Sign in to use this feature.

Years

Between: -

Subjects

remove_circle_outline
remove_circle_outline
remove_circle_outline
remove_circle_outline
remove_circle_outline
remove_circle_outline
remove_circle_outline
remove_circle_outline
remove_circle_outline

Journals

Article Types

Countries / Regions

remove_circle_outline
remove_circle_outline
remove_circle_outline
remove_circle_outline

Search Results (84)

Search Parameters:
Keywords = GPCC

Order results
Result details
Results per page
Select all
Export citation of selected articles as:
26 pages, 3815 KB  
Article
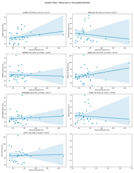
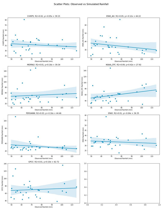
Evaluating the Performance of Multiple Precipitation Datasets over the Transboundary Ili River Basin Between China and Kazakhstan
by Baktybek Duisebek, Gabriel B. Senay, Dennis S. Ojima, Tibin Zhang, Janay Sagin and Xuejia Wang
Sustainability 2025, 17(16), 7418; https://doi.org/10.3390/su17167418 - 16 Aug 2025
Viewed by 740
Abstract
The Ili River Basin is characterized by complex topography and diverse climatic zones with limited in situ observations. This study evaluates the performance of six widely used precipitation datasets, CHIRPS (Climate Hazards Group InfraRed Precipitation with Station data), ERA5_Land (European Centre for Medium-Range [...] Read more.
The Ili River Basin is characterized by complex topography and diverse climatic zones with limited in situ observations. This study evaluates the performance of six widely used precipitation datasets, CHIRPS (Climate Hazards Group InfraRed Precipitation with Station data), ERA5_Land (European Centre for Medium-Range Weather Forecasts—ECMWF Reanalysis 5_Land), GPCC (Global Precipitation Climatology Centre), IMERG (Integrated Multi-satellite Retrievals for GPM), PERSIANN (Precipitation Estimation from Remotely Sensed Information using Artificial Neural Networks), and TerraClimate, against ground-based data from 2001 to 2023. The evaluation is conducted across multiple spatial scales and temporal resolutions. At the basin scale, most datasets exhibit strong correlations with in situ observations across all temporal scales (r > 0.7), except for PERSIANN, which demonstrates a relatively weaker performance during summer and winter (r < 0.6). All datasets except ERA5_ Land show low annual and monthly bias (<5%), although larger errors are observed during summer, particularly for IMERG and PERSIANN. Dataset performance generally declines with increasing elevation. Basin-wide gridded evaluations reveal distinct spatial variations across all elevation zones, with CHIRPS showing the strongest ability to capture orographic precipitation gradients throughout the basin. All datasets correctly identified 2008 as a drought year and 2016 as a wet year, even though the magnitude and spatial resolution of the anomalies varied among them. These findings highlight the importance of selecting precipitation datasets that are suited to the complex topographic and climatic characteristics of transboundary basins. Our study provides valuable insights for improving hydrological modeling and can be used for water sustainability and flood–drought mitigation support activities in the Ili River Basin. Full article
Show Figures

Figure 1

26 pages, 14637 KB  
Article
A Magnetron Plasma Arc Fusion Identification Study Based on GPCC-CNN-SVM Multi-Source Signal Fusion
by Yeming Zou, Dongqian Wang, Yuanyuan Qu, Hao Liu, Aiting Jia and Bo Hong
Sensors 2025, 25(10), 2996; https://doi.org/10.3390/s25102996 - 9 May 2025
Viewed by 670
Abstract
Plasma arc welding (PAW) is commonly employed for welding medium and thick plates due to its capability of single-side welding and double-side forming. Ensuring welding quality necessitates real-time precise identification of the melting state. However, the intricate interaction between the plasma arc and [...] Read more.
Plasma arc welding (PAW) is commonly employed for welding medium and thick plates due to its capability of single-side welding and double-side forming. Ensuring welding quality necessitates real-time precise identification of the melting state. However, the intricate interaction between the plasma arc and the molten pool, along with substantial signal noise, poses a significant technical hurdle for achieving accurate real-time melting state identification. This study introduces a magnetically controlled method for identifying plasma arc melt-through, which integrates arc voltage and arc pool pressure. The application of an alternating transverse magnetic field induces regular oscillations in the melt pool by the plasma arc. The frequency characteristics of the arc voltage and pressure signals during these oscillations exhibit distinct mapping relationships with various fusion states. A hybrid feature extraction model combining gray correlation analysis (GRA) and the Pearson correlation coefficient (PCC) is devised to disentangle the nonlinear, non-smooth, and high-dimensional repetitive features of the signals. This model extracts features highly correlated with the fusion state to construct a feature vector. Subsequently, this vector serves as input for the fusion classification model, CNN-SVM, facilitating fusion state identification. The experimental results of melt-through under various welding speeds demonstrate the robustness of the proposed method for identifying melt-through through magnetic field-assisted melt pool oscillation, achieving an accuracy of 96%. This method holds promise for integration into the closed-loop quality control system of plasma arc welding, enabling real-time monitoring and control of melt pool quality. Full article
(This article belongs to the Section Physical Sensors)
Show Figures

