Mathematical Model of a Main Rhythm in Limbic Seizures
Abstract
1. Introduction
2. Model
3. Simulation
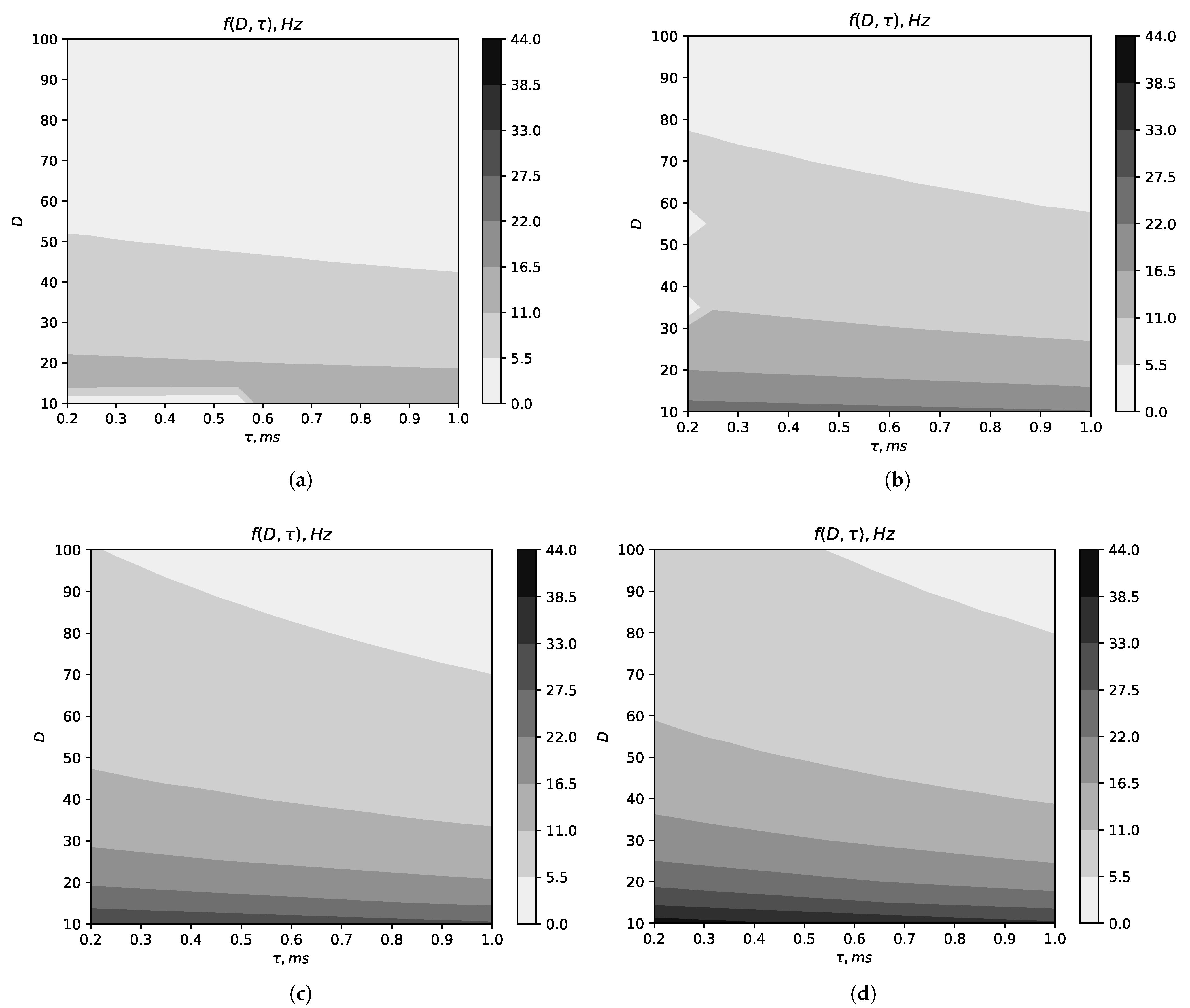
4. Approximation
5. Conclusions and Discussion
Author Contributions
Funding
Data Availability Statement
Conflicts of Interest
References
- Jefferys, J.G.; Jiruska, P.; de Curtis, M.; Avoli, M. Limbic network synchronization and temporal lobe epilepsy. In Jasper’s Basic Mechanisms of the Epilepsies [Internet], 4th ed.; National Center for Biotechnology Information (US): Bethesda, MD, USA, 2012. [Google Scholar]
- Jiruska, P.; De Curtis, M.; Jefferys, J.G.; Schevon, C.A.; Schiff, S.J.; Schindler, K. Synchronization and desynchronization in epilepsy: Controversies and hypotheses. J. Physiol. 2013, 591, 787–797. [Google Scholar] [CrossRef]
- Avoli, M.; D’Antuono, M.; Louvel, J.; Köhling, R.; Biagini, G.; Pumain, R.; D’Arcangelo, G.; Tancredi, V. Network and pharmacological mechanisms leading to epileptiform synchronization in the limbic system in vitro. Prog. Neurobiol. 2002, 68, 167–207. [Google Scholar] [CrossRef]
- Berg, A.T.; Berkovic, S.F.; Brodie, M.J.; Buchhalter, J.; Cross, J.H.; Van Emde Boas, W.; Engel, J.; French, J.; Glauser, T.A.; Mathern, G.W.; et al. Revised terminology and concepts for organization of seizures and epilepsies: Report of the ILAE Commission on Classification and Terminology, 2005–2009. Epilepsia 2010, 51, 676–685. [Google Scholar] [CrossRef]
- Wiebe, S. Epidemiology of temporal lobe epilepsy. Can. J. Neurol. Sci. 2000, 27, S6–S10. [Google Scholar] [CrossRef]
- Téllez-Zenteno, J.F.; Hernández-Ronquillo, L. A review of the epidemiology of temporal lobe epilepsy. Epilepsy Res. Treat. 2012, 2012, 630853. [Google Scholar] [CrossRef]
- Paz, J.T.; Huguenard, J.R. Microcircuits and their interactions in epilepsy: Is the focus out of focus? Nat. Neurosci. 2015, 18, 351–359. [Google Scholar] [CrossRef]
- Babloyantz, A.; Destexhe, A. Low-dimensional chaos in an instance of epilepsy. Proc. Natl. Acad. Sci. USA 1986, 83, 3513–3517. [Google Scholar] [CrossRef]
- Lopes Da Silva, F.; Blanes, W.; Kalitzin, S.N.; Parra, J.; Suffczynski, P.; Velis, D.N. Epilepsies as dynamical diseases of brain systems: Basic models of the transition between normal and epileptic activity. Epilepsia 2003, 44, 72–83. [Google Scholar] [CrossRef]
- Destexhe, A.; Babloyantz, A.; Sejnowski, T. Ionic mechanisms for intrinsic slow oscillations in thalamic relay neurons. Biophys J. 1993, 65, 1538–1552. [Google Scholar] [CrossRef]
- Spencer, S. Neural Networks in Human Epilepsy: Evidence of and Implications for Treatment. Epilepsia 2002, 43, 219–227. [Google Scholar] [CrossRef]
