Sign in to use this feature.

Years

Between: -

Subjects

remove_circle_outline
remove_circle_outline
remove_circle_outline
remove_circle_outline
remove_circle_outline
remove_circle_outline
remove_circle_outline
remove_circle_outline

Journals

Article Types

Countries / Regions

Search Results (27)

Search Parameters:
Keywords = FEP simulations

Order results
Result details
Results per page
Select all
Export citation of selected articles as:
27 pages, 15101 KB  
Article
Development and Evaluation of a Piezoelectret Insole for Energy Harvesting Applications
by Marcio L. M. Amorim, Gabriel Augusto Ginja, Melkzedekue de Moraes Alcântara Calabrese Moreira, Oswaldo Hideo Ando Junior, Adriano Almeida Goncalves Siqueira, Vitor Monteiro, José A. Afonso, João P. P. do Carmo and João L. Afonso
Electronics 2025, 14(21), 4254; https://doi.org/10.3390/electronics14214254 - 30 Oct 2025
Viewed by 967
Abstract
This work presents the development and experimental validation of a low-cost, piezoelectret-based energy harvesting system integrated into a custom insole, as a promising alternative for future self-powered wearable electronics. The design utilizes eight thermoformed Teflon piezoelectrets, strategically positioned in high-impact regions (heel and [...] Read more.
This work presents the development and experimental validation of a low-cost, piezoelectret-based energy harvesting system integrated into a custom insole, as a promising alternative for future self-powered wearable electronics. The design utilizes eight thermoformed Teflon piezoelectrets, strategically positioned in high-impact regions (heel and forefoot), to convert footstep-induced mechanical motion into electrical energy. The sensors, fabricated using Fluorinated Ethylene Propylene (FEP) and Polytetrafluoroethylene (PTFE) layers via thermal pressing and aluminum sputtering, were connected in parallel to enhance signal consistency and robustness. A solenoid-actuated mechanical test rig was developed to simulate human gait under controlled conditions. The system consistently produced voltage pulses with peaks up to 13 V and durations exceeding ms, even under limited-force loading (10 kgf). Signal analysis confirmed repeatable waveform characteristics, and a Delon voltage multiplier enabled partial conversion into usable DC output. While not yet optimized for maximum efficiency, the proposed setup demonstrates the feasibility of using piezoelectrets for energy harvesting. Its simplicity, scalability, and low cost support its potential for future integration in applications such as fitness tracking, health monitoring, and GPS ultimately contributing to the development of autonomous, self-powered smart footwear systems. It is important to emphasize that the present study is a proof-of-concept validated exclusively under controlled laboratory conditions using a mechanical gait simulator. Future work will address real-time insole application tests with human participants. Full article
Show Figures

Figure 1

15 pages, 2184 KB  
Article
First-Principles Study on Interfacial Triboelectrification Between Water and Halogen-Functionalized Polymer Surfaces
by Taili Tian, Bo Zhao, Yimin Wang, Shifan Huang, Xiangcheng Ju and Yuyan Fan
Lubricants 2025, 13(7), 303; https://doi.org/10.3390/lubricants13070303 - 11 Jul 2025
Viewed by 1104
Abstract
Contact electrification (CE), or triboelectrification, is an electron transfer phenomenon occurring at the interface between dissimilar materials due to differences in polarity, holding significant research value in tribology. The microscopic mechanisms of CE remain unclear due to the complex coupling of multiple physical [...] Read more.
Contact electrification (CE), or triboelectrification, is an electron transfer phenomenon occurring at the interface between dissimilar materials due to differences in polarity, holding significant research value in tribology. The microscopic mechanisms of CE remain unclear due to the complex coupling of multiple physical processes. Recently, with the rise of triboelectric nanogenerator (TENG) technology, solid–liquid contact electrification has demonstrated vast application potential, sparking considerable interest in its underlying mechanisms. Emerging experimental evidence indicates that at water–polymer CE interfaces, the process involves not only traditional ion adsorption but also electron transfer. Halogen-containing functional groups in the solid material significantly enhance the CE effect. To elucidate the microscopic mechanism of water–polymer CE, this study employed first-principles density functional theory (DFT) calculations, simulating the interfacial electrification process using unit cell models of water contacting polymers. We systematically and quantitatively investigated the charge transfer characteristics at interfaces between water and three representative polymers with similar backbones but different halogen-functionalized (F, Cl) side chains: fluorinated ethylene propylene (FEP), polyvinyl chloride (PVC), and polytetrafluoroethylene (PTFE), focusing on evaluating halogen’s influence and mechanism on interfacial electron transfer. The results reveal that electron transfer is primarily governed by the energy levels of the polymer’s lowest unoccupied molecular orbital (LUMO) and highest occupied molecular orbital (HOMO). Halogen functional groups modulate the material’s electron-donating/accepting capabilities by altering these frontier orbital energy levels. Consequently, we propose that the critical strategy for polymer chemical modification resides in lowering the LUMO energy level of electron-accepting materials. This study provides a novel theoretical insight into the charge transfer mechanism at solid–liquid interfaces, offers guidance for designing high-performance TENG interfacial materials, and holds significant importance for both the fundamental theory and the development of advanced energy devices. Full article
Show Figures

