Sign in to use this feature.

Years

Between: -

Subjects

remove_circle_outline
remove_circle_outline
remove_circle_outline
remove_circle_outline
remove_circle_outline
remove_circle_outline

Journals

Article Types

Countries / Regions

Search Results (22)

Search Parameters:
Keywords = FaSSIF

Order results
Result details
Results per page
Select all
Export citation of selected articles as:
12 pages, 2612 KB  
Article
A Novel Liposomal Palmitoylethanolamide (PEA) with Enhanced Gastrointestinal Permeating Properties
by Giada Ceccarelli, Chiara Pennetta, Francesco Montalbano, Mariano Licciardi, Valentina Melfi and Rossana G. Iannitti
Nutraceuticals 2025, 5(4), 34; https://doi.org/10.3390/nutraceuticals5040034 - 20 Oct 2025
Viewed by 2144
Abstract
Palmitoylethanolamide (PEA) is a naturally occurring fatty acid amide and an endocannabinoid-related lipid that has been extensively studied for its analgesic, immunomodulatory, antimicrobial, and anti-inflammatory properties. It has demonstrated efficacy in various applications and is currently utilized as a nutraceutical for its antinociceptive, [...] Read more.
Palmitoylethanolamide (PEA) is a naturally occurring fatty acid amide and an endocannabinoid-related lipid that has been extensively studied for its analgesic, immunomodulatory, antimicrobial, and anti-inflammatory properties. It has demonstrated efficacy in various applications and is currently utilized as a nutraceutical for its antinociceptive, neuroprotective, and immunomodulatory effects, particularly in supporting brain and joint health and in mitigating inflammatory processes. Background/Objectives: Despite its significant therapeutic potential, the clinical effectiveness of PEA is limited by its poor water solubility and, consequently, low oral bioavailability. Additionally, degradation in the acidic gastrointestinal environment further compromises its absorption. To address these challenges, several technological strategies have been explored to improve its pharmacokinetic profile, including conventional micronization and ultra-micronization techniques. The objective of this study was to characterize a novel liposomal formulation based on PEA and evaluate its intestinal permeation and absorption. Methods: Comparative permeation studies of PEA were conducted using ex vivo models to evaluate its absorption characteristics across gastrointestinal mucosae. The experiments were performed in a Franz diffusion cell system using a porcine colon mucosa in two physiologically relevant media: Simulated Gastric Fluid (SGF) and Fasted State Simulated Intestinal Fluid (FaSSIF). Results: Liposomal PEA showed a more efficient and continuous release over time, reaching higher concentrations of PEA permeated through the membrane. Conclusions: Our findings demonstrate a significant improvement in PEA’s permeability and absorption in an ex vivo simulated gastrointestinal environment. Liposomal PEA appears to be more affine to biological membranes. These results suggest that liposomal PEA may represent a promising therapeutic strategy for managing chronic pain and inflammatory conditions such as chronic pelvic pain. Full article
(This article belongs to the Special Issue New Insights into Nano Nutraceuticals)
Show Figures

Figure 1

22 pages, 2896 KB  
Article
Integrating In Vitro BE Checker with In Silico Physiologically Based Biopharmaceutics Modeling to Predict the Pharmacokinetic Profiles of Oral Drug Products
by Takuto Niino, Takato Masada, Toshihide Takagi, Makoto Kataoka, Hiroyuki Yoshida, Shinji Yamashita and Atsushi Kambayashi
Pharmaceutics 2025, 17(9), 1222; https://doi.org/10.3390/pharmaceutics17091222 - 20 Sep 2025
Viewed by 1015
Abstract
Objective: The objective of this study was to develop a Physiologically Based Biopharmaceutics Modeling (PBBM) framework that can predict PK profiles in humans based on data generated from the BE Checker. Methods: Metoprolol and dipyridamole were selected as model drugs. A [...] Read more.
Objective: The objective of this study was to develop a Physiologically Based Biopharmaceutics Modeling (PBBM) framework that can predict PK profiles in humans based on data generated from the BE Checker. Methods: Metoprolol and dipyridamole were selected as model drugs. A mathematical model was developed to describe drug dissolution, membrane permeation, and dynamic changes in pH and fluid volume within the BE Checker system. Using data generated under various experimental conditions, dissolution rate constants were estimated. For dipyridamole, the precipitation rate constant was also estimated, assuming simultaneous dissolution and precipitation processes. The estimated parameters were subsequently incorporated into the human PBBM to simulate PK profiles. Finally, the predictive accuracy of PK parameters such as Cmax and AUC was assessed. Results: For metoprolol, the PK profiles using the paddle revolution rates of 100 and 200 rpm closely matched the observed human data, particularly for Cmax and AUC, a key indicator of BE. In the case of dipyridamole, accurate predictions of the mean human PK profile were achieved when using BE Checker data obtained under high paddle speed (200 rpm) and longer pre-FaSSIF infusion times (20–30 min). Conversely, simulations based on lower paddle speed (50 rpm) and shorter pre-FaSSIF infusion time (10 min) underestimated plasma concentrations in humans. Conclusions: These findings suggest that the combination of BE Checker data acquired under high agitation conditions and the in silico mathematical model developed in this study enables accurate prediction of average human PK profiles. Full article
(This article belongs to the Special Issue Recent Advances in Physiologically Based Biopharmaceutics Modeling)
Show Figures

