Sign in to use this feature.

Years

Between: -

Subjects

remove_circle_outline
remove_circle_outline
remove_circle_outline
remove_circle_outline
remove_circle_outline
remove_circle_outline
remove_circle_outline
remove_circle_outline
remove_circle_outline

Journals

remove_circle_outline
remove_circle_outline
remove_circle_outline
remove_circle_outline
remove_circle_outline
remove_circle_outline

Article Types

Countries / Regions

remove_circle_outline
remove_circle_outline
remove_circle_outline
remove_circle_outline

Search Results (860)

Search Parameters:
Keywords = Imbalanced Classification

Order results
Result details
Results per page
Select all
Export citation of selected articles as:
30 pages, 2628 KB  
Article
Predicting Bond Defaults in China: A Double-Ensemble Model Leveraging SMOTE for Class Imbalance
by Chongwen Tian and Rong Li
Big Data Cogn. Comput. 2026, 10(3), 81; https://doi.org/10.3390/bdcc10030081 - 6 Mar 2026
Abstract
This study proposes the Double-Ensemble Learning Classification with SMOTE (DELC-SMOTE), a novel hierarchical framework designed to address the critical challenge of severe class imbalance in financial bond default prediction. The model integrates the Synthetic Minority Over-sampling Technique (SMOTE) into a two-phase ensemble architecture. [...] Read more.
This study proposes the Double-Ensemble Learning Classification with SMOTE (DELC-SMOTE), a novel hierarchical framework designed to address the critical challenge of severe class imbalance in financial bond default prediction. The model integrates the Synthetic Minority Over-sampling Technique (SMOTE) into a two-phase ensemble architecture. The first phase employs introspective stacking, where six heterogeneous base learners are individually enhanced through algorithm-specific balancing and meta-learning. The second phase fuses these optimized experts via performance-weighted voting. Empirical analysis utilizes a comprehensive dataset of 10,440 Chinese corporate bonds (522 defaults, ~5% default rate) sourced from Wind and CSMAR databases. Given the high cost of both false negatives and false positives in risk assessment, the Geometric Mean (G-mean) and Specificity are employed as primary evaluation metrics. Results demonstrate that the proposed DELC-SMOTE model significantly outperforms individual base classifiers and benchmark ensemble variants, achieving a G-mean of 0.9152 and a Specificity of 0.8715 under the primary experimental setting. The model exhibits robust performance across varying imbalance ratios (2%, 10%, 20%) and strong resilience against data noise, perturbations, and outliers. These findings indicate that the synergistic integration of data-level resampling within a diversified, two-tiered ensemble structure effectively mitigates class imbalance bias and enhances predictive reliability. The framework offers a robust and generalizable tool for actionable default risk assessment in imbalanced financial datasets. Full article
(This article belongs to the Section Data Mining and Machine Learning)
Show Figures

Figure 1

26 pages, 46386 KB  
Article
Predicting Car-Engine Manufacturing Quality with Multi-Sensor Data of Manufacturing Assembly Process
by Xinyu Yang, Qianxi Zhang, Junjie Bao, Xue Wang, Nengchao Wu, Qing Tao, Haijia Wu and Li Liu
Sensors 2026, 26(5), 1651; https://doi.org/10.3390/s26051651 - 5 Mar 2026
Abstract
Car engine quality control is fundamentally hindered by extremely high-dimensional, noisy, and imbalanced multi-sensor data. To overcome these challenges, this paper proposes an edge-deployable diagnostic and predictive framework. First, a Sparse Autoencoder (SAE) maps over 12,000 distributed manufacturing parameters into a robust latent [...] Read more.
Car engine quality control is fundamentally hindered by extremely high-dimensional, noisy, and imbalanced multi-sensor data. To overcome these challenges, this paper proposes an edge-deployable diagnostic and predictive framework. First, a Sparse Autoencoder (SAE) maps over 12,000 distributed manufacturing parameters into a robust latent space to filter instrumentation noise. Second, for defect classification, a Class-Specific Weighted Ensemble (CSWE) tackles extreme class imbalance by aggressively penalizing majority-class bias, improving defect interception recall by 7.72%. Third, for transient performance tracking, an Adaptive Regime-Switching Regression (ARSR) replaces manual phase selection with unsupervised regime routing to dynamically weight local experts, reducing relative prediction error by 12%. Rigorously validated across three diverse public datasets (NASA C-MAPSS, AI4I, SECOM) and a physical H4 engine assembly line, the framework achieves an ultra-low inference latency of 80±3 ms, practically reducing the engine rework rate by 7.2%. Full article
(This article belongs to the Section Industrial Sensors)
Show Figures