Figure 1

26 pages, 914 KB  
Article
Threshold Successive Cancellation Flip Decoding Algorithm for Polar Codes: Design and Performance
by Zhicheng Liu, Liuquan Yao, Shuai Yuan, Guiying Yan, Zhiming Ma and Yuting Liu
Entropy 2025, 27(6), 626; https://doi.org/10.3390/e27060626 - 12 Jun 2025
Viewed by 1221
Abstract
In this paper, we propose the threshold successive cancellation flip (Th-SCF) decoding algorithm for polar codes, which enhances the performance of the SC decoder while maintaining low complexity. Theoretical analysis reveals that Th-SCF asymptotically delays the first error position (FEP, the first part [...] Read more.
In this paper, we propose the threshold successive cancellation flip (Th-SCF) decoding algorithm for polar codes, which enhances the performance of the SC decoder while maintaining low complexity. Theoretical analysis reveals that Th-SCF asymptotically delays the first error position (FEP, the first part where the SC decoder fails) with probability 1, ensuring high decoding performance. Simulation results show that the Th-SCF algorithm achieves performance comparable to the dynamic SC flip (D-SCF) algorithm, but with a reduction in complexity by eliminating the need for sorting operations. A key contribution of this work is the rigorous theoretical framework supporting the Th-SCF algorithm, distinguishing it from existing SC flip (SCF) decoding methods. This theoretical foundation not only explains the performance improvements but also provides insights into the underlying mechanisms of flipping. The proposed Th-SCF algorithm demonstrates strong performance across a wide range of code lengths and rates, and its performance remains stable within a certain threshold range, indicating its practical applicability in real-world communication systems. These results offer valuable perspectives for the design of efficient flip decoding strategies in 5G and future networks. Full article
(This article belongs to the Special Issue Network Information Theory and Its Applications)
Show Figures