Figure 1

15 pages, 2373 KB  
Article
Selection of In Vivo Relevant Dissolution Test Parameters for the Development of Cannabidiol Formulations with Enhanced Oral Bioavailability
by Nathan Koch, Quentin Bourcy, Olivier Jennotte, Patrice Chiap, Anna Lechanteur, Jean-Michel Cardot and Brigitte Evrard
Pharmaceutics 2025, 17(1), 79; https://doi.org/10.3390/pharmaceutics17010079 - 9 Jan 2025
Cited by 1 | Viewed by 1930
Abstract
Background: Cannabidiol (CBD) shows interesting therapeutic properties but has yet to demonstrate its full potential in clinical trials partly due to its low solubility in physiologic media. Two different formulations of CBD (amorphous and lipid-based) have been optimized and enable an increase in [...] Read more.
Background: Cannabidiol (CBD) shows interesting therapeutic properties but has yet to demonstrate its full potential in clinical trials partly due to its low solubility in physiologic media. Two different formulations of CBD (amorphous and lipid-based) have been optimized and enable an increase in bioavailability in piglets. In vivo studies are time-consuming, costly and life-threatening. Therefore, we need to develop in vitro tests that can predict what will happen in vivo. Methods: Comparisons in terms of dissolution were made especially by using different media (FaSSGF, FaSSIF, FeSSIF, HCl 0.1N with or without SLS, phosphate buffer pH 6.8 with or without SLS) and different conditions (sink or non-sink conditions). These in vitro results were confronted with in vivo results to select the most appropriate dissolution test conditions. Results: The importance of the presence of surfactants to enable solubilization of CBD was demonstrated. Neutral media enabled a relatively good prediction of the extent of absorption observed in vivo, whereas the rate of absorption was more complicated to predict. Conclusions: FeSSIF media, and FaSSIF sink media to a lesser extent, were the only compositions enabling predictions of both extent and rate, indicating that emulsification is possibly a major contributor to the in vivo availability of the drug. Full article
Show Figures

Figure 1

20 pages, 4804 KB  
Article
Key Factors for Improving Predictive Accuracy and Avoiding Overparameterization of the PBPK Absorption Model in Food Effect Studies of Weakly Basic Water-Insoluble Compounds in Immediate Release Formulations
by Miao Zhang, Shudong Zhang, Lin Wang, Zhe Zhang, Qin Hu and Dongyang Liu
Pharmaceutics 2024, 16(10), 1324; https://doi.org/10.3390/pharmaceutics16101324 - 12 Oct 2024
Cited by 4 | Viewed by 2479
Abstract
Background/Objectives: Physiologically based pharmacokinetic (PBPK) absorption models are instrumental for assessing drug absorption prior to clinical food effect studies, though discrepancies in predictive and actual outcomes are observed. This study focused on immediate release formulations of weakly basic water-insoluble compounds, namely rivaroxaban, [...] Read more.
Background/Objectives: Physiologically based pharmacokinetic (PBPK) absorption models are instrumental for assessing drug absorption prior to clinical food effect studies, though discrepancies in predictive and actual outcomes are observed. This study focused on immediate release formulations of weakly basic water-insoluble compounds, namely rivaroxaban, ticagrelor, and PB-201, to investigate factors that could improve the predictive accuracy of PBPK models regarding food effects. Methods: Comprehensive in vitro experimental results provided the basis for the development of mechanistic absorption models, which were then combined with mechanistic disposition models to predict the systemic exposure of the model drugs in both fasted and fed states. Results: The developed PBPK models showed moderate to high predictive accuracy for food effects in Caucasian populations. For the Chinese population, the ticagrelor model’s initial overestimation of fed-state absorption was addressed by updating the permeability parameters from Caco-2 cell assays to those derived from parallel artificial membrane permeability assays in FaSSIF and FeSSIF media. This refinement was also applied to the rivaroxaban and ticagrelor models, leading to a more accurate representation of absorption in Caucasians. Conclusions: This study highlights the importance of apparent permeability in enhancing the predictive accuracy of PBPK absorption models for weakly basic water-insoluble compounds. Furthermore, the precipitation of PB-201 in the two-stage transfer experiments suggests that precipitation may not be a universal phenomenon for such compounds in vivo. Consequently, the precipitation rate constant, a theoretically essential parameter, should be determined based on experimental evidence to avoid overparameterization and ensure robust predictive accuracy of PBPK models. Full article
Show Figures

