Sign in to use this feature.

Years

Between: -

Subjects

remove_circle_outline
remove_circle_outline
remove_circle_outline
remove_circle_outline
remove_circle_outline

Journals

Article Types

Countries / Regions

Search Results (6)

Search Parameters:
Keywords = FDE solver

Order results
Result details
Results per page
Select all
Export citation of selected articles as:
27 pages, 11648 KB  
Article
Machine-Learning-Enabled Comparative Modelling of the Creep Behaviour of Unreinforced PBT and Short-Fibre Reinforced PBT Using Prony and Fractional Derivative Models
by Eduard Klatt, Bernd Zimmering, Oliver Niggemann and Natalie Rauter
Appl. Mech. 2025, 6(3), 60; https://doi.org/10.3390/applmech6030060 - 11 Aug 2025
Viewed by 884
Abstract
This study presents an approach based on data-driven methods for determining the parameters needed to model time-dependent material behaviour. The time-dependent behaviour of the thermoplastic polymer polybutylene terephthalate is investigated. The material was examined under two conditions, one with and one without the [...] Read more.
This study presents an approach based on data-driven methods for determining the parameters needed to model time-dependent material behaviour. The time-dependent behaviour of the thermoplastic polymer polybutylene terephthalate is investigated. The material was examined under two conditions, one with and one without the inclusion of reinforcing short fibres. Two modelling approaches are proposed to represent the time-dependent response. The first approach is the generalised Maxwell model formulated through the classical exponential Prony series, and the second approach is a model based on fractional calculus. In order to quantify the comparative capabilities of both models, experimental data from tensile creep tests on fibre-reinforced polybutylene terephthalate and unreinforced polybutylene terephthalate specimens are analysed. A central contribution of this work is the implementation of a machine-learning-ready parameter identification framework that enables the automated extraction of model parameters directly from time-series data. This framework enables the robust fitting of the Prony-based model, which requires multiple characteristic times and stiffness parameters, as well as the fractional model, which achieves high accuracy with significantly fewer parameters. The fractional model benefits from a novel neural solver for fractional differential equations, which not only reduces computational complexity but also permits the interpretation of the fractional order and stiffness coefficient in terms of physical creep resistance. The methodological framework is validated through a comparative assessment of predictive performance, parameter cheapness, and interpretability of each model, thereby providing a comprehensive understanding of their applicability to long-term material behaviour modelling in polymer-based composite materials. Full article
Show Figures

Figure 1

21 pages, 507 KB  
Article
A Note on the Convergence of Multigrid Methods for the Riesz–Space Equation and an Application to Image Deblurring
by Danyal Ahmad, Marco Donatelli, Mariarosa Mazza, Stefano Serra-Capizzano and Ken Trotti
Mathematics 2024, 12(12), 1916; https://doi.org/10.3390/math12121916 - 20 Jun 2024
Cited by 1 | Viewed by 1500
Abstract
In recent decades, a remarkable amount of research has been carried out regarding fast solvers for large linear systems resulting from various discretizations of fractional differential equations (FDEs). In the current work, we focus on multigrid methods for a Riesz–Space FDE whose theoretical [...] Read more.
In recent decades, a remarkable amount of research has been carried out regarding fast solvers for large linear systems resulting from various discretizations of fractional differential equations (FDEs). In the current work, we focus on multigrid methods for a Riesz–Space FDE whose theoretical convergence analysis of such multigrid methods is currently limited in the relevant literature to the two-grid method. Here we provide a detailed theoretical convergence study in the multilevel setting. Moreover, we discuss its use combined with a band approximation and we compare the result with both τ and circulant preconditionings. The numerical tests include 2D problems as well as the extension to the case of a Riesz–FDE with variable coefficients. Finally, we investigate the use of a Riesz–Space FDE in a variational model for image deblurring, comparing the performance of specific preconditioning strategies. Full article
(This article belongs to the Special Issue Mathematical Methods for Image Processing and Understanding)
Show Figures

