Sign in to use this feature.

Years

Between: -

Subjects

remove_circle_outline
remove_circle_outline
remove_circle_outline
remove_circle_outline
remove_circle_outline
remove_circle_outline
remove_circle_outline

Journals

Article Types

Countries / Regions

Search Results (7)

Search Parameters:
Keywords = GSR persistence

Order results
Result details
Results per page
Select all
Export citation of selected articles as:
31 pages, 2271 KB  
Review
Mental Stress Detection Using Physiological Sensors and Artificial Intelligence: A Review
by Rabah Al Abdi, Shouq AlKaabi, Shada Elsifi and Jawad Yousaf
Sensors 2026, 26(5), 1616; https://doi.org/10.3390/s26051616 - 4 Mar 2026
Viewed by 986
Abstract
Stress can cause many disorders, including mental and physical ones, if it persists. To take timely and effective early intervention measures, mental stress levels must be carefully monitored. This study investigates the rapidly growing topic of mental stress detection, focusing on the primary [...] Read more.
Stress can cause many disorders, including mental and physical ones, if it persists. To take timely and effective early intervention measures, mental stress levels must be carefully monitored. This study investigates the rapidly growing topic of mental stress detection, focusing on the primary goals and mechanisms of existing detection frameworks. The main objectives and mechanisms will be highlighted. This study examines physiological sensors, stressors, algorithms, monitoring methods, and validation tools used to assess and classify mental stress. The study targets physiological sensors. Wearable sensors are becoming more popular because they can continuously monitor physiological responses in human-like environments. This allows them to reveal relevant stress patterns across various work environments. Numerous physiological sensors are used regularly. Galvanic skin response (GSR), electrocardiogram (ECG), photoplethysmography (PPG), electroencephalography (EEG), and pupil diameter camera systems are examples of these sensors. The combination of these sensors provides a wealth of cognitive and autonomic response data for stress detection. This review examines AI-based methods for interpreting complex physiological data. Machine learning and ensemble models are emphasized for improving stress classification accuracy and reducing incorrect classifications. In addition, this article discusses stressors used to induce reliable physiological responses. Validated self-report instruments are being reviewed as benchmarking tools for objective sensor-based measurements. STAI and PSS-10 are examples. These instruments demonstrate a strong correlation between stress and anxiety and physiological health outcomes. In conclusion, this review discusses future research avenues, focusing on advanced artificial intelligence-driven approaches and sophisticated sensors. These developments aim to better define stress levels and physiological factors that have not been thoroughly studied. Full article
(This article belongs to the Section Biomedical Sensors)
Show Figures

Figure 1

24 pages, 1548 KB  
Article
Fecal Microbiota Transplantation for Autism Spectrum Disorder in Children: Results from a Prospective Open-Label Controlled Observational Study
by Dominykas Varnas, Arnas Kunevičius, Aurelijus Burokas and Vaidotas Urbonas
Medicina 2026, 62(1), 65; https://doi.org/10.3390/medicina62010065 - 28 Dec 2025
Viewed by 1661
Abstract
Background and Objectives: Autism spectrum disorder (ASD) is a prevalent neurodevelopmental disorder with an increasing global incidence. Gut microbiota dysbiosis is believed to be playing a role in ASD pathogenesis. Fecal microbiota transplantation (FMT) is emerging as a potential therapeutic strategy to [...] Read more.
Background and Objectives: Autism spectrum disorder (ASD) is a prevalent neurodevelopmental disorder with an increasing global incidence. Gut microbiota dysbiosis is believed to be playing a role in ASD pathogenesis. Fecal microbiota transplantation (FMT) is emerging as a potential therapeutic strategy to alleviate ASD-related and gastrointestinal symptoms, but data in pediatric ASD populations remain limited. Materials and Methods: We conducted a prospective, single-center, open-label controlled study to evaluate the efficacy of colonoscopic FMT in children with ASD. Participants were allocated to two groups: an intervention group that underwent a single FMT procedure and a control group. Gastrointestinal Symptoms Rating Scale (GSRS), Autism Diagnostic Observation Schedule (ADOS), Childhood Autism Rating Scale (CARS), Child Behavior Checklist (CBCL), and Parent Global Impression (PGI-R) scales were assessed for both groups at baseline and at set time points. Results: 30 participants were enrolled, with 15 in each group. At 8 weeks, no significant between-group differences were observed for the prespecified primary endpoint, change in ADOS scores. The intervention group showed significantly greater improvements in CARS (p < 0.001), PGI-R (p < 0.001), CBCL Internalizing Problems (p = 0.001), and GSRS (p = 0.037) compared with controls; CARS and PGI-R improvements persisted at 6 months. Within the intervention group, sustained improvements were noted in CARS, GSRS, and PGI-R up to 18 months. No serious adverse events were observed; three mild, self-limited adverse events were recorded following FMT. Conclusions: Colonoscopic FMT was associated with significant short-term improvements in gastrointestinal and caregiver-reported ASD symptoms (CARS), but not in ADOS scores. Some effects persisted long-term. However, due to a lack of blinding and possible selection bias, these findings should be interpreted as exploratory. Larger randomized controlled trials are needed to confirm efficacy and optimize protocols. Full article
(This article belongs to the Section Pediatrics)
Show Figures