Figure 1

13 pages, 4033 KB  
Article
Use of Poly(vinyl alcohol) in Spray-Dried Dispersions: Enhancing Solubility and Stability of Proteolysis Targeting Chimeras
by Lena Mareczek, Lena K. Mueller, Laura Halstenberg, Thomas M. Geiger, Michael Walz, Min Zheng and Felix Hausch
Pharmaceutics 2024, 16(7), 924; https://doi.org/10.3390/pharmaceutics16070924 - 11 Jul 2024
Cited by 9 | Viewed by 2915
Abstract
PROTACs, proteolysis targeting chimeras, are bifunctional molecules inducing protein degradation through a unique proximity-based mode of action. While offering several advantages unachievable by classical drugs, PROTACs have unfavorable physicochemical properties that pose challenges in application and formulation. In this study, we show the [...] Read more.
PROTACs, proteolysis targeting chimeras, are bifunctional molecules inducing protein degradation through a unique proximity-based mode of action. While offering several advantages unachievable by classical drugs, PROTACs have unfavorable physicochemical properties that pose challenges in application and formulation. In this study, we show the solubility enhancement of two PROTACs, ARV-110 and SelDeg51, using Poly(vinyl alcohol). Hereby, we apply a three-fluid nozzle spray drying set-up to generate an amorphous solid dispersion with a 30% w/w drug loading with the respective PROTACs and the hydrophilic polymer. Dissolution enhancement was achieved and demonstrated for t = 0 and t = 4 weeks at 5 °C using a phosphate buffer with a pH of 6.8. A pH shift study on ARV-110-PVA is shown, covering transfer from simulated gastric fluid (SGF) at pH 2.0 to fasted-state simulated intestinal fluid (FaSSIF) at pH 6.5. Additionally, activity studies and binding assays of the pure SelDeg51 versus the spray-dried SelDeg51-PVA indicate no difference between both samples. Our results show how modern enabling formulation technologies can partially alleviate challenging physicochemical properties, such as the poor solubility of increasingly large ‘small’ molecules. Full article
(This article belongs to the Special Issue Spray Drying in the Pharmaceutical and Nutraceutical Field)
Show Figures

