Sign in to use this feature.

Years

Between: -

Subjects

remove_circle_outline
remove_circle_outline
remove_circle_outline
remove_circle_outline
remove_circle_outline
remove_circle_outline
remove_circle_outline
remove_circle_outline
remove_circle_outline

Journals

Article Types

Countries / Regions

Search Results (21)

Search Parameters:
Keywords = JMP software

Order results
Result details
Results per page
Select all
Export citation of selected articles as:
18 pages, 1552 KB  
Article
Comparative Analysis of Manual ELISA and Ella, an Automated Instrument for ELISA, in Measuring Serum Galectin-3 Levels in Breast Cancer Patient Samples
by Ella G. Markalunas, Shannon E. Harold, David H. Arnold, Julie C. Martin, W. Jeffery Edenfield and Anna V. Blenda
Cancers 2025, 17(19), 3206; https://doi.org/10.3390/cancers17193206 - 1 Oct 2025
Abstract
Background: Circulating galectin-3 (Gal-3) levels have been indicated as a promising diagnostic, prognostic, and therapeutic target in breast cancer patients. Specifically, serum galectin-3 levels are traditionally measured using manual Enzyme-Linked Immunosorbent Assay (ELISA), but recent automated methods, such as Simple Plex assay [...] Read more.
Background: Circulating galectin-3 (Gal-3) levels have been indicated as a promising diagnostic, prognostic, and therapeutic target in breast cancer patients. Specifically, serum galectin-3 levels are traditionally measured using manual Enzyme-Linked Immunosorbent Assay (ELISA), but recent automated methods, such as Simple Plex assay by ProteinSimple™ run on an Ella instrument, have shown promising evidence of being more efficient and less error-prone than manual methods. This paper aims to assess whether there are differences in serum galectin-3 measurements between manual and automated ELISA methods. Methods: Serum galectin-3 levels were initially analyzed from one hundred and fifteen breast cancer samples using both manual ELISA and the Ella instrument. Following coefficient of variation (CV) and outlier analysis, ninety-five samples were analyzed further with JMP statistical software to perform Shapiro-Wilk, Spearman’s correlation, Wilcoxon signed-rank, and regression analyses. Results: The Ella instrument resulted in significantly lower CV values, confirming that it is more precise and reliable than manual ELISA methods. There was a moderate correlation between ELISA and Ella measurements (r = 0.49, p < 0.0001), but a Wilcoxon signed-rank test revealed that serum gaelectin-3 measurements obtained with the Ella instrument were significantly lower compared to those obtained with manual ELISA, with a mean difference of −5.19 ng/mL (p < 0.0001). Regression analysis showed a significant increase in the difference between manual ELISA and Ella measurements as serum galectin-3 levels increase (p < 0.0001). This difference in measurements between manual and automated ELISA techniques remained consistent when analyses were performed within each breast cancer stage, immunophenotype, and histology. Conclusions: While the Ella instrument is a fast and reliable tool, the discrepancies between manual ELISA and the Ella instrument in quantifying serum galectin-3 levels are important to consider prior to widespread use. Full article
(This article belongs to the Section Methods and Technologies Development)
Show Figures

Figure 1

14 pages, 4803 KB  
Article
Developing JMP and VBA Add-Ins for Finite Mixture Modeling of Cotton Fiber Length Distribution
by Mourad Krifa, Vinusha Garlapati, Vikki B. Martin and Neha Kothari
Fibers 2025, 13(7), 91; https://doi.org/10.3390/fib13070091 - 2 Jul 2025
Viewed by 718
Abstract
In this study, software add-ins were developed and presented to allow data processing and statistical analysis of the unique shape of cotton fiber length distribution. The approach uses VBA coding in Excel to process the data, as well as the JMP 14-17 application [...] Read more.
In this study, software add-ins were developed and presented to allow data processing and statistical analysis of the unique shape of cotton fiber length distribution. The approach uses VBA coding in Excel to process the data, as well as the JMP 14-17 application and add-in builder tools to fit finite mixture models to empirical fiber length distributions. The resulting model derives a parametric expression for the fiber length probability density function. The analysis add-in was applied and validated on a wide range of empirical length distributions and proved to parameterize the complex distribution patterns with an excellent goodness of fit. Both tools were compiled into installable add-ins that extended the capabilities of MS Excel for the processing of AFIS distribution reports and the statistical toolbox of JMP using the Application Builder JSL coding. Installable add-ins, along with a user manual, are available for download by cotton researchers. Full article
Show Figures

