Sign in to use this feature.

Years

Between: -

Subjects

remove_circle_outline
remove_circle_outline
remove_circle_outline
remove_circle_outline
remove_circle_outline
remove_circle_outline
remove_circle_outline
remove_circle_outline
remove_circle_outline

Journals

remove_circle_outline
remove_circle_outline
remove_circle_outline
remove_circle_outline
remove_circle_outline

Article Types

Countries / Regions

remove_circle_outline
remove_circle_outline
remove_circle_outline
remove_circle_outline
remove_circle_outline
remove_circle_outline

Search Results (1,112)

Search Parameters:
Keywords = IFN-γ production

Order results
Result details
Results per page
Select all
Export citation of selected articles as:
19 pages, 3550 KB  
Article
Three-Dimensional Tumor Spheroids Reveal B7-H3 CAR T Cell Infiltration Dynamics and Microenvironment-Induced Functional Reprogramming in Solid Tumors
by Feng Chen, Ke Ning, Yuanyuan Xie, Xiaoyan Yang, Ling Yu and Xinhui Wang
Cells 2026, 15(2), 169; https://doi.org/10.3390/cells15020169 (registering DOI) - 16 Jan 2026
Abstract
Chimeric antigen receptor (CAR) T cell therapy has demonstrated clinical success in hematologic malignancies but has limited efficacy in solid tumors due to tumor microenvironment (TME) barriers that impede CAR T cell recognition, infiltration, and sustained function. Traditional 2D assays inadequately recapitulate these [...] Read more.
Chimeric antigen receptor (CAR) T cell therapy has demonstrated clinical success in hematologic malignancies but has limited efficacy in solid tumors due to tumor microenvironment (TME) barriers that impede CAR T cell recognition, infiltration, and sustained function. Traditional 2D assays inadequately recapitulate these constraints, necessitating improved in vitro models. This study validated a 3D tumor spheroid platform using an agarose microwell system to generate uniform B7-H3-positive spheroids from multiple solid tumor cell lines, enabling the evaluation of CAR T cell activity. TME-relevant immune modulation under 3D conditions was analyzed by flow cytometry for B7-H3, MHC I/II, and antigen processing machinery (APM), followed by co-culture with B7-H3 CAR T cells to assess cytotoxicity, spheroid integrity, tumor viability, and CAR T cell activation, exhaustion, and cytokine production. Two human cancer-cell-line-derived spheroids, DU 145 (prostate cancer) and SUM159 (breast cancer), retained B7-H3 expression, while MC38 (mouse colon cancer)-derived spheroids served as a B7-H3 negative control. Under 3D culture conditions, DU 145 and SUM159 spheroids acquire TME-like immune evasion characteristics and specifically downregulated MHC-I and APM (TAP1, TAP2, LMP7) with concurrent upregulation of MHC-II and calreticulin. Co-culture showed effective spheroid infiltration, cytotoxicity, and structural disruption, with infiltrating CAR T cells displaying higher CD4+ fraction, activation, exhaustion, effector/terminal differentiation, and IFN-γ/TNF-α production. This 3D platform recapitulates critical TME constraints and provides a cost-effective, feasible preclinical tool to assess CAR T therapies beyond conventional 2D assays. Full article
(This article belongs to the Section Cell Methods)
27 pages, 759 KB  
Review
Dietary Fiber and Melanoma: Exploring Microbiome-Driven Immune Modulation
by Laci Turner, Connor K. Sisk and Nabiha Yusuf
Cancers 2026, 18(2), 203; https://doi.org/10.3390/cancers18020203 - 8 Jan 2026
Viewed by 197
Abstract
Background/Objectives: The gut microbiome influences melanoma biology and response to immune checkpoint inhibitors. Dietary fiber is a key modifiable factor that shapes the microbial composition and metabolite production. This review summarizes mechanistic, preclinical, and clinical evidence describing how fiber and fiber-responsive taxa [...] Read more.
Background/Objectives: The gut microbiome influences melanoma biology and response to immune checkpoint inhibitors. Dietary fiber is a key modifiable factor that shapes the microbial composition and metabolite production. This review summarizes mechanistic, preclinical, and clinical evidence describing how fiber and fiber-responsive taxa may affect melanoma immunity and treatment outcomes. Methods: A literature search of MEDLINE, Embase, and Scopus identified studies published within the past five years examining dietary fiber, gut microbiome interactions, immune modulation, or melanoma outcomes. After screening 491 unique records, 49 peer-reviewed mechanistic, preclinical, observational, and interventional studies were synthesized qualitatively in this narrative review. Results: Fiber fermentation produces short-chain fatty acids that regulate dendritic cell activation, T-cell priming, and cytokine signaling. Preclinical melanoma models show that fibers such as inulin and β-glucan enhance IFN-γ-driven antitumor immunity, increase CD8+ infiltration, and improve checkpoint blockade efficacy in a microbiota-dependent manner. In humans, fiber-rich diets and enrichment of taxa such as Bifidobacterium, Faecalibacterium, and Akkermansia are associated with improved PD-1 inhibitor responses, longer progression-free survival, and possible reductions in ICI-related colitis. Although epidemiologic studies suggest no clear association between fiber intake and melanoma incidence, dietary fiber intake appears to correlate strongly with treatment-related outcomes. Conclusions: Dietary fiber represents a potentially safe and plausible adjunct to melanoma immunotherapy. However, study variability and emerging counterevidence highlight the need for controlled trials to clarify causality and define optimal fiber-based interventions. Full article
(This article belongs to the Special Issue Gut Microbiome, Diet and Cancer Risk)
Show Figures