Figure 1

20 pages, 515 KB  
Article
Numerical Fractional Optimal Control of Respiratory Syncytial Virus Infection in Octave/MATLAB
by Silvério Rosa and Delfim F. M. Torres
Mathematics 2023, 11(6), 1511; https://doi.org/10.3390/math11061511 - 20 Mar 2023
Cited by 20 | Viewed by 3365
Abstract
In this article, we develop a simple mathematical GNU Octave/MATLAB code that is easy to modify for the simulation of mathematical models governed by fractional-order differential equations, and for the resolution of fractional-order optimal control problems through Pontryagin’s maximum principle (indirect approach to [...] Read more.
In this article, we develop a simple mathematical GNU Octave/MATLAB code that is easy to modify for the simulation of mathematical models governed by fractional-order differential equations, and for the resolution of fractional-order optimal control problems through Pontryagin’s maximum principle (indirect approach to optimal control). For this purpose, a fractional-order model for the respiratory syncytial virus (RSV) infection is considered. The model is an improvement of one first proposed by the authors in 2018. The initial value problem associated with the RSV infection fractional model is numerically solved using Garrapa’s fde12 solver and two simple methods coded here in Octave/MATLAB: the fractional forward Euler’s method and the predict-evaluate-correct-evaluate (PECE) method of Adams–Bashforth–Moulton. A fractional optimal control problem is then formulated having treatment as the control. The fractional Pontryagin maximum principle is used to characterize the fractional optimal control and the extremals of the problem are determined numerically through the implementation of the forward-backward PECE method. The implemented algorithms are available on GitHub and, at the end of the paper, in appendixes, both for the uncontrolled initial value problem as well as for the fractional optimal control problem, using the free GNU Octave computing software and assuring compatibility with MATLAB. Full article
Show Figures

Figure 1

22 pages, 675 KB  
Article
Numerical Treatment of Multi-Term Fractional Differential Equations via New Kind of Generalized Chebyshev Polynomials
by Waleed Mohamed Abd-Elhameed and Muhammad Mahmoud Alsuyuti
Fractal Fract. 2023, 7(1), 74; https://doi.org/10.3390/fractalfract7010074 - 9 Jan 2023
Cited by 27 | Viewed by 2266
Abstract
The main aim of this paper is to introduce a new class of orthogonal polynomials that generalizes the class of Chebyshev polynomials of the first kind. Some basic properties of the generalized Chebyshev polynomials and their shifted ones are established. Additionally, some new [...] Read more.
The main aim of this paper is to introduce a new class of orthogonal polynomials that generalizes the class of Chebyshev polynomials of the first kind. Some basic properties of the generalized Chebyshev polynomials and their shifted ones are established. Additionally, some new formulas concerned with these generalized polynomials are established. These generalized orthogonal polynomials are employed to treat the multi-term linear fractional differential equations (FDEs) that include some specific problems that arise in many applications. The basic idea behind the derivation of our proposed algorithm is built on utilizing a new power form representation of the shifted generalized Chebyshev polynomials along with the application of the spectral Galerkin method to transform the FDE governed by its initial conditions into a system of linear equations that can be efficiently solved via a suitable numerical solver. Some illustrative examples accompanied by comparisons with some other methods are presented to show that the presented algorithm is useful and effective. Full article
(This article belongs to the Section Mathematical Physics)
Show Figures