Figure 1

38 pages, 2567 KB  
Article
Improving Daily CMIP6 Precipitation in Southern Africa Through Bias Correction—Part 1: Spatiotemporal Characteristics
by Amarech Alebie Addisuu, Gizaw Mengistu Tsidu and Lenyeletse Vincent Basupi
Climate 2025, 13(5), 95; https://doi.org/10.3390/cli13050095 - 4 May 2025
Cited by 1 | Viewed by 2922
Abstract
Impact models used in water, ecology, and agriculture require accurate climatic data to simulate observed impacts. Some of these models emphasize the distribution of precipitation within a month or season rather than the overall amount. To meet this requirement, a study applied three [...] Read more.
Impact models used in water, ecology, and agriculture require accurate climatic data to simulate observed impacts. Some of these models emphasize the distribution of precipitation within a month or season rather than the overall amount. To meet this requirement, a study applied three bias correction techniques—scaled distribution mapping (SDM), quantile distribution mapping (QDM), and QDM with a separate treatment for precipitation below and above the 95th percentile threshold (QDM95)—to daily precipitation data from eleven Coupled Model Intercomparison Project Phase 6 (CMIP6) models, using the Climate Hazards Group Infrared Precipitation with Station version 2 (CHIRPS) as a reference. This study evaluated the performance of all bias-corrected CMIP6 models over Southern Africa from 1982 to 2014 in replicating the spatial and temporal patterns of precipitation across the region against three observational datasets, CHIRPS, the Climatic Research Unit (CRU), and the Global Precipitation Climatology Centre (GPCC), using standard statistical metrics. The results indicate that all bias-corrected precipitation generally performs better than native model precipitation in replicating the observed December–February (DJF) mean and seasonal cycle. The probability density function (PDF) of the bias-corrected regional precipitation indicates that bias correction enhances model performance, particularly for precipitation in the range of 3–35 mm/day. However, both corrected and uncorrected models underestimate higher extremes. The pattern correlations of the bias-corrected precipitation with CHIRPS, the GPCC, and the CRU, as compared to the correlations of native precipitation with the three datasets, have improved from 0.76–0.89 to 0.97–0.99, 0.73–0.87 to 0.94–0.97, and 0.74–0.89 to 0.97–0.99, respectively. Additionally, the Taylor skill scores of the models for replicating the CHIRPS, GPCC, and CRU precipitation spatial patterns over Southern Africa have improved from 0.57–0.80 to 0.79–0.95, 0.55–0.76 to 0.80–0.91, and 0.54–0.75 to 0.81–0.91, respectively. Overall, among the three bias correction techniques, QDM consistently demonstrated better performance than both QDM95 and SDM across various metrics. The implementation of distribution-based bias correction resulted in a significant reduction in bias and improved the spatial consistency between models and observations over the region. Full article
Show Figures

