hybrid ZnO/Ag electroless deposits of NPs are of interest for temporary implant devices, providing antibacterial properties to Mg-Ca0.3 surface, a widely used biodegradable material. Full article
(This article belongs to the Section Surface Characterization, Deposition and Modification)
Show Figures

Figure 1

Back to TopTop