Sign in to use this feature.

Years

Between: -

Subjects

remove_circle_outline
remove_circle_outline
remove_circle_outline
remove_circle_outline
remove_circle_outline
remove_circle_outline

Journals

Article Types

Countries / Regions

Search Results (54)

Search Parameters:
Keywords = GPR B-scan

Order results
Result details
Results per page
Select all
Export citation of selected articles as:
28 pages, 6410 KB  
Article
Two-Step Forward Modeling for GPR Data of Metal Pipes Based on Image Translation and Style Transfer
by Zhishun Guo, Yesheng Gao, Zicheng Huang, Mengyang Shi and Xingzhao Liu
Remote Sens. 2025, 17(18), 3215; https://doi.org/10.3390/rs17183215 - 17 Sep 2025
Viewed by 340
Abstract
Ground-penetrating radar (GPR) is an important geophysical technique in subsurface detection. However, traditional numerical simulation methods such as finite-difference time-domain (FDTD) face challenges in accurately simulating complex heterogeneous mediums in real-world scenarios due to the difficulty of obtaining precise medium distribution information and [...] Read more.
Ground-penetrating radar (GPR) is an important geophysical technique in subsurface detection. However, traditional numerical simulation methods such as finite-difference time-domain (FDTD) face challenges in accurately simulating complex heterogeneous mediums in real-world scenarios due to the difficulty of obtaining precise medium distribution information and high computational costs. Meanwhile, deep learning methods require excessive prior information, which limits their application. To address these issues, this paper proposes a novel two-step forward modeling strategy for GPR data of metal pipes. The first step employs the proposed Polarization Self-Attention Image Translation network (PSA-ITnet) for image translation, which is inspired by the process where a neural network model “understands” image content and “rewrites” it according to specified rules. It converts scene layout images (cross-sectional schematics depicting geometric details such as the size and spatial distribution of underground buried metal pipes and their surrounding medium) into simulated clutter-free GPR B-scan images. By integrating the polarized self-attention (PSA) mechanism into the Unet generator, PSA-ITnet can capture long-range dependencies, enhancing its understanding of the longitudinal time-delay property in GPR B-scan images. which is crucial for accurately generating hyperbolic signatures of metal pipes in simulated data. The second step uses the Polarization Self-Attention Style Transfer network (PSA-STnet) for style transfer, which transforms the simulated clutter-free images into data matching the distribution and characteristics of a real-world underground heterogeneous medium under unsupervised conditions while retaining target information. This step bridges the gap between ideal simulations and actual GPR data. Simulation experiments confirm that PSA-ITnet outperforms traditional methods in image translation, and PSA-STnet shows superiority in style transfer. Real-world experiments in a complex bridge support structure scenario further verify the method’s practicability and robustness. Compared to FDTD, the proposed strategy is capable of generating GPR data matching real-world subsurface heterogeneous medium distributions from scene layout models, significantly reducing time costs and providing an efficient solution for GPR data simulation and analysis. Full article
Show Figures

Figure 1

20 pages, 2354 KB  
Article
Application of Radar for Diagnosis of Defects in Concrete Structures: A Structured Image-Based Approach
by Saman Hedjazi, Macy Spears, Ehsanul Kabir and Hossein Taheri
CivilEng 2025, 6(3), 45; https://doi.org/10.3390/civileng6030045 - 27 Aug 2025
Viewed by 614
Abstract
Ground penetrating radar (GPR) is a non-destructive testing (NDT) method increasingly used for evaluating concrete structures by identifying internal flaws and embedded objects. This study presents a structured image-based methodology for interpreting GPR B-scan data using a practical flowchart designed to aid in [...] Read more.
Ground penetrating radar (GPR) is a non-destructive testing (NDT) method increasingly used for evaluating concrete structures by identifying internal flaws and embedded objects. This study presents a structured image-based methodology for interpreting GPR B-scan data using a practical flowchart designed to aid in distinguishing common subsurface anomalies. The methodology was validated through a laboratory experiment involving four concrete slabs embedded with simulated defects, including corroded rebar, hollow pipes, polystyrene sheets (to represent delamination), and hollow containers (to represent voids). Scans were performed using a commercially available device, and the resulting radargrams were analyzed based on signal reflection patterns. The proposed approach successfully identified rebar positions, spacing, and depths, as well as low-dielectric anomalies such as voids and polystyrene inclusions. Some limitations were noted in detecting non-metallic materials with weak dielectric contrast, such as hollow pipes. Overall, the findings demonstrate the reliability and adaptability of the proposed method in improving the interpretation of GPR data for structural diagnostics. The proposed methodology achieved a detection accuracy of approximately 90% across all embedded features, which demonstrates improved interpretability compared to traditional manual GPR assessments, typically ranging between 70 and 80% in similar laboratory conditions. Full article
Show Figures

