Sign in to use this feature.

Years

Between: -

Subjects

remove_circle_outline
remove_circle_outline
remove_circle_outline
remove_circle_outline
remove_circle_outline
remove_circle_outline
remove_circle_outline

Journals

Article Types

Countries / Regions

Search Results (9)

Search Parameters:
Keywords = IMOPSO

Order results
Result details
Results per page
Select all
Export citation of selected articles as:
33 pages, 10397 KB  
Article
Multi-AUV Dynamic Cooperative Path Planning with Hybrid Particle Swarm and Dynamic Window Algorithm in Three-Dimensional Terrain and Ocean Current Environment
by Bing Sun and Ziang Lv
Biomimetics 2025, 10(8), 536; https://doi.org/10.3390/biomimetics10080536 - 15 Aug 2025
Viewed by 923
Abstract
Aiming at the cooperative path-planning problem of multiple autonomous underwater vehicles in underwater three-dimensional terrain and dynamic ocean current environments, a hybrid algorithm based on the Improved Multi-Objective Particle Swarm Optimization (IMOPSO) and Dynamic Window (DWA) is proposed. The traditional particle swarm optimization [...] Read more.
Aiming at the cooperative path-planning problem of multiple autonomous underwater vehicles in underwater three-dimensional terrain and dynamic ocean current environments, a hybrid algorithm based on the Improved Multi-Objective Particle Swarm Optimization (IMOPSO) and Dynamic Window (DWA) is proposed. The traditional particle swarm optimization algorithm is prone to falling into local optimization in high-dimensional and complex marine environments. It is difficult to meet multiple constraint conditions, the particle distribution is uneven, and the adaptability to dynamic environments is poor. In response to these problems, a hybrid initialization method based on Chebyshev chaotic mapping, pre-iterative elimination, and boundary particle injection (CPB) is proposed, and the particle swarm optimization algorithm is improved by combining dynamic parameter adjustment and a hybrid perturbation mechanism. On this basis, the Dynamic Window Method (DWA) is introduced as the local path optimization module to achieve real-time avoidance of dynamic obstacles and rolling path correction, thereby constructing a globally and locally coupled hybrid path-planning framework. Finally, cubic spline interpolation is used to smooth the planned path. Considering factors such as path length, smoothness, deflection Angle, and ocean current kinetic energy loss, the dynamic penalty function is adopted to optimize the multi-AUV cooperative collision avoidance and terrain constraints. The simulation results show that the proposed algorithm can effectively plan the dynamic safe path planning of multiple AUVs. By comparing it with other algorithms, the efficiency and security of the proposed algorithm are verified, meeting the navigation requirements in the current environment. Experiments show that the IMOPSO–DWA hybrid algorithm reduces the path length by 15.5%, the threat penalty by 8.3%, and the total fitness by 3.2% compared with the traditional PSO algorithm. Full article
(This article belongs to the Special Issue Computer-Aided Biomimetics: 3rd Edition)
Show Figures

Figure 1

25 pages, 1669 KB  
Article
Two-Stage Collaborative Power Optimization for Off-Grid Wind–Solar Hydrogen Production Systems Considering Reserved Energy of Storage
by Yiwen Geng, Qi Liu, Hao Zheng and Shitong Yan
Energies 2025, 18(11), 2970; https://doi.org/10.3390/en18112970 - 4 Jun 2025
Cited by 1 | Viewed by 1119
Abstract
Off-grid renewable energy hydrogen production is a crucial approach to enhancing renewable energy utilization and improving power system stability. However, the strong stochastic fluctuations of wind and solar power pose significant challenges to electrolyzer reliability. While hybrid energy storage systems (HESS) can mitigate [...] Read more.
Off-grid renewable energy hydrogen production is a crucial approach to enhancing renewable energy utilization and improving power system stability. However, the strong stochastic fluctuations of wind and solar power pose significant challenges to electrolyzer reliability. While hybrid energy storage systems (HESS) can mitigate power fluctuations, traditional power allocation rules based solely on electrolyzer power limits and HESS state of charge (SOC) boundaries result in insufficient energy supply capacity and unstable electrolyzer operation. To address this, this paper proposes a two-stage power optimization method integrating rule-based allocation with algorithmic optimization for wind–solar hydrogen production systems, considering reserved energy storage. In Stage I, hydrogen production power and HESS initial allocation are determined through the deep coupling of real-time electrolyzer operating conditions with reserved energy. Stage II employs an improved multi-objective particle swarm optimization (IMOPSO) algorithm to optimize HESS power allocation, minimizing unit hydrogen production cost and reducing average battery charge–discharge depth. The proposed method enhances hydrogen production stability and HESS supply capacity while reducing renewable curtailment rates and average production costs. Case studies demonstrate its superiority over three conventional rule-based power allocation methods. Full article
Show Figures