Figure 1

16 pages, 5820 KB  
Article
Optimization of Plating Parameters and Properties of Ultrasonic-Assisted Jet-Electrodeposited Ni-W-Al2O3 Nanocomposite Coatings
by Mengyu Cao, Dehao Tian, Xue Guo and Wei Li
Int. J. Mol. Sci. 2025, 26(6), 2404; https://doi.org/10.3390/ijms26062404 - 7 Mar 2025
Cited by 1 | Viewed by 715
Abstract
Ni-W-Al2O3 nanocomposite coatings were fabricated using ultrasonic-assisted jet electrodeposition (UAJED) to improve the wear resistance of agricultural machinery parts. To find the best combination of process parameters, the response surface plotter, contour plotter, and pre-set plotter in the JMP (version [...] Read more.
Ni-W-Al2O3 nanocomposite coatings were fabricated using ultrasonic-assisted jet electrodeposition (UAJED) to improve the wear resistance of agricultural machinery parts. To find the best combination of process parameters, the response surface plotter, contour plotter, and pre-set plotter in the JMP (version Pro 14.3.0) software were employed to investigate the effects of various process parameters (jet rate, Al2O3 content, and ultrasonic power) on the microhardness of the nanocomposite coatings. The surface morphology, microstructure, and properties of the coatings, which were prepared under various combinations of process parameters, were studied through scanning electron microscopy (SEM), an X-ray diffractometer (XRD), transmission electron microscopy (TEM), a microhardness tester, and tribemates to determine the optimal process parameters for creating Ni-W-Al2O3 nanocomposite coatings. The results indicated that the jet rate, Al2O3 content, ultrasonic power, interaction terms, and quadratic terms significantly influenced the microhardness of the coatings. The optimized process parameters using the JMP software were a jet rate of 3.71 m/s, Al2O3 content of 15.38 g/L, and ultrasonic power of 210 W. Furthermore, the coatings produced under these optimal conditions showed low wear rates and friction coefficients, a refined grain size, a dense surface topology, and a high microhardness (724.9 HV). Full article
(This article belongs to the Section Materials Science)
Show Figures

Figure 1

10 pages, 507 KB  
Article
Predictors of Persistent Pain after Total Knee Arthroplasty
by Ali H. Alyami, Mohammed A. Alkhotani, Abdulaziz Abdullah Alsiraihi, Abdulaziz Farouk Y. Bokhari, Mohammed Majed Bukhari, Omar E. Hetta, Hassan O. Bogari and Mohamed Eldigire Ahmed
Life 2024, 14(10), 1300; https://doi.org/10.3390/life14101300 - 14 Oct 2024
Cited by 2 | Viewed by 2539
Abstract
Background: Total knee arthroplasty (TKA) is an orthopedic procedure performed on patients with severe knee pain and advanced knee conditions, such as osteoarthritis and rheumatoid arthritis, in order to restore joint function. Despite the procedure’s high success rates, persistent postoperative pain (PPP) remains [...] Read more.
Background: Total knee arthroplasty (TKA) is an orthopedic procedure performed on patients with severe knee pain and advanced knee conditions, such as osteoarthritis and rheumatoid arthritis, in order to restore joint function. Despite the procedure’s high success rates, persistent postoperative pain (PPP) remains a significant complication, affecting a substantial proportion of patients. Identifying predictors of PPP is crucial for improving patient outcomes and satisfaction. Methods: A retrospective analytic study was conducted, reviewing the medical records of patients who underwent unilateral or bilateral TKA at King Abdulaziz Medical City. The data collection focused on demographics, comorbidities, clinical presentations, surgical details, and postoperative outcomes. Data were analyzed using JMP software. A p-value of less than 0.05 was considered statistically significant. Results: This study included 838 patients, predominantly female (71.5%), with an average age of 65.4 years. Osteoarthritis was the primary reason for surgery (98.3%). The mean preoperative pain score was 3.4, and the average pain duration prior to surgery was 6.2 years. We identified dyslipidemia as a significant predictor of PPP (OR 1.40, p = 0.042), while we found younger age to be a significant predictor (OR 0.979, 95% CI 0.967–0.991, p = 0.001). Other factors such as gender, diabetes, hypertension, cardiovascular disease, anxiety disorder, mood disorder, tobacco use, chronic kidney disease, chronic lung disease, and BMI were not significant predictors of PPP. Conclusion: This study identifies younger age and dyslipidemia as significant predictors of persistent postoperative pain and improved outcomes following total knee arthroplasty Further research is needed to validate these results in diverse populations and settings, with the objective should be to refine preoperative counseling and postoperative pain management protocols. Full article
(This article belongs to the Special Issue Advancements in Total Joint Arthroplasty)
Show Figures