Figure 1

29 pages, 3731 KB  
Article
An Automated Method for Identifying Voids and Severe Loosening in GPR Images
by Ze Chai, Zicheng Wang, Zeshan Xu, Ziyu Feng and Yafeng Zhao
J. Imaging 2025, 11(8), 255; https://doi.org/10.3390/jimaging11080255 - 30 Jul 2025
Viewed by 795
Abstract
This paper proposes a novel automatic recognition method for distinguishing voids and severe loosening in road structures based on features of ground-penetrating radar (GPR) B-scan images. By analyzing differences in image texture, the intensity and clarity of top reflection interfaces, and the regularity [...] Read more.
This paper proposes a novel automatic recognition method for distinguishing voids and severe loosening in road structures based on features of ground-penetrating radar (GPR) B-scan images. By analyzing differences in image texture, the intensity and clarity of top reflection interfaces, and the regularity of internal waveforms, a set of discriminative features is constructed. Based on these features, we develop the FKS-GPR dataset, a high-quality, manually annotated GPR dataset collected from real road environments, covering diverse and complex background conditions. Compared to datasets based on simulations, FKS-GPR offers higher practical relevance. An improved ACF-YOLO network is then designed for automatic detection, and the experimental results show that the proposed method achieves superior accuracy and robustness, validating its effectiveness and engineering applicability. Full article
(This article belongs to the Section Image and Video Processing)
Show Figures

Figure 1

20 pages, 3898 KB  
Article
Synergistic Multi-Model Approach for GPR Data Interpretation: Forward Modeling and Robust Object Detection
by Hang Zhang, Zhijie Ma, Xinyu Fan and Feifei Hou
Remote Sens. 2025, 17(14), 2521; https://doi.org/10.3390/rs17142521 - 20 Jul 2025
Viewed by 648
Abstract
Ground penetrating radar (GPR) is widely used for subsurface object detection, but manual interpretation of hyperbolic features in B-scan images remains inefficient and error-prone. In addition, traditional forward modeling methods suffer from low computational efficiency and strong dependence on field measurements. To address [...] Read more.
Ground penetrating radar (GPR) is widely used for subsurface object detection, but manual interpretation of hyperbolic features in B-scan images remains inefficient and error-prone. In addition, traditional forward modeling methods suffer from low computational efficiency and strong dependence on field measurements. To address these challenges, we propose an unsupervised data augmentation framework that utilizes CycleGAN-based model to generate diverse synthetic B-scan images by simulating varying geological parameters and scanning configurations. This approach achieves GPR data forward modeling and enhances the scenario coverage of training data. We then apply the EfficientDet architecture, which incorporates a bidirectional feature pyramid network (BiFPN) for multi-scale feature fusion, to enhance the detection capability of hyperbolic signatures in B-scan images under challenging conditions such as partial occlusions and background noise. The proposed method achieves a mean average precision (mAP) of 0.579 on synthetic datasets, outperforming YOLOv3 and RetinaNet by 16.0% and 23.5%, respectively, while maintaining robust multi-object detection in complex field conditions. Full article
(This article belongs to the Special Issue Advanced Ground-Penetrating Radar (GPR) Technologies and Applications)
Show Figures