Figure 1

20 pages, 6829 KB  
Article
Polyphyllin II Triggers Pyroptosis in Hepatocellular Carcinoma via Modulation of the ROS/NLRP3/Caspase-1/GSDMD Axis
by Huating Huang, Boran Ni, Qi Chen, Wenqi Wang, Zishuo Guo, Nan Wang, Rui Chen, Xingbin Yin, Changhai Qu, Jian Ni and Xiaoxv Dong
Antioxidants 2026, 15(1), 75; https://doi.org/10.3390/antiox15010075 - 6 Jan 2026
Viewed by 265
Abstract
Pyroptosis is a type of programmed cell death (PCD) with pro-inflammatory properties, which is characterized by the swelling with bubbles and the release of LDH and inflammatory cell cytokines. Polyphyllin II (PPII) is the main active ingredient of the Chinese herb Rhizoma Paridis [...] Read more.
Pyroptosis is a type of programmed cell death (PCD) with pro-inflammatory properties, which is characterized by the swelling with bubbles and the release of LDH and inflammatory cell cytokines. Polyphyllin II (PPII) is the main active ingredient of the Chinese herb Rhizoma Paridis and has been proven to exert high efficacy against a variety of malignant tumors. At present, the anti-tumor research on PPII mainly focuses on apoptosis that is an anti-inflammatory type of PCD, but other potential modes of death cell death and mechanisms of PPII remain to be discovered. Here, we first found that PPII could effectively inhibit the growth of hepatocellular carcinoma (HCC) cells via pyroptosis. After treatment with PPII, the morphology of swelling with bubbles and the formation of pores in the cell membrane in HCC cells were observed, and LDH and cell cytokines (IL-1β, IL-18, IL-6, TNF-α, IFN-β, and IFN-γ) were released. Furthermore, the flow cytometry results showed that PPII could activate oxidative stress by increasing Ca2+ influx, thereby promoting the production of ROS to exert anti-tumor effects. RNA sequencing revealed that pyroptosis is closely linked to several signaling pathways, including the MAPK, TNF, Rap1, mTOR, and FoxO pathways, as well as the PD-L1 expression and PD-1 checkpoint pathway. An in vivo study demonstrated that PPII treatment suppressed liver tumor growth in mice by pyroptosis in a dose-dependent manner, and it showed no obvious side effects within a certain range. The Western blot results of tumor tissues revealed that the pyroptosis effect of PPII on liver cancer was associated with the activation of the NLRP3/Caspase1/GSDMD pathway, which upregulates the expression of NLRP3, Cleaved-Caspase 1, GSDMD-N, IL-1β, and IL-18 proteins and downregulates the expression of pro-Caspase 1 and GSDMD proteins. In summary, our findings revealed the pyroptosis effect and mechanism of PPII in HCC cells in vitro and in vivo, suggesting that PPII may be used as a potential pyroptosis inducer for HCC treatment in the future. Full article
Show Figures