Figure 1

14 pages, 604 KB  
Article
Assessment of Novel Protein Ingredient Arthrospira platensis and Soybean Genotype Amino Acid and Oil Selection Improvements on Broiler Performance for a 28–42 d Feeding Period
by Savannah C. Wells-Crafton, Kenneth B. Nelson, Garrett J. Mullenix, Craig W. Maynard and Michael T. Kidd
Poultry 2024, 3(3), 210-223; https://doi.org/10.3390/poultry3030017 - 9 Jul 2024
Viewed by 1741
Abstract
Two experiments were conducted to assess the efficiency of including the novel protein ingredient Arthrospira platensis or improved soybean meal in a broiler diet. The first experiment aimed to determine the feeding value of soybean meal produced from varieties of soybeans bred for [...] Read more.
Two experiments were conducted to assess the efficiency of including the novel protein ingredient Arthrospira platensis or improved soybean meal in a broiler diet. The first experiment aimed to determine the feeding value of soybean meal produced from varieties of soybeans bred for increased amino acid content (SBAA) and improved oil content (SBO) compared to a conventional soybean variety in an ANOVA design fed to Cobb 500 female broilers for 28–42 d. The SBAA and SBO soybeans contained overall higher amino acid content and lower oligosaccharide content compared to the conventional soybean variety in addition to improved oil quality. The second experiment assessed the novel protein ingredient microalgae, Arthrospira platensis (algae), and was conducted to evaluate algae and corn distillers’ grain (DDGS) inclusion on broiler performance for a 28–42 d feeding period in Cobb CF05 male broilers with a 2 × 2 factorial treatment array. Prior to the experimental period, all birds were reared on common feeds. In Experiment 1, birds were fed a diet containing 20% inclusion of an experimental soybean source in the form of full-fat soybean meal. In Experiment 2, the four dietary treatments consisted of diets containing algae at inclusion levels of either 0 or 2% and DDGS at inclusion levels of 0% and 8%. Diets were fed to 288 female broilers (Experiment 1) and 384 male broilers (Experiment 2), placed in eight replicate pens of twelve birds, and live performance was assessed from d 28 to 42. At d 42, six birds from each pen were randomly selected and processed for evaluation of carcass traits and incidence of woody breast. For Experiment 1, all performance data were analyzed using a one-way ANOVA using JMP Pro 16 software with diet as the fixed effect and block as a random effect. Statistical significance was considered at p ≤ 0.05. No significant responses were observed for any recorded measurement for live performance, carcass traits, or woody breast. All data in Experiment 2 were analyzed as a full factorial with a mixed model using JMP software with algae, DDGS, and algae × DDGS as fixed effects and block as a random effect. The F-protected Fisher’s LSD test was used to separate means when p ≤ 0.05. No significant responses were observed for the algae, DDGS, and algae × DDGS influences on BWG, FI, and FCR or processing characteristics; the ingredient source did not affect bird performance. Experimental soybean lines developed at the University of Arkansas were able to be incorporated into broiler diets without decreasing performance. Algae has the potential to be a protein-contributing ingredient for broilers. Full article
Show Figures

Figure 1

16 pages, 418 KB  
Article
Correlation Analysis of Genetic Mutations and Galectin Levels in Breast Cancer Patients
by Ella G. Markalunas, David H. Arnold, Avery T. Funkhouser, Julie C. Martin, Michael Shtutman, W. Jeffery Edenfield and Anna V. Blenda
Genes 2024, 15(6), 818; https://doi.org/10.3390/genes15060818 - 20 Jun 2024
Cited by 2 | Viewed by 2224
Abstract
Galectins are innate immune system regulators associated with disease progression in cancer. This paper aims to investigate the correlation between mutated cancer-critical genes and galectin levels in breast cancer patients to determine whether galectins and genetic profiles can be used as biomarkers for [...] Read more.
Galectins are innate immune system regulators associated with disease progression in cancer. This paper aims to investigate the correlation between mutated cancer-critical genes and galectin levels in breast cancer patients to determine whether galectins and genetic profiles can be used as biomarkers for disease and potential therapy targets. Prisma Health Cancer Institute’s Biorepository provided seventy-one breast cancer samples, including all four stages spanning the major molecular subtypes and histologies. Hotspot mutation statuses of cancer-critical genes were determined using multiplex PCR in tumor samples from the same patients by Precision Genetics and the University of South Carolina Functional Genomics Core Facility. The galectin-1, -3, and -9 levels in patients’ sera were analyzed using Enzyme-linked Immunosorbent Assay (ELISA). An analysis was performed using JMP software to compare mean and median serum galectin levels between samples with and without specific cancer-critical genes, including pooled t-test, Wilcoxon Rank Sum Test, ANOVA, and Steel Dwass Test (α=0.05). Our analysis indicates that KIT mutations correlate with elevated serum levels of galectin-9 in patients with breast cancer. In patients with Luminal A subtype, FLT3 mutation correlates with lower serum galectin-1 and -9 levels and TP53 mutations correlate with higher serum galectin-3 levels. Patients with invasive ductal carcinoma had significantly higher serum galectin-3 levels than patients with ductal carcinoma in situ. Patients with both TP53 and PIK3CA mutations exhibit elevated serum galectin-3 levels, while patients with one or neither mutation show no significant difference in serum galectin-3 levels. In addition, metastatic breast cancer samples were more likely to have a KIT or PIK3CA mutation compared to primary breast cancer samples. The relationship between genetic mutations and galectin levels has the potential to identify appropriate candidates for combined therapy, targeting genetic mutations and galectins. Further understanding of the effect of genetic mutations and galectin levels on cancer progression and metastasis could aid in the search for biomarkers for breast cancer diagnosis, disease progression, and prognosis. Full article
(This article belongs to the Special Issue Breast Cancer Ecosystem: Genomic and Proteomic Profiling)
Show Figures