Figure 1

30 pages, 2710 KB  
Article
Improving Daily CMIP6 Precipitation in Southern Africa Through Bias Correction— Part 2: Representation of Extreme Precipitation
by Amarech Alebie Addisuu, Gizaw Mengistu Tsidu and Lenyeletse Vincent Basupi
Climate 2025, 13(5), 93; https://doi.org/10.3390/cli13050093 - 2 May 2025
Cited by 2 | Viewed by 2182
Abstract
Accurate simulation of extreme precipitation events is crucial for managing climate-vulnerable sectors in Southern Africa, as such events directly impact agriculture, water resources, and disaster preparedness. However, global climate models frequently struggle to capture these phenomena, which limits their practical applicability. This study [...] Read more.
Accurate simulation of extreme precipitation events is crucial for managing climate-vulnerable sectors in Southern Africa, as such events directly impact agriculture, water resources, and disaster preparedness. However, global climate models frequently struggle to capture these phenomena, which limits their practical applicability. This study investigates the effectiveness of three bias correction techniques—scaled distribution mapping (SDM), quantile distribution mapping (QDM), and QDM with a focus on precipitation above and below the 95th percentile (QDM95)—and the daily precipitation outputs from 11 Coupled Model Intercomparison Project Phase 6 (CMIP6) models. The Climate Hazards Group Infrared Precipitation with Stations (CHIRPS) dataset was served as a reference. The bias-corrected and native models were evaluated against three observational datasets—the CHIRPS, Multi-Source Weighted Ensemble Precipitation (MSWEP), and Global Precipitation Climatology Center (GPCC) datasets—for the period of 1982–2014, focusing on the December-January-February season. The ability of the models to generate eight extreme precipitation indices developed by the Expert Team on Climate Change Detection and Indices (ETCCDI) was evaluated. The results show that the native and bias-corrected models captured similar spatial patterns of extreme precipitation, but there were significant changes in the amount of extreme precipitation episodes. While bias correction generally improved the spatial representation of extreme precipitation, its effectiveness varied depending on the reference dataset used, particularly for the maximum one-day precipitation (Rx1day), consecutive wet days (CWD), consecutive dry days (CDD), extremely wet days (R95p), and simple daily intensity index (SDII). In contrast, the total rain days (RR1), heavy precipitation days (R10mm), and extremely heavy precipitation days (R20mm) showed consistent improvement across all observations. All three bias correction techniques enhanced the accuracy of the models across all extreme indices, as demonstrated by higher pattern correlation coefficients, improved Taylor skill scores (TSSs), reduced root mean square errors, and fewer biases. The ranking of models using the comprehensive rating index (CRI) indicates that no single model consistently outperformed the others across all bias-corrected techniques relative to the CHIRPS, GPCC, and MSWEP datasets. Among the three bias correction methods, SDM and QDM95 outperformed QDM for a variety of criteria. Among the bias-corrected strategies, the best-performing models were EC-Earth3-Veg, EC-Earth3, MRI-ESM2, and the multi-model ensemble (MME). These findings demonstrate the efficiency of bias correction in improving the modeling of precipitation extremes in Southern Africa, ultimately boosting climate impact assessments. Full article
Show Figures

Figure 1

18 pages, 13263 KB  
Article
Efficient Large-Scale Point Cloud Geometry Compression
by Shiyu Lu, Cheng Han and Huamin Yang
Sensors 2025, 25(5), 1325; https://doi.org/10.3390/s25051325 - 21 Feb 2025
Cited by 1 | Viewed by 1646
Abstract
Due to the significant bandwidth and memory requirements for transmitting and storing large-scale point clouds, considerable progress has been made in recent years in the field of large-scale point cloud geometry compression. However, challenges remain, including suboptimal compression performance and complex encoding–decoding processes. [...] Read more.
Due to the significant bandwidth and memory requirements for transmitting and storing large-scale point clouds, considerable progress has been made in recent years in the field of large-scale point cloud geometry compression. However, challenges remain, including suboptimal compression performance and complex encoding–decoding processes. To address these issues, we propose an efficient large-scale scene point cloud geometry compression algorithm. By analyzing the sparsity of large-scale point clouds and the impact of scale on feature extraction, we design a cross-attention module in the encoder to enhance the extracted features by incorporating positional information. During decoding, we introduce an efficient generation module that improves decoding quality without increasing decoding time. Experiments on three public datasets demonstrate that, compared to the state-of-the-art G-PCC v23, our method achieves an average bitrate reduction of −46.64%, the fastest decoding time, and a minimal network model size of 2.8 M. Full article
Show Figures

Figure 1

25 pages, 1957 KB  
Article
Symptoms, Symptom Profiles, and Healthcare Utilization in Patients with Hematologic Malignancies: A Retrospective Observational Cohort Study and Latent Class Analysis
by Reanne Booker, Richard Sawatzky, Aynharan Sinnarajah, Siwei Qi, Claire Link, Linda Watson and Kelli Stajduhar
Curr. Oncol. 2025, 32(2), 62; https://doi.org/10.3390/curroncol32020062 - 25 Jan 2025
Viewed by 1837
Abstract
Symptom burden is known to be high in patients with hematologic malignancies and can adversely impact patients’ quality of life. The aims of this retrospective observational cohort study were to explore symptoms in patients with hematologic malignancies, including during the last year of [...] Read more.
Symptom burden is known to be high in patients with hematologic malignancies and can adversely impact patients’ quality of life. The aims of this retrospective observational cohort study were to explore symptoms in patients with hematologic malignancies, including during the last year of life, to explore symptom profiles in patients with hematologic malignancies, and to explore associations among symptoms/symptom profiles and demographic, clinical, and treatment-related variables. Symptom prevalence and severity and symptom profiles were explored in patients with hematologic malignancies who completed patient-reported outcome measures (n = 6136) between October 2019 and April 2020. Emergency department visits and hospital admissions during the study period were reviewed. Chart audits were undertaken for patients who died within a year of completing patient-reported outcome measures (n = 432) to explore symptoms and healthcare utilization in the last year of life. Patients with hematologic malignancies in this study reported multiple symptoms co-occurring, with more than 50% of patients reporting four or more symptoms. Classes of co-occurring symptoms (symptom profiles) were associated with demographic and clinical factors as well as with healthcare utilization, particularly emergency department visits. The most reported symptoms were tiredness, impaired well-being, and drowsiness. The findings emphasize the need for more supports for patients with hematologic malignancies, particularly for symptom management. Full article
(This article belongs to the Special Issue Palliative Care and Supportive Medicine in Cancer)
Show Figures