Figure 1

22 pages, 2286 KB  
Article
GPR-Based Leakage Reconstruction of Shallow-Buried Water Supply Pipelines Using an Improved UNet++ Network
by Qingqi Xu, Qinghua Liu and Shan Ouyang
Remote Sens. 2025, 17(13), 2174; https://doi.org/10.3390/rs17132174 - 25 Jun 2025
Viewed by 524
Abstract
Ground-penetrating radar (GPR) plays a critical role in detecting underground targets, particularly locating and characterizing leaks in buried pipelines. However, the complex nature of GPR images related to pipeline leaks, combined with the limitations of existing neural network-based inversion methods, such as insufficient [...] Read more.
Ground-penetrating radar (GPR) plays a critical role in detecting underground targets, particularly locating and characterizing leaks in buried pipelines. However, the complex nature of GPR images related to pipeline leaks, combined with the limitations of existing neural network-based inversion methods, such as insufficient feature extraction and low inversion accuracy, poses significant challenges for effective leakage reconstruction. To address these challenges, this paper proposes an enhanced UNet++-based model: the Multi-Scale Directional Network PlusPlus (MSDNet++). The network employs an encoder–decoder architecture, in which the encoder incorporates multi-scale directional convolutions with coordinate attention to extract and compress features across different scales effectively. The decoder fuses multi-level features through dense skip connections and further enhances the representation of critical information via coordinate attention, enabling the accurate inversion of dielectric constant images. Experimental results on both simulated and real-world data demonstrate that MSDNet++ can accurately invert the location and extent of buried pipeline leaks from GPR B-scan images. Full article
(This article belongs to the Special Issue Advanced Ground-Penetrating Radar (GPR) Technologies and Applications)
Show Figures

Figure 1

14 pages, 2919 KB  
Article
GPR Sensing and Visual Mapping Through 4G-LTE, 5G, Wi-Fi HaLow, and Wi-Fi Hotspots with Edge Computing and AR Representation
by Scott Tanch, Alireza Fath, Nicholas Hanna, Tian Xia and Dryver Huston
Appl. Sci. 2025, 15(12), 6552; https://doi.org/10.3390/app15126552 - 10 Jun 2025
Cited by 1 | Viewed by 763
Abstract
In this study, we demonstrate an application for 5G networks in mobile and remote GPR scanning situations to detect buried objects by experts while the operator is performing the scans. Using a GSSI SIR-30 system in conjunction with the RealSense camera for visual [...] Read more.
In this study, we demonstrate an application for 5G networks in mobile and remote GPR scanning situations to detect buried objects by experts while the operator is performing the scans. Using a GSSI SIR-30 system in conjunction with the RealSense camera for visual mapping of the surveyed area, subsurface GPR scans were created and transmitted for remote processing. Using mobile networks, the raw B-scan files were transmitted at a sufficient rate, a maximum of 0.034 ms mean latency, to enable near real-time edge processing. The performance of 5G networks in handling the data transmission for the GPR scans and edge computing was compared to the performance of 4G networks. In addition, long-range low-power devices, namely Wi-Fi HaLow and Wi-Fi hotspots, were compared as local alternatives to cellular networks. Augmented reality headset representation of the F-scans is proposed as a method of assisting the operator in using the edge-processed scans. These promising results bode well for the potential of remote processing of GPR data in augmented reality applications. Full article
(This article belongs to the Special Issue Robotics and Intelligent Systems: Technologies and Applications)
Show Figures