Figure 1

61 pages, 5879 KB  
Article
Bioinspired Optimization for Feature Selection in Post-Compliance Risk Prediction
by Álex Paz, Broderick Crawford, Eric Monfroy, Eduardo Rodriguez-Tello, José Barrera-García, Felipe Cisternas-Caneo, Benjamín López Cortés, Yoslandy Lazo, Andrés Yáñez, Álvaro Peña Fritz and Ricardo Soto
Biomimetics 2026, 11(3), 190; https://doi.org/10.3390/biomimetics11030190 - 5 Mar 2026
Viewed by 32
Abstract
Bio-inspired metaheuristic optimization offers flexible search mechanisms for high-dimensional predictive problems under operational constraints. In administrative risk prediction settings, class imbalance and feature redundancy challenge conventional learning pipelines. This study evaluates a wrapper-based metaheuristic feature selection framework for post-compliance income declaration prediction using [...] Read more.
Bio-inspired metaheuristic optimization offers flexible search mechanisms for high-dimensional predictive problems under operational constraints. In administrative risk prediction settings, class imbalance and feature redundancy challenge conventional learning pipelines. This study evaluates a wrapper-based metaheuristic feature selection framework for post-compliance income declaration prediction using real longitudinal administrative records. The proposed approach integrates swarm-inspired optimization with supervised classifiers under a weighted objective function jointly prioritizing minority-class recall and subset compactness. Robustness is assessed through 31 independent stochastic runs per configuration. The empirical results indicate that performance effects are learner-dependent. For variance-prone classifiers, substantial minority-class recall gains are observed, with recall increasing from 0.284 to 0.849 for k-nearest neighbors and from 0.471 to 0.932 for Random Forest under optimized configurations. For LightGBM, optimized models maintain high recall levels (0.935–0.943 on average) with low dispersion, suggesting representational stabilization and dimensional compression rather than large absolute recall improvements. Optimized subsets retain approximately 16–33 features on average from the original 76-variable space. Within the evaluated experimental protocol, the findings show that metaheuristic-driven wrapper feature selection can reshape predictive representations under class imbalance, enabling simultaneous control of minority-class performance and feature dimensionality. Formal institutional deployment and cross-domain generalization remain subjects for future investigation. Full article
(This article belongs to the Special Issue Advances in Biological and Bio-Inspired Algorithms)
Show Figures

Figure 1

26 pages, 2187 KB  
Article
NanoCNN: Minority-Aware Neural Architecture Search for Edge Arrhythmia Classification
by Lamia Berriche
Electronics 2026, 15(5), 1044; https://doi.org/10.3390/electronics15051044 - 2 Mar 2026
Viewed by 184
Abstract
Arrhythmia is a life-threatening cardiovascular disease if not detected early. While deep learning models have demonstrated strong performance in ECG-based arrhythmia classification, deploying these models on resource-constrained wearable devices remains challenging. In this paper, we present a quantization-compatible neural architecture search (NAS) framework [...] Read more.
Arrhythmia is a life-threatening cardiovascular disease if not detected early. While deep learning models have demonstrated strong performance in ECG-based arrhythmia classification, deploying these models on resource-constrained wearable devices remains challenging. In this paper, we present a quantization-compatible neural architecture search (NAS) framework that discovers ultra-compact minority-aware convolutional neural networks (CNN). We formulate NAS as a multi-objective optimization problem, jointly maximizing balanced accuracy and minority-classes recall while minimizing model size and computational complexity. Furthermore, we constrain our search space to INT8-compatible operations. We evaluated our framework on the MIT-BIH Arrhythmia Database. We discovered NanoCNN models for binary and multi-class classification tasks. The models trained without augmentation achieved 98.7% and 98.21% overall accuracies outperforming the state-of-the-art. The discovered models required 38.3 K and 51.5 K multiply-accumulate operations (MAC) per inference, enabling their deployment on ARM Cortex-M4 microcontrollers. With augmentation and other minority-aware interventions, our model attained 91.6% balanced accuracy. Our results validated the effectiveness of the adopted search and training techniques for arrhythmia screening and diagnosis. Full article
Show Figures

