Sign in to use this feature.

Years

Between: -

Subjects

remove_circle_outline
remove_circle_outline
remove_circle_outline
remove_circle_outline
remove_circle_outline

Journals

Article Types

Countries / Regions

Search Results (33)

Search Parameters:
Keywords = HCRU

Order results
Result details
Results per page
Select all
Export citation of selected articles as:
17 pages, 923 KB  
Article
Pulmonary Arterial Hypertension and Cancer: Unveiling Parallels in Epidemiology, Clinical Pathways, and Therapeutic Strategies
by Karim El-Kersh, Nadine Zawadzki, Catelyn Coyle, Shurui Zhang, Dhruv Dalal, Anna Watzker, Dominik Lautsch and Jason Shafrin
J. Mark. Access Health Policy 2026, 14(1), 9; https://doi.org/10.3390/jmahp14010009 - 6 Feb 2026
Viewed by 710
Abstract
Pulmonary arterial hypertension (PAH) and cancer share high mortality and complex prognoses. Due to PAH’s rarity, these parallels may be underrecognized by healthcare stakeholders. This study explored similarities between PAH and cancer across epidemiological, clinical, therapeutic, and healthcare resource utilization (HCRU) considerations. A [...] Read more.
Pulmonary arterial hypertension (PAH) and cancer share high mortality and complex prognoses. Due to PAH’s rarity, these parallels may be underrecognized by healthcare stakeholders. This study explored similarities between PAH and cancer across epidemiological, clinical, therapeutic, and healthcare resource utilization (HCRU) considerations. A four-step approach was employed: (1) inclusion/exclusion criteria were applied to identify potential PAH cancer analogs; (2) characteristics for comparison were categorized as epidemiologic, clinical, therapeutic landscape, and HCRU; (3) a targeted literature review extracted data on disease characteristics; (4) a similarity ranking was calculated as the absolute difference between each cancer’s and PAH’s characteristics. Fourteen cancers met the inclusion criteria. Well-differentiated thyroid cancer (WDTC) had the highest number (5) of characteristics closest to PAH. WDTC and medullary thyroid cancer were most similar to PAH in epidemiology; gastrointestinal stromal tumor was most similar in clinical and HCRU characteristics, and anaplastic lymphoma kinase-positive (ALK+) non-small-cell lung cancer and renal cell carcinoma were most similar in therapeutic landscape. Although no single cancer fully mirrors PAH, the identification of multiple analogs underscores PAH’s multidimensional complexity and confirms its overlap with oncological conditions. Cancer analogs could serve as a valuable framework for enhancing recognition of PAH’s clinical, therapeutic, and HRCU implications among healthcare stakeholders. Full article
Show Figures

Figure 1

12 pages, 401 KB  
Article
Healthcare Resource Utilization and Treatment Costs for Blastic Plasmacytoid Dendritic Cell Neoplasm: A PETHEMA Study
by Antonio Solana-Altabella, Irene Navarro-Vicente, Eduardo Rodríguez-Arbolí, Victor Noriega, Josefina Serrano, Teresa Bernal, Vicente Carrasco-Baraja, Raimundo Garcia-Boyero, Carmen Olivier Cornacchia, Lorenzo Algarra, Eduardo López-Briz, Armando Mena-Durán, Jackeline Solano-Tovar, Carmen Botella-Prieto, Sara Sánchez-Sánchez, Juan Miguel Bergua-Burgues, Pilar Lloret-Madrid, Mario Rodenas-Rovira, Blanca Boluda, Isabel Cano-Ferri, Evelyn Acuña-Cruz, Rebeca Rodríguez-Veiga, Laura Torres-Miñana, María Centelles-Oria, José Luis Poveda-Andrés, David Martínez-Cuadrón and Pau Montesinosadd Show full author list remove Hide full author list
Cancers 2025, 17(17), 2844; https://doi.org/10.3390/cancers17172844 - 29 Aug 2025
Cited by 1 | Viewed by 972
Abstract
Background/Objectives: Information on the economic impact and healthcare resource utilization (HCRU) associated with Blastic Plasmacytoid Dendritic Cell Neoplasm (BPDCN) is lacking. Methods: A retrospective review of medical records identified patients diagnosed with BPDCN between 2009 and 2023. Data on outpatient resource use, reimbursement, [...] Read more.
Background/Objectives: Information on the economic impact and healthcare resource utilization (HCRU) associated with Blastic Plasmacytoid Dendritic Cell Neoplasm (BPDCN) is lacking. Methods: A retrospective review of medical records identified patients diagnosed with BPDCN between 2009 and 2023. Data on outpatient resource use, reimbursement, frequency and duration of hospitalizations, and transfusion burden were collected from diagnosis to death or last follow-up. Results: A total of 38 patients with a median age of 66 years were included. Conventional intensive chemotherapy (CHT) regimens were initially administered to 58% of patients, while targeted therapies were used in 37% of cases. The ratio of total days hospitalized to the overall follow-up period was 17%, with a total of 182 hospitalizations (average of 5 per patient; mean duration 20 days). The mean total reimbursement was EUR 109,104 per patient, primarily attributed to hospital admissions (EUR 89,158; EUR 18,118 per hospitalization). Hospitalizations before or without any allogeneic hematopoietic stem cell transplant (alloHSCT) accounted for 70% of total admissions, with an average overall cost of EUR 50,285 per patient (EUR 12,427 per hospitalization). AlloHSCT-period hospitalizations occurred in 18 patients, with a mean total reimbursement of EUR 122,497 per patient and EUR 30,464 per hospitalization. Conclusions: The active treatment of BPDCN imposes a high economic burden and extensive HCRU. Comparative pharmacoeconomic studies evaluating the cost-effectiveness of new therapies for BPDCN are needed to identify patient subgroups that may benefit most from these treatments. Full article
(This article belongs to the Collection Acute Myeloid Leukemia (AML))
Show Figures