Figure 1

16 pages, 13230 KB  
Article
Dual-Channel CNN-Based Framework for Automated Rebar Detection in GPR Data of Concrete Bridge Decks
by Sepehr Pashoutani, Mohammadsajjad Roudsari and Jinying Zhu
Constr. Mater. 2025, 5(2), 36; https://doi.org/10.3390/constrmater5020036 - 29 May 2025
Cited by 1 | Viewed by 942
Abstract
Ground Penetrating Radar (GPR) is widely used for assessing the deterioration of concrete bridge decks. GPR surveys generate large amounts of data in the form of B-scan images, which display rebar traces as hyperbolas. Accurate analysis of the GPR scans relies on the [...] Read more.
Ground Penetrating Radar (GPR) is widely used for assessing the deterioration of concrete bridge decks. GPR surveys generate large amounts of data in the form of B-scan images, which display rebar traces as hyperbolas. Accurate analysis of the GPR scans relies on the effective extraction of rebar locations and amplitudes. This paper presents two automated rebar detection algorithms based on Convolutional Neural Network (CNN) machine learning techniques. Two models are proposed: CNN-1 and CNN-2. CNN-1 was trained on raw GPR images to identify hyperbolas, while CNN-2 model used both raw and migrated GPR images for enhanced analysis. The models were evaluated using GPR data collected from three bridges with different overlay types. Performance was assessed through the visual comparison of the generated bridge amplitude maps against ground-truth data, as well as precision, recall, and F1-score metrics. The results demonstrate that CNN-2 outperforms CNN-1 in terms of accuracy and efficiency for rebar detection. Full article
Show Figures

Figure 1

19 pages, 3825 KB  
Article
A Semi-Supervised Attention-Temporal Ensembling Method for Ground Penetrating Radar Target Recognition
by Li Liu, Dajiang Yu, Xiping Zhang, Hang Xu, Jingxia Li, Lijun Zhou and Bingjie Wang
Sensors 2025, 25(10), 3138; https://doi.org/10.3390/s25103138 - 15 May 2025
Viewed by 757
Abstract
Ground penetrating radar (GPR) is an effective and efficient nondestructive testing technology for subsurface investigations. Deep learning-based methods have been successfully used in automatic underground target recognition. However, these methods are mostly based on supervised learning, requiring large amounts of labeled training data [...] Read more.
Ground penetrating radar (GPR) is an effective and efficient nondestructive testing technology for subsurface investigations. Deep learning-based methods have been successfully used in automatic underground target recognition. However, these methods are mostly based on supervised learning, requiring large amounts of labeled training data to guarantee high accuracy and generalization ability, which is a challenge in GPR fields due to time-consuming and labor-intensive data annotation work. To alleviate the demand for abundant labeled data, a semi-supervised deep learning method named attention–temporal ensembling (Attention-TE) is proposed for underground target recognition using GPR B-scan images. This method integrates a semi-supervised temporal ensembling architecture with a triplet attention module to enhance the classification performance. Experimental results of laboratory and field data demonstrate that the proposed method can automatically recognize underground targets with an average accuracy of above 90% using less than 30% of labeled data in the training dataset. Ablation experimental results verify the efficiency of the triplet attention module. Moreover, comparative experimental results validate that the proposed Attention-TE algorithm outperforms the supervised method based on transfer learning and four semi-supervised state-of-the-art methods. Full article
Show Figures

Figure 1

18 pages, 5335 KB  
Article
Surface Reflection Suppression Method for Air-Coupled SFCW GPR Systems
by Primož Smogavec and Dušan Gleich
Remote Sens. 2025, 17(10), 1668; https://doi.org/10.3390/rs17101668 - 9 May 2025
Cited by 1 | Viewed by 1025
Abstract
Air-coupled ground penetrating radar (GPR) systems are widely used for subsurface imaging in demining, geological surveys, and infrastructure assessment applications. However, strong surface reflections can introduce interference, leading to receiver saturation and reducing the clarity of subsurface features. This paper presents a novel [...] Read more.
Air-coupled ground penetrating radar (GPR) systems are widely used for subsurface imaging in demining, geological surveys, and infrastructure assessment applications. However, strong surface reflections can introduce interference, leading to receiver saturation and reducing the clarity of subsurface features. This paper presents a novel surface reflection suppression algorithm for stepped-frequency continuous wave (SFCW) GPR systems. The proposed method estimates the surface reflection component and applies phase-compensated subtraction at the receiver site, effectively suppressing background reflections. A modular SFCW radar system was developed and tested in a laboratory setup simulating a low-altitude airborne deployment to validate the proposed approach. B-scan and time-domain analyses demonstrate significant suppression of surface reflections, improving the visibility of subsurface targets. Unlike previous static echo cancellation methods, the proposed method performs on-board pre-downconversion removal of surface clutter that compensates for varying ground distance, which is a unique contribution of this work. Full article
Show Figures