Figure 1

17 pages, 1676 KB  
Article
Construction Accident Prediction via Generative AI and AutoML Approaches
by Sungchul Seo, Dahyun Oh, Kyubyung Kang, HyunJung Park and JungHo Jeon
Appl. Sci. 2026, 16(5), 2412; https://doi.org/10.3390/app16052412 - 2 Mar 2026
Viewed by 120
Abstract
The construction industry remains one of the most hazardous sectors, with a high incidence of injuries and fatalities, making accurate accident prediction essential for improving safety performance. Although machine learning and deep learning approaches have been widely applied to construction accident prediction, most [...] Read more.
The construction industry remains one of the most hazardous sectors, with a high incidence of injuries and fatalities, making accurate accident prediction essential for improving safety performance. Although machine learning and deep learning approaches have been widely applied to construction accident prediction, most prior studies have primarily focused on optimizing predictive accuracy within structured modeling pipelines under internal validation settings. In contrast, the application of Generative Artificial Intelligence (Generative AI) for accident prediction remains relatively underexplored, and systematic comparisons between Generative AI and Automated Machine Learning (AutoML), particularly under standardized and external validation conditions, are limited. To address this research gap, this study provides a structured comparative evaluation of AutoML and a fine-tuned Generative Pre-trained Transformer (GPT) model in terms of predictive performance, training efficiency, robustness under external validation, and operational usability. A dataset comprising construction accident cases obtained from Korea’s Construction Safety Management Integrated Information (CSI) was used. AutoML was employed to evaluate multiple machine learning classifiers, while a GPT-based model was fine-tuned to classify accident severity. Model performance was assessed using accuracy, precision, recall, and F1-score metrics. The results indicate that AutoML achieved higher predictive accuracy (97.48%) under controlled training conditions, whereas the Generative AI model achieved 75.6%. However, AutoML required substantial preprocessing and optimization efforts. In contrast, the GPT-based model demonstrated greater deployment flexibility with minimal data preparation. External validation using newly observed imbalanced data revealed that AutoML experienced performance degradation, whereas the Generative AI model maintained relatively stable performance. These findings suggest that Generative AI may serve as a complementary and deployment-friendly alternative in construction accident prediction contexts where adaptability, external validation robustness, and usability are prioritized. Full article
Show Figures

