Sign in to use this feature.

Years

Between: -

Subjects

remove_circle_outline
remove_circle_outline
remove_circle_outline
remove_circle_outline
remove_circle_outline
remove_circle_outline

Journals

Article Types

Countries / Regions

Search Results (11)

Search Parameters:
Keywords = Hodgkin Huxley equation

Order results
Result details
Results per page
Select all
Export citation of selected articles as:
15 pages, 28011 KB  
Article
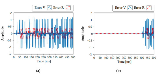
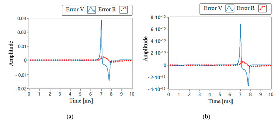
Computational Study of Singularly Perturbed Neurodynamical Models via Cubic B-Spline
by Alina Yousafzai, Tanveer Akbar, Khidir Shaib Mohamed, Alawia Adam, Mona A. Mohamed, Waseem Ahmad Khan and Azhar Iqbal
Axioms 2026, 15(1), 12; https://doi.org/10.3390/axioms15010012 (registering DOI) - 25 Dec 2025
Abstract
This work focuses on solving the singularly perturbed generalized Hodgkin-Huxley (HH) problem. The HH equation is numerically solved by a collocation approach using third-degree splines. The forward difference technique is utilized for time discretization, while θ-weighted schemes are employed for space discretization. [...] Read more.
This work focuses on solving the singularly perturbed generalized Hodgkin-Huxley (HH) problem. The HH equation is numerically solved by a collocation approach using third-degree splines. The forward difference technique is utilized for time discretization, while θ-weighted schemes are employed for space discretization. Solving non-linear models using discretization and quasi-linearization results in a set of linear algebraic equations, which are solved using matrices. Furthermore, Von Neumann’s (VN) stability and Spectral Radius (S.R) reveal that the suggested technique is unconditionally stable. To assess the performance and accuracy of this method, absolute error (AE), L2, and L norms are offered. The results align with the literature. Simulation results show that the proposed strategy produces accurate results. Full article
(This article belongs to the Section Mathematical Analysis)
Show Figures

Figure 1

31 pages, 4621 KB  
Perspective
Current Flow in Nerves and Mitochondria: An Electro-Osmotic Approach
by Robert S. Eisenberg
Biomolecules 2025, 15(8), 1063; https://doi.org/10.3390/biom15081063 - 22 Jul 2025
Cited by 2 | Viewed by 865
Abstract
The electrodynamics of current provide much of our technology, from telegraphs to the wired infrastructure powering the circuits of our electronic technology. Current flow is analyzed by its own rules that involve the Maxwell Ampere law and magnetism. Electrostatics does not involve magnetism, [...] Read more.
The electrodynamics of current provide much of our technology, from telegraphs to the wired infrastructure powering the circuits of our electronic technology. Current flow is analyzed by its own rules that involve the Maxwell Ampere law and magnetism. Electrostatics does not involve magnetism, and so current flow and electrodynamics cannot be derived from electrostatics. Practical considerations also prevent current flow from being analyzed one charge at a time. There are too many charges, and far too many interactions to allow computation. Current flow is essential in biology. Currents are carried by electrons in mitochondria in an electron transport chain. Currents are carried by ions in nerve and muscle cells. Currents everywhere follow the rules of current flow: Kirchhoff’s current law and its generalizations. The importance of electron and proton flows in generating ATP was discovered long ago but they were not analyzed as electrical currents. The flow of protons and transport of electrons form circuits that must be analyzed by Kirchhoff’s law. A chemiosmotic theory that ignores the laws of current flow is incorrect physics. Circuit analysis is easily applied to short systems like mitochondria that have just one internal electrical potential in the form of the Hodgkin Huxley Katz (HHK) equation. The HHK equation combined with classical descriptions of chemical reactions forms a computable model of cytochrome c oxidase, part of the electron transport chain. The proton motive force is included as just one of the components of the total electrochemical potential. Circuit analysis includes its role just as it includes the role of any other ionic current. Current laws are now needed to analyze the flow of electrons and protons, as they generate ATP in mitochondria and chloroplasts. Chemiosmotic theory must be replaced by an electro-osmotic theory of ATP production that conforms to the Maxwell Ampere equation of electrodynamics while including proton movement and the proton motive force. Full article
(This article belongs to the Special Issue Advances in Cellular Biophysics: Transport and Mechanics)
Show Figures