Figure 1

20 pages, 3781 KB  
Article
Preclinical Assessment of a New Virus-like Particle-Based Quadrivalent Human Papillomavirus Vaccine in Animal Models
by Hajar Mohammadi Barzelighi, Zahra Naderi Saffar, Erfan Pakatchian, Mohammad Taqavian, Babak Javadimehr, Mansooreh Safaeian, Payam Abbaszadeh and Hasan Jalili
Vaccines 2026, 14(1), 66; https://doi.org/10.3390/vaccines14010066 - 5 Jan 2026
Viewed by 346
Abstract
Background: A quadrivalent HPV vaccine (BPV) has been developed to prevent diseases caused by HPV types 6, 11, 16, and 18 for the first time in Iran. The BPV is composed of the papillomavirus major capsid protein L1, which serves as the primary [...] Read more.
Background: A quadrivalent HPV vaccine (BPV) has been developed to prevent diseases caused by HPV types 6, 11, 16, and 18 for the first time in Iran. The BPV is composed of the papillomavirus major capsid protein L1, which serves as the primary target in the design of the prophylactic HPV vaccines. To enhance immunogenicity, BPV was formulated with an amorphous aluminum hydroxy phosphate sulfate adjuvant. Methods: The immunogenicity and safety of BPV were assessed through analyses of both humoral and cell-mediated immunity, single and repeated doses, and reproductive effects using animal models. Results: Acute toxicity assessments showed no abnormalities in ophthalmic examinations, biochemical profiles, hematological parameters, and gross pathology findings. Additionally, no mortality or abnormal clinical signs were observed during a 90-day repeated-dose toxicity study. While some inflammatory reactions were noted at the injection sites and in the liver tissues of BPV-treated groups, these reactions were resolved by day 90 after the initial BPV administration. Furthermore, no signs of toxicity were detected in F1 offspring, and no adverse effects were identified in maternal reproductive performance, fertility, or hematological or biochemical parameters throughout the study duration. The BPV candidate successfully induced T-cell proliferation and increased the proportions of CD3+ CD4+ and CD3+ CD8+ T cells. It also stimulated the secretion of both interferon gamma (IFN-γ) and interleukin-4 (IL-4) cytokines in splenocytes isolated from animal models after the third dose. Moreover, anti-HPV L1 IgG antibody production was confirmed on day 14 after administration of each of the three BPV vaccine doses. Conclusions: The findings suggest that BPV is a vaccine candidate that stimulates both cellular and humoral immunity and demonstrate its safety profile in animal models. Full article
(This article belongs to the Section Human Papillomavirus Vaccines)
Show Figures

Graphical abstract

15 pages, 1084 KB  
Article
Antigenic-Specificity and Cytokine Profile of the T-Cell Response to Human Cytomegalovirus in Transplant Recipients
by Federica Zavaglio, Paola Zelini, Asja Cera, Piera d’Angelo, Marilena Gregorini, Teresa Rampino, Lucia Del Frate, Federica Meloni, Oscar Borsani, Carlo Pellegrini, Fausto Baldanti and Daniele Lilleri
Pathogens 2026, 15(1), 53; https://doi.org/10.3390/pathogens15010053 - 5 Jan 2026
Viewed by 184
Abstract
Human cytomegalovirus (HCMV) infection is a significant complication in transplant recipients. Following HCMV reactivation, the recovery of T-cell responses serves as a key indicator of protection from HCMV disease. This study aimed to assess the HCMV-specific CD4+ and CD8+ T-cell responses [...] Read more.
Human cytomegalovirus (HCMV) infection is a significant complication in transplant recipients. Following HCMV reactivation, the recovery of T-cell responses serves as a key indicator of protection from HCMV disease. This study aimed to assess the HCMV-specific CD4+ and CD8+ T-cell responses and their cytokine production (IFNγ, TNFα, IL2) against various HCMV proteins (IE-1, pp65, gB, gH/gL/pUL128L) in solid organ transplant recipients (SOTRs) and hematopoietic stem cell transplant recipients (HSCTRs) with active HCMV infection. The cohort consisted of 16 SOTR and 16 HSCTR categorized into two groups: (i) Controllers, who spontaneously controlled the infection, and (ii) Non-Controllers, who required antiviral treatment. T-cell responses were analyzed following stimulation with peptide pools and intracellular cytokine staining. Prior to transplantation, all patients exhibited a significantly higher frequency of CD4+ T cells specific to pp65 compared to gH and gL/pUL128L. During the peak of infection, T-cell frequencies across all peptides were similar, but at infection resolution, the frequency of pp65 and gB-specific CD4+IFNγ+ T cells was significantly higher than gL/pUL128L. Additionally, pp65 and IE-1-specific CD8+IFNγ+ T-cell responses were significantly greater than those against gH and gL/pUL128L at the resolution of infection. Notably, Controllers exhibited significantly higher frequencies of monofunctional pp65-specific T cells, particularly in CD8+ T cells producing IFNγ and TNFα. The response to pp65, especially IFNγ production, may serve as a key marker for identifying patients capable of controlling HCMV infection. Full article
Show Figures