Figure 1

19 pages, 4684 KB  
Article
Effects of Biogas Slurry on Microbial Phosphorus Metabolism in Soil of Camellia oleifera Plantations
by Quanxun Chen, Jianbo Cheng, Guangliang Tian, Tengbin He, Hu Wang, Tao Zhang, Jianming Hong, Liangyu Dai and Tianling Fu
Land 2025, 14(4), 718; https://doi.org/10.3390/land14040718 - 27 Mar 2025
Viewed by 1027
Abstract
The use of biogas slurry as an alternative to chemical fertilizers for supplying phosphorus to plants is gaining increasing attention. However, the mechanisms by which biogas slurry activates soil phosphorus and influences phosphorus-metabolizing microorganisms are not yet fully understood. This study characterized the [...] Read more.
The use of biogas slurry as an alternative to chemical fertilizers for supplying phosphorus to plants is gaining increasing attention. However, the mechanisms by which biogas slurry activates soil phosphorus and influences phosphorus-metabolizing microorganisms are not yet fully understood. This study characterized the effects of controlled biogas slurry application gradients (0, 13, 27, 40, and 53) on the soil phosphorus structure, camellia oleifera (CO) phosphorus content, microbial phosphorus metabolism functional gene abundance, and phosphorus transformation functions in CO plantation soils. Increasing the dosage of biogas slurry effectively enhanced soil phosphorus levels and significantly increased the proportions of aluminum-bound phosphorus (Al-P) and iron-bound phosphorus (Fe-P). Under simulated conditions, the contents of soil Al-P, Fe-P, and organic phosphorus significantly decreased and transformed into occluded phosphorus (O-P) and calcium-bound phosphorus (Ca-P), while under field conditions, due to spatial heterogeneity, the changes in soil phosphorus and its forms were not distinctly evident. The application of biogas slurry did not significantly alter the major phyla of phosphorus-metabolizing microorganisms in the soil, but significant changes in the abundance of different microorganisms were observed. The abundance of dominant bacterial communities such as Chloroflexi_bacterium increased, while the abundance of communities such as Actinomycetia_bacterium decreased. By influencing the expression of soil microbial functional genes related to inorganic phosphorus solubilization, organic phosphorus mineralization, phosphorus deficiency response regulation, and phosphorus transport, the solubility of inorganic phosphorus and the mineralization rate of organic phosphorus in the soil were enhanced. Additionally, it may weaken microbial phosphorus uptake by inhibiting intercellular phosphorus transport in microorganisms, thereby improving the utilization of soil phosphorus by CO. Full article
Show Figures

Figure 1

20 pages, 6560 KB  
Article
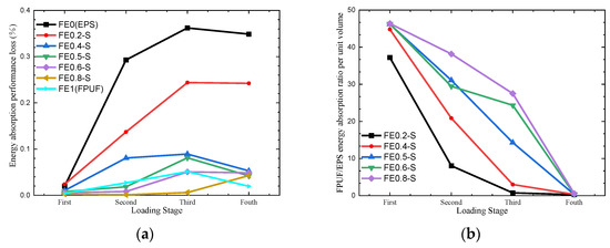
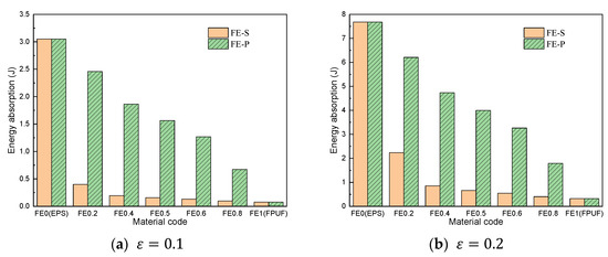
Mechanical Properties and Cushioning Effectiveness of FPUF-EPS Combination Materials
by Zexiong Zhang, Weizhou Zhong, Jiaxing Li and Jingrun Luo
Materials 2023, 16(21), 6886; https://doi.org/10.3390/ma16216886 - 27 Oct 2023
Cited by 9 | Viewed by 3077
Abstract
Based on flexible polyurethane foam (FPUF), which is reversible after compression, and expanded polystyrene foam (EPS), which has a high cushioning energy absorption capacity, the parallel and series combinations of FPUF and EPS are provided. According to experimental data of FPUF and EPS [...] Read more.
Based on flexible polyurethane foam (FPUF), which is reversible after compression, and expanded polystyrene foam (EPS), which has a high cushioning energy absorption capacity, the parallel and series combinations of FPUF and EPS are provided. According to experimental data of FPUF and EPS uniaxial compression large deformation, the mechanical properties and cushioning effectiveness of the FPUF-EPS combination materials with different structural scale parameters were investigated by theory analysis and finite element simulation. The mechanical response and the cushioning effectiveness influencing factors of FPUF-EPS parallel (FE-P) and FPUF-EPS series (FE-S) combination materials under single compressive load, single-impact load, and multiple compressive loads were obtained. The differences in mechanical properties and cushioning effectiveness of FE-P, FE-S, FPUF, and EPS are analyzed. The influence law of structural scale parameters and load strength on the mechanical properties and cushioning effectiveness of FE-P and FE-S is provided. It indicates that the cushion properties of combination materials should be adjusted to satisfy product protection requirements. It is beneficial for the design optimization of cushioning and packaging protection. Full article
Show Figures