Figure 1

29 pages, 5273 KB  
Article
Ion Channel Memory Drives Cardiac Early Afterdepolarizations in Fractional Models
by Noemi Zeraick Monteiro, Rodrigo Weber dos Santos and Sandro Rodrigues Mazorche
Mathematics 2025, 13(10), 1585; https://doi.org/10.3390/math13101585 - 12 May 2025
Viewed by 620
Abstract
Understanding how past factors influence ion channel kinetics is essential for understanding complex phenomena in cardiac electrophysiology, such as early afterdepolarizations (EADs), which are abnormal depolarizations during the action potential plateau associated with life-threatening arrhythmias. We developed a mathematical framework that extends Hodgkin-Huxley [...] Read more.
Understanding how past factors influence ion channel kinetics is essential for understanding complex phenomena in cardiac electrophysiology, such as early afterdepolarizations (EADs), which are abnormal depolarizations during the action potential plateau associated with life-threatening arrhythmias. We developed a mathematical framework that extends Hodgkin-Huxley type equations with gamma Mittag-Leffler distributed delays, using tools from Fractional Calculus. Traditional memoryless two-variable models fail to reproduce EADs. Our approach modifies FitzHugh-Nagumo, Mitchell-Schaeffer, and Karma cardiac models, enabling the generation of EADs in each of them. We analyze the emergence of these oscillations by discussing the fractional parameters and the mean and variance of the memory kernels. Stability observations are also presented. Full article
Show Figures

Figure 1

9 pages, 577 KB  
Review
Clinical Electrophysiology and Mathematical Modeling for Precision Diagnosis of Infertility
by Fernanda Carvalho Cavalari, Paola Sulis Mendes, Bruna Antunes Zaniboni, Carine Royer, Bárbara Ogliari Martins Taques, Karina Cesca, Marcela Aragón and Fátima Regina Mena Barreto Silva
Biomedicines 2025, 13(2), 250; https://doi.org/10.3390/biomedicines13020250 - 21 Jan 2025
Viewed by 1207
Abstract
How can cellular electrophysiology measurements and mathematical modeling of ionic channels help to identify pivotal targets in disease-related cell signaling? The purpose of this review is to highlight the advantages and disadvantages of using both of these complementary techniques to determine molecular targets [...] Read more.
How can cellular electrophysiology measurements and mathematical modeling of ionic channels help to identify pivotal targets in disease-related cell signaling? The purpose of this review is to highlight the advantages and disadvantages of using both of these complementary techniques to determine molecular targets that may be structurally or functionally altered in a specific disease. In addition, both electrophysiology measurements and mathematical modeling may improve coordinated drug development, accelerate the prediction of new drugs, and facilitate repositioning of pharmacological agents. This review focuses on the data obtained from electrophysiology and mathematical model approaches, including intracellular recording, cellular patch clamp measurements, and the Hodgkin and Huxley equation, as key precision methodologies. To this end, seminiferous tubules, the Sertoli cell line (TM4), and/or primary cultures of Sertoli cells were used to explore the role of follicle-stimulating hormone (FSH), thyroid hormones, retinol, testosterone, and 1,25(OH)2 vitamin D3 in the coordinated activation or inhibition of ionic channels essential for male fertility. Based on the discussed data, Sertoli cells precisely regulate their biological activity by coordinating channel activity according to the hormonal environment and the nutritional requirements required for germ cell development. Full article
Show Figures

Figure 1

14 pages, 3400 KB  
Article
Synchronization in a Three Level Network of All-to-All Periodically Forced Hodgkin–Huxley Reaction–Diffusion Equations
by B. Ambrosio, M. A. Aziz-Alaoui and A. Oujbara
Mathematics 2024, 12(9), 1382; https://doi.org/10.3390/math12091382 - 1 May 2024
Viewed by 1669
Abstract
This article focuses on the analysis of dynamics emerging in a network of Hodgkin–Huxley reaction–diffusion equations. The network has three levels. The three neurons in level 1 receive a periodic input but do not receive inputs from other neurons. The three neurons in [...] Read more.
This article focuses on the analysis of dynamics emerging in a network of Hodgkin–Huxley reaction–diffusion equations. The network has three levels. The three neurons in level 1 receive a periodic input but do not receive inputs from other neurons. The three neurons in level 2 receive inputs from one specific neuron in level 1 and all neurons in level 3. The neurons in level 3 (all other neurons) receive inputs from all other neurons in levels 2 and 3. Furthermore, the right-hand side of pre-synaptic neurons is connected to the left-hand side of the post-synaptic neurons. The synchronization phenomenon is observed for neurons in level 3, even though the system is initiated with different functions. As far as we know, it is the first time that evidence of the synchronization phenomenon is provided for spatially extended Hodgkin–Huxley equations, which are periodically forced at three different sites and embedded in such a hierarchical network with space-dependent coupling interactions. Full article
(This article belongs to the Special Issue Advances in Bio-Dynamics and Applications)
Show Figures