Figure 1

27 pages, 3039 KB  
Article
Few-Shot Open-Set Ransomware Detection Through Meta-Learning and Energy-Based Modeling
by Yun-Yi Fan, Cheng-Yu Chiang and Jung-San Lee
Appl. Sci. 2026, 16(5), 2364; https://doi.org/10.3390/app16052364 - 28 Feb 2026
Viewed by 91
Abstract
As network communication technologies rapidly advance, ransomware has emerged as a significant cybersecurity threat that organizations cannot ignore. Static analysis enables rapid identification of ransomware by examining file structure and code characteristics before execution. However, existing classifiers are predominantly designed under the closed-set [...] Read more.
As network communication technologies rapidly advance, ransomware has emerged as a significant cybersecurity threat that organizations cannot ignore. Static analysis enables rapid identification of ransomware by examining file structure and code characteristics before execution. However, existing classifiers are predominantly designed under the closed-set assumption, causing them to misclassify novel variants into known families. Furthermore, ransomware datasets typically exhibit long-tailed distributions with emerging families having very few available samples, making it difficult for models to learn discriminative features. To address these challenges, we propose Few-Shot Open-Set Ransomware Detection through Meta-learning and Energy-based Modeling (MEM), a unified open-set recognition framework based on static analysis of Portable Executable features. By integrating Model-agnostic Meta-learning (MAML), the model rapidly adapts to new families with limited samples. The Energy Function quantifies the confidence of predictions in distinguishing between known samples and unknown ones, while Focal Loss dynamically adjusts sample weights to reduce bias introduced by imbalanced distributions. The experimental results demonstrate that MEM achieves higher classification accuracy and better rejection performance of unknown samples than existing open-set recognition methods. Full article
(This article belongs to the Special Issue New Advances in Cybersecurity Technology and Cybersecurity Management)
Show Figures

Figure 1

46 pages, 7510 KB  
Article
Semantic Modeling of Ship Collision Reports: Ontology Design, Knowledge Extraction, and Severity Classification
by Hongchu Yu, Xiaohan Xu, Zheng Guo, Tianming Wei and Lei Xu
J. Mar. Sci. Eng. 2026, 14(5), 448; https://doi.org/10.3390/jmse14050448 - 27 Feb 2026
Viewed by 311
Abstract
With the expansion of water transportation networks and increasing traffic intensity, maritime accidents have become frequent, posing significant threats to safety and property. This study presents a knowledge graph-driven framework for maritime accident analysis, addressing the limitations of traditional risk analysis methods in [...] Read more.
With the expansion of water transportation networks and increasing traffic intensity, maritime accidents have become frequent, posing significant threats to safety and property. This study presents a knowledge graph-driven framework for maritime accident analysis, addressing the limitations of traditional risk analysis methods in extracting and organizing unstructured accident data. First, a standardized ontology for ship collision accidents is developed, defining core concepts such as event, spatiotemporal behavior, causation, consequence, responsibility, and decision-making. Advanced natural language processing models, including a lexicon-enhanced LEBERT-BiLSTM-CRF and a K-BERT-BiLSTM-CRF incorporating ship collision knowledge triplets, are proposed for named entity recognition and relation extraction, with F1-score improvements of 6.7% and 1.2%, respectively. The constructed accident knowledge graph integrates heterogeneous data, enabling semantic organization and efficient retrieval. Leveraging graph topological features, an accident severity classification model is established, where a graph-feature-driven LSTM-RNN demonstrates robust performance, especially with imbalanced data. Comparative experiments show the superiority of this approach over conventional models such as XGBoost and random forest. Overall, this research demonstrates that knowledge graph-driven methods can significantly enhance maritime accident knowledge extraction and severity classification, providing strong information support and methodological advances for intelligent accident management and prevention. Full article
(This article belongs to the Section Ocean Engineering)
Show Figures

Graphical abstract

23 pages, 378 KB  
Article
An Innovation of the Zero-Inflated Binary Classification in Credit Scoring Using Two-Stage Algorithms
by Chenlu Zheng, Yuhlong Lio and Tzong-Ru Tsai
Mathematics 2026, 14(5), 800; https://doi.org/10.3390/math14050800 - 27 Feb 2026
Viewed by 183
Abstract
Zero-inflated and class-imbalanced data present significant challenges in credit scoring. Zero-Inflated Bernoulli Distribution (ZIBD) models help handle excess zeros. However, the S-shaped function and the neglect of misclassification costs may degrade the ZIBD model’s classification performance. To address these challenges, this paper proposes [...] Read more.
Zero-inflated and class-imbalanced data present significant challenges in credit scoring. Zero-Inflated Bernoulli Distribution (ZIBD) models help handle excess zeros. However, the S-shaped function and the neglect of misclassification costs may degrade the ZIBD model’s classification performance. To address these challenges, this paper proposes a novel two-stage algorithm that integrates an optimized ZIBD model with Random Forest, Extreme Gradient Boosting (XGBoost), and Light Gradient Boosting Machine (LightGBM), respectively. Specifically, we develop a new loss function that incorporates cross-entropy and example-dependent cost-sensitive to optimize the ZIBD model, thereby minimizing cost risks. Subsequently, we suggest integrating baseline models to compensate for the ZIBD model’s classification deficiencies. This hybrid approach effectively mitigates the impact of structural zeros in imbalanced data while enhancing model robustness. The performance of the proposed method is validated using two real-world banking datasets. Experimental results demonstrate that the proposed two-stage algorithm significantly outperforms its competitors across both machine-learning metrics and savings. Hence, the proposed novel two-stage algorithm offers a more effective solution for zero-inflated banking data. Full article
Show Figures