Figure 1

13 pages, 4269 KB  
Article
Evaluation of Molecular Simulations and Deep Learning Prediction of Antibodies’ Recognition of TRBC1 and TRBC2
by Xincheng Zeng, Tianqun Wang, Yue Kang, Ganggang Bai and Buyong Ma
Antibodies 2023, 12(3), 58; https://doi.org/10.3390/antib12030058 - 17 Sep 2023
Cited by 5 | Viewed by 3983
Abstract
T cell receptor β-chain constant (TRBC) is a promising class of cancer targets consisting of two highly homologous proteins, TRBC1 and TRBC2. Developing targeted antibody therapeutics against TRBC1 or TRBC2 is expected to eradicate the malignant T cells and preserve half of the [...] Read more.
T cell receptor β-chain constant (TRBC) is a promising class of cancer targets consisting of two highly homologous proteins, TRBC1 and TRBC2. Developing targeted antibody therapeutics against TRBC1 or TRBC2 is expected to eradicate the malignant T cells and preserve half of the normal T cells. Recently, several antibody engineering strategies have been used to modulate the TRBC1 and TRBC2 specificity of antibodies. Here, we used molecular simulation and artificial intelligence methods to quantify the affinity difference in antibodies with various mutations for TRBC1 and TRBC2. The affinity of the existing mutants was verified by FEP calculations aided by the AI. We also performed long-time molecular dynamics simulations to reveal the dynamical antigen recognition mechanisms of the TRBC antibodies. Full article
(This article belongs to the Special Issue Antibodies: 10th Anniversary)
Show Figures

Figure 1

15 pages, 3861 KB  
Article
Multiscenario Simulation and Prediction of Land Use in Huaibei City Based on CLUE-S and PLUS Models
by Zhilin Yu, Mingsong Zhao, Yingfeng Gao, Tao Wang, Zhidong Zhao and Shihang Wang
Appl. Sci. 2023, 13(12), 7142; https://doi.org/10.3390/app13127142 - 14 Jun 2023
Cited by 22 | Viewed by 2524
Abstract
Analyzing land use changes (LUC) in both past and future scenarios is critical to optimize local ecology and formulate policies for sustainable development. We analyzed LUC characteristics in Huaibei City, China from 1985 to 2020, and used the CLUE-S and PLUS models to [...] Read more.
Analyzing land use changes (LUC) in both past and future scenarios is critical to optimize local ecology and formulate policies for sustainable development. We analyzed LUC characteristics in Huaibei City, China from 1985 to 2020, and used the CLUE-S and PLUS models to simulate LU in 2020. Then, we compared the accuracy of the simulation phase and chose the PLUS model to project LU under four scenarios in 2025. The results showed the following: (1) Farmland and grassland areas decreased from 1985 to 2020, while forestland, water, and construction land increased. (2) The LU types in the region are explained well by the driving factors, with all receiver operation characteristic (ROC) values greater than 0.8. (3) The kappa indices for CLUE-S and PLUS analog modeling were 0.727 and 0.759, respectively, with figure of merit (FOM) values of 0.109 and 0.201. (4) Under the farmland and ecological protection scenario (FEP), farmland and forestland areas are protected, increasing by 1727.91 hm2 and 86.22 hm2, respectively, while construction land decreases by 2001.96 hm2. These results confirm that PLUS is significantly better than the CLUE-S model in modeling forestland and water, and slightly better than the CLUE-S model in modeling the rest of the LU type. Urban sustainability is strong in the scenario FEP. Full article
(This article belongs to the Section Environmental Sciences)
Show Figures