Figure 1

28 pages, 10826 KB  
Article
QbD-Based Development and Evaluation of Pazopanib Hydrochloride Extrudates Prepared by Hot-Melt Extrusion Technique: In Vitro and In Vivo Evaluation
by Amit Gupta, Rashmi Dahima, Sunil K. Panda, Annie Gupta, Gaurav Deep Singh, Tanveer A. Wani, Afzal Hussain and Devashish Rathore
Pharmaceutics 2024, 16(6), 764; https://doi.org/10.3390/pharmaceutics16060764 - 4 Jun 2024
Cited by 3 | Viewed by 2261
Abstract
Background: Pazopanib hydrochloride (PZB) is a protein kinase inhibitor approved by the United States Food and Drug Administration and European agencies for the treatment of renal cell carcinoma and other renal malignancies. However, it exhibits poor aqueous solubility and inconsistent oral drug absorption. [...] Read more.
Background: Pazopanib hydrochloride (PZB) is a protein kinase inhibitor approved by the United States Food and Drug Administration and European agencies for the treatment of renal cell carcinoma and other renal malignancies. However, it exhibits poor aqueous solubility and inconsistent oral drug absorption. In this regard, the current research work entails the development and evaluation of the extrudates of pazopanib hydrochloride by the hot-melt extrusion (HME) technique for solubility enhancement and augmenting oral bioavailability. Results: Solid dispersion of the drug was prepared using polymers such as Kollidon VA64, hydroxypropylmethylcellulose (HPMC), Eudragit EPO, and Affinisol 15LV in a 1:2 ratio by the HME process through a lab-scale 18 mm extruder. Systematic optimization of the formulation variables was carried out with the help of custom screening design (JMP Software by SAS, Version 14.0) to study the impact of polymer type and plasticizer level on the quality of extrudate processability by measuring the torque value, appearance, and disintegration time as the responses. The polymer blends containing Kollidon VA64 and Affinisol 15LV resulted in respective clear transparent extrudates, while Eudragit EPO and HPMC extrudates were found to be opaque white and brownish, respectively. Furthermore, evaluation of the impact of process parameters such as screw rpm and barrel temperature was measured using a definitive screening design on the extrude appearance, torque, disintegration time, and dissolution profile. Based on the statistical outcomes, it can be concluded that barrel temperature has a significant impact on torque, disintegration time, and dissolution at 30 min, while screw speed has an insignificant impact on the response variables. Affinisol extrudates showed less moisture uptake and faster dissolution in comparison to Kollidon VA64 extrudates. Affinisol extrudates were evaluated for polymorphic stability up to a 3-month accelerated condition and found no recrystallization. PZB–Extrudates using the Affinisol polymer (Test formulation A) revealed significantly higher bioavailability (AUC) in comparison to the free Pazopanib drug and marketed formulation. Full article
Show Figures