Figure 1

20 pages, 2585 KB  
Article
Real-World Retrospective Study of Clinical and Economic Outcomes Among Patients with Locally Advanced or Metastatic Urothelial Carcinoma Treated with First-Line Systemic Anti-Cancer Therapies in the United States: Results from the IMPACT UC-III Study
by Helen H. Moon, Chiemeka Ike, Ruth W. Dixon, Christopher L. Crowe, Malvika Venkataraman, Valerie Morris, Mairead Kearney, Ivy Tonnu-Mihara and John Barron
Curr. Oncol. 2025, 32(7), 384; https://doi.org/10.3390/curroncol32070384 - 2 Jul 2025
Viewed by 2027
Abstract
This retrospective cohort study evaluated characteristics, treatment patterns, and clinical outcomes in adults with locally advanced/metastatic urothelial carcinoma (la/mUC) receiving first-line (1L) systemic treatment with or without avelumab 1L maintenance (1LM) between January 2020 and July 2023. The index date was the first [...] Read more.
This retrospective cohort study evaluated characteristics, treatment patterns, and clinical outcomes in adults with locally advanced/metastatic urothelial carcinoma (la/mUC) receiving first-line (1L) systemic treatment with or without avelumab 1L maintenance (1LM) between January 2020 and July 2023. The index date was the first date with a claim for 1L systemic therapy after a la/mUC diagnosis. Patients with continuous health plan enrollment for ≥6 months before and ≥1 month after the index date were identified from Carelon Research’s Healthcare Integrated Research Database. Of 2820 patients receiving 1L treatment, 37.0% received platinum-based chemotherapy (PBC); 39.0%, immuno-oncology (IO) monotherapy; and 24.0%, other therapies. Renal disease and other comorbidities influenced 1L regimen choice. Healthcare resource utilization (HCRU) and costs were reported for patients receiving second-line (2L) treatment. HCRU was high in 32.8% of patients (926 of 2820) who received 2L treatment. Median all-cause direct medical costs per patient per month were USD 15,859, USD 19,781, USD 11,346, and USD 9516 for 1L PBC, 1L PBC + avelumab 1LM, 1L IO monotherapy, and 1L other therapies, respectively. Most direct healthcare costs were attributed to all-cause outpatient visits. Full article
(This article belongs to the Section Genitourinary Oncology)
Show Figures

Figure 1

18 pages, 924 KB  
Article
High Disease Burden and Oral Corticosteroid Use in Patients with Hypereosinophilic Syndrome and Eosinophilic Granulomatosis with Polyangiitis: Country-Level Insights into Real-World Management in Europe
by Jeremiah Hwee, Lynn Huynh, Thanai Pongdee, Marc E. Rothenberg, Rafael Alfonso-Cristancho, Wilson da Costa Junior and Mei Sheng Duh
J. Clin. Med. 2025, 14(12), 4309; https://doi.org/10.3390/jcm14124309 - 17 Jun 2025
Cited by 3 | Viewed by 1578
Abstract
Objectives: To analyze variations in patient characteristics, treatment patterns, clinical manifestations, clinical outcomes (i.e., response, flares and flare-free survival in HES; remission, relapses and relapse-free survival in EGPA; and overall survival), and healthcare resource utilization (HCRU) in patients with hypereosinophilic syndrome (HES) and [...] Read more.
Objectives: To analyze variations in patient characteristics, treatment patterns, clinical manifestations, clinical outcomes (i.e., response, flares and flare-free survival in HES; remission, relapses and relapse-free survival in EGPA; and overall survival), and healthcare resource utilization (HCRU) in patients with hypereosinophilic syndrome (HES) and eosinophilic granulomatosis with polyangiitis (EGPA) across five European countries. Methods: In two parallel, retrospective, non-interventional, longitudinal chart review studies (GSK ID: 214661 [EGPA] and 214657 [HES]), physicians collected data of patients they treated in France, Germany, Italy, Spain, and the UK from January 2015 to December 2019, with follow-up until August 2021. Country-level results are presented for each study; HES and EGPA data were pooled in a post hoc exploratory analysis. Results: Per-country, 22–26 HES- and 38–45 EGPA-treating physicians collected data from 52–62 (total 280) patients with HES and 80–85 (total 407) with EGPA. Patient sex and age at diagnosis differed across countries. Pooled HES/EGPA data revealed high oral corticosteroid (OCS) use in all countries (94.9% of patients; median [IQR] duration 20.7 [9.0, 33.8] months); immunosuppressive treatments and biologics use varied between countries (43.7–61.5% and 25.6–59.8%, respectively). The most frequent clinical manifestations were constitutional (51.6–78.8%) and lung (43.5–55.8%) in HES, and lung (41.3–67.9) and ENT (43.8–61.2) in EGPA. Pooled HCRU data showed country-level variation; 70.7–91.2% of patients had disease-related outpatient visits and 36.1–52.6% had ER visits or hospitalizations. Conclusions: Results demonstrate substantial disease burden, including high HCRU and extensive OCS use among patients with HES and EGPA in five European countries. The findings highlight the need for improved treatment strategies such as optimizing use of biologics to mitigate the reliance on corticosteroids. Full article
(This article belongs to the Section Epidemiology & Public Health)
Show Figures