Figure 1

24 pages, 1064 KB  
Article
Kernel-Based Optimal Subspaces (KOS): A Method for Data Classification
by Lakhdar Remaki
Mach. Learn. Knowl. Extr. 2026, 8(2), 52; https://doi.org/10.3390/make8020052 - 22 Feb 2026
Viewed by 169
Abstract
Support Vector Machine (SVM) is a popular kernel-based method for data classification that has demonstrated high efficiency across a wide range of practical applications. However, SVM suffers from several limitations, including the potential failure of the optimization process, especially in high-dimensional spaces; the [...] Read more.
Support Vector Machine (SVM) is a popular kernel-based method for data classification that has demonstrated high efficiency across a wide range of practical applications. However, SVM suffers from several limitations, including the potential failure of the optimization process, especially in high-dimensional spaces; the inherently high computational cost; the lack of a systematic approach to multi-class classification; difficulties in handling imbalanced classes; and the prohibitive cost of real-time or dynamic classification. This paper proposes an alternative method, referred to as Kernel-based Optimal Subspaces (KOS), which belongs to the family of kernel subspace methods. Mathematically similar to Kernel PCA (KPCA), KOS achieves performance comparable to SVM while addressing the aforementioned weaknesses. The method is based on computing the minimum distance to optimal feature subspaces of the mapped data. Because no optimization process is required, KOS is robust, fast, and easy to implement. The optimal subspaces are constructed independently, enabling high parallelizability and making the approach well-suited for dynamic classification and real-time applications. Furthermore, the issue of imbalanced classes is naturally handled by subdividing large classes into smaller sub-classes, thereby creating appropriately sized sub-subspaces within the feature space. Full article
(This article belongs to the Section Data)
Show Figures

Figure 1

32 pages, 9123 KB  
Article
AI-Based Classification of IT Support Requests in Enterprise Service Management Systems
by Audrius Razma and Robertas Jurkus
Systems 2026, 14(2), 223; https://doi.org/10.3390/systems14020223 - 21 Feb 2026
Viewed by 251
Abstract
In modern organizations, IT Service Management (ITSM) relies on the efficient handling of large volumes of unstructured textual data, such as support tickets and incident reports. This study investigates the automated classification of IT support requests as a data-driven decision-support task within a [...] Read more.
In modern organizations, IT Service Management (ITSM) relies on the efficient handling of large volumes of unstructured textual data, such as support tickets and incident reports. This study investigates the automated classification of IT support requests as a data-driven decision-support task within a real-world enterprise ITSM context, addressing challenges posed by multilingual content and severe class imbalance. We propose an applied machine-learning and natural language processing (NLP) pipeline combining text cleaning, stratified data splitting, and supervised model training under realistic evaluation conditions. Multiple classification models were evaluated on historical enterprise ticket data, including a Logistic Regression baseline and transformer-based architectures (multilingual BERT and XLM-RoBERTa). Model validation distinguishes between deployment-oriented evaluation on naturally imbalanced data and diagnostic analysis using training-time class balancing to examine minority-class behavior. Results indicate that Logistic Regression performs reliably for high-frequency, well-defined request categories, while transformer-based models achieve consistently higher macro-averaged F1-scores and improved recognition of semantically complex and underrepresented classes. Training-time oversampling increases sensitivity to minority request types without improving overall accuracy on unbalanced test data, highlighting the importance of metric selection in ITSM evaluation. The findings provide an applied empirical comparison of established text-classification models in ITSM, incorporating both predictive performance and computational efficiency considerations, and offer practical guidance for supporting IT support agents during ticket triage and automated request classification. Full article
(This article belongs to the Section Artificial Intelligence and Digital Systems Engineering)
Show Figures

