Sign in to use this feature.

Years

Between: -

Subjects

remove_circle_outline
remove_circle_outline
remove_circle_outline
remove_circle_outline
remove_circle_outline

Journals

Article Types

Countries / Regions

Search Results (5)

Search Parameters:
Keywords = Konjac glucomannan oligosaccharides

Order results
Result details
Results per page
Select all
Export citation of selected articles as:
17 pages, 3448 KB  
Article
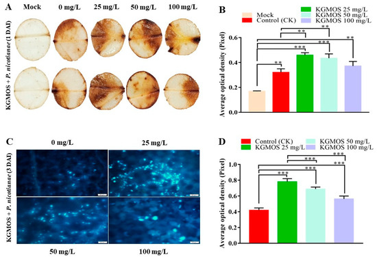
Konjac Glucomannan Oligosaccharides (KGMOS) Confers Innate Immunity against Phytophthora nicotianae in Tobacco
by Md Mijanur Rahman Rajib, Kuikui Li, Md Saikat Hossain Bhuiyan, Wenxia Wang, Jin Gao and Heng Yin
Agriculture 2024, 14(8), 1289; https://doi.org/10.3390/agriculture14081289 - 5 Aug 2024
Cited by 3 | Viewed by 1716
Abstract
In this study, KGMOS (DP, 2-13), derived from KGM (Konjac glucomannan), was applied to elucidate plant immunity in a Nicotiana benthamiana Phytophthora nicotianae model. Application of KGMOS (25–100 mg/L) notably inhibited P. nicotianae, resulting in reduced disease indices and a significant accumulation [...] Read more.
In this study, KGMOS (DP, 2-13), derived from KGM (Konjac glucomannan), was applied to elucidate plant immunity in a Nicotiana benthamiana Phytophthora nicotianae model. Application of KGMOS (25–100 mg/L) notably inhibited P. nicotianae, resulting in reduced disease indices and a significant accumulation of defense molecules such as H2O2 and callose. Transcriptomic analysis revealed that genes shared between KGMOS-treated and control plants are involved in signaling pathways, transcription regulation, hydrogen peroxide catabolism, and oxidative stress response. This suggests that KGMOS triggers H2O2 accumulation, callose deposition, and activation of the salicylic acid (SA) and jasmonic acid/ethylene (JA/ET) pathways after pathogen inoculation. Upregulated defense-response genes in the KGMOS group included SA-related late blight-resistant, pathogenesis-related (PR), and JA/ET-related ethylene response factor (ERF) genes. Heatmap analysis showed more upregulated defense genes (PR and NPR) related to SA in the KGMOS-treated group than in controls. RT-qPCR validation revealed significant upregulation of SA and JA/ET pathway genes in KGMOS-treated plants. Higher SA content in these plants suggests enhanced disease resistance. This study concludes that KGMOS pre-treatment induced resistance against P. nicotianae, especially at a lower concentration (25 mg/L). These findings could offer valuable insights for the future application of KGMOS in controlling plant diseases for sustainable agriculture and postharvest management. Full article
(This article belongs to the Section Crop Protection, Diseases, Pests and Weeds)
Show Figures