Figure 1

14 pages, 523 KB  
Article
Epidemiology, Treatment Patterns, Survival, Healthcare Resource Utilization, and Costs of Dedifferentiated Liposarcoma (DDLPS) in Canada: A Retrospective Cohort Study Using Administrative Databases in Ontario
by Soo Jin Seung, Anisia Wong, Raymond Milan, Nisha Chandran and Albiruni R. Abdul Razak
Curr. Oncol. 2025, 32(5), 273; https://doi.org/10.3390/curroncol32050273 - 9 May 2025
Viewed by 1598
Abstract
Background: Dedifferentiated liposarcoma (DDLPS) is a rare, aggressive tumour with poor survival outcomes in advanced settings. This study assessed the incidence/prevalence, treatment patterns, survival, healthcare resource utilization (HCRU), and costs for DDLPS patients in Ontario, Canada. Methods: A retrospective cohort study was conducted [...] Read more.
Background: Dedifferentiated liposarcoma (DDLPS) is a rare, aggressive tumour with poor survival outcomes in advanced settings. This study assessed the incidence/prevalence, treatment patterns, survival, healthcare resource utilization (HCRU), and costs for DDLPS patients in Ontario, Canada. Methods: A retrospective cohort study was conducted among DDLPS patients between 2010 and 2022 using administrative databases. Overall survival, all-cause HCRU, and costs (2023 Canadian dollars, CAD) were compared based on advanced disease and resection status. Results: The overall incidence and cumulative prevalence of DDLPS was 0.465 and 1.995 per 100,000 people, respectively. Of all 611 DDLPS cases (64.3% male, median age [IQR]: 67 [57–76] years), 40.3% and 61.0% had advanced and unresected disease, respectively. The median overall survival (mOS) was 69 months [IQR = 15–151] for the entire cohort, but this was significantly lower for advanced and unresected disease (p < 0.0001). Among patients receiving systemic treatments (N = 117), 81.2% were prescribed doxorubicin as first-line treatment. All-cause healthcare costs (2023 CAD) amounted to CAD 34,448 per person-year (PPY), with inpatient hospitalizations being the highest cost driver at CAD 14,522 PPY and 0.8 inpatient hospitalization PPY for all years. Advanced disease had higher HCRU and costs. Conclusions: This is the first comprehensive real-world evidence study that quantifies the high mortality and cost burden associated with DDLPS in Canada. Full article
Show Figures