Figure 1

27 pages, 1628 KB  
Article
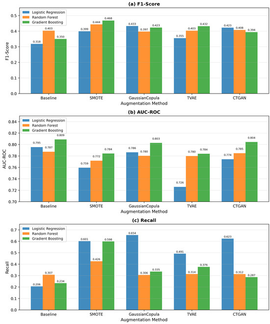
Synthetic Data Augmentation for Imbalanced Tabular Data: A Comparative Study of Generation Methods
by Dong-Hyun Won, Kwang-Seong Shin and Sungkwan Youm
Electronics 2026, 15(4), 883; https://doi.org/10.3390/electronics15040883 - 20 Feb 2026
Viewed by 318
Abstract
Class imbalance in tabular datasets poses a challenge for machine learning classification tasks, often leading to biased models that underperform in predicting minority class instances. This study presents a comparative analysis of synthetic data generation methods for addressing class imbalance in tabular data. [...] Read more.
Class imbalance in tabular datasets poses a challenge for machine learning classification tasks, often leading to biased models that underperform in predicting minority class instances. This study presents a comparative analysis of synthetic data generation methods for addressing class imbalance in tabular data. We evaluate four augmentation approaches—Synthetic Minority Over-sampling Technique (SMOTE), Gaussian Copula, Tabular Variational Autoencoder (TVAE), and Conditional Tabular Generative Adversarial Network (CTGAN)—using the University of California Irvine (UCI) Bank Marketing dataset, which exhibits a class imbalance ratio of approximately 7.88:1. Our experimental framework assesses each method across three dimensions: statistical fidelity to the original data distribution evaluated through four complementary metrics (marginal numerical similarity, categorical distribution similarity, correlation structure preservation, and Kolmogorov–Smirnov test), machine learning utility measured through classification performance, and minority class detection capability. Results indicate that all augmentation methods achieved statistically significant improvements over the baseline (p<0.05). SMOTE achieved the highest recall (54.2%, a 117.6% relative improvement over the baseline) and F1-Score (0.437, +22.4% over the baseline) for minority class detection, while Gaussian Copula provided the highest composite fidelity score (0.930) with competitive predictive performance. A weak negative correlation (ρ=0.30) between composite fidelity and classification performance was observed, suggesting that higher statistical fidelity does not necessarily translate to better downstream task performance. Deep learning-based methods (TVAE, CTGAN) showed statistically significant improvements over the baseline (recall: +58% to +63%) but underperformed compared to simpler methods under default configurations, suggesting the need for larger training samples or more extensive hyperparameter tuning. These findings offer reference points for practitioners working with moderately imbalanced tabular data with limited minority class samples, supporting the selection of generation strategies based on specific requirements regarding data fidelity and classification objectives. Full article
(This article belongs to the Special Issue Data-Related Challenges in Machine Learning: Theory and Application)
Show Figures