Figure 1

15 pages, 240 KB  
Article
Evaluation of the Effectiveness of Standardized Patient Simulation as a Teaching Method in Psychiatric and Mental Health Nursing
by Eman Dawood, Sitah S. Alshutwi, Shahad Alshareif and Hanaa Abo Shereda
Nurs. Rep. 2024, 14(2), 1424-1438; https://doi.org/10.3390/nursrep14020107 - 4 Jun 2024
Cited by 10 | Viewed by 3970
Abstract
Background: The use of standardized patient simulation in psychiatric nursing education addresses the unique challenges presented by mental healthcare settings. Students’ attitudes toward clinical simulation remain predominantly favorable, with many expressing enthusiasm for the opportunities it provides in terms of embracing challenges, enhancing [...] Read more.
Background: The use of standardized patient simulation in psychiatric nursing education addresses the unique challenges presented by mental healthcare settings. Students’ attitudes toward clinical simulation remain predominantly favorable, with many expressing enthusiasm for the opportunities it provides in terms of embracing challenges, enhancing realism, and promoting critical thinking through problem solving, decision-making, and adaptability. Methods: This quantitative study used a cross-sectional, descriptive, correlation design to investigate the effectiveness of standardized patient simulation as a teaching method in the Psychiatric and Mental Health nursing course in a university setting. A total of 84 nursing students were recruited for the convenience sample. Data were collected using a three-part questionnaire survey which included the following: a demographic data sheet, the Student Satisfaction and Self-confidence in Learning Scale, and a narrative open-ended question asking the participants to write the advantages and disadvantages of their simulation experience. Data were analyzed using the statistical software JMP pro17. Results: The total satisfaction with learning subscale score ranged between 5 and 25 with a mean score of 19.36 ± 6.32. The total self-confidence subscale score ranged between 8 and 40 with a mean score of 30.87 ± 9.1. Pearson’s correlation coefficient r revealed a statistically significant positive relationship between the participants’ satisfaction with the learning experience and their self-confidence (t = 0.923, p < 0.0001). Approximately 91.7% of the students recommended using simulation. The results confirmed the students’ recommendations of simulation use in teaching psychiatric and mental health courses; furthermore, the results showed a statistically significant positive correlation with the total SSLS (p = 0.01) and satisfaction with learning subscale (0.003). Participants reported that authentic, practical, comfortable, and safe learning environments contributed to an enriched learning experience. Additionally, factors such as timesaving, access to information, cost-effectiveness, standardized teaching, varied exposure, skill development, and immediate feedback also enhanced the learning experience through patient simulation in psychiatric and mental health nursing. Conclusion: Simulations can contribute efficiently and positively to psychiatric and mental health nursing education in a manner that optimizes the learning experience while ensuring the consistency of student learning in a safe learning environment. Full article
14 pages, 3795 KB  
Article
Demography and Genealogical Analysis of Massese Sheep, a Native Breed of Tuscany
by Lorella Giuliotti, Maria Novella Benvenuti, Giovanna Preziuso, Emilia Ventura, Pancrazio Fresi and Francesca Cecchi
Animals 2024, 14(4), 582; https://doi.org/10.3390/ani14040582 - 9 Feb 2024
Viewed by 1334
Abstract
This study investigates the genealogical and demographic trends of the Massese sheep breed in Tuscany from 2001 to 2021. The Herd Book kept by the Italian Sheep and Goat Breeders Association (Asso.Na.Pa) provided the data. The descriptive statistics were analyzed using JMP software. [...] Read more.
This study investigates the genealogical and demographic trends of the Massese sheep breed in Tuscany from 2001 to 2021. The Herd Book kept by the Italian Sheep and Goat Breeders Association (Asso.Na.Pa) provided the data. The descriptive statistics were analyzed using JMP software. The pedigree parameters of a total of 311,056 animals (whole population—WP) were analyzed using CFC, ENDOG, and Pedigree viewer software. A total of 24,586 animals born in the period 2007–2021 represented the Reference Population (RP), and 18,554 animals the Base Population (BP). The demographic results showed an inconsistent trend of offspring registration. This study showed a short period of productivity for both ewes and rams, with means of 1.47 and 19.2 registered newborn ewes and rams, respectively. The genealogical analysis revealed incomplete data, highlighting inaccurate assessments of the relationships among the animals, and inbreeding with large differences among provinces. The average inbreeding coefficient in the WP was 1.16%, and it was 2.26% in the RP. The total number of inbreds was 2790 in the WP, with an average FPED of 13.56%, and 2713 in the RP, with an average FPED of 12.82%. The use of pedigree data is a key and economical approach to calculating inbreeding and relationship coefficients. It is the primary step in genetic management, playing a crucial role in the preservation of a breed. The regular updating of genealogical data is the first step to ensuring the conservation of animal genetic resources, and this study is compromised by the lack of such updates. Full article
(This article belongs to the Section Animal Genetics and Genomics)
Show Figures