Figure 1

31 pages, 21167 KB  
Article
Assessing Polarisation of Climate Phenomena Based on Long-Term Precipitation and Temperature Sequences
by Bernard Twaróg
Sustainability 2024, 16(19), 8311; https://doi.org/10.3390/su16198311 - 24 Sep 2024
Cited by 3 | Viewed by 2346
Abstract
This article presents an analysis of monthly precipitation totals based on data from the Global Precipitation Climatology Centre and monthly mean temperatures from the National Oceanic and Atmospheric Administration for 377 catchments located worldwide. The data sequences, spanning 110 years from 1901 to [...] Read more.
This article presents an analysis of monthly precipitation totals based on data from the Global Precipitation Climatology Centre and monthly mean temperatures from the National Oceanic and Atmospheric Administration for 377 catchments located worldwide. The data sequences, spanning 110 years from 1901 to 2010, are analysed. These long-term precipitation and temperature sequences are used to assess the variability in climate characteristics, referred to here as polarisation. This article discusses the measures of polarisation used in the natural sciences. This study adopts two measures to evaluate the phenomenon of polarisation. The first measure is defined based on a stationary time series, calculated as the ratio of the amplitude of values to the standard deviation. The second measure is proposed as the difference in trends of these values. Based on the analysis of monthly precipitation data in the studied catchments, polarisation components are confirmed in 25% of the cases, while in the remaining 75%, they are not. For temperature data, polarisation is confirmed in 12.2% of the cases and not in the remaining 88.8%. The trend analysis employs Mann–Kendall tests at a 5% significance level. The Pettitt test is used to determine the point of trend change for precipitation and temperature data. This article underscores the complex relationship between climate polarisation and sustainable development, reaffirming that sustainable development cannot be pursued in isolation from the challenges posed by climate change. It emphasises the importance of integrating environmental, social, and economic strategies to adapt to extreme climatic events and mitigate their effects. This research is supported by detailed graphical analyses, with the results presented in tabular form. Full article
Show Figures

Figure 1

23 pages, 5405 KB  
Article
Iterative Removal of G-PCC Attribute Compression Artifacts Based on a Graph Neural Network
by Zhouyan He, Wenming Yang, Lijun Li and Rui Bai
Electronics 2024, 13(18), 3768; https://doi.org/10.3390/electronics13183768 - 22 Sep 2024
Viewed by 1519
Abstract
As a compression standard, Geometry-based Point Cloud Compression (G-PCC) can effectively reduce data by compressing both geometric and attribute information. Even so, due to coding errors and data loss, point clouds (PCs) still face distortion challenges, such as the encoding of attribute information [...] Read more.
As a compression standard, Geometry-based Point Cloud Compression (G-PCC) can effectively reduce data by compressing both geometric and attribute information. Even so, due to coding errors and data loss, point clouds (PCs) still face distortion challenges, such as the encoding of attribute information may lead to spatial detail loss and visible artifacts, which negatively impact visual quality. To address these challenges, this paper proposes an iterative removal method for attribute compression artifacts based on a graph neural network. First, the geometric coordinates of the PCs are used to construct a graph that accurately reflects the spatial structure, with the PC attributes treated as signals on the graph’s vertices. Adaptive graph convolution is then employed to dynamically focus on the areas most affected by compression, while a bi-branch attention block is used to restore high-frequency details. To maintain overall visual quality, a spatial consistency mechanism is applied to the recovered PCs. Additionally, an iterative strategy is introduced to correct systematic distortions, such as additive bias, introduced during compression. The experimental results demonstrate that the proposed method produces finer and more realistic visual details, compared to state-of-the-art techniques for PC attribute compression artifact removal. Furthermore, the proposed method significantly reduces the network runtime, enhancing processing efficiency. Full article
Show Figures