Figure 1

14 pages, 3186 KB  
Article
Respiratory Syncytial Virus (RSV) Hospitalization Seasonal Patterns and Economic Burden in the US: Implications for Further Optimizing the Use of RSV Preventives
by Amy W. Law, Jay Lin, Jennifer Judy, Sarah J. Pugh and Alejandro Cane
Vaccines 2025, 13(4), 366; https://doi.org/10.3390/vaccines13040366 - 29 Mar 2025
Cited by 1 | Viewed by 3099
Abstract
Background/Objectives: The CDC has recommended immunizations to protect infants during the respiratory syncytial virus (RSV) season, which varies annually and geographically. Seasonal differences in RSV hospitalizations among infants are not well studied. Methods: This retrospective cohort study identified infants < 12 months old [...] Read more.
Background/Objectives: The CDC has recommended immunizations to protect infants during the respiratory syncytial virus (RSV) season, which varies annually and geographically. Seasonal differences in RSV hospitalizations among infants are not well studied. Methods: This retrospective cohort study identified infants < 12 months old hospitalized with RSV from the PINC AI Healthcare Database during the 2018–2023 surveillance years (1 July–30 June). Monthly RSV hospitalizations were stratified by U.S. census division and age group (<3, 3–5, 6–8, 9–11 months). Patient characteristics, healthcare resource utilization (HCRU), and cost were compared between typical in-season months (October–March) and typical off-season months (April–September) for RSV hospitalizations. Results: Among 20,531 hospitalizations for RSV (mean age: 4.1 months, 56.4% male), 22% (n = 4510) were off-season; 83% occurred in June–September across US census divisions. Infants < 3 months accounted for 46% (n = 2054) of off-season hospitalizations. Seasonal patterns were similar across age groups. Off-season hospitalizations were associated with longer hospital length of stay (6.9 vs. 4.9 days) and more supplemental oxygen (59.1% vs. 55.5%), intensive care unit admission (30.1% vs. 26.8%), and mechanical ventilation/airflow usage (20.3% vs. 16.3%). Mean hospitalization costs were 40% higher during off-season ($17,911 vs. $12,757). In the surveillance years before (2018–2020) and after (2022–2023) the COVID-19 pandemic, off-season costs and HCRU were consistently higher than in-season. Conclusions: There is an unmet need among the 1 in 5 infants with off-season RSV hospitalizations, which are associated with higher HCRU and costs. Current recommendations on RSV preventives offer limited protection for infants exposed to RSV outside the typical season. Full article
(This article belongs to the Special Issue Vaccines and Vaccine Preventable Diseases)
Show Figures

Figure 1

15 pages, 1699 KB  
Article
Current Status of Prurigo Nodularis in Japan: A Retrospective Study Using a Health Insurance Claims Database
by Atsuyuki Igarashi, Takuo Yoshida, Yoshinori Sunaga, Hisakatsu Nawata and Kazuhiko Arima
J. Clin. Med. 2025, 14(6), 1872; https://doi.org/10.3390/jcm14061872 - 11 Mar 2025
Cited by 2 | Viewed by 4007
Abstract
Background/Objectives: Prurigo nodularis (PN) is associated with considerable disease burden. Limited information exists about the epidemiology, treatment patterns, and impact of PN. This retrospective study used Japanese health insurance claims data to investigate the prevalence and incidence of PN from 2006 to 2021. [...] Read more.
Background/Objectives: Prurigo nodularis (PN) is associated with considerable disease burden. Limited information exists about the epidemiology, treatment patterns, and impact of PN. This retrospective study used Japanese health insurance claims data to investigate the prevalence and incidence of PN from 2006 to 2021. Methods: A cross-sectional study design was used to estimate prevalence and incidence longitudinally; a cohort design was used to assess comorbidities, treatment patterns, and healthcare resource utilization (HCRU). Results: Over the study period, data from 297,545 to 10,081,414 individuals were available annually; in 2020, 1946 individuals were diagnosed with PN. The prevalence and incidence of PN showed little variation over the study period; in 2021, the prevalence was 41 per 100,000 persons. Although there was a tendency for a higher prevalence of PN in childhood, the prevalence and incidence were similar in other age groups and were slightly higher in females. Inflammatory skin diseases and atopic diathesis were common comorbidities. The most prescribed treatments for adults with PN were topical steroids (78%), oral antihistamines (68%), and moisturizers (54%). Oral steroids, macrolides, and psychotropics were prescribed to >10% of patients. Individuals with PN who also had atopic dermatitis (AD) received higher cumulative doses of stronger potency topical steroids, local steroid injections, and oral steroids than those without concomitant AD. Additionally, HCRU was higher in individuals with AD. Conclusions: Although patients are usually treated according to the guidelines, there is an unmet need for more effective treatments for PN due to the frequent use of intensive and late-line treatments. Full article
(This article belongs to the Section Dermatology)
Show Figures

Figure 1

13 pages, 2415 KB  
Article
Real-World Treatment Patterns, Healthcare Resource Utilization, and Healthcare Costs in the First-Line Treatment of Metastatic Non-Small Cell Lung Cancer in the US
by Divyan Chopra, David M. Waterhouse, Ihtisham Sultan and Björn Stollenwerk
Curr. Oncol. 2025, 32(3), 151; https://doi.org/10.3390/curroncol32030151 - 5 Mar 2025
Cited by 3 | Viewed by 4094
Abstract
This study characterizes real-world treatment patterns and economic and healthcare resource utilization (HCRU) burden associated with first-line (1L) treatment of metastatic non-small cell lung cancer (NSCLC) without actionable alterations in the United States. This retrospective observational study used Optum Clinformatics® data. A [...] Read more.
This study characterizes real-world treatment patterns and economic and healthcare resource utilization (HCRU) burden associated with first-line (1L) treatment of metastatic non-small cell lung cancer (NSCLC) without actionable alterations in the United States. This retrospective observational study used Optum Clinformatics® data. A total of 15,659 patients with metastatic NSCLC who started 1L treatment between January 2020 and March 2023 were included (52% male; mean age at the start of 1L treatment 71.7 years; 86% Medicare Advantage). The most frequent 1L regimens were immune checkpoint inhibitor (ICI) + platinum-based chemotherapy (PBCT) (47%), PBCT only (26%), and ICI only (20%). The median 1L treatment duration was 4.2 months (range 2.7–6.5) and was shorter with chemotherapy-only regimens. Outpatient visits accounted for the majority of HCRU (mean 6.6 visits per patient per month [PPPM]). Outpatient, inpatient, and emergency department visits were highest for chemotherapy-only regimens. Mean total (all-cause) healthcare costs were $32,215 PPPM and were highest for ICI + chemotherapy ($34,741–38,454 PPPM). Inpatient costs PPPM were highest for PBCT ($4725) and ICI + non-PBCT ($4648). First-line treatment of metastatic NSCLC without actionable alterations imposes a notable HCRU and cost burden, underscoring the need for better treatment options to improve outcomes and reduce economic impact. Full article
(This article belongs to the Section Health Economics)
Show Figures