Figure 1

15 pages, 3721 KB  
Article
Effect of Deep Eutectic System (DES) on Oral Bioavailability of Celecoxib: In Silico, In Vitro, and In Vivo Study
by Soumalya Chakraborty, Rohit Y. Sathe, Jaydeep H. Chormale, Ashish Dangi, Prasad V. Bharatam and Arvind K. Bansal
Pharmaceutics 2023, 15(9), 2351; https://doi.org/10.3390/pharmaceutics15092351 - 20 Sep 2023
Cited by 15 | Viewed by 2836
Abstract
Different deep eutectic systems (DES) of choline chloride (CC)–urea (UA) (1:2), CC–glycerol (GLY) (1:2), CC–malonic acid (MA) (1:1), and CC–ascorbic acid (AA) (2:1) were generated and characterized by polarized light microscope (PLM) and Fourier transform infrared spectroscope (FTIR). The equilibrium solubility of celecoxib [...] Read more.
Different deep eutectic systems (DES) of choline chloride (CC)–urea (UA) (1:2), CC–glycerol (GLY) (1:2), CC–malonic acid (MA) (1:1), and CC–ascorbic acid (AA) (2:1) were generated and characterized by polarized light microscope (PLM) and Fourier transform infrared spectroscope (FTIR). The equilibrium solubility of celecoxib (CLX) in DES was compared to that in deionized water. The CC–MA (1:1) system provided ~10,000 times improvement in the solubility of CLX (13,114.75 µg/g) and was used for the generation of the CLX–DES system. The latter was characterized by PLM and FTIR to study the microstructure and intermolecular interaction between the CLX and CC–MA (1:1) DES. FTIR demonstrated the retention of the chemical structure of CLX. In vitro drug release studies in FaSSIF initially demonstrated high supersaturation, which decreased by ~2 fold after 2 h. Density functional theory (DFT)-based calculations provided a molecular-level understanding of enhanced solubility. Gibbs free energy calculations established the role of the strongest binding of CLX with CC and MA. A phase solubility study highlighted the role of hydrotropy-induced solubilization of the CLX–DES system. Animal pharmacokinetic studies established 2.76 times improvement in Cmax, 1.52 times reduction in tmax, and 1.81 times improvement in AUC0-∞. The overall results demonstrated the potential of developing a DES-based supersaturating drug-delivery system for pharmaceutical loading of drugs having solubility and dissolution rate-limited oral bioavailability. Full article
(This article belongs to the Section Physical Pharmacy and Formulation)
Show Figures

Graphical abstract

16 pages, 1870 KB  
Article
Cocrystals Enhance Biopharmaceutical and Antimicrobial Properties of Norfloxacin
by Samantha Nascimento Gomes, Isabela Fanelli Barreto Biscaia, Diana Schon Lopes, Mariana Mengarda, Fábio Seigi Murakami, Paulo Renato Oliveira and Larissa Sakis Bernardi
Pharmaceutics 2023, 15(9), 2211; https://doi.org/10.3390/pharmaceutics15092211 - 26 Aug 2023
Cited by 9 | Viewed by 2728
Abstract
A solvate cocrystal of the antimicrobial norfloxacin (NFX) was formed by using isonicotinamide (INA) as a coformer with the solvent evaporation technique. The cocrystal formation was confirmed by performing solid-state characterization techniques. We evaluated the dissolution under supersaturated conditions and also the solubility [...] Read more.
A solvate cocrystal of the antimicrobial norfloxacin (NFX) was formed by using isonicotinamide (INA) as a coformer with the solvent evaporation technique. The cocrystal formation was confirmed by performing solid-state characterization techniques. We evaluated the dissolution under supersaturated conditions and also the solubility at the vertex of triphasic domain of cocrystal and NFX in both water and Fasted-State Simulated Intestinal Fluid (FaSSIF). The antimicrobial activity was evaluated using the microdilution technique. The cocrystal showed 1.8 times higher dissolution than NFX in water at 60 min and 1.3 times higher in FaSSIF at 180 min in the kinetic study. The cocrystal also had an increase in solubility of 8.38 times in water and 6.41 times in FaSSIF. The biopharmaceutical properties of NFX with cocrystallization improved antimicrobial action, as shown in the results of minimum inhibitory concentration (MIC) and inhibitory concentrations of 50% (IC50%) and 90% (IC90%). This paper presents, for the first time, a more in-depth analysis of the cocrystal of NFX–INA concerning its dissolution, solubility, and antimicrobial activity. In all these criteria, the cocrystal obtained better results compared to the pure drug. Full article
(This article belongs to the Special Issue Formulation of Poorly Water-Soluble Drugs)
Show Figures