Figure 1

21 pages, 58942 KB  
Article
GPR-TSBiNet: An Information Gradient Enrichment Model for GPR B-Scan Small Target Detection
by Chongqin Wang, Yi Guan, Minghe Chi, Feng Shen, Zhilong Yu, Qingguo Chen and Chao Chen
Sensors 2025, 25(7), 2223; https://doi.org/10.3390/s25072223 - 1 Apr 2025
Cited by 1 | Viewed by 705
Abstract
Accurate detection of underground grounding lines remains a significant technical challenge due to their deep burial and small cross-sectional dimensions, which cause signal scattering in heterogeneous soil media. This results in blurred features in GPR B-scan images, impeding reliable target identification. To address [...] Read more.
Accurate detection of underground grounding lines remains a significant technical challenge due to their deep burial and small cross-sectional dimensions, which cause signal scattering in heterogeneous soil media. This results in blurred features in GPR B-scan images, impeding reliable target identification. To address this limitation, we propose GPR-TSBiNet, an architecture incorporating two key model innovations. We introduce GPR-Transformer (GPR-Trans), a multi-branch backbone network specifically designed for GPR B-scan processing. In the neck stage, we develop the Spatial-Depth Converted Bidirectional Feature Pyramid Network (SC-BiFPN), which integrates SPD-ADown to mitigate feature loss caused by traditional pooling-based downsampling. We employ Shape-IoU as the loss function to enhance boundary detail preservation for small targets. Comparative experiments demonstrate that GPR-TSBiNet outperforms state-of-the-art (SOTA) models YOLOv11 and YOLOv10 in detection accuracy, achieving an AP0.5 improvement of 11.6% over YOLOv11X and 27.4% over YOLOv10X. Notably, the model improves small-target APsmall to 49.4 ± 0.7%, representing a 13.4% increase over the SOTA YOLOv11 model. Finally, real-world GPR validation experiments are conducted, confirming that GPR-TSBiNet provides a reliable solution for underground grounding line detection in GPR-based target recognition. Full article
(This article belongs to the Section Sensing and Imaging)
Show Figures

Figure 1

19 pages, 34572 KB  
Article
Suppression of Multiple Reflection Interference Signals in GPR Images Caused by Rebar Using VAE-GAN
by Chuan Li, Qibing Ma, Yawei Wang, Xi Yang, Hao Liu and Lulu Wang
Appl. Sci. 2025, 15(7), 3728; https://doi.org/10.3390/app15073728 - 28 Mar 2025
Cited by 2 | Viewed by 930
Abstract
Due to the rebars layer’s shielding effect on Ground Penetrating Radar (GPR) waves, the hyperbolic clutter generated by the rebars interferes with the echoes from void beneath them. The overlapping waveforms of both signals result in attenuation and distortion of the void signals, [...] Read more.
Due to the rebars layer’s shielding effect on Ground Penetrating Radar (GPR) waves, the hyperbolic clutter generated by the rebars interferes with the echoes from void beneath them. The overlapping waveforms of both signals result in attenuation and distortion of the void signals, making it difficult to identify void defects under the rebar. This study proposes an unsupervised generative network model based on Variational Autoencoders (VAEs) and Generative Adversarial Networks (GANs). Through a shared latent space, mapping is achieved between two image domains, effectively eliminating the multiple reflection interference signals caused by the rebar while accurately reconstructing the void defects, generating GPR B-Scan images without rebar clutter. Additionally, the channel and spatial attention module (CSA) is implemented into the model to help the network to better focus on the essential information in GPR images. The proposed model was validated through ablation and comparative experiments using synthetic data. Finally, real GPR data from the Husa Tunnel were used to verify the model’s effectiveness in practical engineering applications. The results showed that this model is highly effective; it improves the visibility of void defects signals, thereby enhancing the interpretability of GPR data for tunnel lining inspections. Full article
Show Figures