Figure 1

20 pages, 5917 KB  
Article
Impact of Combined Prebiotic Galacto-Oligosaccharides and Bifidobacterium breve-Derived Postbiotic on Gut Microbiota and HbA1c in Prediabetic Adults: A Double-Blind, Randomized, Placebo-Controlled Study
by Beyda Beteri, Monica Barone, Silvia Turroni, Patrizia Brigidi, George Tzortzis, Jelena Vulevic, Karol Sekulic, Diana-Elena Motei and Adele Costabile
Nutrients 2024, 16(14), 2205; https://doi.org/10.3390/nu16142205 - 10 Jul 2024
Cited by 12 | Viewed by 7060
Abstract
The complex interactions between intestinal microbiota and metabolic disorders are well-documented, with implications for glucose metabolism, energy expenditure, and intestinal permeability. Prebiotics induce beneficial changes in gut microbiota composition in prediabetes, while postbiotics can enhance gut barrier function, complementing each other to improve [...] Read more.
The complex interactions between intestinal microbiota and metabolic disorders are well-documented, with implications for glucose metabolism, energy expenditure, and intestinal permeability. Prebiotics induce beneficial changes in gut microbiota composition in prediabetes, while postbiotics can enhance gut barrier function, complementing each other to improve glucose metabolism and insulin sensitivity. This study investigated the effects of a 12-week dietary fibre (DF) supplement on gut health, metabolic function, and diet. The supplement contained konjac glucomannan (KGM), galacto-oligosaccharides (GOSs), and exopolysaccharides (EPSs) from Bifidobacterium breve. In a randomised, double-blind, placebo-controlled, parallel-group clinical trial, 53 prediabetic volunteers were randomly assigned to either a daily DF supplement (YMETA) or a placebo (cellulose microcrystalline) for 12 weeks, followed by a 4-week follow-up. Measurements included gut microbiota composition, glycated haemoglobin (HbA1c), fasting plasma glucose (FPG), plasma lipids, anthropometry, body composition, blood pressure, and dietary intake. The intervention group showed a significant increase in alpha diversity and butyrate-producing bacteria, with reductions in HbA1c and FPG levels below prediabetes thresholds. No significant changes were observed in the placebo group. This study suggests that manipulating the human gut microbiome through dietary interventions could be a promising therapeutic approach to managing prediabetes and preventing or delaying diabetes. Full article
(This article belongs to the Special Issue The Role of Bioactive Compounds in Immunity and Metabolism)
Show Figures

Figure 1

15 pages, 2672 KB  
Article
Identification and Characterization of a Novel Mannanase from Klebsiella grimontii
by Changzheng Chen, Kuikui Li, Tang Li, Junyan Li, Qishun Liu and Heng Yin
Bioengineering 2023, 10(10), 1230; https://doi.org/10.3390/bioengineering10101230 - 21 Oct 2023
Cited by 4 | Viewed by 2201
Abstract
Konjac glucomannan (KGM) is a natural polysaccharide derived from konjac, which has been widely used in various fields due to its numerous beneficial properties. However, the high viscosity and water absorption of KGM limit its application. Compared with KGM, Konjac glucomannan oligosaccharides (KGMOS) [...] Read more.
Konjac glucomannan (KGM) is a natural polysaccharide derived from konjac, which has been widely used in various fields due to its numerous beneficial properties. However, the high viscosity and water absorption of KGM limit its application. Compared with KGM, Konjac glucomannan oligosaccharides (KGMOS) have higher water solubility and stronger application value. In this paper, a novel mannanase KgManA was cloned from Klebsiella grimontii to develop a new KGMOS-producing enzyme. Bioinformatic analysis shows that the structural similarity between KgManA and other enzymes was less than 18.33%. Phylogenetic analysis shows that KgManA shares different branches with the traditional mannanases containing the CMB35 domain, indicating that it is a novel mannanase. Then, the enzymatic properties were determined and substrate specificity was characterized. Surprisingly, KgManA is stable in a very wide pH range of 3.0 to 10.0; it has a special substrate specificity and seems to be active only for mannans without galactose in the side chain. Additionally, the three-dimensional structure of the enzyme was simulated and molecular docking of the mannotetraose substrate was performed. As far as we know, this is the first report to characterize the enzymatic properties and to simulate the structure of mannanase from K. grimontii. This work will contribute to the development and characterization of novel K. grimontii-derived mannanases. The above results indicate that KgManA is a promising tool for the production of KGMOS. Full article
Show Figures