Graphical abstract

26 pages, 6372 KB  
Article
Integrating In Vitro Biopharmaceutics into Physiologically Based Biopharmaceutic Model (PBBM) to Predict Food Effect of BCS IV Zwitterionic Drug (GSK3640254)
by Konstantinos Stamatopoulos, Paola Ferrini, Dung Nguyen, Ying Zhang, James M. Butler, Jon Hall and Nena Mistry
Pharmaceutics 2023, 15(2), 521; https://doi.org/10.3390/pharmaceutics15020521 - 3 Feb 2023
Cited by 12 | Viewed by 4349
Abstract
A strategy followed to integrate in vitro solubility and permeability data into a PBBM model to predict the food effect of a BCS IV zwitterionic drug (GSK3640254) observed in clinical studies is described. The PBBM model was developed, qualified and verified using clinical [...] Read more.
A strategy followed to integrate in vitro solubility and permeability data into a PBBM model to predict the food effect of a BCS IV zwitterionic drug (GSK3640254) observed in clinical studies is described. The PBBM model was developed, qualified and verified using clinical data of an immediate release (IR)-tablet (10–320 mg) obtained in healthy volunteers under fasted and fed conditions. The solubility of GSK3640254 was a function of its ionization state, the media composition and pH, whereas its permeability determined using MDCK cell lines was enhanced by the presence of mixed micelles. In vitro data alongside PBBM modelling suggested that the positive food effect observed in the clinical studies was attributed to micelle-mediated enhanced solubility and permeability. The biorelevant media containing oleic acid and cholesterol in fasted and fed levels enabled the model to appropriately capture the magnitude of the food effect. Thus, by using Simcyp® v20 software, the PBBM model accurately predicted the results of the food effect and predicted data were within a two-fold error with 70% being within 1.25-fold. The developed model strategy can be effectively adopted to increase the confidence of using PBBM models to predict the food effect of BCS class IV drugs. Full article
Show Figures

Figure 1

14 pages, 2552 KB  
Article
Oral Delivery of Niclosamide as an Amorphous Solid Dispersion That Generates Amorphous Nanoparticles during Dissolution
by Miguel O. Jara, Zachary N. Warnken, Sawittree Sahakijpijarn, Rishi Thakkar, Vineet R. Kulkarni, Dale J. Christensen, John J. Koleng and Robert O. Williams
Pharmaceutics 2022, 14(12), 2568; https://doi.org/10.3390/pharmaceutics14122568 - 23 Nov 2022
Cited by 15 | Viewed by 5896
Abstract
Niclosamide is an FDA-approved anthelmintic that is being studied in clinical trials as a chemotherapeutic and broad-spectrum antiviral. Additionally, several other applications are currently in the preclinical stage. Unfortunately, niclosamide is a poorly water soluble molecule, with reduced oral bioavailability, which hinders its [...] Read more.
Niclosamide is an FDA-approved anthelmintic that is being studied in clinical trials as a chemotherapeutic and broad-spectrum antiviral. Additionally, several other applications are currently in the preclinical stage. Unfortunately, niclosamide is a poorly water soluble molecule, with reduced oral bioavailability, which hinders its use for new indications. Moreover, niclosamide is a poor glass former; in other words, the molecule has a high tendency to recrystallize, and it is virtually impossible to generate a stable amorphous solid employing the neat molecule. Previously, our group reported the development of an amorphous solid dispersion (ASD) of niclosamide (niclosamide ASD) that generates nanoparticles during its dissolution, not only increasing niclosamide’s apparent solubility from 6.6 ± 0.4 to 481.7 ± 22.2 µg/mL in fasted state simulated intestinal fluid (FaSSIF) but also its oral bioavailability 2.6-fold in Sprague–Dawley rats after being administered as a suspension. Nevertheless, niclosamide ASD undergoes recrystallization in acidic media, and an enteric oral dosage form is needed for its translation into the clinic. In this work, we further characterized the nanoparticles that generated during the dissolution of the niclosamide ASD. Cryogenic transmission electron microscopy (Cryo-TEM) and wide-angle X-ray scattering (WAXS) revealed that the nanoparticles were amorphous and had a particle size of ~150 nm. The oral dosage forms of niclosamide ASD were formulated using commercial enteric capsules (Capsuline® and EudracapTM) and as enteric-coated tablets. The enteric dosage forms were tested using pH-shift dissolution and acid-uptake tests, using the USP type II dissolution apparatus and the disintegration apparatus, respectively. The capsules exhibited a higher percentage of weight gain, and visual rupture of the Capsuline capsules was observed. Eudracap capsules protected the formulation from the acidic media, but polymer gelling and the formation of a nondispersible plug were noted during dissolution testing. In contrast, enteric-coated tablets protected the formulation from acid ingress and maintained the performance of niclosamide ASD granules during dissolution in FaSSIF media. These enteric-coated tablets were administered to beagle dogs at a niclosamide dose of 75 mg/kg, resulting in plasma concentrations of niclosamide higher than those reported in the literature using solubilized niclosamide at a higher dose (i.e., 100 mg/kg). In summary, an enteric oral dosage form of niclosamide ASD was formulated without hindering the generation of nanoparticles while maintaining the increase in the niclosamide’s apparent solubility. The enteric-coated tablets successfully increased the niclosamide plasma levels in dogs when compared to a niclosamide solution prepared using organic solvents. Full article
(This article belongs to the Special Issue Recent Advances in Amorphous Drug)
Show Figures