Figure 1

18 pages, 253 KB  
Article
Clinical and Economic Impact of a First Major Bleeding Event in Non-Anticoagulated Patients in Spain: A 3-Year Retrospective Observational Cohort Study
by Carlos Escobar, Beatriz Palacios, Miriam Villarreal, Martín Gutiérrez, Margarita Capel, Ignacio Hernández, María García, Laura Lledó and Juan F. Arenillas
J. Clin. Med. 2025, 14(4), 1377; https://doi.org/10.3390/jcm14041377 - 19 Feb 2025
Cited by 1 | Viewed by 1391
Abstract
Objective: To analyze clinical characteristics of non-anticoagulated subjects with major bleeding, and to determine the incidence of adverse events, healthcare resource utilization (HCRU) and associated costs following a major bleeding event. Methods: Retrospective observational cohort study that analyzed secondary data from electronic [...] Read more.
Objective: To analyze clinical characteristics of non-anticoagulated subjects with major bleeding, and to determine the incidence of adverse events, healthcare resource utilization (HCRU) and associated costs following a major bleeding event. Methods: Retrospective observational cohort study that analyzed secondary data from electronic health records in Spain. Non-anticoagulated patients with a first major bleeding during the study period (between January 2013 and December 2022) were analyzed for 3 years. Results: A total of 4089 patients (mean age 57.26 (12.87) years, 58.47% female) were included. A proportion of 27.63% presented with genitourinary bleeding, 22.43% with gastrointestinal bleeding, 5.16% with respiratory bleeding and 3.11% with intracranial hemorrhage. At the end of the first major bleeding event, 0.56% of patients died (5.51% after intracranial hemorrhage, 3.23% in case of trauma-related bleeding). The incidence rates of clinical outcomes per 100 person-years within the first 3 months of the major bleeding were death from any cause 7.51 (95% CI 6.70–8.32), cardiovascular death 1.80 (95% CI 1.39–2.21), acute myocardial infarction 4.53 (95% CI 3.89–5.17), and ischemic stroke 3.52 (95% CI 2.96–4.08), and decreased over time. At year 3, mean overall major bleeding cost per patient was EUR 13,310.00 (5153.05), of which EUR 7648.20 (2674.46) (57.46%) accounted for in-hospital costs to treat the major bleeding event. Conclusions: Among non-anticoagulated patients presenting with a first major bleeding, <1% of patients died during index hospitalization. However, these patients had a substantial risk of adverse clinical events during the follow-up, as well as high associated HCRU and costs. Full article
(This article belongs to the Section Cardiovascular Medicine)
21 pages, 1392 KB  
Review
Healthcare Resource Utilization (HCRU) and Direct Medical Costs Associated with Long COVID or Post-COVID-19 Conditions: Findings from a Literature Review
by Elżbieta Łukomska, Krzysztof Kloc, Malwina Kowalska, Aleksandra Matjaszek, Keya Joshi, Stefan Scholz, Nicolas Van de Velde and Ekkehard Beck
J. Mark. Access Health Policy 2025, 13(1), 7; https://doi.org/10.3390/jmahp13010007 - 12 Feb 2025
Cited by 6 | Viewed by 4975
Abstract
Approximately 10–20% of individuals suffering from COVID-19 develop prolonged symptoms known as long COVID or post-COVID condition (LC). This review aimed to assess healthcare resource use (HCRU) and healthcare costs associated with LC. Because LC is not clearly defined and often remains undiagnosed, [...] Read more.
Approximately 10–20% of individuals suffering from COVID-19 develop prolonged symptoms known as long COVID or post-COVID condition (LC). This review aimed to assess healthcare resource use (HCRU) and healthcare costs associated with LC. Because LC is not clearly defined and often remains undiagnosed, studies reporting on long-term follow-up of individuals with a COVID-19 diagnosis were also included. Among the 41 publications included, 36 reported on HCRU and 16 on costs. Individuals with LC had significantly elevated HCRU and healthcare costs vs. controls without a COVID-19 diagnosis over ≥15 months, with a 7.6–13.1% increase in total healthcare costs per person per month as assessed by difference-in-difference analysis. Among studies that did not specifically refer to LC, having a COVID-19 diagnosis was associated with a significant 4–10% increase in long-term total HCRU over 6–8 months and a 1.3- to 2.9-fold relative increase in total healthcare costs over 6 months. Due to the heterogeneity of the included studies, high-quality evidence is needed to better understand the economic burden of LC. In the absence of effective treatments, prioritizing the prevention of acute COVID-19, e.g., through vaccination, may be crucial for preventing LC and the associated long-term HCRU and medical spending. Full article
Show Figures