Figure 1

17 pages, 1666 KB  
Article
Immune Response of Pigs Vaccinated Against Proliferative Enteropathy and Co-Infected with Lawsonia intracellularis and Brachyspira hyodysenteriae
by Sarah Chagas, Peyton Jensen, Eliana Paladino, Lívia Mendonça Pascoal, Stephan von Berg, Connie Gebhart and Fabio A. Vannucci
Animals 2026, 16(1), 114; https://doi.org/10.3390/ani16010114 - 31 Dec 2025
Viewed by 349
Abstract
Vaccination is a tool to control Lawsonia intracellularis (LI) in pigs. However, pigs may have co-infections that worsen clinical signs and lesions. The aim of this study was to characterize systemic and gut-mediated humoral and cell-mediated immune (CMI) responses in pigs vaccinated with [...] Read more.
Vaccination is a tool to control Lawsonia intracellularis (LI) in pigs. However, pigs may have co-infections that worsen clinical signs and lesions. The aim of this study was to characterize systemic and gut-mediated humoral and cell-mediated immune (CMI) responses in pigs vaccinated with a killed intramuscular LI vaccine and to analyze the impact of co-infection with Brachyspira hyodysenteriae (Bhyo) on the immune response. The study included eighty pigs and five study groups: V-CO (LI-vaccinated and co-infected with LI + Bhyo, n = 21), P-CO (placebo and co-infected with LI + Bhyo, n = 18), V-LI (LI-vaccinated and infected with LI, n = 21), P-LI (placebo and infected with LI, n = 12), and NC (negative control, placebo and non-challenged, n = 8). Parameters analyzed: fecal score and pathogen shedding), gross intestinal lesions, LI intestinal colonization (IHC), serum IgG, LI-specific IFN-γ production (ELISPOT), and immune cell subsets (flow cytometry) in blood, mesenteric lymph nodes, Peyer’s patches, and intestinal epithelium. LI vaccination significantly reduced LI fecal shedding, intestinal colonization, and macroscopic lesions—even under Bhyo co-infection. Vaccinated pigs had earlier and stronger serum IgG and IFN-γ responses. B cells seem to play an important role in the local immune response, and T regulatory cells apparently do not have a significant role in immunomodulation. This study contributes to a better understanding of LI immune response and can provide subtract for further research in the control of LI. Full article
(This article belongs to the Section Pigs)
Show Figures

Figure 1

18 pages, 2782 KB  
Article
LigiLactobacillus saerimneri M-11 as a Promising Mucosal Delivery Vector for Chickens: Genomic Insights and Discriminative Modulation of Dendritic Cell Activation
by Sunting Ma, Haoran Qin, Shuanglin Guo, Lei Zhang, Rong Chen, Wei Ouyang, Bin Xu, Zhenzhen Zhang, Qiyan Xiong, Xing Xie and Zhixin Feng
Vet. Sci. 2025, 12(12), 1204; https://doi.org/10.3390/vetsci12121204 - 16 Dec 2025
Viewed by 269
Abstract
LigiLactobacillus saerimneri (L. sae) has shown considerable promise as a probiotic in recent years, particularly in poultry production. Comprehensive evaluation of its genetic functions, safety profile, and immunogenicity is essential prior to practical application. Our previous study demonstrated that the chicken-derived [...] Read more.
LigiLactobacillus saerimneri (L. sae) has shown considerable promise as a probiotic in recent years, particularly in poultry production. Comprehensive evaluation of its genetic functions, safety profile, and immunogenicity is essential prior to practical application. Our previous study demonstrated that the chicken-derived strain L. sae M-11 colonizes effectively and exhibits a favorable safety profile at adequate dosages. In this study, we further evaluated the potential of L. sae M-11 by analyzing its genetic basis for intestinal adaptation, metabolic features, safety risks, and suitability as a delivery vector. Comparative genomic analysis revealed that L. sae has evolved distinctive genetic features and functional specialization that may facilitate host adaptation. Genomic stability assessments and virulence factor screening confirmed that L. sae M-11 poses no substantial health risks. Furthermore, based on transmembrane protein predictions, the LPQTGE-motif protein was identified as a cell wall anchor in genetically engineered L. sae M-11 using immunoelectron microscopy. Notably, this delivery system selectively activated peripheral blood monocyte-derived dendritic cells (PB-MoDCs) in vitro, as evidenced by the up-regulation of maturation markers (CD83, CD80), pro-inflammatory cytokines (IL-1β, IL-6), Th1-associated IL-12, and the chemokine CXCLi1. However, it exhibited a limited antigen presentation capacity, indicated by low expression levels of CD40, MHCII, DEC205, TNF-α, and IFN-γ. The prospects and challenges associated with the application of L. sae M-11 have been discussed. Overall, these findings support the potential development of L. sae M-11 as a microbial cell factory and mucosal delivery vector. Full article
Show Figures