Figure 1

26 pages, 21173 KB  
Article
Application of Shannon Entropy in Assessing Changes in Precipitation Conditions and Temperature Based on Long-Term Sequences Using the Bootstrap Method
by Bernard Twaróg
Atmosphere 2024, 15(8), 898; https://doi.org/10.3390/atmos15080898 - 27 Jul 2024
Cited by 5 | Viewed by 2912
Abstract
This study delves into the application of Shannon entropy to analyze the long-term variability in climate data, specifically focusing on precipitation and temperature. By employing data from 1901 to 2010 across 377 catchments worldwide, we investigated the dynamics of climate variables using the [...] Read more.
This study delves into the application of Shannon entropy to analyze the long-term variability in climate data, specifically focusing on precipitation and temperature. By employing data from 1901 to 2010 across 377 catchments worldwide, we investigated the dynamics of climate variables using the generalized extreme value (GEV) distribution and Shannon entropy measures. The methodology hinged on the robust bootstrap technique to accommodate the inherent uncertainties in climatic data, enhancing the reliability of our entropy estimates. Our analysis revealed significant trends in entropy values, suggesting variations in the unpredictability and complexity of climate behavior over the past century. These trends were critically assessed using non-parametric tests to discern the underlying patterns and potential shifts in climate extremes. The results underscore the profound implications of entropy trends in understanding climate variability and aiding the prediction of future climatic conditions. This research not only confirms the utility of Shannon entropy in climatological studies but also highlights its potential in enhancing our understanding of complex and chaotic climate systems. The study’s findings are vital for developing adaptive strategies in response to the evolving nature of climate extremes, thus contributing to more informed decision-making in environmental management and policy formulation. Full article
(This article belongs to the Special Issue The Hydrologic Cycle in a Changing Climate)
Show Figures

Figure 1

27 pages, 13234 KB  
Article
How Do CMIP6 HighResMIP Models Perform in Simulating Precipitation Extremes over East Africa?
by Hassen Babaousmail, Brian Odhiambo Ayugi, Kenny Thiam Choy Lim Kam Sian, Herijaona Hani-Roge Hundilida Randriatsara and Richard Mumo
Hydrology 2024, 11(7), 106; https://doi.org/10.3390/hydrology11070106 - 20 Jul 2024
Cited by 3 | Viewed by 2031
Abstract
This work assesses the ability of nine Coupled Model Intercomparison Project phase 6 (CMIP6) High-Resolution Model Intercomparison Project (HighResMIP) models and their ensemble mean to reproduce precipitation extremes over East Africa for the period 1995–2014. The model datasets are assessed against two observation [...] Read more.
This work assesses the ability of nine Coupled Model Intercomparison Project phase 6 (CMIP6) High-Resolution Model Intercomparison Project (HighResMIP) models and their ensemble mean to reproduce precipitation extremes over East Africa for the period 1995–2014. The model datasets are assessed against two observation datasets: CHIRPS and GPCC. The precipitation indices considered are CDD, CWD, R1mm, R10mm, R20mm, SDII, R95p, PRCPTOT, and Rx1day. The overall results show that HighResMIP models reproduce annual variability fairly well; however, certain consistent biases are found across HighResMIP models, which tend to overestimate CWD and R1mm and underestimate CDD and SDII. The HighResMIP models are ranked using the Taylor diagram and Taylor Skill Score. The results show that the models reasonably simulate indices, such as PRCPTOT, R1mm, R10mm, R95p, and CDD; however, the simulation of SDII CWD, SDII, and R20mm is generally poor. They are CMCC-CM2-VHR4, HadGEM31-MM, HadGEM3-GC31-HM, and GFDL-CM4. Conversely, MPI-ESM1-2-XR and MPI-ESM1-2-HR show remarkable performance in simulating the OND season while underestimating the MAM season. A comparative analysis demonstrates that the MME has better accuracy than the individual models in the simulation of the various indices. The findings of the present study are important to establish the ability of HighResMIP data to reproduce extreme precipitation events over East Africa and, thus, help in decision making. However, caution should be exercised in the interpretation of the findings based on individual CMIP6 models over East Africa given the overall weakness observed in reproducing mean precipitation. Full article
Show Figures