Figure 1

17 pages, 7908 KB  
Article
Development of Greenhouse Gas Emission and Evaluation of Carbon Resource Use in Chosen EU Countries
by Lucia Domaracká, Marcela Taušová, Katarína Čulková, Peter Tauš and Peter Gomboš
Energies 2023, 16(3), 1254; https://doi.org/10.3390/en16031254 - 24 Jan 2023
Cited by 2 | Viewed by 1821
Abstract
The EU presently orientates its policy to a low-carbon and resource-efficient economy. In this paper, we evaluate the current situation and the developments in greenhouse gas emissions, and we will evaluate carbon resource usage in chosen EU countries from the viewpoint of greenhouse [...] Read more.
The EU presently orientates its policy to a low-carbon and resource-efficient economy. In this paper, we evaluate the current situation and the developments in greenhouse gas emissions, and we will evaluate carbon resource usage in chosen EU countries from the viewpoint of greenhouse gas emission per capita, energy production in the EU, energy dependence of EU countries, and final energy consumption. We will analyze and evaluate the data available from the Eurostat database through regression and cluster analysis using JMP 15 statistical software. The results show significant differences in the individual countries, and they can be used for determination of the energy policy in the individual states. Full article
Show Figures

Figure 1

12 pages, 5829 KB  
Article
A Deep Learning Model for Detecting Cage-Free Hens on the Litter Floor
by Xiao Yang, Lilong Chai, Ramesh Bahadur Bist, Sachin Subedi and Zihao Wu
Animals 2022, 12(15), 1983; https://doi.org/10.3390/ani12151983 - 5 Aug 2022
Cited by 62 | Viewed by 7549
Abstract
Real-time and automatic detection of chickens (e.g., laying hens and broilers) is the cornerstone of precision poultry farming based on image recognition. However, such identification becomes more challenging under cage-free conditions comparing to caged hens. In this study, we developed a deep learning [...] Read more.
Real-time and automatic detection of chickens (e.g., laying hens and broilers) is the cornerstone of precision poultry farming based on image recognition. However, such identification becomes more challenging under cage-free conditions comparing to caged hens. In this study, we developed a deep learning model (YOLOv5x-hens) based on YOLOv5, an advanced convolutional neural network (CNN), to monitor hens’ behaviors in cage-free facilities. More than 1000 images were used to train the model and an additional 200 images were adopted to test it. One-way ANOVA and Tukey HSD analyses were conducted using JMP software (JMP Pro 16 for Mac, SAS Institute, Cary, North Caronia) to determine whether there are significant differences between the predicted number of hens and the actual number of hens under various situations (i.e., age, light intensity, and observational angles). The difference was considered significant at p < 0.05. Our results show that the evaluation metrics (Precision, Recall, F1 and mAP@0.5) of the YOLOv5x-hens model were 0.96, 0.96, 0.96 and 0.95, respectively, in detecting hens on the litter floor. The newly developed YOLOv5x-hens was tested with stable performances in detecting birds under different lighting intensities, angles, and ages over 8 weeks (i.e., birds were 8–16 weeks old). For instance, the model was tested with 95% accuracy after the birds were 8 weeks old. However, younger chicks such as one-week old birds were harder to be tracked (e.g., only 25% accuracy) due to interferences of equipment such as feeders, drink lines, and perches. According to further data analysis, the model performed efficiently in real-time detection with an overall accuracy more than 95%, which is the key step for the tracking of individual birds for evaluation of production and welfare. However, there are some limitations of the current version of the model. Error detections came from highly overlapped stock, uneven light intensity, and images occluded by equipment (i.e., drinking line and feeder). Future research is needed to address those issues for a higher detection. The current study established a novel CNN deep learning model in research cage-free facilities for the detection of hens, which provides a technical basis for developing a machine vision system for tracking individual birds for evaluation of the animals’ behaviors and welfare status in commercial cage-free houses. Full article
Show Figures