Figure 1

19 pages, 6019 KB  
Article
Study on GPR Image Restoration for Urban Complex Road Surfaces Using an Improved CycleGAN
by Xinxin Huang, Jialin Liu, Feng Yang, Xu Qiao, Liang Gao, Tingyang Fu and Jianshe Zhao
Remote Sens. 2025, 17(5), 823; https://doi.org/10.3390/rs17050823 - 26 Feb 2025
Cited by 2 | Viewed by 1100
Abstract
In urban road detection using Ground Penetrating Radar (GPR), challenges arise from complex and variable road structures and diversified detection environments. These unstable factors decrease GPR detection signal strength and cause signal shape distortion, negatively affecting detection accuracy. This reduces the interpretive accuracy [...] Read more.
In urban road detection using Ground Penetrating Radar (GPR), challenges arise from complex and variable road structures and diversified detection environments. These unstable factors decrease GPR detection signal strength and cause signal shape distortion, negatively affecting detection accuracy. This reduces the interpretive accuracy of GPR images, impacting precise diagnosis of underground structures and hidden defects in urban roads. Therefore, understanding and overcoming these challenges is practically important for improving GPR performance and interpretive efficiency in urban road detection. To address these issues, this study proposes an innovative strategy using unsupervised learning for GPR image restoration. Specifically, it utilizes the Cycle-Consistent Adversarial Network (CycleGAN) with the Convolutional Block Attention Module (CBAM) generator and integrates the Multi-Scale Structural Similarity Index (MS-SSIM) loss function to enhance restoration quality. The method is trained and validated using field experimentally collected datasets with and without road surface interference, and the performance is evaluated through qualitative and quantitative analysis of restored GPR B-scan images. The experimental results show that the proposed method improves image restoration by 4.9% in SSIM, 39.15% in PSNR, and 76.88% in MAE, confirming its significant effect in GPR image restoration. Full article
Show Figures

Graphical abstract

18 pages, 6204 KB  
Article
Two-Stage GPR Image Inversion Method Based on Multi-Scale Dilated Convolution and Hybrid Attention Gate
by Mingze Wu, Qinghua Liu and Shan Ouyang
Remote Sens. 2025, 17(2), 322; https://doi.org/10.3390/rs17020322 - 17 Jan 2025
Cited by 2 | Viewed by 1264
Abstract
Ground penetrating radar (GPR) image inversion is of great significance for interpreting GPR data. In practical applications, the complexity and nonuniformity of underground structures bring noise and clutter interference, making GPR inversion problems more challenging. To address these issues, this study proposes a [...] Read more.
Ground penetrating radar (GPR) image inversion is of great significance for interpreting GPR data. In practical applications, the complexity and nonuniformity of underground structures bring noise and clutter interference, making GPR inversion problems more challenging. To address these issues, this study proposes a two-stage GPR image inversion network called MHInvNet based on multi-scale dilated convolution (MSDC) and hybrid attention gate (HAG). This method first denoises the B-scan through the first network MHInvNet1, then combines the denoised B-scan from MHInvNet1 with the undenoised B-scan as input to the second network MHInvNet2 for inversion to reconstruct the distribution of the permittivity of underground targets. To further enhance network performance, the MSDC and HAG modules are simultaneously introduced to both networks. Experimental results from simulated and actual measurement data show that MHInvNet can accurately invert the position, shape, size, and permittivity of underground targets. A comparison with existing methods demonstrates the superior inversion performance of MHInvNet. Full article
(This article belongs to the Special Issue Advanced Ground-Penetrating Radar (GPR) Technologies and Applications)
Show Figures