Figure 1

22 pages, 6469 KB  
Article
A Collaborative Optimization Approach for Configuring Energy Storage Systems and Scheduling Multi-Type Electric Vehicles Using an Improved Multi-Objective Particle Swarm Optimization Algorithm
by Yirun Liu and Xiaolong Wu
Processes 2025, 13(5), 1343; https://doi.org/10.3390/pr13051343 - 27 Apr 2025
Viewed by 886
Abstract
Energy storage systems (ESS) and electric vehicles (EVs) play a crucial role in facilitating the grid integration of variable wind and solar power. Despite their potential, achieving coordinated operational optimization between ESS and heterogeneous EV fleets to maintain grid stability under high renewable [...] Read more.
Energy storage systems (ESS) and electric vehicles (EVs) play a crucial role in facilitating the grid integration of variable wind and solar power. Despite their potential, achieving coordinated operational optimization between ESS and heterogeneous EV fleets to maintain grid stability under high renewable penetration poses a complex technical challenge. To address this, this study develops an integrated optimization framework combining ESS capacity planning with multi-type EV scheduling strategies. For ESS deployment, a tri-objective model balances cost, wind–solar integration, and electricity deficit. A Monte Carlo simulation algorithm is used to simulate different probabilistic models of charging loads for multiple types of EVs, and a bi-objective optimization approach is used for their orderly scheduling. An improved multi-objective particle swarm optimization (IMOPSO) algorithm is proposed to resolve the coupled optimization problem. Case studies reveal that the framework achieves annual cost reductions, enhances the wind–solar integration rate, and minimizes the power deficit in the system. Full article
(This article belongs to the Section Energy Systems)
Show Figures

Figure 1

23 pages, 7083 KB  
Article
Economic Optimal Dispatch of Networked Hybrid Renewable Energy Microgrid
by Xiaoqin Ye and Peng Yang
Systems 2025, 13(2), 109; https://doi.org/10.3390/systems13020109 - 10 Feb 2025
Cited by 1 | Viewed by 1407
Abstract
With the increasing importance of renewable energy in the global energy transition, the microgrid has attracted wide attention as an efficient and flexible power solution. However, there are some problems in current networked microgrid systems, such as complex structure, numerous parameters, and significant [...] Read more.
With the increasing importance of renewable energy in the global energy transition, the microgrid has attracted wide attention as an efficient and flexible power solution. However, there are some problems in current networked microgrid systems, such as complex structure, numerous parameters, and significant fluctuations in generation capacity. Aiming at the parameter optimization problem of networked microgrids integrating multiple energy generation and energy storage forms, this paper constructs a multi-objective microgrid structure decision-making model. The model comprehensively considers operation and maintenance costs, fuel costs, power abandonment and lack-of-power punishment costs, power transaction costs, and pollution treatment costs, aiming to realize the joint optimization of economic benefits and environmental sustainability. Furthermore, an improved multi-objective particle swarm optimization (IMOPSO) algorithm is designed to solve the model. In order to verify the effectiveness of the model in the scenarios of distributed energy and energy load fluctuation, this paper uses the scenario analysis method to realize the data analysis of 2000 scenarios, and obtains four typical deterministic scenarios for simulation experiments. The experimental results show that, compared with the traditional microgrid, when the capacity configuration is determined by the number of wind driven generators, photovoltaic panels, diesel generators, and batteries being 5, 189, 2, and 107, respectively, the proposed net-connected economic dispatch optimization method based on hybrid renewable energy in this paper reduces the generation cost and environmental cost of the system by 96.76 ¥ to 428.19 ¥, and keeps the load loss rate stable between 0.34% and 4.56%. The utilization rate of renewable energy has been raised to about 95%. Full article
(This article belongs to the Section Complex Systems and Cybernetics)
Show Figures