Figure 1

16 pages, 2205 KB  
Article
Clinical Benefits of Sustained Oral Nirmatrelvir/Ritonavir Use for the Outpatient Treatment of COVID-19: Findings from the Taiwanese Health Authority Perspective Using a Decision Tree Modeling Approach
by Matthew Sussman, Jennifer Benner, Tendai Mugwagwa, Jackie Lee, Sheng-Tzu Hung, Ya-Min Yang and Yixi Chen
J. Mark. Access Health Policy 2024, 12(4), 326-341; https://doi.org/10.3390/jmahp12040026 - 12 Nov 2024
Cited by 2 | Viewed by 2630
Abstract
Despite the observed clinical benefits of nirmatrelvir/ritonavir (NMV/r), it is uncertain whether Taiwan will continue covering NMV/r for high-risk individuals with mild-to-moderate coronavirus disease 2019 (COVID-19). This analysis assessed the impact of sustained utilization of NMV/r on COVID-19-associated healthcare resource utilization (HCRU) and [...] Read more.
Despite the observed clinical benefits of nirmatrelvir/ritonavir (NMV/r), it is uncertain whether Taiwan will continue covering NMV/r for high-risk individuals with mild-to-moderate coronavirus disease 2019 (COVID-19). This analysis assessed the impact of sustained utilization of NMV/r on COVID-19-associated healthcare resource utilization (HCRU) and mortality from the Taiwanese health authority perspective (THAP). A decision tree model estimated the incremental number of clinical events associated with NMV/r utilization over a 30-day period. Model results compared (1) a base case using current rates of NMV/r from the THAP, and (2) a hypothetical scenario assuming the current supply of NMV/r is not extended in Taiwan. NMV/r utilization rates included 80% and 0% in the base case and hypothetical scenario, respectively. Outcomes included the number of hospitalizations involving a general ward (GW) stay, intensive care unit (ICU) stay, and mechanical ventilation (MV) use, as well as the number of bed days, symptom days, and hospitalization deaths. Based on epidemiologic data, 150,255 patients with COVID-19 were eligible for treatment from the THAP. In the hypothetical scenario, HCRU increased by 175% compared to the base case, including increases in hospitalizations involving GW, ICU, and MV use (differences: 2067; 623; 591, respectively), bed days (difference: 51,521), symptom days (difference: 51,714), and deaths (difference: 480). Findings indicate that sustained utilization of NMV/r from the THAP reduces the clinical burden of mild-to-moderate COVID-19 through the reduced incidence of COVID-19-related HCRU and deaths. Full article
Show Figures

Figure 1

13 pages, 965 KB  
Article
Real-World Study of US Adults with Paroxysmal Nocturnal Hemoglobinuria Treated with Pegcetacoplan
by Brian Mulherin, Apeksha Shenoy, Lily Arnett, Weiqi Jiao, Joseph Guarinoni, Sujata Sarda, Jinny Min and David Dingli
Hematol. Rep. 2024, 16(4), 669-681; https://doi.org/10.3390/hematolrep16040065 - 29 Oct 2024
Cited by 2 | Viewed by 3232
Abstract
Background: Paroxysmal nocturnal hemoglobinuria (PNH) is a rare, acquired, life-threatening disease characterized by complement-mediated hemolysis. OPERA is the first US longitudinal real-world study on C3 inhibitor therapy, known as pegcetacoplan. Methods: OPERA enrolled US patients with PNH, age ≥18, who were [...] Read more.
Background: Paroxysmal nocturnal hemoglobinuria (PNH) is a rare, acquired, life-threatening disease characterized by complement-mediated hemolysis. OPERA is the first US longitudinal real-world study on C3 inhibitor therapy, known as pegcetacoplan. Methods: OPERA enrolled US patients with PNH, age ≥18, who were prescribed pegcetacoplan, and data were collected from routine care. Hemoglobin was reported by patients during regular follow-up (censored from transfusions). The Functional Assessment of Chronic Illness Therapy (FACIT)-Fatigue (0–52 score) and Patient-Reported Outcomes Measurement Information System scale for Cognitive Function Abilities (PROMIS-CF; 23.27–67.09 t-score) were completed electronically (low score = negative outcome). Patients self-reported incidence of healthcare resource utilization (HCRU). Results: By January 2024, 70 patients (mean age 44.6 years; 57.1% female) reported up to 9 months of pegcetacoplan treatment, with a median [IQR] follow-up of 6.6 [3.8] months. The latest reported hemoglobin levels improved by a mean (SD) of 2.6 (1.9) g/dL from baseline. At 3, 6 and 9 months, patients reported clinically meaningful improvements (≥5 points) in FACIT-F (53.3–69.0%) and (≥2 points) PROMIS-CF (46.7–55.2%). Patients reported a <10% incidence rate per person month of all HCRU events. Conclusions: This first longitudinal real-world US study indicates a positive trend in Hb, fatigue, and cognition with limited HCRU during pegcetacoplan treatment in adults with PNH. Full article
Show Figures