Figure 1

14 pages, 2427 KB  
Article
Prediction of Response to Cisplatin-Based Neoadjuvant Chemotherapy of Muscle-Invasive Bladder Cancer Patients by Molecular Subtyping including KRT and FGFR Target Gene Assessment
by Thorsten H. Ecke, Paula Carolin Voß, Thorsten Schlomm, Anja Rabien, Frank Friedersdorff, Dimitri Barski, Thomas Otto, Michael Waldner, Elke Veltrup, Friederike Linden, Roland Hake, Sebastian Eidt, Jenny Roggisch, Axel Heidenreich, Constantin Rieger, Lucas Kastner, Steffen Hallmann, Stefan Koch and Ralph M. Wirtz
Int. J. Mol. Sci. 2022, 23(14), 7898; https://doi.org/10.3390/ijms23147898 - 18 Jul 2022
Cited by 8 | Viewed by 3010
Abstract
Patients with muscle-invasive urothelial carcinoma achieving pathological complete response (pCR) upon neoadjuvant chemotherapy (NAC) have improved prognosis. Molecular subtypes of bladder cancer differ markedly regarding sensitivity to cisplatin-based chemotherapy and harbor FGFR treatment targets to various content. The objective of the present study [...] Read more.
Patients with muscle-invasive urothelial carcinoma achieving pathological complete response (pCR) upon neoadjuvant chemotherapy (NAC) have improved prognosis. Molecular subtypes of bladder cancer differ markedly regarding sensitivity to cisplatin-based chemotherapy and harbor FGFR treatment targets to various content. The objective of the present study was to evaluate whether preoperative assessment of molecular subtype as well as FGFR target gene expression is predictive for therapeutic outcome—rate of ypT0 status—to justify subsequent prospective validation within the “BladderBRIDGister”. Formalin-fixed paraffin-embedded (FFPE) tissue specimens from transurethral bladder tumor resections (TUR) prior to neoadjuvant chemotherapy and corresponding radical cystectomy samples after chemotherapy of 36 patients were retrospectively collected. RNA from FFPE tissues were extracted by commercial kits, Relative gene expression of subtyping markers (e.g., KRT5, KRT20) and target genes (FGFR1, FGFR3) was analyzed by standardized RT-qPCR systems (STRATIFYER Molecular Pathology GmbH, Cologne). Spearman correlation, Kruskal–Wallis, Mann–Whitney and sensitivity/specificity tests were performed by JMP 9.0.0 (SAS software). The neoadjuvant cohort consisted of 36 patients (median age: 69, male 83% vs. female 17%) with 92% of patients being node-negative during radical cystectomy after 1 to 4 cycles of NAC. When comparing pretreatment with post-treatment samples, the median expression of KRT20 dropped most significantly from DCT 37.38 to 30.65, which compares with a 128-fold decrease. The reduction in gene expression was modest for other luminal marker genes (GATA3 6.8-fold, ERBB2 6.3-fold). In contrast, FGFR1 mRNA expression increased from 33.28 to 35.88 (~6.8-fold increase). Spearman correlation revealed positive association of pretreatment KRT20 mRNA levels with achieving pCR (r = 0.3072: p = 0.0684), whereas pretreatment FGFR1 mRNA was associated with resistance to chemotherapy (r = −0.6418: p < 0.0001). Hierarchical clustering identified luminal tumors of high KRT20 mRNA expression being associated with high pCR rate (10/16; 63%), while the double-negative subgroup with high FGFR1 expression did not respond with pCR (0/9; 0%). Molecular subtyping distinguishes patients with high probability of response from tumors as resistant to neoadjuvant chemotherapy. Targeting FGFR1 in less-differentiated bladder cancer subgroups may sensitize tumors for adopted treatments or subsequent chemotherapy. Full article
(This article belongs to the Special Issue Molecular Research on Bladder Cancer)
Show Figures

Figure 1

15 pages, 6984 KB  
Article
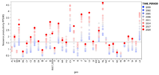
Sustainable Development According to Resource Productivity in the EU Environmental Policy Context
by Marcela Taušová, Peter Tauš and Lucia Domaracká
Energies 2022, 15(12), 4291; https://doi.org/10.3390/en15124291 - 11 Jun 2022
Cited by 13 | Viewed by 2316
Abstract
The constant rise in the consumption of resources puts the environment under pressure. Most resources are non-renewable in nature, which is why they must be utilized with great care. For this reason, the European Union devotes increasingly more attention to their efficient use. [...] Read more.
The constant rise in the consumption of resources puts the environment under pressure. Most resources are non-renewable in nature, which is why they must be utilized with great care. For this reason, the European Union devotes increasingly more attention to their efficient use. It deals with these aspects, making an effort to maintain the long-term competitiveness and to secure sustainable development in line with all of the related environmental impacts. In this context, several goals have been set out, to which the individual EU member states are bound. A method for monitoring resource efficiency was developed, consisting of indicators, the aim of which is to assess the efficiency of the use of soil, water, energy, with the most fundamental one being resource productivity. The results of the efficiency of use of the individual resources in the member states greatly differ, even without further investigating the links and correlations between the indicators. Research on the interrelationships of the individual indicators in terms of mutual influence has not yet been completed. The aim of our study was to define the correlation between the main indicator, resource productivity, and the other indicators at the level of the EU and its member states. For this purpose, we prepared a database with data which, for the sake of uniformity, were obtained from the publicly available Eurostat database. Subsequently, the data were analyzed and evaluated using the statistical software JMP 15 by a regression and correlation analysis. By using the multiple regression analysis, we created a model describing the significance of the impact of the observed variables on the resulting resource productivity of the EU member states. Generally, there is a positive correlation between the resource productivity and the Eco-Innovation index, as well as the utilization rate of recycled materials. For the sake of comparison, we developed a regression model at the level of the V4 countries, with the aim of evaluating the impact of the historical background of the countries on their contemporary ability to reach the goals set out by the environmental policy. The V4 countries are lagging far behind in meeting all of the environmental policy objectives, not only in tracking the main indicator (resource productivity) on which the multiple regression analysis is based. It was interesting to find that the multiple regression model at the V4 level does not include the indicators defined by the EU level model, the key ones, in this case, being water productivity, energy dependence, energy productivity, and environmental tax. This finding may also, after further analyses, be the key for other countries joining the EU in the future, in defining the weaknesses of the newly acceding states in terms of the EU’s move towards a circular economy. Full article
(This article belongs to the Special Issue Energy for Sustainable Development and Circular Economy)
Show Figures