Graphical abstract

16 pages, 4430 KB  
Article
Mucin-Protected Caco-2 Assay to Study Drug Permeation in the Presence of Complex Biorelevant Media
by Dong Ye, Álvaro López Mármol, Verena Lenz, Patricia Muschong, Anita Wilhelm-Alkubaisi, Manuel Weinheimer, Mirko Koziolek, Kerstin A. Sauer, Loic Laplanche and Mario Mezler
Pharmaceutics 2022, 14(4), 699; https://doi.org/10.3390/pharmaceutics14040699 - 24 Mar 2022
Cited by 12 | Viewed by 6552
Abstract
The poor solubility and permeability of compounds beyond Lipinski’s Rule of Five (bRo5) are major challenges for cell-based permeability assays. Due to their incompatibility with gastrointestinal components in biorelevant media, the exploration of important questions addressing food effects is limited. Thus, we established [...] Read more.
The poor solubility and permeability of compounds beyond Lipinski’s Rule of Five (bRo5) are major challenges for cell-based permeability assays. Due to their incompatibility with gastrointestinal components in biorelevant media, the exploration of important questions addressing food effects is limited. Thus, we established a robust mucin-protected Caco-2 assay to allow the assessment of drug permeation in complex biorelevant media. To do that, the assay conditions were first optimized with dependence of the concentration of porcine mucin added to the cells. Mucin-specific effects on drug permeability were evaluated by analyzing cell permeability values for 15 reference drugs (BCS class I–IV). Secondly, a sigmoidal relationship between mucin-dependent permeability and fraction absorbed in human (fa) was established. A case study with venetoclax (BCS class IV) was performed to investigate the impact of medium complexity and the prandial state on drug permeation. Luminal fluids obtained from the tiny-TIM system showed a higher solubilization capacity for venetoclax, and a better read-out for the drug permeability, as compared to FaSSIF or FeSSIF media. In conclusion, the mucin-protected Caco-2 assay combined with biorelevant media improves the mechanistic understanding of drug permeation and addresses complex biopharmaceutical questions, such as food effects on oral drug absorption. Full article
(This article belongs to the Special Issue Intestinal Drug Absorption)
Show Figures

Graphical abstract

16 pages, 3977 KB  
Article
Explicit-pH Coarse-Grained Molecular Dynamics Simulations Enable Insights into Restructuring of Intestinal Colloidal Aggregates with Permeation Enhancers
by Shakhawath Hossain, Albin Parrow, Aleksei Kabedev, Rosita Carolina Kneiszl, Yuning Leng and Per Larsson
Processes 2022, 10(1), 29; https://doi.org/10.3390/pr10010029 - 24 Dec 2021
Cited by 12 | Viewed by 6386
Abstract
Permeation enhancers (PEs) can increase the bioavailability of drugs. The mechanisms of action of these PEs are complex, but, typically, when used for oral administration, they can transiently induce the alteration of trans- and paracellular pathways, including increased solubilization and membrane fluidity, or [...] Read more.
Permeation enhancers (PEs) can increase the bioavailability of drugs. The mechanisms of action of these PEs are complex, but, typically, when used for oral administration, they can transiently induce the alteration of trans- and paracellular pathways, including increased solubilization and membrane fluidity, or the opening of the tight junctions. To elucidate these mechanistic details, it is important to understand the aggregation behavior of not only the PEs themselves but also other molecules already present in the intestine. Aggregation processes depend critically on, among other factors, the charge state of ionizable chemical groups, which is affected by the pH of the system. In this study, we used explicit-pH coarse-grained molecular dynamics simulations to investigate the aggregation behavior and pH dependence of two commonly used PEs—caprate and SNAC—together with other components of fasted- and fed-state simulated intestinal fluids. We also present and validate a coarse-grained molecular topology for the bile salt taurocholate suitable for the Martini3 force-field. Our results indicate an increase in the number of free molecules as a function of the system pH and for each combination of FaSSIF/FeSSIF and PEs. In addition, there are differences between caprate and SNAC, which are rationalized based on their different molecular structures and critical micelle concentrations. Full article
(This article belongs to the Special Issue Molecular Dynamics Modeling and Simulation)
Show Figures