Figure 1

18 pages, 2097 KB  
Article
Unveiling the Impact of Moderate and Severe Atopic Dermatitis: Insights on Burden, Clinical Characteristics, and Healthcare Resource Utilization in Adult Greek Patients from the APOLO Cross-Sectional Study
by Alexander J. Stratigos, Vasiliki Chasapi, Alexander Katoulis, Efstratios Vakirlis, Fotios Psarros, Sophia Georgiou, Dimitrios Vourdas, Michael Makris, Elizabeth Lazaridou, Stamatios Gregoriou, Ioannis Skiadas, Magda Nakou, Christopher Koulias and APOLO Study Group
J. Clin. Med. 2024, 13(21), 6327; https://doi.org/10.3390/jcm13216327 - 23 Oct 2024
Cited by 2 | Viewed by 3313
Abstract
Background: Moderate to severe (M2S) atopic dermatitis (AD) is a chronic condition impacting individuals, society, and healthcare systems. Considering the changing M2S-AD treatment landscape, this study assesses the M2S-AD burden in patients reaching referral centers in Greece. Methods: This was a [...] Read more.
Background: Moderate to severe (M2S) atopic dermatitis (AD) is a chronic condition impacting individuals, society, and healthcare systems. Considering the changing M2S-AD treatment landscape, this study assesses the M2S-AD burden in patients reaching referral centers in Greece. Methods: This was a multicenter, cross-sectional study. Patients aged 12 years or older with clinically diagnosed M2S-AD were enrolled. Data collected included clinical practice assessments and the following validated patient-reported instruments: Dermatology Life Quality Index (DLQI); EuroQol-5 Dimensions-3 Level scale (EQ-5D-3L); Patient Oriented Eczema Measure (POEM); Peak Pruritus Numerical Rating Scale (PP-NRS); and Work Productivity and Activity Impairment: General Health (WPAI:GH). A pain frequency/intensity/cause questionnaire and a sleep disturbance scale were also used. Results: Outcomes of 184 adults (51.1% female) with M2S-AD based on the Eczema Area and Severity Index (EASI) are presented (n = 117 moderate; n = 67 severe). Among the patients, 14.8% were obese, 59.2% had allergic comorbidities, and 88.0% were receiving AD-specific therapy (systemic: 38.6%). The median age, disease duration, body surface area, and total EASI scores were 38.8 years, 11.8 years, 30.0%, and 16.9, respectively. The median DLQI score was 12.0, with ‘symptoms/feelings’ being the most affected domain. EQ-5D dimensions ‘anxiety/depression’ and ‘pain/discomfort’ were also affected (65.2% and 64.1% reporting problems, respectively). The median POEM score was 17.0. Pain, severe pruritus (PP-NRS ≥ 7), and sleep disturbance were reported by 80.4%, 62.0%, and 88.5%, respectively. The median WPAI:GH ‘work productivity loss’ and ‘activity impairment’ scores were 23.8% and 30.0%, respectively. Conclusions: Both moderate and severe AD patients reaching Greek specialized centers experience significant symptom burden and impairments in quality of life, sleep, work, and daily activities. Full article
(This article belongs to the Section Dermatology)
Show Figures