Figure 1

14 pages, 3020 KB  
Article
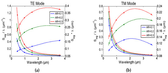
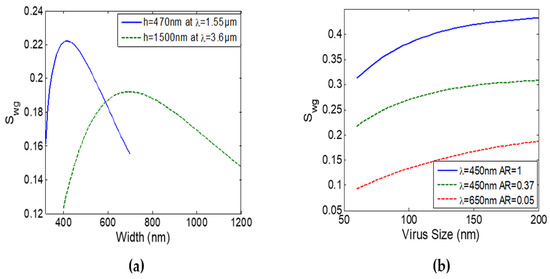
Optimization of Silicon Nitride Waveguide Platform for On-Chip Virus Detection
by Raghi S. El Shamy, Mohamed A. Swillam and Xun Li
Sensors 2022, 22(3), 1152; https://doi.org/10.3390/s22031152 - 2 Feb 2022
Cited by 15 | Viewed by 4890
Abstract
This work presents a rigorous and generic sensitivity analysis of silicon nitride on silicon dioxide strip waveguide for virus detection. In general, by functionalizing the waveguide surface with a specific antibodies layer, we make the optical sensor sensitive only to a particular virus. [...] Read more.
This work presents a rigorous and generic sensitivity analysis of silicon nitride on silicon dioxide strip waveguide for virus detection. In general, by functionalizing the waveguide surface with a specific antibodies layer, we make the optical sensor sensitive only to a particular virus. Unlike conventional virus detection methods such as polymerase chain reaction (PCR), integrated refractive index (RI) optical sensors offer cheap and mass-scale fabrication of compact devices for fast and straightforward detection with high sensitivity and selectivity. Our numerical analysis includes a wide range of wavelengths from visible to mid-infrared. We determined the strip waveguide’s single-mode dimensions and the optimum dimensions that maximize the sensitivity to the virus layer attached to its surface at each wavelength using finite difference eigenmode (FDE) solver. We also compared the strip waveguide with the widely used slot waveguide. Our theoretical study shows that silicon nitride strip waveguide working at lower wavelengths is the optimum choice for virus detection as it maximizes both the waveguide sensitivity (Swg) and the figure of merit (FOM) of the sensor. The optimized waveguides are well suited for a range of viruses with different sizes and refractive indices. Balanced Mach–Zehnder interferometer (MZI) sensors were designed using FDE solver and photonic circuit simulator at different wavelengths. The designed sensors show high FOM at λ = 450 nm ranging from 500 RIU−1 up to 1231 RIU−1 with LMZI = 500 µm. Different MZI configurations were also studied and compared. Finally, edge coupling from the fiber to the sensor was designed, showing insertion loss (IL) at λ = 450 nm of 4.1 dB for the design with FOM = 500 RIU−1. The obtained coupling efficiencies are higher than recently proposed fiber couplers. Full article
(This article belongs to the Section Optical Sensors)
Show Figures

Figure 1

11 pages, 4216 KB  
Article
Compact Gas Sensor Using Silicon-on-Insulator Loop-Terminated Mach–Zehnder Interferometer
by Raghi S. El Shamy, Mohamed A. Swillam, Mohamed M. ElRayany, Alaa Sultan and Xun Li
Photonics 2022, 9(1), 8; https://doi.org/10.3390/photonics9010008 - 27 Dec 2021
Cited by 16 | Viewed by 6020
Abstract
In this paper, we propose a compact optical gas sensor based on the widespread silicon-on-insulator (SOI) technology, operating in the near-infrared (NIR) region around the 1.55 µm wavelength. The sensor employs a loop-terminated Mach–Zehnder interferometer (LT-MZI) with a slot waveguide and a strip [...] Read more.
In this paper, we propose a compact optical gas sensor based on the widespread silicon-on-insulator (SOI) technology, operating in the near-infrared (NIR) region around the 1.55 µm wavelength. The sensor employs a loop-terminated Mach–Zehnder interferometer (LT-MZI) with a slot waveguide and a strip waveguide for the sensing arm and the reference arm, respectively. For the same arm length, the LT-MZI can achieve a detection limit two times lower than that of the conventional MZI. Different sensor components were designed, and the optimum dimensions were obtained using finite-difference eigenmode (FDE) and finite-difference time-domain (FDTD) solvers. With a sensing arm length of only 150 μm, our sensor achieves a device sensitivity of 1070 nm/RIU and a figure-of-merit (FOM) as high as 280.8 RIU−1 at the 1.55 μm wavelength. Higher values of FOM can be attained by employing a longer sensing arm. The whole sensor is subjected to air cladding; thus, there is no need for oxide deposition and a further lithography step for sensing-area patterning. The sensor is well suited for low-cost fabrication and large-scale production. Finally, the same LT-MZI device with strip and slot arms but with oxide cladding was fabricated and characterized. The measurements were in good agreement with the electromagnetic (EM) simulation results, ensuring the reliability of our proposed design. Full article
Show Figures

Figure 1

Back to TopTop