Figure 1

10 pages, 270 KB  
Article
GERD after Roux-en-Y Gastric Bypass: Prevalence and Risk Factors Analysis
by Matas Pažusis, Gabrielė Gerasimovič, Rūta Petereit, Rita Gudaitytė and Almantas Maleckas
Medicina 2024, 60(8), 1221; https://doi.org/10.3390/medicina60081221 - 28 Jul 2024
Cited by 7 | Viewed by 3209
Abstract
Background and Objectives: The prevalence of GERD is increasing among individuals with obesity, and RYGB is an effective procedure to control GERD and obesity. However, some patients continue to have GERD after RYGB. The aim of this study was to investigate the prevalence [...] Read more.
Background and Objectives: The prevalence of GERD is increasing among individuals with obesity, and RYGB is an effective procedure to control GERD and obesity. However, some patients continue to have GERD after RYGB. The aim of this study was to investigate the prevalence and the risk factors for GERD after RYGB. Material and Methods: This prospective study included 180 RYGB patients followed for an average of 12.2 (0.6) years. In total, 126 (70%) patients agreed to participate and provided data on their weight, GERD symptoms, and filled the GERD-HRQL, TFEQ-18, and GSRS questionnaires. Results: The average age before surgery was 42.7 (10.5) years, and BMI was 45.2 (6.4) kg/m2. Moreover, 128 (71.1%) were females, and preoperative GERD was diagnosed in 74 (41.1%) patients. At the 12-year follow-up, the mean %EBMIL and %TWL was 60.37 and 25.73, respectively. The median %WR was 18.0 (39.0). Postoperative GERD was present in 30 (23.8%) patients, of whom 12 (40%) continued to have GERD symptoms and 18 (60%) developed de novo GERD. The GERD-HRQL score significantly decreased from 3.0 (9.0) at baseline to 2.0 (5.0) (p = 0.028) at 12 years. GSRS Diarrhea and Indigestion scores increased significantly from 1.33 (0.67) to 1.5 (2.42) (p < 0.001) and from 2.0 (1.25) to 2.25 (1.25) (p < 0.001), respectively. No change in the cognitive restraint score was observed. Uncontrolled eating and emotional eating scores decreased from 51.85 (22.22) to 40.74 (33.33) (p < 0.001) and from 44.44 (44.44) to 33.33 (22.22) (p < 0.001), respectively. In the multivariate analysis, %WR > 11 (OR = 3.22, p = 0.029) and GSRS Diarrhea score (OR = 3.21, p = 0.027) were significant predictors of GERD 12 years after RYGB. Conclusions: RYGB was an effective procedure to control GERD; however, 23.8% had persistent or de novo GERD after 12 years. The independent risk factors associated with GERD after RYGB were weight regain and GSRS Diarrhea score. Full article
(This article belongs to the Special Issue Gastroesophageal Reflux Disease and Esophageal Motility Disorders)
16 pages, 3072 KB  
Article
Assessment of Persistence of Gunshot Residues Produced by Firearms from Criminal Cases in the Republic of Kosovo
by Milazim Tahirukaj, Andriana Surleva, Petrica Vizureanu, Blerim Olluri and Andrei Victor Sandu
Appl. Sci. 2022, 12(20), 10477; https://doi.org/10.3390/app122010477 - 17 Oct 2022
Cited by 7 | Viewed by 6907
Abstract
Gunshot residue (GSR) is a material formed during firearm discharge with a specific spheroidal/noncrystalline morphology and chemical composition. The examination of gunshot residue by SEM/EDS is an important tool in forensic studies and presents supporting evidence in criminal investigations. This study is aimed [...] Read more.
Gunshot residue (GSR) is a material formed during firearm discharge with a specific spheroidal/noncrystalline morphology and chemical composition. The examination of gunshot residue by SEM/EDS is an important tool in forensic studies and presents supporting evidence in criminal investigations. This study is aimed at exploring the number of particles characteristic of GSR identified by SEM/EDS as a function of time, gun caliber, the number of shots, and weather conditions. Firearms typically used in criminal cases in Kosovo were studied, and the experiments were conducted outdoors in the summer and winter seasons. Nine people made different numbers of shots from one to nine and followed a common office routine. An optimized and validated SEM/EDS protocol was applied with a sensitivity of 95%, a bias of −5%, a repeatability of 2% (RSD), a within-lab reproducibility of 2% (RSD), and an expanded uncertainty of the number of GSR particles of 6% at coverage factor k = 2. The results showed that GSR particles could be identified by SEM/EDS five to seven hours after shooting, depending on the weapon used and number of produced shots. The results will benefit forensic scientists by providing a supportive tool for hypothesizing the time interval between firearm discharge and GSR sampling. Full article
(This article belongs to the Special Issue New Materials and Advanced Procedures of Obtaining and Processing II)
Show Figures