Figure 1

17 pages, 1509 KB  
Article
IL-10 Plays a Critical Role in Mitigating Acute Anaemia Development During African Trypanosome Infection
by Maida Živalj, Anaïs St. Martin, Patrick De Baetselier, Liudmyla Maksymova, Fara Berghmans, Louis Boon, Jo A. Van Ginderachter, Stefan Magez, Carl De Trez and Benoit Stijlemans
Pathogens 2025, 14(12), 1276; https://doi.org/10.3390/pathogens14121276 - 12 Dec 2025
Viewed by 428
Abstract
During the first week of T. b. brucei infection, pro-inflammatory IFN-γ production drives acute anaemia by promoting red blood cell clearance by activated macrophages in concert with insufficient bone marrow compensation. The latter is followed by a partial recovery phase, which later progresses [...] Read more.
During the first week of T. b. brucei infection, pro-inflammatory IFN-γ production drives acute anaemia by promoting red blood cell clearance by activated macrophages in concert with insufficient bone marrow compensation. The latter is followed by a partial recovery phase, which later progresses to chronic anaemia. To compensate for acute anaemia, stress-induced extramedullary erythropoiesis occurs in the spleen. However, the role of IL-10, a key anti-inflammatory cytokine in regulating stress-induced acute anaemia during African trypanosomosis (AT), remains unclear. Using both genetic and pharmacological approaches, we show that IL-10 is essential to limit acute anaemia by dampening inflammation and promoting splenic erythropoiesis, enabling recovery. More specifically, IL-10 blockade impairs erythropoiesis in both bone marrow and spleen, particularly at early erythroid differentiation stages, and associates with reduced central macrophage (CM) numbers in the bone marrow. In contrast, the co-inhibition of IL-10 and IFN-γ reduces inflammation and partially restores splenic CM numbers and erythropoiesis, highlighting IFN-γ’s suppressive role in erythropoiesis. Overall, these findings underscore IL-10’s key role in regulating stress-induced erythropoiesis during AT by modulating erythroid differentiation and CM abundance, thereby limiting immune-mediated acute anaemia. Consequently, timely adjustment of the IL-10/IFN-γ balance may enhance erythropoiesis and offer a potential therapeutic strategy to mitigate anaemia development. Full article
(This article belongs to the Section Parasitic Pathogens)
Show Figures

Figure 1

15 pages, 1952 KB  
Article
Epithelial–Macrophage Crosstalk in Host Responses to Campylobacter jejuni Infection in Humans
by Khaled Abdelaziz, Shreeya Sharma, Mostafa Naguib and Alexis Stamatikos
Microorganisms 2025, 13(12), 2808; https://doi.org/10.3390/microorganisms13122808 - 10 Dec 2025
Viewed by 418
Abstract
Interactions between Campylobacter jejuni and host immune cells have been studied using various single-cell line models, such as macrophages and intestinal epithelial cells; however, these single-cell approaches do not fully capture the complexity of the host response. Investigating the interactions between these cell [...] Read more.
Interactions between Campylobacter jejuni and host immune cells have been studied using various single-cell line models, such as macrophages and intestinal epithelial cells; however, these single-cell approaches do not fully capture the complexity of the host response. Investigating the interactions between these cell types offers a more comprehensive model for understanding Campylobacter–host dynamics. Therefore, this study aimed to investigate these interactions, specifically between intestinal epithelial cells and macrophages, using an in vitro model of C. jejuni infection. We examined whether soluble factors secreted from C. jejuni-infected HT-29 cells (human colorectal adenocarcinoma cells that express characteristics of mature intestinal cells) at 10 and 50 multiplicities of infection (MOI) influence RAW 264.7 macrophage activity, including nitric oxide (NO) production, migration, phagocytosis, bacterial killing, and the expression of cytokines (IL-6, IL-1β, TNF-α) and the chemokine CCL2. C. jejuni infection of HT-29 cells at 10 MOI induced significant IFN-γ production, a key macrophage activator. The treatment of macrophages with supernatants from HT-29 cells infected with C. jejuni significantly increased NO production, enhanced migration and phagocytic activity, and increased IL-6, TNF-α and CCL2 gene expression. However, no significant killing of phagocytosed C. jejuni was observed. On the other hand, supernatants from HT-29 cells infected with 50 MOI of C. jejuni suppressed NO production and macrophage phagocytosis, which may explain individual variations in the immune system’s ability to contain infection, potentially influenced by the infectious dose. These findings support the notion that Campylobacter can evade macrophage killing even under activated conditions. Further studies are needed to elucidate the molecular mechanisms by which Campylobacter survives within activated macrophages. Full article
(This article belongs to the Special Issue Breaking Barriers: The Breakdown of Epithelial Defenses by Pathogens)
Show Figures