Figure 1

13 pages, 666 KB  
Article
Outcomes and Healthcare Resource Utilization in Patients with COVID-19 Treated with Nirmatrelvir–Ritonavir: Real-World Data Analysis
by Clara Weil, Lilac Tene, Gabriel Chodick, Noga Fallach, Wajeeha Ansari, Tal Distelman-Menachem and Yasmin Maor
J. Clin. Med. 2024, 13(20), 6091; https://doi.org/10.3390/jcm13206091 - 12 Oct 2024
Cited by 1 | Viewed by 2064
Abstract
Background: Nirmatrelvir–ritonavir was granted emergency use authorization in Israel in January 2022 to treat high-risk patients with mild-to-moderate COVID-19. The aim of the study was to assess the association between nirmatrelvir–ritonavir treatment and COVID-19-related hospitalization and healthcare resource utilization (HCRU) in a country [...] Read more.
Background: Nirmatrelvir–ritonavir was granted emergency use authorization in Israel in January 2022 to treat high-risk patients with mild-to-moderate COVID-19. The aim of the study was to assess the association between nirmatrelvir–ritonavir treatment and COVID-19-related hospitalization and healthcare resource utilization (HCRU) in a country with a high level of vaccinations compared to patients who were offered treatment and declined. Methods: The Maccabi Healthcare Services dataset was used to identify high-risk SARS-CoV-2-positive adults from January to February 2022 who received nirmatrelvir–ritonavir within 5 days of symptom onset (treatment group) or who were offered nirmatrelvir–ritonavir treatment and declined it (reference group). COVID-19-related hospitalizations and all-cause mortality and HCRU within 30 days were compared between treatment and reference groups using inverse probability of treatment weighting. Results: Treatment and reference groups included 3460 (median age, 68.4 years) and 1654 (70.2 years) patients, respectively. Patients with ≥1 dose of COVID-19 vaccine accounted for 89.5% (treatment group) and 72.1% (reference group) of the total. Treatment was associated with a lower risk of COVID-19-related hospitalization (adjusted OR, 0.59 [95% CI, 0.41,0.83]). Results were similar by age group (18–64/≥65 years) and among patients with/without vaccination in the prior 180 days. There were 11 (0.3%) versus 11 (0.7%) deaths in the treatment and reference groups, respectively. Treated patients had lower inpatient HCRU and greater less intensive outpatient HCRU (e.g., telemedicine and emergency room visits). Conclusions: Nirmatrelvir–ritonavir treatment was associated with a reduced risk of COVID-19-related hospitalization and a shift to less intensive outpatient HCRU. Comparison with a reference group of nirmatrelvir–ritonavir-eligible patients who declined treatment enabled an unbiased outcome assessment. Real-world data gathered during the Omicron BA.1 variant wave of COVID-19 in Israel support the continued use of nirmatrelvir–ritonavir for high-risk adults of all ages, regardless of previous vaccinations. Full article
(This article belongs to the Special Issue Novel Insights into COVID-19-Associated Complications and Sequelae)
Show Figures

Figure 1

15 pages, 3968 KB  
Article
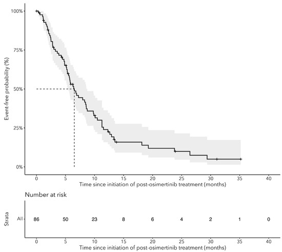
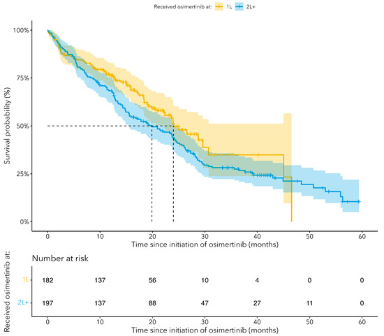
Real-World Treatment Patterns, Health Outcomes, and Healthcare Resource Use in Advanced Common EGFR-Positive Non-Small Cell Lung Cancer Patients Treated with Osimertinib in Alberta
by Winson Y. Cheung, Chantelle Carbonell, Vishal Navani, Randeep S. Sangha, Emmanuel M. Ewara, Julia Elia-Pacitti, Sandra Iczkovitz, Tamer N. Jarada and Matthew T. Warkentin
Curr. Oncol. 2024, 31(8), 4382-4396; https://doi.org/10.3390/curroncol31080327 - 31 Jul 2024
Cited by 1 | Viewed by 3126
Abstract
There is limited information on the treatment trajectory and outcomes of patients with advanced cEGFRm NSCLC treated with osimertinib in routine clinical practice in Canada. By using and analyzing population-based administrative data and detailed chart abstraction in the province of Alberta, our objective [...] Read more.
There is limited information on the treatment trajectory and outcomes of patients with advanced cEGFRm NSCLC treated with osimertinib in routine clinical practice in Canada. By using and analyzing population-based administrative data and detailed chart abstraction in the province of Alberta, our objective was to capture Canadian-specific real-world treatment patterns, health outcomes, and healthcare resource utilization (HCRU) in advanced cEGFRm NSCLC patients who were (a) treated with osimertinib and (b) those receiving treatment after osimertinib. In our study cohort, we found that the overall survival rates for real-world patients receiving osimertinib were less favorable than those observed in clinical trials (24.0 versus 38.6 months). The attrition rate after osimertinib was substantial and high HCRU persisted across many years after diagnosis and treatment. This study provides important real-world evidence on contemporary survival, treatment patterns, and healthcare use among cEGFRm NSCLC patients treated with osimertinib and suggests that further research efforts are needed to improve therapeutic options in both the first and subsequent line settings. Full article
Show Figures

Figure 1

Back to TopTop