Figure 1

16 pages, 1578 KB  
Article
FedAWR: Aggregation Optimization in Federated Learning with Adaptive Weights and Learning Rates
by Tong Yao, Jianqi Li and Jianhua Liu
Future Internet 2026, 18(2), 106; https://doi.org/10.3390/fi18020106 - 18 Feb 2026
Viewed by 164
Abstract
Federated Learning (FL) enables collaborative model training without sharing raw data, offering a promising solution for privacy-sensitive applications. However, in real-world deployments, significant disparities in client computational capabilities lead to imbalanced model updates, resulting in slow convergence and degraded model generalization. To address [...] Read more.
Federated Learning (FL) enables collaborative model training without sharing raw data, offering a promising solution for privacy-sensitive applications. However, in real-world deployments, significant disparities in client computational capabilities lead to imbalanced model updates, resulting in slow convergence and degraded model generalization. To address this challenge, this paper proposes a novel federated aggregation optimization method, FedAWR, which features adaptive adjustment of learning rates and weights. Specifically, during the global aggregation phase, our method dynamically adjusts each client’s aggregation weight based on its computational capability and configures an appropriate learning rate to balance training progress. Experiments on multi-classification tasks using the Steel Rail Defect and CIFAR-10 datasets demonstrate that the proposed method exhibits significant advantages over mainstream federated algorithms in both convergence efficiency and model generalization performance, thereby validating its effectiveness and superiority. Full article
Show Figures

Figure 1

32 pages, 2876 KB  
Article
CCNETS: A Modular Causal Learning Framework for Pattern Recognition in Imbalanced Datasets
by Hanbeot Park, Yunjeong Cho and Hunhee Kim
Appl. Sci. 2026, 16(4), 1998; https://doi.org/10.3390/app16041998 - 17 Feb 2026
Viewed by 192
Abstract
Handling class imbalance remains a central challenge in machine learning, particularly in pattern recognition tasks where identifying rare but critical anomalies is of paramount importance. Traditional generative models often decouple data synthesis from classification, leading to a distribution mismatch that limits their practical [...] Read more.
Handling class imbalance remains a central challenge in machine learning, particularly in pattern recognition tasks where identifying rare but critical anomalies is of paramount importance. Traditional generative models often decouple data synthesis from classification, leading to a distribution mismatch that limits their practical benefit. To address these shortcomings, we introduce Causal Cooperative Networks (CCNETS), a modular framework that establishes a functional causal link between generation, inference, and reconstruction. CCNETS is composed of three specialized cooperative modules: an Explainer for latent feature abstraction, a Reasoner for probabilistic label prediction, and a Producer for context-aware data synthesis. These components interact through a dynamic causal feedback loop, where classification outcomes directly guide targeted sample synthesis to adaptively reinforce vulnerable decision boundaries. A key innovation, our proposed Zoint mechanism, enables the adaptive fusion of latent and observable features, enhancing semantic richness and decision-making robustness under uncertainty. We evaluated CCNETS on two distinct real-world datasets: Credit Card Fraud Detection dataset, characterized by extreme imbalance (fraud rate < 0.2%), and the AI4I 2020 Predictive Maintenance dataset (failure rate < 4%). Across comprehensive experimental setups, CCNETS consistently outperformed baseline methods, achieving superior F1-scores, and AUPRC. Furthermore, data synthesized by CCNETS demonstrated enhanced generalization and learning stability under limited data conditions. These results establish CCNETS as a scalable, interpretable, and hybrid soft computing framework that effectively aligns synthetic data with classifier objectives, advancing robust imbalanced learning. Full article
(This article belongs to the Special Issue Machine Learning and Its Application for Anomaly Detection)
Show Figures