Figure 1

15 pages, 3057 KB  
Article
Amorphous Solid Dispersions and the Contribution of Nanoparticles to In Vitro Dissolution and In Vivo Testing: Niclosamide as a Case Study
by Miguel O. Jara, Zachary N. Warnken and Robert O. Williams
Pharmaceutics 2021, 13(1), 97; https://doi.org/10.3390/pharmaceutics13010097 - 14 Jan 2021
Cited by 40 | Viewed by 7473
Abstract
We developed an amorphous solid dispersion (ASD) of the poorly water-soluble molecule niclosamide that achieved a more than two-fold increase in bioavailability. Notably, this niclosamide ASD formulation increased the apparent drug solubility about 60-fold relative to the crystalline material due to the generation [...] Read more.
We developed an amorphous solid dispersion (ASD) of the poorly water-soluble molecule niclosamide that achieved a more than two-fold increase in bioavailability. Notably, this niclosamide ASD formulation increased the apparent drug solubility about 60-fold relative to the crystalline material due to the generation of nanoparticles. Niclosamide is a weakly acidic drug, Biopharmaceutics Classification System (BCS) class II, and a poor glass former with low bioavailability in vivo. Hot-melt extrusion is a high-throughput manufacturing method commonly used in the development of ASDs for increasing the apparent solubility and bioavailability of poorly water-soluble compounds. We utilized the polymer poly(1-vinylpyrrolidone-co-vinyl acetate) (PVP–VA) to manufacture niclosamide ASDs by extrusion. Samples were analyzed based on their microscopic and macroscopic behavior and their intermolecular interactions, using differential scanning calorimetry (DSC), X-ray diffraction (XRD), nuclear magnetic resonance (NMR), Fourier-transform infrared (FTIR), and dynamic light scattering (DLS). The niclosamide ASD generated nanoparticles with a mean particle size of about 100 nm in FaSSIF media. In a side-by-side diffusion test, these nanoparticles produced a four-fold increase in niclosamide diffusion. We successfully manufactured amorphous extrudates of the poor glass former niclosamide that showed remarkable in vitro dissolution and diffusion performance. These in vitro tests were translated to a rat model that also showed an increase in oral bioavailability. Full article
(This article belongs to the Special Issue Hot-Melt Extrusion: Applications in Pharmaceutics)
Show Figures

Graphical abstract

9 pages, 856 KB  
Article
Strawberry Decreases Intraluminal and Intestinal Wall Hydrolysis of Testosterone Undecanoate
by Atheer Zgair, Yousaf Dawood, Suhaib M. Ibrahem, Jong Bong Lee, Wanshan Feng, Peter M. Fischer and Pavel Gershkovich
Molecules 2021, 26(1), 233; https://doi.org/10.3390/molecules26010233 - 5 Jan 2021
Cited by 1 | Viewed by 3984
Abstract
Male hypogonadism is often treated by testosterone (T) replacement therapy such as oral administration of the ester prodrug, testosterone undecanoate (TU). However, the systemic exposure to T following oral TU is very low due to esterase-mediated metabolism, particularly in the small intestine. The [...] Read more.
Male hypogonadism is often treated by testosterone (T) replacement therapy such as oral administration of the ester prodrug, testosterone undecanoate (TU). However, the systemic exposure to T following oral TU is very low due to esterase-mediated metabolism, particularly in the small intestine. The aim of this work was to examine the esterase-inhibitory effect of natural fruit extract of strawberry (STW) on the intestinal degradation of TU as a potential approach to increasing the oral bioavailability of T. Herein, the hydrolysis of TU was assessed in fasted state simulated intestinal fluid with added esterase activity (FaSSIF/ES) and Caco-2 cell homogenates in the presence of STW extract. It is noteworthy that STW substantially inhibited the degradation of TU in FaSSIF/ES and Caco-2 cell homogenates at concentrations that could be achieved following oral consumption of less than one serving of STW fruit. This can significantly increase the fraction of unhydrolyzed TU in the intestinal lumen as well as in enterocytes. In addition, it was demonstrated that TU has high intestinal lymphatic transport potential as the association of TU with plasma-derived human chylomicrons was in the range of 84%. Therefore, oral co-administration of TU with STW could potentially increase the intestinal stability of TU and consequently the contribution of lymphatically delivered TU to the systemic exposure of T in vivo. Full article
Show Figures