Figure 1

14 pages, 6552 KB  
Article
Taurine Attenuates M1 Macrophage Polarization and IL-1β Production by Suppressing the JAK1/2-STAT1 Pathway via Metabolic Reprogramming
by Zi’an Zhang, Danyue Li, Suhui He, Weilv Xu, Qian Lv, Yumeng Wang, Jinxia Xu, Zexu Yu, Shiyang Liu, Yuanxiang Ge, Fushan Shi and Yuqi Yan
Biology 2025, 14(12), 1751; https://doi.org/10.3390/biology14121751 - 6 Dec 2025
Viewed by 791
Abstract
Dysregulated macrophage polarization is associated with various diseases, including sepsis, atherosclerosis, and fibrotic diseases. While taurine is known to exert immunomodulatory effects, its mechanism in regulating M1 macrophage polarization and interleukin-1β (IL-1β) production remains incompletely understood. This study aimed to elucidate the role [...] Read more.
Dysregulated macrophage polarization is associated with various diseases, including sepsis, atherosclerosis, and fibrotic diseases. While taurine is known to exert immunomodulatory effects, its mechanism in regulating M1 macrophage polarization and interleukin-1β (IL-1β) production remains incompletely understood. This study aimed to elucidate the role of taurine in modulating macrophage immunometabolism and inflammatory signaling. Using thioglycolate-elicited peritoneal macrophages and macrophage cell lines, we assessed taurine’s impact on lipopolysaccharide (LPS)/interferon-γ (IFN-γ)-induced M1 polarization through metabolomics and a range of molecular biology techniques. Pharmacological manipulation of the JAK1/2-STAT1 pathway and an LPS-induced murine sepsis model were used for mechanistic and therapeutic validation. Our results demonstrate that taurine significantly suppressed M1 polarization. Metabolomic profiling uniquely identified a marked increase in intracellular spermine as a key metabolic alteration induced by taurine. This increased spermine subsequently inhibited JAK1/2-STAT1 activation, leading to reduced IL-1β release. In mice, taurine alleviated systemic inflammation, reduced pathological damage in multiple organs, and decreased intestinal M1 macrophage infiltration. These findings establish a novel mechanism where taurine attenuates M1 polarization and IL-1β production through metabolically driven spermine accumulation and subsequent JAK1/2-STAT1 suppression, highlighting its therapeutic potential for inflammatory diseases. Full article
Show Figures

Graphical abstract

20 pages, 1556 KB  
Article
Oral and Periodontal Health Status, Peripheral Immune Dysregulation, and Cognitive Impairment in Alzheimer’s Disease: A Clinical and Immunological Study
by Michał Ochnik, Jacek Zborowski, Jerzy Leszek, Adrianna Senczyszyn, Breno Satler Diniz, Aleksandra Sender-Janeczek, Egbert Piasecki and Marta Sochocka
Int. J. Mol. Sci. 2025, 26(23), 11752; https://doi.org/10.3390/ijms262311752 - 4 Dec 2025
Viewed by 610
Abstract
Periodontal disease (PeD), a chronic oral infectious-inflammatory condition, has been linked to systemic inflammatory processes, which may contribute to the onset or progression of various systemic disorders including Alzheimer’s disease (AD). We hypothesized that worsening oral and periodontal health, leading to the development [...] Read more.
Periodontal disease (PeD), a chronic oral infectious-inflammatory condition, has been linked to systemic inflammatory processes, which may contribute to the onset or progression of various systemic disorders including Alzheimer’s disease (AD). We hypothesized that worsening oral and periodontal health, leading to the development of PeD, is associated with cognitive impairment and AD progression as well as peripheral immune system dysregulation. This study included 68 participants: 36 with AD and 32 cognitively healthy, age-matched controls (HCs). Periodontal assessment was performed for diagnosis of PeD (gingivitis or periodontitis). Correlations between oral and periodontal health status, cognitive impairment, and AD severity were evaluated. Peripheral immunity markers were investigated. Peripheral blood leukocytes (PBLs) were stimulated ex vivo with LPS from Porphyromonas gingivalis (LPS-PG) to assess cytokine IFN-γ, TNF-α, IL-1β, IL-6, IL-10, and IL-15 production. The average levels of peripheral immunity markers were significantly lower in AD compared to HCs. AD severity was associated with poorer oral hygiene and increased periodontal tissue inflammation. PBLs from AD patients exhibited a baseline impairment in immune responsiveness reflected in decreased spontaneous TNF-α, IL-1β, IL-6, and IL-10 production. Nevertheless, stronger activation in response to LPS-PG was observed. Poorer oral health status in AD was associated with reduced levels of IL-10 and IL-6. Poor oral and periodontal health may contribute to cognitive impairment and AD progression. Even mild inflammation in periodontal tissue or gingivitis may already influence peripheral immune cell conditions, which in turn might be related to negative consequences for the brain and mental health. Full article
Show Figures