Figure 1

39 pages, 2579 KB  
Article
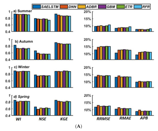
Stacked LSTM Sequence-to-Sequence Autoencoder with Feature Selection for Daily Solar Radiation Prediction: A Review and New Modeling Results
by Sujan Ghimire, Ravinesh C. Deo, Hua Wang, Mohanad S. Al-Musaylh, David Casillas-Pérez and Sancho Salcedo-Sanz
Energies 2022, 15(3), 1061; https://doi.org/10.3390/en15031061 - 31 Jan 2022
Cited by 88 | Viewed by 11063
Abstract
We review the latest modeling techniques and propose new hybrid SAELSTM framework based on Deep Learning (DL) to construct prediction intervals for daily Global Solar Radiation (GSR) using the Manta Ray Foraging Optimization (MRFO) feature selection to select model parameters. Features are employed [...] Read more.
We review the latest modeling techniques and propose new hybrid SAELSTM framework based on Deep Learning (DL) to construct prediction intervals for daily Global Solar Radiation (GSR) using the Manta Ray Foraging Optimization (MRFO) feature selection to select model parameters. Features are employed as potential inputs for Long Short-Term Memory and a seq2seq SAELSTM autoencoder Deep Learning (DL) system in the final GSR prediction. Six solar energy farms in Queensland, Australia are considered to evaluate the method with predictors from Global Climate Models and ground-based observation. Comparisons are carried out among DL models (i.e., Deep Neural Network) and conventional Machine Learning algorithms (i.e., Gradient Boosting Regression, Random Forest Regression, Extremely Randomized Trees, and Adaptive Boosting Regression). The hyperparameters are deduced with grid search, and simulations demonstrate that the DL hybrid SAELSTM model is accurate compared with the other models as well as the persistence methods. The SAELSTM model obtains quality solar energy prediction intervals with high coverage probability and low interval errors. The review and new modelling results utilising an autoencoder deep learning method show that our approach is acceptable to predict solar radiation, and therefore is useful in solar energy monitoring systems to capture the stochastic variations in solar power generation due to cloud cover, aerosols, ozone changes, and other atmospheric attenuation factors. Full article
(This article belongs to the Section B2: Clean Energy)
Show Figures