Figure 1

14 pages, 3450 KB  
Article
Research on an Optimized Quarter-Wavelength Resonator-Based Triboelectric Nanogenerator for Efficient Low-Frequency Acoustic Energy Harvesting
by Xiu Xiao, Ling Liu, Ziyue Xi, Hongyong Yu, Wenxiang Li, Qunyi Wang, Cong Zhao, Yue Huang and Minyi Xu
Nanomaterials 2023, 13(10), 1676; https://doi.org/10.3390/nano13101676 - 19 May 2023
Cited by 17 | Viewed by 4186
Abstract
Sound wave is an extensively existing mechanical wave, especially in marine and industrial plants where low-frequency acoustic waves are ubiquitous. The effective collection and utilization of sound waves provide a fresh new approach to supply power for the distributed nodes of the rapidly [...] Read more.
Sound wave is an extensively existing mechanical wave, especially in marine and industrial plants where low-frequency acoustic waves are ubiquitous. The effective collection and utilization of sound waves provide a fresh new approach to supply power for the distributed nodes of the rapidly developing Internet of Things technology. In this paper, a novel acoustic triboelectric nanogenerator (QWR-TENG) was proposed for efficient low-frequency acoustic energy harvesting. QWR-TENG consisted of a quarter-wavelength resonant tube, a uniformly perforated aluminum film, an FEP membrane, and a conductive carbon nanotube coating. Simulation and experimental studies showed that QWR-TENG has two resonance peaks in the low-frequency range, which effectively extends the response bandwidth of acoustic–electrical conversion. The structural optimized QWR-TENG has excellent electrical output performance, and the maximum output voltage, short-circuit current and transferred charge are 255 V, 67 μA, and 153 nC, respectively, under the acoustic frequency of 90 Hz and sound pressure level of 100 dB. On this basis, a conical energy concentrator was introduced to the entrance of the acoustic tube, and a composite quarter-wavelength resonator-based triboelectric nanogenerator (CQWR-TENG) was designed to further enhance the electrical output. Results showed that the maximum output power and the power density per unit pressure of CQWR-TENG reached 13.47 mW and 2.27 WPa−1m−2, respectively. Application demonstrations indicated that QWR/CQWR-TENG has good capacitor charging performance and is expected to realize power supply for distributed sensor nodes and other small electrical devices. Full article
Show Figures

Figure 1

15 pages, 2367 KB  
Article
Effects of Five–Year Inorganic and Organic Fertilization on Soil Phosphorus Availability and Phosphorus Resupply for Plant P Uptake during Maize Growth
by Jingjing Zhang, Jiong Wen, Tuo Zhang, Yang Zhang, Zhi Peng, Chunchun Tang, Yanan Wang, Shiming Su, Nan Zhang and Xibai Zeng
Agriculture 2023, 13(4), 858; https://doi.org/10.3390/agriculture13040858 - 13 Apr 2023
Cited by 10 | Viewed by 3974
Abstract
A better understanding of the P dynamic resupply roles of fertilization from soil solids to solution is urgently required to optimize sustainable P fertilizer management practices for efficient supply. A five–year fertilization experiment was used to investigate the effects on soil P fractions [...] Read more.
A better understanding of the P dynamic resupply roles of fertilization from soil solids to solution is urgently required to optimize sustainable P fertilizer management practices for efficient supply. A five–year fertilization experiment was used to investigate the effects on soil P fractions and availability, the kinetic P resupply based on a novel simulation technique (Diffusive gradients in thin films (DGT) and DGT–induced fluxes in sediments and soils (DIFS) ) and to identify dominant factors during the maize season under five treatments (no fertilizer (CK), chemical fertilizer (NPK), chemical fertilizer combined with bone meal fertilizer (NPKC), crop straw (NPKS) and bioorganic fertilizer (NPKM)). The results showed that the NPKC and NPKM treatments had higher enhancement effects on Olsen–P and organic P and inorganic Ca2–P, Ca8–P, Al–P and Fe–P at maize growth stages, and they buffered pH decrease to delay the substantial Fe–P and Al–P release until a late stage. Inorganic Ca2–P, Ca8–P, Al–P and Fe–P heavily effected the Olsen–P levels. The NPKS, NPKC and NPKM treatments yielded higher CDGT–P levels and a stronger resupply capacity, reflected by higher R and CE/Csoln and smaller Tc values. The simulation and path model results revealed that the maize plant P uptake was determined by soil P resupply and an inorganic P supply pool. They were positively dominated by soil organic matter (SOM). Our results suggested that organic fertilization, especially NPKC and NPKM treatments, provided greater enhancement effects on the P supply pool and P resupply for higher plant P uptake, identifying them as highly effective P management practices for developing sustainable agriculture. Full article
(This article belongs to the Special Issue Advances in Nutrient Management in Soil-Plant System)
Show Figures