Figure 1

44 pages, 17133 KB  
Article
Trend and Variability Analysis of Annual Maximum Rainfall Using Observed and Remotely Sensed Data in the Tropical Climate Zones of Uganda
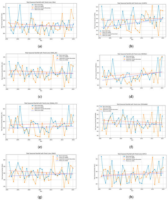
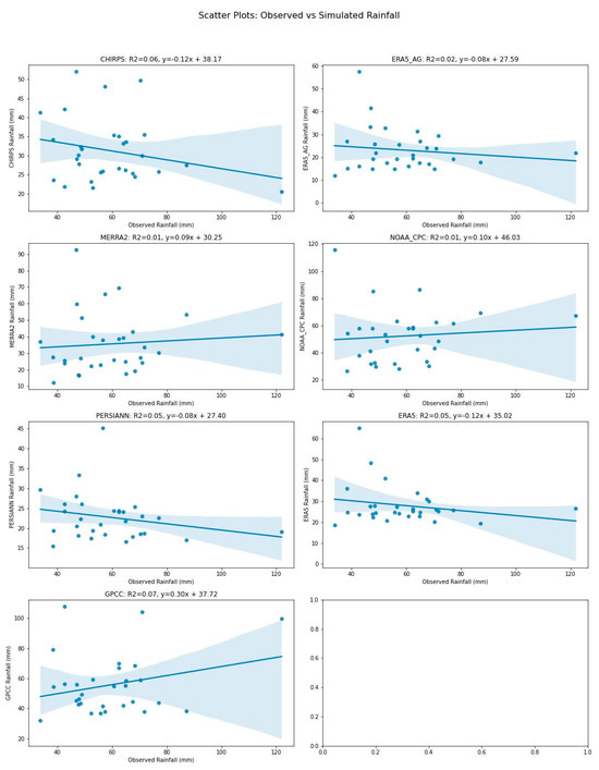
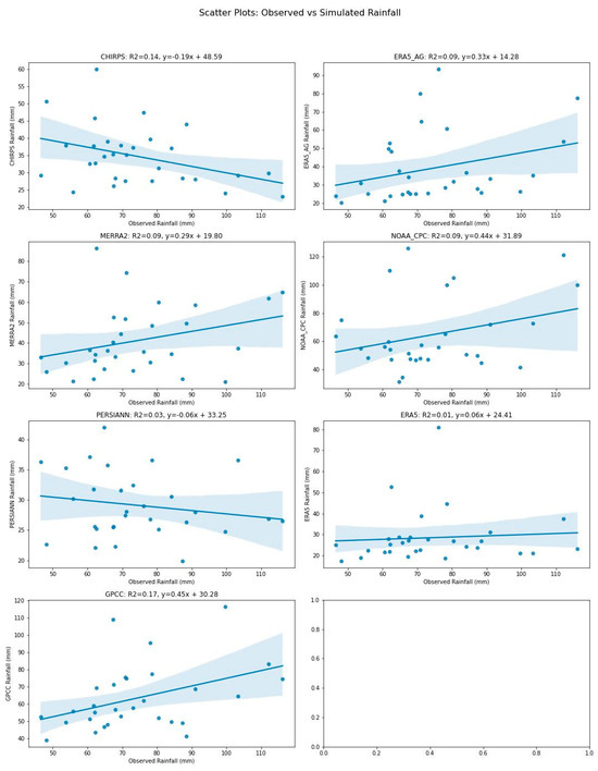
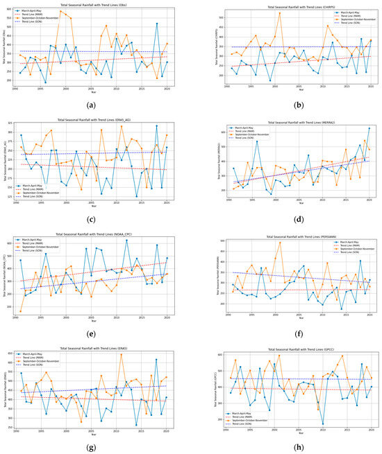
by Martin Okirya and JA Du Plessis
Sustainability 2024, 16(14), 6081; https://doi.org/10.3390/su16146081 - 16 Jul 2024
Cited by 4 | Viewed by 2964
Abstract
Understanding rainfall variability and trends is crucial for effective water resource management and disaster preparedness, particularly in tropical regions like Uganda. This study analyzes the trends and variability of the Annual Maximum Series (AMS) and seasonal rainfall data across four rainfall stations in [...] Read more.
Understanding rainfall variability and trends is crucial for effective water resource management and disaster preparedness, particularly in tropical regions like Uganda. This study analyzes the trends and variability of the Annual Maximum Series (AMS) and seasonal rainfall data across four rainfall stations in Uganda, comparing observed data with various Remotely Sensed Rainfall (RSR) products. The key methods used in this study include the Mann–Kendall test and Sen’s slope estimator for trend analysis, AMS rainfall variability analysis using statistical performance metrics such as the Nash–Sutcliffe Coefficient of Efficiency (NSE) and Percent Bias (PBIAS), and data distribution comparisons based on goodness-of-fit evaluation using the Kolmogorov–Smirnov (KS) test. The results indicate that most trends in the seasonal rainfall and AMS data are statistically insignificant. However, the September to November (SON) observed rainfall at the Gulu station shows a statistically significant increasing trend of 7.68 mm/year (p-value = 0.03). Based on the PBIAS metric, GPCC and NOAA_CPC products outperform other RSR data products. At the Jinja station, NOAA_CPC has a PBIAS value of −12.93% and GPCC, −14.64%; at Soroti, GPCC has −9.66% and NOAA_CPC, −14.79%; at Mbarara, GPCC has −5.93% and NOAA_CPC, −11.63%; and at Gulu, GPCC has −3.05% and NOAA_CPC, −19.23%. The KS test results show significant differences in the distribution of RSR data and observed rainfall data, though GPCC shows significant agreement at the Gulu (p-value = 0.60) and Mbarara (p-value = 0.14) stations. Additionally, NOAA_CPC outperforms other RSR data products at the Mbarara station, with a KS p-value of 0.24. This study highlights the limitations of current RSR datasets in replicating observed AMS rainfall data. Based on KS test results, GPCC is identified as a better product for hydrological applications at the Gulu, Jinja, and Soroti station areas compared to other RSR products. For the Mbarara station, NOAA_CPC outperforms other RSR products. Full article
Show Figures