Figure 1

19 pages, 14792 KB  
Article
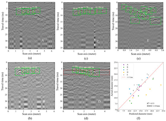
Integrated Extraction of Root Diameter and Location in Ground-Penetrating Radar Images via CycleGAN-Guided Multi-Task Neural Network
by Xihong Cui, Shupeng Li, Luyun Zhang, Longkang Peng, Li Guo, Xin Cao, Xuehong Chen, Huaxiang Yin and Miaogen Shen
Forests 2025, 16(1), 110; https://doi.org/10.3390/f16010110 - 9 Jan 2025
Cited by 2 | Viewed by 890
Abstract
The diameter of roots is pivotal for studying subsurface root structure geometry. Yet, directly obtaining these parameters is challenging due their hidden nature. Ground-penetrating radar (GPR) offers a reproducible, nondestructive method for root detection, but estimating diameter from B-Scan images remains challenging. To [...] Read more.
The diameter of roots is pivotal for studying subsurface root structure geometry. Yet, directly obtaining these parameters is challenging due their hidden nature. Ground-penetrating radar (GPR) offers a reproducible, nondestructive method for root detection, but estimating diameter from B-Scan images remains challenging. To address this, we developed the CycleGAN-guided multi-task neural network (CMT-Net). It comprises two subnetworks, YOLOv4-Hyperbolic Position and Diameter (YOLOv4-HPD) and CycleGAN. The YOLOv4-HPD is obtained by adding a regression header for predicting root diameter to YOLOv4-Hyperbola, which achieves the ability to simultaneously accurately locate root objects and estimate root diameter. The CycleGAN is used to solve the problem of the lack of a real root diameter training dataset for the YOLOv4-HPD model by migrating field-measured data domains to simulated data without altering root diameter information. We used simulated and field data to evaluate the model, showing its effectiveness in estimating root diameter. This study marks the first construction of a deep learning model for fully automatic root location and diameter extraction from GPR images, achieving an “Image Input–Parameter Output” end-to-end pattern. The model’s validation across various dataset scales opens the way for estimating other root attributes. Full article
(This article belongs to the Section Forest Inventory, Modeling and Remote Sensing)
Show Figures

Figure 1

22 pages, 4915 KB  
Article
Mutual Interference Suppression and Signal Enhancement Method for Ground-Penetrating Radar Based on Deep Learning
by Wentai Lei, Xin Tan, Chaopeng Luo and Wei Xue
Electronics 2024, 13(23), 4722; https://doi.org/10.3390/electronics13234722 - 29 Nov 2024
Cited by 4 | Viewed by 1712
Abstract
Ground-Penetrating Radar (GPR) is a non-destructive sensing technology that utilizes high electromagnetic frequencies. However, mutual interference waves caused by multiple scattering between targets can significantly complicate the interpretation of GPR B-scan images, especially when shallow targets obscure deeper ones. Existing methods primarily focus [...] Read more.
Ground-Penetrating Radar (GPR) is a non-destructive sensing technology that utilizes high electromagnetic frequencies. However, mutual interference waves caused by multiple scattering between targets can significantly complicate the interpretation of GPR B-scan images, especially when shallow targets obscure deeper ones. Existing methods primarily focus on extracting target signals from background clutter, frequently overlooking the impact of mutual interference. This paper proposes a convolutional neural network, termed MIS-SE-Net (Mutual Interference Suppression and Signal Enhancement Network), designed to suppress mutual interference waves while preserving shallow target signals and enhancing deeper ones. MIS-SE-Net incorporates attention gates into its encoder–decoder architecture, thereby improving its capabilities in interference suppression and enhancement of weak signals. The network is optimized using a combination of Mean Absolute Error (MAE) loss and perceptual loss. To evaluate MIS-SE-Net, the multi-scale weighted back projection (MWBP) imaging algorithm is used. Simulation results show that after processing with MIS-SE-Net, the integrated side-lobe ratio (ISLR) metric of MWBP imaging decreases by an average of 2.37%, while the signal-to-clutter ratio (SCR) increases by an average of 1.65%. For measured data, results show an average decrease of 7.51% in ISLR and an increase of 2.47% in SCR. These findings validate the effectiveness of the proposed method in suppressing interference, enhancing weak signals, and improving imaging quality. Full article
Show Figures

Figure 1

Back to TopTop