Figure 1

9 pages, 24452 KB  
Communication
Iron(II) Complexes with Porphyrin and Tetrabenzoporphyrin: CASSCF/MCQDPT2 Study of the Electronic Structures and UV–Vis Spectra by sTD-DFT
by Alexey V. Eroshin, Andrey I. Koptyaev, Arseniy A. Otlyotov, Yury Minenkov and Yuriy A. Zhabanov
Int. J. Mol. Sci. 2023, 24(8), 7070; https://doi.org/10.3390/ijms24087070 - 11 Apr 2023
Cited by 6 | Viewed by 2789
Abstract
The geometry and electronic structures of iron(II) complexes with porphyrin (FeP) and tetrabenzoporphyrin (FeTBP) in ground and low-lying excited electronic states are determined by DFT (PBE0/def2-TZVP) calculations and the complete active space self-consistent field (CASSCF) method, followed by the [...] Read more.
The geometry and electronic structures of iron(II) complexes with porphyrin (FeP) and tetrabenzoporphyrin (FeTBP) in ground and low-lying excited electronic states are determined by DFT (PBE0/def2-TZVP) calculations and the complete active space self-consistent field (CASSCF) method, followed by the multiconfigurational quasi-degenerate second-order perturbation theory (MCQDPT2) approach to determine the dynamic electron correlation. The minima on the potential energy surfaces (PESs) of the ground (3A2g) and low-lying, high-spin (5A1g) electronic states correspond to the planar structures of FeP and FeTBP with D4h symmetry. According to the results of the MCQDPT2 calculations, the wave functions of the 3A2g and 5A1g electronic states are single determinant. The electronic absorption (UV–Vis) spectra of FeP and FeTBP are simulated within the framework of the simplified time-dependent density functional theory (sTDDFT) approach with the use of the long-range corrected CAM-B3LYP function. The most intensive bands of the UV–Vis spectra of FeP and FeTBP occur in the Soret near-UV region of 370–390 nm. Full article
(This article belongs to the Special Issue Molecular Structure of Macroheterocyclic Compounds)
Show Figures

Figure 1

14 pages, 2454 KB  
Article
Three-Dimensional-QSAR and Relative Binding Affinity Estimation of Focal Adhesion Kinase Inhibitors
by Suparna Ghosh and Seung Joo Cho
Molecules 2023, 28(3), 1464; https://doi.org/10.3390/molecules28031464 - 2 Feb 2023
Cited by 6 | Viewed by 3274
Abstract
Precise binding affinity predictions are essential for structure-based drug discovery (SBDD). Focal adhesion kinase (FAK) is a member of the tyrosine kinase protein family and is overexpressed in a variety of human malignancies. Inhibition of FAK using small molecules is a promising therapeutic [...] Read more.
Precise binding affinity predictions are essential for structure-based drug discovery (SBDD). Focal adhesion kinase (FAK) is a member of the tyrosine kinase protein family and is overexpressed in a variety of human malignancies. Inhibition of FAK using small molecules is a promising therapeutic option for several types of cancer. Here, we conducted computational modeling of FAK-targeting inhibitors using three-dimensional structure–activity relationship (3D-QSAR), molecular dynamics (MD), and hybrid topology-based free energy perturbation (FEP) methods. The structure–activity relationship (SAR) studies between the physicochemical descriptors and inhibitory activities of the chemical compounds were performed with reasonable statistical accuracy using CoMFA and CoMSIA. These are two well-known 3D-QSAR methods based on the principle of supervised machine learning (ML). Essential information regarding residue-specific binding interactions was determined using MD and MM-PB/GBSA methods. Finally, physics-based relative binding free energy (ΔΔGRBFEAB) terms of analogous ligands were estimated using alchemical FEP simulation. An acceptable agreement was observed between the experimental and computed relative binding free energies. Overall, the results suggested that using ML and physics-based hybrid approaches could be useful in synergy for the rational optimization of accessible lead compounds with similar scaffolds targeting the FAK receptor. Full article
(This article belongs to the Special Issue QSAR and QSPR: Recent Developments and Applications, 3rd Edition)
Show Figures