- Bertram, E.H. Functional Anatomy of Spontaneous Seizures in a Rat Model of Limbic Epilepsy. Epilepsia 1997, 38, 95–105. [Google Scholar] [CrossRef]
- Suffczynski, P.; Kalitzin, S.; Lopes Da Silva, F. Dynamics of non-convulsive epileptic phenomena modeled by a bistable neuronal network. Neuroscience 2004, 126, 467–484. [Google Scholar] [CrossRef]
- Taylor, P.N.; Wang, Y.; Goodfellow, M.; Dauwels, J.; Moeller, F.; Stephani, U.; Baier, G. A Computational Study of Stimulus Driven Epileptic Seizure Abatement. PLoS ONE 2014, 9, e114316. [Google Scholar] [CrossRef]
- Medvedeva, T.M.; Sysoeva, M.V.; Lüttjohann, A.; van Luijtelaar, G.; Sysoev, I.V. Dynamical mesoscale model of absence seizures in genetic models. PLoS ONE 2020, 15, e239125. [Google Scholar] [CrossRef]
- Kapustnikov, A.A.; Sysoeva, M.V.; Sysoev, I.V. Transient dynamics in a class of mathematical models of epileptic seizures. Commun. Nonlinear Sci. Numer. Simul. 2022, 109, 106284. [Google Scholar] [CrossRef]
- Klimesch, W. Memory processes, brain oscillations and EEG synchronization. Int. J. Psychophysiol. 1996, 24, 61–100. [Google Scholar] [CrossRef]
- Bennett, M.V.L.; Zukin, R.S. Electrical Coupling and Neuronal Synchronization in the Mammalian Brain. Neuron 2004, 41, 495–511. [Google Scholar] [CrossRef]
- Kurkin, S.A.; Kulminskiy, D.D.; Ponomarenko, V.I.; Prokhorov, M.D.; Astakhov, S.V.; Hramov, A.E. Central pattern generator based on self-sustained oscillator coupled to a chain of oscillatory circuits. Chaos Interdiscip. J. Nonlinear Sci. 2022, 32, 033117. [Google Scholar] [CrossRef]
- Bazhenov, M.; Timofeev, I.; Steriade, M.; Sejnowski, T.J. Model of thalamocortical slow-wave sleep oscillations and transitions to activated states. J. Neurosci. 2002, 22, 8691–8704. [Google Scholar] [CrossRef]
- Hill, S.; Tononi, G. Modeling sleep and wakefulness in the thalamocortical system. J. Neurophysiol. 2005, 93, 1671–1698. [Google Scholar] [CrossRef]
- Afraimovich, V.S.; Rabinovich, M.I.; Varona, P. Heteroclinic Contours In Neural Ensembles And The Winnerless Competition Principle. Int. J. Bifurc. Chaos 2004, 14, 1195–1208. [Google Scholar] [CrossRef]
- Rabinovich, M.I.; Varona, P.; Tristan, I.; Afraimovich, V.S. Chunking dynamics: Heteroclinics in mind. Front. Comput. Neurosci. 2014, 8, 22. [Google Scholar] [CrossRef]
- Hodgkin, A.; Huxley, A. A quantitative description of membrane current and its application to conduction and excitation in nerve. J. Physiol. 1952, 117, 500–544. [Google Scholar] [CrossRef]
- Talukdar, S.; Shrivastava, R.; Ghosh, S. Modeling activity-dependent reduction in after hyper-polarization with Hodgkin-Huxley equation of action potential. Biomed. Phys. Eng. Express 2019, 5, 047001. [Google Scholar] [CrossRef]