Figure 1

17 pages, 1142 KB  
Article
Rifampicin/Quercetin Nanoemulsions: Co-Encapsulation and In Vitro Biological Assessment Toward Tuberculosis Therapy
by Frank do Carmo Guedes Júnior, Gabriela Hädrich, Camila de Oliveira Vian, Gustavo Richter Vaz, Virginia Campello Yurgel, Daniela Pastorim Vaiss, Gabriela Alves Felício da Costa, Marcelle Oliveira Garcia, Wanessa Maria dos Santos, Beatriz Sodré Matos, Lara Cristina dos Santos Teodoro, João Victor Villa Real, David Nascimento da Silva Teixeira, Alexandre de Paula Rogério, Sergiane Caldas Barbosa, Ednei Gilberto Primel, Pedro Eduardo Almeida da Silva, Daniela Fernandes Ramos and Cristiana Lima Dora
Pharmaceuticals 2025, 18(12), 1829; https://doi.org/10.3390/ph18121829 - 1 Dec 2025
Viewed by 410
Abstract
Background: Tuberculosis (TB) remains a leading cause of global mortality, with 1.25 million deaths reported in 2023. Extended treatment duration contributes to poor patient adherence and treatment failure. Innovative drug delivery platforms are needed to improve therapeutic outcomes. Objective: This study [...] Read more.
Background: Tuberculosis (TB) remains a leading cause of global mortality, with 1.25 million deaths reported in 2023. Extended treatment duration contributes to poor patient adherence and treatment failure. Innovative drug delivery platforms are needed to improve therapeutic outcomes. Objective: This study aimed to develop nanoemulsions co-encapsulating quercetin and rifampicin and evaluate their physicochemical properties and in vitro biological activity relevant to TB therapy. Methods: Nanoemulsions (NEs) were prepared via hot solvent diffusion and phase inversion temperature techniques. Physicochemical characterization, stability, anti-inflammatory effects in BEAS-2B cells, and antimycobacterial activity against Mycobacterium tuberculosis H37Rv and resistant strains were assessed in vitro. Results: The quercetin-rifampicin nanoemulsion (QUE-RIF-NE) showed an average size of 24 nm, zeta potential of −27 mV, and drug recovery rates of 77% (quercetin) and 75% (rifampicin). The formulation was stable and non-cytotoxic at 10−8 M, reducing IFN-γ production by half and reactive oxygen species production by almost 75% in BEAS-2B cells. It also exhibited antimycobacterial activity against both susceptible and resistant M. tuberculosis strains (MIC ≤ 0.015 µg/mL). Conclusions: QUE-RIF-NE exhibits promising physicochemical stability and dual anti-inflammatory and antimicrobial activity in vitro, demonstrating potential for optimized pulmonary or systemic TB therapy that integrates both anti-inflammatory and antimicrobial effects. Full article
(This article belongs to the Special Issue Application of Nanotechnology in Drug Delivery)
Show Figures

Graphical abstract

16 pages, 1159 KB  
Article
Immunogenicity of a Lipopolysaccharide Brucella melitensis Vaccine in Goats: An Exploratory Study
by Alnakhli Naseer, Steven C. Olsen, Salman Mo, Joshua B. Daniels and Brian McCluskey
Vaccines 2025, 13(12), 1209; https://doi.org/10.3390/vaccines13121209 - 29 Nov 2025
Viewed by 663
Abstract
Background: Brucella melitensis is considered one of the most widespread zoonotic pathogens worldwide. Vaccination remains the most cost-effective strategy for controlling B. melitensis infection in small ruminants. Methods: In this study, we evaluated the immunologic responses and protection against experimental challenge in 18 [...] Read more.
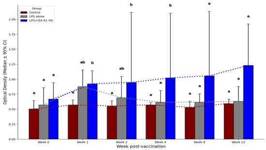
Background: Brucella melitensis is considered one of the most widespread zoonotic pathogens worldwide. Vaccination remains the most cost-effective strategy for controlling B. melitensis infection in small ruminants. Methods: In this study, we evaluated the immunologic responses and protection against experimental challenge in 18 goats vaccinated with either lipopolysaccharide (LPS) from B. melitensis strain 16M (LPS alone), LPS of B. melitensis strain 16M and MONTANIDE™ ISA 61 VG adjuvant (Seppic; 50 Bd national, 92250 La Garenne-Colombes, France) (LPS + ISA 61 VG), or saline as a control. Results: Goats (n = 6) vaccinated with LPS + ISA 61 VG had greater (p < 0.05) antibody responses than those that were nonvaccinated. Our data demonstrate that goats vaccinated with LPS + ISA 61 VG exhibited greater lymphocyte proliferative responses (p < 0.05) to the LPS antigen than those vaccinated with LPS alone at week 12 after vaccination. However, proliferative responses of peripheral blood mononuclear cell (PBMC) from goats vaccinated with LPS + ISA61VG did not differ (p > 0.05) from responses of PBMC from control goats. CD4+, CD8+, and γδ T cells from all vaccinated goats had negligible proliferation and failed to induce antigen-specific IFN-γ production. Control and vaccinated goats did not differ (p > 0.05) in their protection against abortion, uterine, fetal, mammary, or maternal infection. Conclusions: Our data suggests that LPS + ISA 61 VG induces a robust humoral response but negligible cellular responses. Our data also suggest that LPS + ISA 61 VG or LPS alone would not be efficacious for use as a vaccine in goats, but the LPS + ISA 61 VG inoculum may be beneficial as a booster. Additional trials would be necessary to evaluate the vaccine’s efficacy as a booster inoculation for small ruminants. Full article
(This article belongs to the Section Veterinary Vaccines)
Show Figures