Figure 1

17 pages, 2854 KB  
Article
SARS-CoV-2 Delta Variant: Interplay between Individual Mutations and Their Allosteric Synergy
by Kevin C. Chan, Yi Song, Zheng Xu, Chun Shang and Ruhong Zhou
Biomolecules 2022, 12(12), 1742; https://doi.org/10.3390/biom12121742 - 23 Nov 2022
Cited by 9 | Viewed by 3289
Abstract
Since its first appearance in April 2021, B.1.617.2, also termed variant Delta, catalyzed one major worldwide wave dominating the second year of coronavirus disease 2019 (COVID-19) pandemic. Despite its quick disappearance worldwide, the strong virulence caused by a few point mutations remains an [...] Read more.
Since its first appearance in April 2021, B.1.617.2, also termed variant Delta, catalyzed one major worldwide wave dominating the second year of coronavirus disease 2019 (COVID-19) pandemic. Despite its quick disappearance worldwide, the strong virulence caused by a few point mutations remains an unsolved problem largely. Along with the other two sublineages, the Delta variant harbors an accumulation of Spike protein mutations, including the previously identified L452R, E484Q, and the newly emerged T478K on its receptor binding domain (RBD). We used molecular dynamics (MD) simulations, in combination with free energy perturbation (FEP) calculations, to examine the effects of two combinative mutation sets, L452R + E484Q and L452R + T478K. Our dynamic trajectories reveal an enhancement in binding affinity between mutated RBD and the common receptor protein angiotensin converting enzyme 2 (ACE2) through a net increase in the buried molecular surface area of the binary complex. This enhanced binding, mediated through Gln493, sets the same stage for all three sublineages due to the presence of L452R mutation. The other mutation component, E484Q or T478K, was found to impact the RBD-ACE2 binding and help the variant to evade several monoclonal antibodies (mAbs) in a distinct manner. Especially for L452R + T478K, synergies between mutations are mediated through a complex residual and water interaction network and further enhance its binding to ACE2. Taking together, this study demonstrates that new variants of SARS-CoV-2 accomplish both “attack” (infection) and “defense” (antibody neutralization escape) with the same “polished sword” (mutated Spike RBD). Full article
Show Figures

Figure 1

17 pages, 6769 KB  
Article
Binding Studies and Lead Generation of Pteridin-7(8H)-one Derivatives Targeting FLT3
by Suparna Ghosh and Seung Joo Cho
Int. J. Mol. Sci. 2022, 23(14), 7696; https://doi.org/10.3390/ijms23147696 - 12 Jul 2022
Cited by 4 | Viewed by 2497
Abstract
Ligand modification by substituting chemical groups within the binding pocket is a popular strategy for kinase drug development. In this study, a series of pteridin-7(8H)-one derivatives targeting wild-type FMS-like tyrosine kinase-3 (FLT3) and its D835Y mutant (FL3D835Y) were studied [...] Read more.
Ligand modification by substituting chemical groups within the binding pocket is a popular strategy for kinase drug development. In this study, a series of pteridin-7(8H)-one derivatives targeting wild-type FMS-like tyrosine kinase-3 (FLT3) and its D835Y mutant (FL3D835Y) were studied using a combination of molecular modeling techniques, such as docking, molecular dynamics (MD), binding energy calculation, and three-dimensional quantitative structure-activity relationship (3D-QSAR) studies. We determined the protein–ligand binding affinity by employing molecular mechanics Poisson–Boltzmann/generalized Born surface area (MM-PB/GBSA), fast pulling ligand (FPL) simulation, linear interaction energy (LIE), umbrella sampling (US), and free energy perturbation (FEP) scoring functions. The structure–activity relationship (SAR) study was conducted using comparative molecular field analysis (CoMFA) and comparative molecular similarity indices analysis (CoMSIA), and the results were emphasized as a SAR scheme. In both the CoMFA and CoMSIA models, satisfactory correlation statistics were obtained between the observed and predicted inhibitory activity. The MD and SAR models were co-utilized to design several new compounds, and their inhibitory activities were anticipated using the CoMSIA model. The designed compounds with higher predicted pIC50 values than the most active compound were carried out for binding free energy evaluation to wild-type and mutant receptors using MM-PB/GBSA, LIE, and FEP methods. Full article
(This article belongs to the Special Issue QSAR and Chemoinformatics in Molecular Modeling and Drug Design 4.0)
Show Figures