Figure 1

23 pages, 7016 KB  
Article
Class Imbalance-Aware Deep Learning Approach for Apple Leaf Disease Recognition
by Emrah Fidan, Serra Aksoy, Pinar Demircioglu and Ismail Bogrekci
AgriEngineering 2026, 8(2), 70; https://doi.org/10.3390/agriengineering8020070 - 16 Feb 2026
Viewed by 299
Abstract
Apple leaf disease identification with high precision is one of the main challenges in precision agriculture. The datasets usually have class imbalance problems and environmental changes, which negatively impact deep learning approaches. In this paper, an ablation study is proposed to test three [...] Read more.
Apple leaf disease identification with high precision is one of the main challenges in precision agriculture. The datasets usually have class imbalance problems and environmental changes, which negatively impact deep learning approaches. In this paper, an ablation study is proposed to test three different scenarios: V1, a hybrid balanced dataset consisting of 10,028 images; V2, an imbalanced dataset as a baseline consisting of 14,582 original images; and V3, a 3× physical augmentation approach based on the 14,582 images. The classification performance of YOLOv11x was benchmarked against three state-of-the-art CNN architectures: ResNet-152, DenseNet-201, and EfficientNet-B1. The methodology incorporates controlled downsampling for dominant classes alongside scenario-based augmentation for minority classes, utilizing CLAHE-based texture enhancement, illumination simulation, and sensor noise generation. All the models were trained for up to 100 epochs under identical experimental conditions, with early stopping based on validation performance and an 80/20 train-validation split. The experimental results demonstrate that the impact of balancing strategies is model-dependent and does not universally improve performance. This highlights the importance of aligning data balancing strategies with architectural characteristics rather than applying uniform resampling approaches. YOLOv11x achieved its peak accuracy of 99.18% within the V3 configuration, marking a +0.62% improvement over the V2 baseline (99.01%). In contrast, EfficientNet-B1 reached its optimal performance in the V2 configuration (98.43%) without additional intervention. While all the models exhibited consistently high AUC values (≥99.94%), DenseNet-201 achieved the highest value (99.97%) across both V2 and V3 configurations. In fine-grained discrimination, the superior performance of YOLOv11x on challenging cases is verified, with only one incorrect classification (Rust to Scab), while ResNet-152 and DenseNet-201 incorrectly classified eight and seven samples, respectively. Degradation sensitivity analysis under controlled Gaussian noise and motion blur indicated that CNN baseline models maintained stable performance. High minority-class reliability, including a 96.20% F1-score for Grey Spot and 100% precision for Mosaic, further demonstrates effective fine-grained discrimination. Results indicate that data preservation with physically inspired augmentation (V3) is better than resampling-based balancing (V1), especially in terms of global accuracy and minority-class performance. Full article
Show Figures

Figure 1

17 pages, 2120 KB  
Article
Reliability of LLM Inference Engines from a Static Perspective: Root Cause Analysis and Repair Suggestion via Natural Language Reports
by Hongwei Li and Yongjun Wang
Big Data Cogn. Comput. 2026, 10(2), 60; https://doi.org/10.3390/bdcc10020060 - 13 Feb 2026
Viewed by 306
Abstract
Large Language Model (LLM) inference engines are becoming critical system infrastructure, yet their increasing architectural complexity makes defects difficult to be diagnosed and repaired. Existing reliability studies predominantly focus on model behavior or training frameworks, leaving inference engine bugs underexplored, especially in settings [...] Read more.
Large Language Model (LLM) inference engines are becoming critical system infrastructure, yet their increasing architectural complexity makes defects difficult to be diagnosed and repaired. Existing reliability studies predominantly focus on model behavior or training frameworks, leaving inference engine bugs underexplored, especially in settings where execution-based debugging is impractical. We present a static, issue-centric approach for automated root cause analysis and repair suggestion generation for LLM inference engines. Based solely on issue reports and developer discussions, we construct a real-world defect dataset and annotate each issue with a semantic root cause category and affected system module. Leveraging text-based representations, our framework performs root cause classification and coarse-grained module localization without requiring code execution or specialized runtime environments. We further integrate structured repair patterns with a large language model to generate interpretable and actionable repair suggestions. Experiments on real-world issues concerning vLLMs demonstrate that our approach achieves effective root cause identification and module localization under limited and imbalanced data. A cross-engine evaluation further shows promising generalization to TensorRT-LLM. Human evaluation confirms that the generated repair suggestions are correct, useful, and clearly expressed. Our results indicate that static, issue-level analysis is a viable foundation for scalable debugging assistance in LLM inference engines. This work highlights the feasibility of static, issue-level defect analysis for complex LLM inference engines and explores automated debugging assistance techniques. The dataset and implementation will be publicly released to facilitate future research. Full article
Show Figures

Figure 1

Back to TopTop