Figure 1

14 pages, 2294 KB  
Article
Beneficial Effects of a Low-Nickel Diet on Relapsing IBS-Like and Extraintestinal Symptoms of Celiac Patients during a Proper Gluten-Free Diet: Nickel Allergic Contact Mucositis in Suspected Non-Responsive Celiac Disease
by Raffaele Borghini, Natascia De Amicis, Antonino Bella, Nicoletta Greco, Giuseppe Donato and Antonio Picarelli
Nutrients 2020, 12(8), 2277; https://doi.org/10.3390/nu12082277 - 29 Jul 2020
Cited by 20 | Viewed by 13823
Abstract
Background and Aim: Nickel (Ni)-rich foods can induce allergic contact mucositis (ACM) with irritable bowel syndrome (IBS)-like symptoms in predisposed subjects. Ni ACM has a high prevalence (>30%) in the general population and can be diagnosed by a Ni oral mucosa patch test [...] Read more.
Background and Aim: Nickel (Ni)-rich foods can induce allergic contact mucositis (ACM) with irritable bowel syndrome (IBS)-like symptoms in predisposed subjects. Ni ACM has a high prevalence (>30%) in the general population and can be diagnosed by a Ni oral mucosa patch test (omPT). Many celiac disease (CD) patients on a gluten-free diet (GFD) often show a recrudescence of gastrointestinal and extraintestinal symptoms, although serological and histological remission has been achieved. Since a GFD often results in higher loads of ingested alimentary Ni (e.g., corn), we hypothesized that it would lead to a consequent intestinal sensitization to Ni in predisposed subjects. We wanted to (1) study Ni ACM prevalence in still symptomatic CD patients on a GFD and (2) study the effects of a low-Ni diet (LNiD) on their recurrent symptoms. Material and Methods: We recruited 102 consecutive CD patients (74 female, 28 male; age range 18–65 years, mean age 42.3 ± 7.4) on a GFD since at least 12 months, in current serological and histological remission (Marsh–Oberhuber type 0–I) who complained of relapsing gastrointestinal and/or extraintestinal symptoms. Inclusion criteria: presence of at least three gastrointestinal symptoms with a score ≥5 on the modified Gastrointestinal Symptom Rating Scale (GSRS) questionnaire. Exclusion criteria: IgE-mediated food allergy; history of past or current cancer; inflammatory bowel diseases; infectious diseases including Helicobacter pylori; lactose intolerance. All patients enrolled underwent Ni omPT and followed a LNiD for 3 months. A 24 symptoms questionnaire (GSRS modified according to the Salerno Experts’ Criteria, with 15 gastrointestinal and 9 extraintestinal symptoms) was administered at T0 (free diet), T1 (GFD, CD remission), T2 (recurrence of symptoms despite GFD), and T3 (GFD + LNiD) for comparisons. Comparisons were performed using Wilcoxon signed-rank test. RESULTS: Twenty patients (all female, age range 23–65 years, mean age 39.1 ± 2.9) out of 102 (19.6%) were finally included. All 20 patients enrolled (100%) showed positive Ni omPT, confirming an Ni ACM diagnosis. A correct GFD (T0 vs. T1) induced the improvement of 19 out of the total 24 (79.2%) symptoms, and 14 out of 24 (58.3%) were statistically significant (p-value < 0.0083 according to Bonferroni correction). Prolonged GFD (T1 vs. T2) revealed the worsening of 20 out of the total 24 (83.3%) symptoms, and 10 out of 24 (41.7%) were statistically significant. LNiD (T2 vs. T3) determined an improvement of 20 out of the total 24 (83.4%) symptoms, and in 10 out of 24 (41.7%) symptoms the improvement was statistically significant. Conclusions: Our data suggest that the recrudescence of gastrointestinal and extraintestinal symptoms observed in CD subjects during GFD may be due to the increase in alimentary Ni intake, once gluten contamination and persisting villous atrophy are excluded. Ni overload can induce Ni ACM, which can be diagnosed by a specific Ni omPT. Improvement of symptoms occurs after a proper LNiD. These encouraging data should be confirmed with larger studies. Full article
(This article belongs to the Special Issue Advance in Gluten-Free Diet)
Show Figures

Figure 1

11 pages, 936 KB  
Article
Gastrointestinal Symptoms in Celiac Disease Patients on a Long-Term Gluten-Free Diet
by Pilvi Laurikka, Teea Salmi, Pekka Collin, Heini Huhtala, Markku Mäki, Katri Kaukinen and Kalle Kurppa
Nutrients 2016, 8(7), 429; https://doi.org/10.3390/nu8070429 - 14 Jul 2016
Cited by 67 | Viewed by 16224
Abstract
Experience suggests that many celiac patients suffer from persistent symptoms despite a long-term gluten-free diet (GFD). We investigated the prevalence and severity of these symptoms in patients with variable duration of GFD. Altogether, 856 patients were classified into untreated (n = 128), [...] Read more.
Experience suggests that many celiac patients suffer from persistent symptoms despite a long-term gluten-free diet (GFD). We investigated the prevalence and severity of these symptoms in patients with variable duration of GFD. Altogether, 856 patients were classified into untreated (n = 128), short-term GFD (1–2 years, n = 93) and long-term GFD (≥3 years, n = 635) groups. Analyses were made of clinical and histological data and dietary adherence. Symptoms were evaluated by the validated GSRS questionnaire. One-hundred-sixty healthy subjects comprised the control group. Further, the severity of symptoms was compared with that in peptic ulcer, reflux disease, inflammatory bowel disease (IBD) and irritable bowel syndrome (IBS). Altogether, 93% of the short-term and 94% of the long-term treated patients had a strict GFD and recovered mucosa. Untreated patients had more diarrhea, indigestion and abdominal pain than those on GFD and controls. There were no differences in symptoms between the short- and long-term GFD groups, but both yielded poorer GSRS total score than controls (p = 0.03 and p = 0.05, respectively). Furthermore, patients treated 1–2 years had more diarrhea (p = 0.03) and those treated >10 years more reflux (p = 0.04) than controls. Long-term treated celiac patients showed relatively mild symptoms compared with other gastrointestinal diseases. Based on our results, good response to GFD sustained in long-term follow-up, but not all patients reach the level of healthy individuals. Full article
Show Figures

Graphical abstract

Back to TopTop