Figure 1

12 pages, 1153 KB  
Article
Does Hamiltonian Replica Exchange via Lambda-Hopping Enhance the Sampling in Alchemical Free Energy Calculations?
by Piero Procacci
Molecules 2022, 27(14), 4426; https://doi.org/10.3390/molecules27144426 - 11 Jul 2022
Cited by 5 | Viewed by 2673
Abstract
In the context of computational drug design, we examine the effectiveness of the enhanced sampling techniques in state-of-the-art free energy calculations based on alchemical molecular dynamics simulations. In a paradigmatic molecule with competition between conformationally restrained E and Z isomers whose probability ratio [...] Read more.
In the context of computational drug design, we examine the effectiveness of the enhanced sampling techniques in state-of-the-art free energy calculations based on alchemical molecular dynamics simulations. In a paradigmatic molecule with competition between conformationally restrained E and Z isomers whose probability ratio is strongly affected by the coupling with the environment, we compare the so-called λ-hopping technique to the Hamiltonian replica exchange methods assessing their convergence behavior as a function of the enhanced sampling protocols (number of replicas, scaling factors, simulation times). We found that the pure λ-hopping, commonly used in solvation and binding free energy calculations via alchemical free energy perturbation techniques, is ineffective in enhancing the sampling of the isomeric states, exhibiting a pathological dependence on the initial conditions. Correct sampling can be restored in λ-hopping simulation by the addition of a “hot-zone” scaling factor to the λ-stratification (FEP+ approach), provided that the additive hot-zone scaling factors are tuned and optimized using preliminary ordinary replica-exchange simulation of the end-states. Full article
(This article belongs to the Section Computational and Theoretical Chemistry)
Show Figures

Graphical abstract

16 pages, 5824 KB  
Article
In Silico Analysis of Peptide-Based Derivatives Containing Bifunctional Warheads Engaging Prime and Non-Prime Subsites to Covalent Binding SARS-CoV-2 Main Protease (Mpro)
by Simone Brogi, Sara Rossi, Roberta Ibba, Stefania Butini, Vincenzo Calderone, Giuseppe Campiani and Sandra Gemma
Computation 2022, 10(5), 69; https://doi.org/10.3390/computation10050069 - 1 May 2022
Cited by 7 | Viewed by 4278
Abstract
Despite the progress of therapeutic approaches for treating COVID-19 infection, the interest in developing effective antiviral agents is still high, due to the possibility of the insurgence of viable SARS-CoV-2-resistant strains. Accordingly, in this article, we describe a computational protocol for identifying possible [...] Read more.
Despite the progress of therapeutic approaches for treating COVID-19 infection, the interest in developing effective antiviral agents is still high, due to the possibility of the insurgence of viable SARS-CoV-2-resistant strains. Accordingly, in this article, we describe a computational protocol for identifying possible SARS-CoV-2 Mpro covalent inhibitors. Combining several in silico techniques, we evaluated the potential of the peptide-based scaffold with different warheads as a significant alternative to nitriles and aldehyde electrophilic groups. We rationally designed four potential inhibitors containing difluorstatone and a Michael acceptor as warheads. In silico analysis, based on molecular docking, covalent docking, molecular dynamics simulation, and FEP, indicated that the conceived compounds could act as covalent inhibitors of Mpro and that the investigated warheads can be used for designing covalent inhibitors against serine or cysteine proteases such as SARS-CoV-2 Mpro. Our work enriches the knowledge on SARS-CoV-2 Mpro, providing a novel potential strategy for its inhibition, paving the way for the development of effective antivirals. Full article
(This article belongs to the Special Issue Computation to Fight SARS-CoV-2 (CoVid-19))
Show Figures

Figure 1

Back to TopTop