Figure 1

13 pages, 5841 KB  
Article
A Mathematical Model of Spontaneous Action Potential Based on Stochastics Synaptic Noise Dynamics in Non-Neural Cells
by Chitaranjan Mahapatra and Inna Samuilik
Mathematics 2024, 12(8), 1149; https://doi.org/10.3390/math12081149 - 11 Apr 2024
Cited by 8 | Viewed by 2711
Abstract
We developed a mathematical model to simulate the dynamics of background synaptic noise in non-neuronal cells. By employing the stochastic Ornstein–Uhlenbeck process, we represented excitatory synaptic conductance and integrated it into a whole-cell model to generate spontaneous and evoke cellular electrical activities. This [...] Read more.
We developed a mathematical model to simulate the dynamics of background synaptic noise in non-neuronal cells. By employing the stochastic Ornstein–Uhlenbeck process, we represented excitatory synaptic conductance and integrated it into a whole-cell model to generate spontaneous and evoke cellular electrical activities. This single-cell model encompasses numerous biophysically detailed ion channels, depicted by a set of ordinary differential equations in Hodgkin–Huxley and Markov formalisms. Consequently, this approach effectively induced irregular spontaneous depolarizations (SDs) and spontaneous action potentials (sAPs), resembling electrical activity observed in vitro. The input resistance decreased significantly, while the firing rate of spontaneous action potentials increased. Moreover, alterations in the ability to reach the action potential threshold were observed. Background synaptic activity can modify the input/output characteristics of non-neuronal excitatory cells. Hence, suppressing these baseline activities could aid in identifying new pharmaceutical targets for various clinical diseases. Full article
(This article belongs to the Section C2: Dynamical Systems)
Show Figures

Figure 1

13 pages, 2406 KB  
Article
Dynamic Analysis of Neuron Models
by Yiqiao Wang, Guanghong Ding and Wei Yao
AppliedMath 2023, 3(4), 758-770; https://doi.org/10.3390/appliedmath3040041 - 30 Oct 2023
Cited by 2 | Viewed by 2518
Abstract
Based on the Hodgkin–Huxley theory, this paper establishes several nonlinear system models, analyzes the models’ stability, and studies the conditions for repetitive discharge of neuronal membrane potential. Our dynamic analysis showed that the main channel currents (the fast transient sodium current, the potassium [...] Read more.
Based on the Hodgkin–Huxley theory, this paper establishes several nonlinear system models, analyzes the models’ stability, and studies the conditions for repetitive discharge of neuronal membrane potential. Our dynamic analysis showed that the main channel currents (the fast transient sodium current, the potassium delayed rectifier current, and the fixed leak current) of a neuron determine its dynamic properties and that the GHK formula will greatly widen the stimulation current range of the repetitive discharge condition compared with the Nernst equation. The model including the change in ion concentration will lead to spreading depression (SD)-like depolarization, and the inclusion of a Na-K pump will weaken the current stimulation effect by decreasing the extracellular K accumulation. The results indicate that the Hodgkin–Huxley model is suitable for describing the response to initial stimuli, but due to changes in ion concentration, it is not suitable for describing the response to long-term stimuli. Full article
Show Figures

Figure 1

9 pages, 370 KB  
Article
Mathematical Model of a Main Rhythm in Limbic Seizures
by Maksim V. Kornilov and Ilya V. Sysoev
Mathematics 2023, 11(5), 1233; https://doi.org/10.3390/math11051233 - 3 Mar 2023
Cited by 3 | Viewed by 1895
Abstract
While synchronization in the brain neural networks has been studied, the emergency of the main oscillation frequency and its evolution at different normal and pathological states remains poorly investigated. We propose a new concept of the formation of a main frequency in limbic [...] Read more.
While synchronization in the brain neural networks has been studied, the emergency of the main oscillation frequency and its evolution at different normal and pathological states remains poorly investigated. We propose a new concept of the formation of a main frequency in limbic epilepsy. The idea is that the main frequency is not a result of the activity of a single cell, but is formed due to collective dynamics in a ring of model neurons connected with delay. The individual cells are in an excitable mode providing no self-oscillations without coupling. We considered the ring of a different number of Hodgkin–Huxley neurons connected with synapses with time delay. We have shown that the proposed circuit can generate oscillatory activity with frequencies close to those experimentally observed. The frequency can be varied by changing the number of model neurons, time delay in synapses and coupling strength. The linear dependence of the oscillation period on both coupling delay and the number of neurons in the ring was hypothesized and checked by means of fitting the values obtained from the numerical experiments to the empirical formula for a constant value of coupling coefficient. Full article
Show Figures