Figure 1

14 pages, 2559 KB  
Article
Efficient Use of Critical Raw Materials for Optimal Resource Management in EU Countries
by Lucia Domaracka, Simona Matuskova, Marcela Tausova, Andrea Senova and Barbara Kowal
Sustainability 2022, 14(11), 6554; https://doi.org/10.3390/su14116554 - 27 May 2022
Cited by 20 | Viewed by 4337
Abstract
The European Commission has established a Critical Raw Materials List (CRM) for the European Union (EU), which is subject to regular review and updating. CRMs are needed in many key industries such as automotive, steel, aerospace, renewable energy, etc. To address this issue, [...] Read more.
The European Commission has established a Critical Raw Materials List (CRM) for the European Union (EU), which is subject to regular review and updating. CRMs are needed in many key industries such as automotive, steel, aerospace, renewable energy, etc. To address this issue, we studied publicly available data from databases developed by the EU for monitoring the progress of individual countries in key areas for the development of society. The paper analyzes indicators of import reliance, net additions to stock, domestic material consumption (DMC), resource productivity, and circular material use rate. Prospective products and technologies, in electromobility, digitalization, Industry 4.0, and energy transformation, are changing and increasing the demand for raw materials. The aim of this article is to look at the ways forward in order to use critical raw materials as efficiently as possible while at the same time ensuring the optimal economy of the countries. From the sources and databases of data available for the EU, we analyzed a number of variables and suggested options for future developments in the efficient use of critical raw materials. We defined what we believed to be the optimal management means in relation to critical raw materials and worked backwards to find a path to efficient use of critical raw materials. Full article
(This article belongs to the Section Environmental Sustainability and Applications)
Show Figures

Figure 1

18 pages, 3012 KB  
Article
Good Statistical Practices in Agronomy Using Categorical Data Analysis, with Alfalfa Examples Having Poisson and Binomial Underlying Distributions
by Ronald P. Mowers, Bruna Bucciarelli, Yuanyuan Cao, Deborah A. Samac and Zhanyou Xu
Crops 2022, 2(2), 154-171; https://doi.org/10.3390/crops2020012 - 13 May 2022
Cited by 1 | Viewed by 4054
Abstract
Categorical data derived from qualitative classifications or countable quantitative data are common in biological scientific work and crop breeding. Categorical data analyses are important for drawing correct inferences from experiments. However, categorical data can introduce unique issues in data analysis. This paper discusses [...] Read more.
Categorical data derived from qualitative classifications or countable quantitative data are common in biological scientific work and crop breeding. Categorical data analyses are important for drawing correct inferences from experiments. However, categorical data can introduce unique issues in data analysis. This paper discusses common problems arising from categorical variable analysis and modeling, demonstrates the issues or risks of misapplying analysis, and suggests approaches to address data analysis challenges using two data sets from alfalfa breeding programs. For each data set, we present several analysis methods, e.g., simple t-test, analysis of variance (ANOVA), split plot analysis, generalized linear model (glm), generalized linear mixed model (glmm) using R with R markdown, and with the standard statistical analysis software SAS/JMP. The goal is to demonstrate good analysis practices for categorical data by comparing the potential ‘bad’ analyses with better ones, avoiding too much reliance on reaching a significant p-value of 0.05, and navigating the morass of ever-increasing numbers of potential R functions. The three main aspects of this research focus on choosing the right data distribution to use, using the correct error terms for hypothesis test p-values including the right type of sum of the squares (Type I, II, and III), and proper statistical models for categorical data analysis. Our results show the importance of good statistical analysis practice to help agronomists, breeders, and other researchers apply appropriate statistical approaches to draw more accurate conclusions from their data. Full article
Show Figures

Figure 1

Back to TopTop