Figure 1

20 pages, 3280 KB  
Article
Optimization of Hydropower Unit Startup Process Based on the Improved Multi-Objective Particle Swarm Optimization Algorithm
by Qingquan Zhang, Zifeng Xie, Mingming Lu, Shengyang Ji, Dong Liu and Zhihuai Xiao
Energies 2024, 17(17), 4473; https://doi.org/10.3390/en17174473 - 6 Sep 2024
Cited by 4 | Viewed by 1419
Abstract
In order to improve the dynamic performance during the startup process of hydropower units, while considering the efficient and stable speed increase and effective suppression of water pressure fluctuations and mechanical vibrations, optimization algorithms must be used to select the optimal parameters for [...] Read more.
In order to improve the dynamic performance during the startup process of hydropower units, while considering the efficient and stable speed increase and effective suppression of water pressure fluctuations and mechanical vibrations, optimization algorithms must be used to select the optimal parameters for the system. However, in current research, various multi-objective optimization algorithms still have limitations in terms of target space coverage and diversity maintenance in parameter optimization during the startup process of hydraulic turbines. To explore and verify the optimal algorithms and parameters for the startup process of hydraulic turbines, multiple multi-objective optimization strategies are proposed in this study. Under the condition of constructing a fine-tuned nonlinear model of the control system, this paper focuses on three key indicators: the absolute integral of the speed deviation, the absolute integral of the snail shell water pressure fluctuation, and the relative value of the maximum axial water thrust. Through comparative analysis of the multi-objective particle swarm optimization algorithm (MOPSO), variant multi-objective particle swarm optimization algorithm (VMOPSO), multi-objective sine cosine algorithm (MOSCA), multi-objective biogeography algorithm (MOBBO), multi-objective gravity search algorithm (MOGAS), and improved multi-objective particle swarm optimization algorithm (IMOPSO), the obtained optimal parameters are compared and analyzed to select the optimal multi-objective optimization strategy, and the most suitable parameters for actual working conditions are selected through a comprehensive weighting method. The results show that, compared to the local optimal solution problem caused by other optimization algorithms, the improved multi-objective optimization method significantly reduces water pressure fluctuations and mechanical vibrations while ensuring stable speed improvement, achieving better control performance. The optimization results have significant guiding significance for ensuring the smooth operation and safety of hydropower units, and provide strong support for making operational decisions. Full article
(This article belongs to the Special Issue Energy, Electrical and Power Engineering 2024)
Show Figures

Figure 1

22 pages, 2624 KB  
Article
Multi-Objective Optimization for Thrust Allocation of Dynamic Positioning Ship
by Qiang Ding, Fang Deng, Shuai Zhang, Zhiyu Du and Hualin Yang
J. Mar. Sci. Eng. 2024, 12(7), 1118; https://doi.org/10.3390/jmse12071118 - 3 Jul 2024
Viewed by 2356
Abstract
Thrust allocation (TA) plays a critical role in the dynamic positioning system (DPS). The task of TA is to allocate the rotational speed and angle of each thruster to generate the generalized control forces. Most studies take TA as a single-objective optimization problem; [...] Read more.
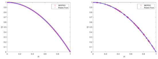
Thrust allocation (TA) plays a critical role in the dynamic positioning system (DPS). The task of TA is to allocate the rotational speed and angle of each thruster to generate the generalized control forces. Most studies take TA as a single-objective optimization problem; however, TA is a multi-objective optimization problem (MOP), which needs to satisfy multiple conflicting allocation objectives simultaneously. This study proposes an improved multi-objective particle swarm optimization (IMOPSO) method to deal with the non-convex MOP of TA. The objective functions of reducing the allocation error, and minimizing the power consumption and the tear-and-wear of thrusters under physical constraints, are established and solved via MOPSO. To enhance the global seeking ability, the improved mutation strategy combined with the roulette wheel mechanism is adopted. It is shown through test data that IMOPSO converges better than multi-objective algorithms such as MOPSO and nondominated sorting genetic algorithm II (NSGA-II). Simulations are conducted for a DP ship with two propeller–rudder combinations. The simulation results with the single-objective PSO algorithm show that the proposed IMOPSO algorithm reduces thrust allocation errors in the three directions of surge, sway, and yaw by 48.48%, 39.64%, and 15.02%, respectively, and reduces power consumption by 44.53%, which demonstrates the feasibility and effectiveness of the proposed method. Full article
(This article belongs to the Section Ocean Engineering)
Show Figures