Figure 1

14 pages, 2523 KB  
Article
Intelligent Control of Seizure-Like Activity in a Memristive Neuromorphic Circuit Based on the Hodgkin–Huxley Model
by Wallace Moreira Bessa and Gabriel da Silva Lima
J. Low Power Electron. Appl. 2022, 12(4), 54; https://doi.org/10.3390/jlpea12040054 - 12 Oct 2022
Cited by 3 | Viewed by 3605
Abstract
Memristive neuromorphic systems represent one of the most promising technologies to overcome the current challenges faced by conventional computer systems. They have recently been proposed for a wide variety of applications, such as nonvolatile computer memory, neuroprosthetics, and brain–machine interfaces. However, due to [...] Read more.
Memristive neuromorphic systems represent one of the most promising technologies to overcome the current challenges faced by conventional computer systems. They have recently been proposed for a wide variety of applications, such as nonvolatile computer memory, neuroprosthetics, and brain–machine interfaces. However, due to their intrinsically nonlinear characteristics, they present a very complex dynamic behavior, including self-sustained oscillations, seizure-like events, and chaos, which may compromise their use in closed-loop systems. In this work, a novel intelligent controller is proposed to suppress seizure-like events in a memristive circuit based on the Hodgkin–Huxley equations. For this purpose, an adaptive neural network is adopted within a Lyapunov-based nonlinear control scheme to attenuate bursting dynamics in the circuit, while compensating for modeling uncertainties and external disturbances. The boundedness and convergence properties of the proposed control scheme are rigorously proved by means of a Lyapunov-like stability analysis. The obtained results confirm the effectiveness of the proposed intelligent controller, presenting a much improved performance when compared with a conventional nonlinear control scheme. Full article
Show Figures

Figure 1

16 pages, 2842 KB  
Article
Synthesis and Analysis of the Fixed-Point Hodgkin–Huxley Neuron Model
by Valery Andreev, Valerii Ostrovskii, Timur Karimov, Aleksandra Tutueva, Elena Doynikova and Denis Butusov
Electronics 2020, 9(3), 434; https://doi.org/10.3390/electronics9030434 - 5 Mar 2020
Cited by 13 | Viewed by 4786
Abstract
In many tasks related to realistic neurons and neural network simulation, the performance of desktop computers is nowhere near enough. To overcome this obstacle, researchers are developing FPGA-based simulators that naturally use fixed-point arithmetic. In these implementations, little attention is usually paid to [...] Read more.
In many tasks related to realistic neurons and neural network simulation, the performance of desktop computers is nowhere near enough. To overcome this obstacle, researchers are developing FPGA-based simulators that naturally use fixed-point arithmetic. In these implementations, little attention is usually paid to the choice of numerical method for the discretization of the continuous neuron model. In our study, the implementation accuracy of a neuron described by simplified Hodgkin–Huxley equations in fixed-point arithmetic is under investigation. The principle of constructing a fixed-point neuron model with various numerical methods is described. Interspike diagrams and refractory period analysis are used for the experimental study of the synthesized discrete maps of the simplified Hodgkin–Huxley neuron model. We show that the explicit midpoint method is much better suited to simulate the neuron dynamics on an FPGA than the explicit Euler method which is in common use. Full article
(This article belongs to the Section Computer Science & Engineering)
Show Figures

Figure 1

11 pages, 572 KB  
Article
Analysis of Time-Course of the Recovery from Inactivation of Ionic Currents in Cerebellar Punkinje Cell
by Mahmut Özer
Math. Comput. Appl. 2002, 7(1), 53-63; https://doi.org/10.3390/mca7010053 - 1 Apr 2002
Viewed by 1356
Abstract
In this study, time-course of the recovery from the inactivation of ionic currents which have inactivation in cerebellar Purkinje cell is examined. Kinetics of the ionic currents are expressed with Hodgkin-Huxley equations. Peak value function of the recovering conductance is given explicitly, the [...] Read more.
In this study, time-course of the recovery from the inactivation of ionic currents which have inactivation in cerebellar Purkinje cell is examined. Kinetics of the ionic currents are expressed with Hodgkin-Huxley equations. Peak value function of the recovering conductance is given explicitly, the curve of recovery and its approximation are obtained. It's shown that recovering conductance of ionic currents which are studied is asymptotically exponential. Full article
Back to TopTop