Figure 1

32 pages, 95282 KB  
Article
Inter-Comparison of Multiple Gridded Precipitation Datasets over Different Climates at Global Scale
by Wenyan Qi, Shuhong Wang and Jianlong Chen
Water 2024, 16(11), 1553; https://doi.org/10.3390/w16111553 - 28 May 2024
Cited by 3 | Viewed by 2527
Abstract
Comprehensive evaluations of global precipitation datasets are imperative for gaining insights into their performance and potential applications. However, the existing evaluations of global precipitation datasets are often constrained by limitations regarding the datasets, specific regions, and hydrological models used for hydrologic predictions. The [...] Read more.
Comprehensive evaluations of global precipitation datasets are imperative for gaining insights into their performance and potential applications. However, the existing evaluations of global precipitation datasets are often constrained by limitations regarding the datasets, specific regions, and hydrological models used for hydrologic predictions. The accuracy and hydrological utility of eight precipitation datasets (including two gauged-based, five reanalysis and one merged precipitation datasets) were evaluated on a daily timescale from 1982 to 2015 in this study by using 2404 rain gauges, 2508 catchments, and four lumped hydrological models under varying climatic conditions worldwide. Specifically, the characteristics of different datasets were first analyzed. The accuracy of precipitation datasets at the site and regional scale was then evaluated with daily observations from 2404 gauges and two high-resolution gridded gauge-interpolated regional datasets. The effectiveness of precipitation datasets in runoff simulation was then assessed by using 2058 catchments around the world in combination with four conceptual hydrological models. The results show that: (1) all precipitation datasets demonstrate proficiency in capturing the interannual variability of the annual mean precipitation, but with magnitudes deviating by up to 200 mm/year among the datasets; (2) the precipitation datasets directly incorporating daily gauge observations outperform the uncorrected precipitation datasets. The Climate Precipitation Center dataset (CPC), Global Precipitation Climatology Center dataset (GPCC) and multi-source weighted-ensemble precipitation V2 (MSWEP V2) can be considered the best option for most climate regions regarding the accuracy of precipitation datasets; (3) the performance of hydrological models driven by different datasets is climate dependent and is notably worse in arid regions (with median Kling–Gupta efficiency (KGE) ranging from 0.39 to 0.65) than in other regions. The MSWEP V2 posted a stable performance with the highest KGE and Nash–Sutcliffe Efficiency (NSE) values in most climate regions using various hydrological models. Full article
Show Figures

Figure 1

20 pages, 1423 KB  
Article
Texture-Guided Graph Transform Optimization for Point Cloud Attribute Compression
by Yiting Shao, Fei Song, Wei Gao, Shan Liu and Ge Li
Appl. Sci. 2024, 14(10), 4094; https://doi.org/10.3390/app14104094 - 11 May 2024
Cited by 2 | Viewed by 1903
Abstract
There is a pressing need across various applications for efficiently compressing point clouds. While the Moving Picture Experts Group introduced the geometry-based point cloud compression (G-PCC) standard, its attribute compression scheme falls short of eliminating signal frequency-domain redundancy. This paper proposes a texture-guided [...] Read more.
There is a pressing need across various applications for efficiently compressing point clouds. While the Moving Picture Experts Group introduced the geometry-based point cloud compression (G-PCC) standard, its attribute compression scheme falls short of eliminating signal frequency-domain redundancy. This paper proposes a texture-guided graph transform optimization scheme for point cloud attribute compression. We formulate the attribute transform coding task as a graph optimization problem, considering both the decorrelation capability of the graph transform and the sparsity of the optimized graph within a tailored joint optimization framework. First, the point cloud is reorganized and segmented into local clusters using a Hilbert-based scheme, enhancing spatial correlation preservation. Second, the inter-cluster attribute prediction and intra-cluster prediction are conducted on local clusters to remove spatial redundancy and extract texture priors. Third, the underlying graph structure in each cluster is constructed in a joint rate–distortion–sparsity optimization process, guided by geometry structure and texture priors to achieve optimal coding performance. Finally, point cloud attributes are efficiently compressed with the optimized graph transform. Experimental results show the proposed scheme outperforms the state of the art with significant BD-BR gains, surpassing G-PCC by 31.02%, 30.71%, and 32.14% in BD-BR gains for Y, U, and V components, respectively. Subjective evaluation of the attribute reconstruction quality further validates the superiority of our scheme. Full article
Show Figures