- Kuznetsov, Y.A. Elements of Applied Bifurcation Theory; Springer: New York, NY, USA, 2004; p. 632. [Google Scholar] [CrossRef]
- Gonchenko, A.S.; Gonchenko, S.V.; Kazakov, A.O.; Kozlov, A.D.; Bakhanova, Y.V. Mathematical theory of dynamical chaos and its applications: Review Part 2. Spiral chaos of three-dimensional flows. Izv. Vuz. Appl. Nonlinear Dyn. 2019, 27, 7–52. [Google Scholar] [CrossRef]
- Omelchenko, O.E.; Hauptmann, C.; Maistrenko, Y.L.; Tass, P.A. Collective dynamics of globally coupled phase oscillators under multisite delayed feedback stimulation. Phys. D 2008, 237, 365–384. [Google Scholar] [CrossRef]
- Kuznetsov, S.P. Complex dynamics of oscillators with delayed feedback (review). Radiophys. Quantum Electron. 1982, 25, 996–1009. [Google Scholar] [CrossRef]
- Wernecke, H.; Sándor, B.; Gros, C. Chaos in time delay systems, an educational review. Phys. Rep. 2019, 824, 1–40. [Google Scholar] [CrossRef]
- Virtanen, P.; Gommers, R.; Oliphant, T.E.; Haberland, M.; Reddy, T.; Cournapeau, D.; Burovski, E.; Peterson, P.; Weckesser, W.; Bright, J.; et al. SciPy 1.0: Fundamental Algorithms for Scientific Computing in Python. Nat. Methods 2020, 17, 261–272. [Google Scholar] [CrossRef]




| k | , ms | , ms | ||
|---|---|---|---|---|
| 30 | 14.27 | 0.985 | 3.08 | |
| 40 | 13.49 | 0.960 | 2.00 | |
| 50 | 10.81 | 0.960 | 1.49 | |
| 60 | 8.79 | 0.950 | 1.21 |
Disclaimer/Publisher’s Note: The statements, opinions and data contained in all publications are solely those of the individual author(s) and contributor(s) and not of MDPI and/or the editor(s). MDPI and/or the editor(s) disclaim responsibility for any injury to people or property resulting from any ideas, methods, instructions or products referred to in the content. |
© 2023 by the authors. Licensee MDPI, Basel, Switzerland. This article is an open access article distributed under the terms and conditions of the Creative Commons Attribution (CC BY) license (https://creativecommons.org/licenses/by/4.0/).
Share and Cite
Kornilov, M.V.; Sysoev, I.V. Mathematical Model of a Main Rhythm in Limbic Seizures. Mathematics 2023, 11, 1233. https://doi.org/10.3390/math11051233
Kornilov MV, Sysoev IV. Mathematical Model of a Main Rhythm in Limbic Seizures. Mathematics. 2023; 11(5):1233. https://doi.org/10.3390/math11051233
Chicago/Turabian StyleKornilov, Maksim V., and Ilya V. Sysoev. 2023. "Mathematical Model of a Main Rhythm in Limbic Seizures" Mathematics 11, no. 5: 1233. https://doi.org/10.3390/math11051233
APA StyleKornilov, M. V., & Sysoev, I. V. (2023). Mathematical Model of a Main Rhythm in Limbic Seizures. Mathematics, 11(5), 1233. https://doi.org/10.3390/math11051233