Figure 1

19 pages, 7434 KB  
Article
Intrinsic Dissolution Rate Profiling of Poorly Water-Soluble Compounds in Biorelevant Dissolution Media
by Alexandra Teleki, Olivia Nylander and Christel A.S. Bergström
Pharmaceutics 2020, 12(6), 493; https://doi.org/10.3390/pharmaceutics12060493 - 28 May 2020
Cited by 36 | Viewed by 9445
Abstract
The intrinsic dissolution rate (IDR) of active pharmaceutical ingredients (API) is a key property that aids in early drug development, especially selecting formulation strategies to improve dissolution and thereby drug absorption in the intestine. Here, we developed a robust method for rapid, medium [...] Read more.
The intrinsic dissolution rate (IDR) of active pharmaceutical ingredients (API) is a key property that aids in early drug development, especially selecting formulation strategies to improve dissolution and thereby drug absorption in the intestine. Here, we developed a robust method for rapid, medium throughput screening of IDR and established the largest IDR dataset in open literature to date that can be used for pharmaceutical computational modeling. Eighteen compounds with diverse physicochemical properties were studied in both fasted and fed state simulated intestinal fluids. Dissolution profiles were measured in small-scale experimental assays using compound suspensions or discs. IDR measurements were not solely linked to API solubility in either dissolution media. Multivariate data analysis revealed that IDR strongly depends on compound partitioning into bile salt and phospholipid micelles in the simulated intestinal fluids, a process that in turn is governed by API lipophilicity, hydrophobicity, and ionization. Full article
(This article belongs to the Special Issue Mechanistic In Vitro and In Silico Modeling of Oral Drug Absorption)
Show Figures

Graphical abstract

25 pages, 5580 KB  
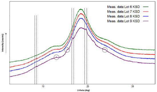
Article
Improved Dissolution and Pharmacokinetics of Abiraterone through KinetiSol® Enabled Amorphous Solid Dispersions
by Urvi Gala, Dave Miller and Robert O. Williams
Pharmaceutics 2020, 12(4), 357; https://doi.org/10.3390/pharmaceutics12040357 - 14 Apr 2020
Cited by 38 | Viewed by 6645
Abstract
Abiraterone is a poorly water-soluble drug. It has a high melting point and limited solubility in organic solvents, making it difficult to formulate as an amorphous solid dispersion (ASD) with conventional technologies. KinetiSol® is a high-energy, fusion-based, solvent-free technology that can produce [...] Read more.
Abiraterone is a poorly water-soluble drug. It has a high melting point and limited solubility in organic solvents, making it difficult to formulate as an amorphous solid dispersion (ASD) with conventional technologies. KinetiSol® is a high-energy, fusion-based, solvent-free technology that can produce ASDs. The aim of this study was to evaluate the application of KinetiSol to make abiraterone ASDs. We developed binary KinetiSol ASDs (KSDs) using both polymers and oligomers. For the first time, we reported that KinetiSol can process hydroxypropyl-β-cyclodextrin (HPBCD), a low molecular-weight oligomer. Upon X-ray diffractometry and modulated differential scanning calorimetry analysis, we found the KSDs to be amorphous. In vitro dissolution analysis revealed that maximum abiraterone dissolution enhancement was achieved using a HPBCD binary KSD. However, the KSD showed significant abiraterone precipitation in fasted state simulated intestinal fluid (FaSSIF) media. Hence, hypromellose acetate succinate (HPMCAS126G) was selected as an abiraterone precipitation inhibitor and an optimized ternary KSD was developed. A pharmacokinetic study revealed that HPBCD based binary and ternary KSDs enhanced abiraterone bioavailability by 12.4-fold and 13.8-fold, respectively, compared to a generic abiraterone acetate tablet. Thus, this study is the first to demonstrate the successful production of an abiraterone ASD that exhibited enhanced dissolution and bioavailability. Full article
Show Figures

Graphical abstract

Back to TopTop