Figure 1

37 pages, 11724 KB  
Article
Collaborative Multidepot Vehicle Routing Problem with Dynamic Customer Demands and Time Windows
by Yong Wang, Jiayi Zhe, Xiuwen Wang, Yaoyao Sun and Haizhong Wang
Sustainability 2022, 14(11), 6709; https://doi.org/10.3390/su14116709 - 31 May 2022
Cited by 20 | Viewed by 5948
Abstract
Dynamic customer demands impose new challenges for vehicle routing optimization with time windows, in which customer demands appear dynamically within the working periods of depots. The delivery routes should be adjusted for the new customer demands as soon as possible when new customer [...] Read more.
Dynamic customer demands impose new challenges for vehicle routing optimization with time windows, in which customer demands appear dynamically within the working periods of depots. The delivery routes should be adjusted for the new customer demands as soon as possible when new customer demands emerge. This study investigates a collaborative multidepot vehicle routing problem with dynamic customer demands and time windows (CMVRPDCDTW) by considering resource sharing and dynamic customer demands. Resource sharing of multidepot across multiple service periods can maximize logistics resource utilization and improve the operating efficiency of delivery logistics networks. A bi-objective optimization model is constructed to optimize the vehicle routes while minimizing the total operating cost and number of vehicles. A hybrid algorithm composed of the improved k-medoids clustering algorithm and improved multiobjective particle swarm optimization based on the dynamic insertion strategy (IMOPSO-DIS) algorithm is designed to find near-optimal solutions for the proposed problem. The improved k-medoids clustering algorithm assigns customers to depots in terms of specific distances to obtain the clustering units, whereas the IMOPSO-DIS algorithm optimizes vehicle routes for each clustering unit by updating the external archive. The elite learning strategy and dynamic insertion strategy are applied to maintain the diversity of the swarm and enhance the search ability in the dynamic environment. The experiment results with 26 instances show that the performance of IMOPSO-DIS is superior to the performance of multiobjective particle swarm optimization, nondominated sorting genetic algorithm-II, and multiobjective evolutionary algorithm. A case study in Chongqing City, China is implemented, and the related results are analyzed. This study provides efficient optimization strategies to solve CMVRPDCDTW. The results reveal a 32.5% reduction in total operating costs and savings of 29 delivery vehicles after optimization. It can also improve the intelligence level of the distribution logistics network, promote the sustainable development of urban logistics and transportation systems, and has meaningful implications for enterprises and government to provide theoretical and decision supports in economic and social development. Full article
(This article belongs to the Special Issue Promotion and Optimization toward Sustainable Urban Logistics Systems)
Show Figures