Figure 1

15 pages, 683 KB  
Article
Influence of Nutritional Strategies on Performance, Gut Barrier Function and Microbiota Composition in Weaned Piglets
by Sara Isusi, Guillermo Usero-Alonso, Jose Alberto Murillo, Ana Belén Gonzalez-Guijarro, Antonio Muñoz and Guillermo Ramis
Animals 2025, 15(23), 3422; https://doi.org/10.3390/ani15233422 - 27 Nov 2025
Viewed by 613
Abstract
The restriction of antibiotics and therapeutic zinc oxide in piglet diets has increased challenges related to gut health and post-weaning performance. This study assessed the effects of a diet supplemented with organic acids and the probiotic Clostridium butyricum on intestinal integrity, fecal microbiota [...] Read more.
The restriction of antibiotics and therapeutic zinc oxide in piglet diets has increased challenges related to gut health and post-weaning performance. This study assessed the effects of a diet supplemented with organic acids and the probiotic Clostridium butyricum on intestinal integrity, fecal microbiota composition, and performance parameters in weaned piglets. Forty piglets were selected at weaning, and fecal samples were collected on day 0 and day 14 of supplementation. Gene expression of tight junction proteins (zonulin, occludin) and inflammatory markers (calprotectin, IFN-γ, TGF-β) was analyzed by PCR. Bacterial DNA quantification was used to evaluate microbiota changes. In addition, average daily gain (ADG), feed conversion ratio (FCR), and mortality were recorded across three feeding phases: CONTROL, TRANSITION, and 0M. No significant changes were found in tight junction protein expression post-weaning, but reductions in IFN-γ and TGF-β suggest improved immune modulation. Piglets in the TRANSITION and 0M groups showed higher ADG (CONTROL = 292.28 g/day; TRANSITION = 300.09 g/day; 0M = 307.45 g/day) and reduced mortality (CONTROL = 6.48%; TRANSITION = 5.10%; 0M = 5.08%) compared to CONTROL. These findings indicate that targeted dietary supplementation can support gut health and performance in weaned piglets, offering a promising alternative to medicated feed under current regulatory constraints. Further research is guaranteed to refine these strategies for broader application in sustainable pig production. Full article
(This article belongs to the Special Issue Advances in Pig Microbiome: Gut Influences and Beyond)
Show Figures

Figure 1

23 pages, 1191 KB  
Article
Comparative Study on Extracts from Traditional Medicinal Plants Echinacea purpurea (L.) Moench and Onopordum acanthium (L.): Antioxidant Activity In Vitro and Anxiolytic Effect In Vivo
by Maria Vlasheva, Mariana Katsarova, Ilin Kandilarov, Hristina Zlatanova-Tenisheva, Petya Gardjeva, Petko Denev, Kiril Atliev, Nora Sadakova, Maria Dimitrova, Ilia Kostadinov and Stela Dimitrova
Pharmaceuticals 2025, 18(12), 1801; https://doi.org/10.3390/ph18121801 - 26 Nov 2025
Viewed by 534
Abstract
Background: Echinacea purpurea (L.) Moench (EP) and Onopordum acanthium (L.) (OA) are promising medicinal plants with diverse biological activities but there is no information on the effects of their combinations. To harness the therapeutic potential of both while minimizing the risk of [...] Read more.
Background: Echinacea purpurea (L.) Moench (EP) and Onopordum acanthium (L.) (OA) are promising medicinal plants with diverse biological activities but there is no information on the effects of their combinations. To harness the therapeutic potential of both while minimizing the risk of adverse effects, we prepared two combinations (CE1 and CE2) of EP and OA in ratios 1:1 and 3:1, respectively. Methods: Oxygen radical absorbance capacity (ORAC), hydroxyl radical absorbance capacity (HORAC), and an electrochemical assay were used to determine the antioxidant activity of the extracts in vitro. The anxiolytic and immunomodulatory properties were studied in rats. Animals were subjected to acute cold stress and anxiety-like behavior was evaluated by the elevated plus maze (EPM) and social interaction test (SIT). Serum IFN-γ, TNF-α and IL-10 levels were measured by ELISA. Results: CE2 demonstrated the highest antioxidant activity (1841.7 μmolTE/g by ORAC, 277.2 GAE/g by HORAC, and 39.6 by electrochemical method). Moreover CE2 produced anxiolytic-like effects—significantly increasing the open arms entries ratio (OAER; p < 0.001), open arms time ratio (OATR; p < 0.01) in the EPM, and prolonging the social interaction time (p < 0.05) versus the stressed control. OA increased OAER (p < 0.01) and OATR (p < 0.001), while EP increased only OAER (p < 0.01). CE1 showed no significant behavioral consequences. CE2 significantly reduced IFN-γ (p < 0.05), and IL-10 levels were elevated in OA and CE2 groups (p < 0.01). No significant changes in TNF-α levels were observed across groups. Conclusions: These findings indicate that CE2 and OA attenuate anxiety-like behavior and modulate the immune response primarily by stimulating IL-10 production. Full article
Show Figures

Graphical abstract

Back to TopTop