Figure 1

21 pages, 11408 KB  
Article
Intercomparisons of Three Gauge-Based Precipitation Datasets over South America during the 1901–2015 Period
by Mary T. Kayano, Wilmar L. Cerón, Rita V. Andreoli, Rodrigo A. F. Souza, Marília H. Shimizu, Leonardo C. M. Jimenez and Itamara P. Souza
Meteorology 2024, 3(2), 191-211; https://doi.org/10.3390/meteorology3020009 - 28 Apr 2024
Viewed by 1459
Abstract
Gridded precipitation (PRP) data have been largely used in diagnostic studies on the climate variability in several time scales, as well as to validate model results. The three most used gauge-based PRP datasets are from the Global Precipitation Climatology Centre (GPCC), University of [...] Read more.
Gridded precipitation (PRP) data have been largely used in diagnostic studies on the climate variability in several time scales, as well as to validate model results. The three most used gauge-based PRP datasets are from the Global Precipitation Climatology Centre (GPCC), University of Delaware (UDEL), and Climate Research Unit (CRU). This paper evaluates the performance of these datasets in reproducing spatiotemporal PRP climatological features over the entire South America (SA) for the 1901–2015 period, aiming to identify the differences and similarities among the datasets as well as time intervals and areas with potential uncertainties involved with these datasets. Comparisons of the PRP annual means and variances between the 1901–2015 period and the non-overlapping 30-year subperiods of 1901–1930, 1931–1960, 1961–1990, and the 25-year subperiod of 1991–2015 for each dataset show varying means of the annual PRP over SA depending on the subperiod and dataset. Consistent patterns among datasets are found in most of southeastern SA and southeastern Brazil, where they evolved gradually from less to more rainy conditions from 1901–1930 to the 1991–2015 subperiod. All three datasets present limitations and uncertainties in regions with poor coverage of gauge stations, where the differences among datasets are more pronounced. In particular, the GPCC presents reduced PRP variability in an extensive area west of 50° W and north of 20° S during the 1901–1930 subperiod. In monthly time scale, PRP time series in two areas show differences among the datasets for periods before 1941, which are likely due to spurious or missing data: central Bolivia (CBO), and central Brazil (CBR). The GPCC has less monthly variability before 1940 than the other two datasets in these two areas, and UDEL presents reduced monthly variability before 1940 and spurious monthly values from May to September of the years from 1929 to 1941 in CBO. Thus, studies with these three datasets might lead to different results depending on the study domain and period of analysis, in particular for those including years before 1941. The results here might be relevant for future diagnostic and modelling studies on climate variability from interannual to multidecadal time scales. Full article
Show Figures

Figure 1

22 pages, 2747 KB  
Article
Utilizing Hybrid Machine Learning Techniques and Gridded Precipitation Data for Advanced Discharge Simulation in Under-Monitored River Basins
by Reza Morovati and Ozgur Kisi
Hydrology 2024, 11(4), 48; https://doi.org/10.3390/hydrology11040048 - 4 Apr 2024
Cited by 7 | Viewed by 3468
Abstract
This study addresses the challenge of utilizing incomplete long-term discharge data when using gridded precipitation datasets and data-driven modeling in Iran’s Karkheh basin. The Multilayer Perceptron Neural Network (MLPNN), a rainfall-runoff (R-R) model, was applied, leveraging precipitation data from the Asian Precipitation—Highly Resolved [...] Read more.
This study addresses the challenge of utilizing incomplete long-term discharge data when using gridded precipitation datasets and data-driven modeling in Iran’s Karkheh basin. The Multilayer Perceptron Neural Network (MLPNN), a rainfall-runoff (R-R) model, was applied, leveraging precipitation data from the Asian Precipitation—Highly Resolved Observational Data Integration Toward Evaluation (APHRODITE), Global Precipitation Climatology Center (GPCC), and Climatic Research Unit (CRU). The MLPNN was trained using the Levenberg–Marquardt algorithm and optimized with the Non-dominated Sorting Genetic Algorithm-II (NSGA-II). Input data were pre-processed through principal component analysis (PCA) and singular value decomposition (SVD). This study explored two scenarios: Scenario 1 (S1) used in situ data for calibration and gridded dataset data for testing, while Scenario 2 (S2) involved separate calibrations and tests for each dataset. The findings reveal that APHRODITE outperformed in S1, with all datasets showing improved results in S2. The best results were achieved with hybrid applications of the S2-PCA-NSGA-II for APHRODITE and S2-SVD-NSGA-II for GPCC and CRU. This study concludes that gridded precipitation datasets, when properly calibrated, significantly enhance runoff simulation accuracy, highlighting the importance of bias correction in rainfall-runoff modeling. It is important to emphasize that this modeling approach may not be suitable in situations where a catchment is undergoing significant changes, whether due to development interventions or the impacts of anthropogenic climate change. This limitation highlights the need for dynamic modeling approaches that can adapt to changing catchment conditions. Full article
Show Figures

Figure 1

Back to TopTop