Figure 1

29 pages, 33259 KB  
Article
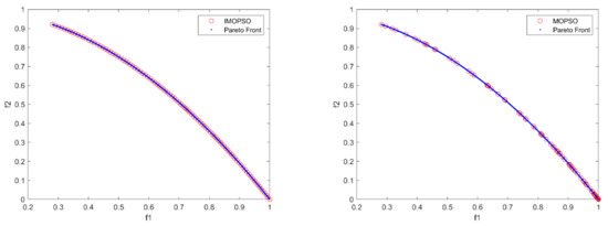
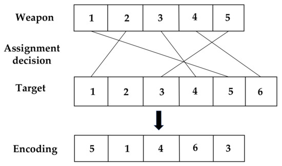
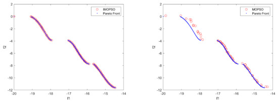
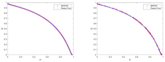
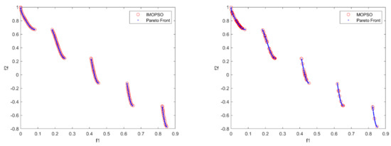
Solving the Dynamic Weapon Target Assignment Problem by an Improved Multiobjective Particle Swarm Optimization Algorithm
by Lingren Kong, Jianzhong Wang and Peng Zhao
Appl. Sci. 2021, 11(19), 9254; https://doi.org/10.3390/app11199254 - 5 Oct 2021
Cited by 37 | Viewed by 6423
Abstract
Dynamic weapon target assignment (DWTA) is an effective method to solve the multi-stage battlefield fire optimization problem, which can reflect the actual combat scenario better than static weapon target assignment (SWTA). In this paper, a meaningful and effective DWTA model is established, which [...] Read more.
Dynamic weapon target assignment (DWTA) is an effective method to solve the multi-stage battlefield fire optimization problem, which can reflect the actual combat scenario better than static weapon target assignment (SWTA). In this paper, a meaningful and effective DWTA model is established, which contains two practical and conflicting objectives, namely, maximizing combat benefits and minimizing weapon costs. Moreover, the model contains limited resource constraints, feasibility constraints and fire transfer constraints. The existence of multi-objective and multi-constraint makes DWTA more complicated. To solve this problem, an improved multiobjective particle swarm optimization algorithm (IMOPSO) is proposed in this paper. Various learning strategies are adopted for the dominated and non-dominated solutions of the algorithm, so that the algorithm can learn and evolve in a targeted manner. In order to solve the problem that the algorithm is easy to fall into local optimum, this paper proposes a search strategy based on simulated binary crossover (SBX) and polynomial mutation (PM), which enables elitist information to be shared among external archive and enhances the exploratory capabilities of IMOPSO. In addition, a dynamic archive maintenance strategy is applied to improve the diversity of non-dominated solutions. Finally, this algorithm is compared with three state-of-the-art multiobjective optimization algorithms, including solving benchmark functions and DWTA model in this article. Experimental results show that IMOPSO has better convergence and distribution than the other three multiobjective optimization algorithms. IMOPSO has obvious advantages in solving multiobjective DWTA problems. Full article
Show Figures

Figure 1

33 pages, 7382 KB  
Article
Collaboration and Resource Sharing in the Multidepot Multiperiod Vehicle Routing Problem with Pickups and Deliveries
by Yong Wang, Qin Li, Xiangyang Guan, Jianxin Fan, Yong Liu and Haizhong Wang
Sustainability 2020, 12(15), 5966; https://doi.org/10.3390/su12155966 - 24 Jul 2020
Cited by 23 | Viewed by 3734
Abstract
In this work, a multidepot multiperiod vehicle routing problem with pickups and deliveries (MDPVRPPD) is solved by optimizing logistics networks with collaboration and resource sharing among logistics service providers. The optimal solution can satisfy customer demands with periodic time characteristics and incorporate pickup [...] Read more.
In this work, a multidepot multiperiod vehicle routing problem with pickups and deliveries (MDPVRPPD) is solved by optimizing logistics networks with collaboration and resource sharing among logistics service providers. The optimal solution can satisfy customer demands with periodic time characteristics and incorporate pickup and delivery services with maximum resource utilization. A collaborative mechanism is developed to rearrange both the open and closed vehicle routes among multiple pickup and delivery centers with improved transportation efficiency and reduced operational costs. The effects of resource sharing strategies combining customer information sharing, facility service sharing, and vehicle sharing are investigated across multiple service periods to maximize resource utilization and refine the resource configuration. A multiobjective optimization model is developed to formulate the MDPVRPPD so that the minimum total operational costs, waiting time, and the number of vehicles are obtained. A hybrid heuristic algorithm incorporating a 3D clustering and an improved multiobjective particle swarm optimization (IMOPSO) algorithm is introduced to solve the MDPVRPPD and find Pareto optimal solutions. The proposed hybrid heuristic algorithm is based on a selective exchange mechanism that enhances local and global searching capabilities. Results demonstrate that the proposed IMOPSO outperforms other existing algorithms. We also study profit allocation issues to quantify the stability and sustainability of long-term collaboration among logistics participants, using the minimum costs remaining savings method. The proposed model and solution methods are validated by conducting an empirical study of a real system in Chongqing City, China. This study contributes to the development of efficient urban logistics distribution systems, and facilitates the expansion of intelligent and sustainable supply chains. Full article
(This article belongs to the Section Sustainable Transportation)
Show Figures

Graphical abstract

Back to TopTop