Figure 1

12 pages, 2648 KB  
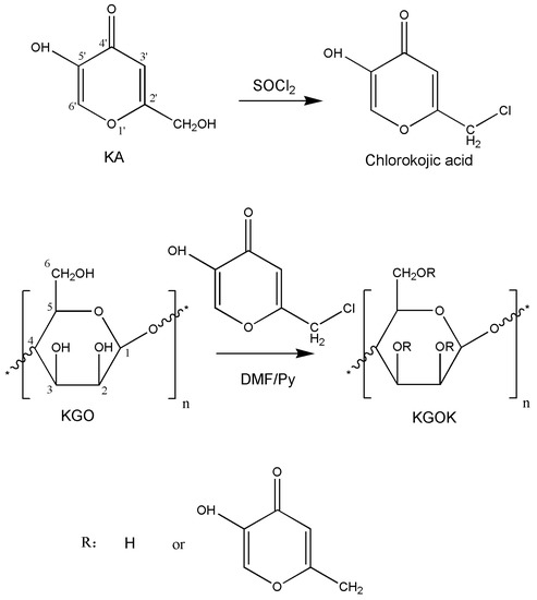
Article
Synthesis, Antimicrobial, Moisture Absorption and Retention Activities of Kojic Acid-Grafted Konjac Glucomannan Oligosaccharides
by Lin Song, Wancui Xie, Yukun Zhao, Xinyao Lv, Huanbin Yang, Qingpei Zeng, Zuoxing Zheng and Xihong Yang
Polymers 2019, 11(12), 1979; https://doi.org/10.3390/polym11121979 - 1 Dec 2019
Cited by 24 | Viewed by 3950
Abstract
Kojic acid (KA) with antibacterial activities produced by fermentation was grafted onto konjac glucomannan oligosaccharide (KGO) composed of glucose and mannose linked by β-1,4 glycosidic bonds. A novel KGO derivative, konjac glucomannan oligosaccharide kojic acid (KGOK) possessing both moisture retention and antibacterial activities [...] Read more.
Kojic acid (KA) with antibacterial activities produced by fermentation was grafted onto konjac glucomannan oligosaccharide (KGO) composed of glucose and mannose linked by β-1,4 glycosidic bonds. A novel KGO derivative, konjac glucomannan oligosaccharide kojic acid (KGOK) possessing both moisture retention and antibacterial activities was synthesized. The structure of KGOK was characterized and analyzed by thermogravimetric analysis (TG), XRD, UV–vis absorption, FTIR, and 1H NMR. The analysis results suggest that KA was linked to the KGO molecular chain through a covalent bond, and the reaction site of KA was the methylol group. The studies demonstrate that KGOK maintained the excellent moisture absorption and retention properties of KGO and the good antibacterial activities of KA. The minimum inhibitory concentration (MIC) of KGOK is 2 mg/mL for Staphylococcus aureus, Staphylococcus epidermidis, Shewanella putrefaciens, and Salmonella enterica, while its MIC is 3 mg/mL for Escherichia coli. The multi-functionality of the KGOK synthesized from natural sources provides a theoretical foundation for their potential applications in the preservation of food, beverage, aquatic, and cosmetic products. Full article
Show Figures

Graphical abstract

17 pages, 1190 KB  
Review
Functional Role of Probiotics and Prebiotics on Skin Health and Disease
by Vasiliki Lolou and Mihalis I. Panayiotidis
Fermentation 2019, 5(2), 41; https://doi.org/10.3390/fermentation5020041 - 17 May 2019
Cited by 96 | Viewed by 52884
Abstract
Scientific and commercial interest of probiotics, prebiotics and their effect on human health and disease has increased in the last decade. The aim of this review article is to evaluate the role of pro- and prebiotics on the normal function of healthy skin [...] Read more.
Scientific and commercial interest of probiotics, prebiotics and their effect on human health and disease has increased in the last decade. The aim of this review article is to evaluate the role of pro- and prebiotics on the normal function of healthy skin as well as their role in the prevention and therapy of skin disease. Lactobacilli and Bifidobacterium are the most commonly used probiotics and thought to mediate skin inflammation, treat atopic dermatitis (AD) and prevent allergic contact dermatitis (ACD). Probiotics are shown to decolonise skin pathogens (e.g., P. aeruginosa, S. aureus, A. Vulgaris, etc.) while kefir is also shown to support the immunity of the skin and treat skin pathogens through the production of antimicrobial substances and prebiotics. Finally, prebiotics (e.g., Fructo-oligosaccharides, galacto-oligosaccharides and konjac glucomannan hydrolysates) can contribute to the treatment of diseases including ACD, acne and photo aging primarily by enhancing the growth of probiotics. Full article
(This article belongs to the Special Issue Probiotics and Prebiotics: New Knowledge)
Show Figures

Figure 1

Back to TopTop