Sign in to use this feature.

Years

Between: -

Subjects

remove_circle_outline
remove_circle_outline
remove_circle_outline
remove_circle_outline
remove_circle_outline
remove_circle_outline
remove_circle_outline

Journals

Article Types

Countries / Regions

Search Results (9)

Search Parameters:
Keywords = Eulerian instruments

Order results
Result details
Results per page
Select all
Export citation of selected articles as:
23 pages, 1322 KB  
Article
Comparative Analysis of ALE Method Implementation in Time Integration Schemes for Pile Penetration Modeling
by Ihab Bendida Bourokba, Abdelmadjid Berga, Patrick Staubach and Nazihe Terfaya
Math. Comput. Appl. 2025, 30(3), 58; https://doi.org/10.3390/mca30030058 - 22 May 2025
Viewed by 819
Abstract
This study investigates the full penetration simulation of piles from the ground surface, focusing on frictional contact modeling without mesh distortion. To overcome issues related to mesh distortion and improve solution convergence, the Arbitrary Lagrangian–Eulerian (ALE) adaptive mesh technique was implemented within both [...] Read more.
This study investigates the full penetration simulation of piles from the ground surface, focusing on frictional contact modeling without mesh distortion. To overcome issues related to mesh distortion and improve solution convergence, the Arbitrary Lagrangian–Eulerian (ALE) adaptive mesh technique was implemented within both explicit and implicit time integration schemes. The numerical model was validated against field experiments conducted at Bothkennar, Scotland, using the Imperial College instrumented displacement pile (ICP) in soft clay, where the soil behavior was effectively represented using the modified Cam-Clay model and the Mohr–Coulomb model. The primary objectives of this study are to evaluate the ALE method performance in handling mesh distortion; analyze the effects of soil–pile interface friction, pile dimensions, and various dilation angles on pile resistance; and compare the effectiveness of explicit and implicit time integration schemes in terms of stability, computational efficiency, and solution accuracy. The ALE method effectively modeled pile penetration in Bothkennar clay, validating the numerical model against field experiments. Comparative analysis revealed the explicit time integration method as more robust and computationally efficient, particularly for complex soil–pile interactions with higher friction coefficients. Full article
(This article belongs to the Topic Numerical Methods for Partial Differential Equations)
Show Figures

Figure 1

19 pages, 3639 KB  
Article
Transfer Learning with Deep Neural Network Toward the Prediction of the Mass of the Charge in Underwater Explosion Events
by Jacopo Bardiani, Claudio Sbarufatti and Andrea Manes
J. Mar. Sci. Eng. 2025, 13(2), 190; https://doi.org/10.3390/jmse13020190 - 21 Jan 2025
Cited by 9 | Viewed by 1617
Abstract
In practical applications, the prediction of the explosive mass of an underwater explosion represents a crucial aspect for defining extreme scenarios and for assessing damage, implementing defensive and security strategies, and ensuring the structural integrity of marine structures. In this study, a deep [...] Read more.
In practical applications, the prediction of the explosive mass of an underwater explosion represents a crucial aspect for defining extreme scenarios and for assessing damage, implementing defensive and security strategies, and ensuring the structural integrity of marine structures. In this study, a deep neural network (DNN) was developed to predict the mass of an underwater explosive charge, by means of the transfer learning technique (TL). Both DNN and TL methods utilized data collected through coupled Eulerian–Lagrangian numerical simulations performed through the suite MSC Dytran. Different positions and masses of the charge, seabed typology, and distance between the structure and seabed have been considered within the dataset. All the features considered as input for the machine learning model are information that the crew is aware of through onboard sensors and instrumentations, making the framework extremely useful in real-world scenarios. TL involves reconfiguring and retraining a new DNN model, starting from a pre-trained network model developed in a past study by the authors, which predicted the spatial position of the explosive. This study serves as a proof of concept that using transfer learning to create a DNN model from a pre-trained network requires less computational effort compared to building and training a model from scratch, especially considering the vast amount of data typically present in real-world scenarios. Full article
(This article belongs to the Special Issue Data-Driven Methods for Marine Structures)
Show Figures

Figure 1

17 pages, 3296 KB  
Article
High-Precision Visual Servoing for the Neutron Diffractometer STRESS-SPEC at MLZ
by Martin Landesberger , Oguz Kedilioglu , Lijiu Wang , Weimin Gan , Joana Rebelo Kornmeier , Sebastian Reitelshöfer , Jörg Franke  and Michael Hofmann 
Sensors 2024, 24(9), 2703; https://doi.org/10.3390/s24092703 - 24 Apr 2024
Viewed by 1626
Abstract
With neutron diffraction, the local stress and texture of metallic components can be analyzed non-destructively. For both, highly accurate positioning of the sample is essential, requiring the measurement at the same sample location from different directions. Current sample-positioning systems in neutron diffraction instruments [...] Read more.
With neutron diffraction, the local stress and texture of metallic components can be analyzed non-destructively. For both, highly accurate positioning of the sample is essential, requiring the measurement at the same sample location from different directions. Current sample-positioning systems in neutron diffraction instruments combine XYZ tables and Eulerian cradles to enable the accurate six-degree-of-freedom (6DoF) handling of samples. However, these systems are not flexible enough. The choice of the rotation center and their range of motion are limited. Industrial six-axis robots have the necessary flexibility, but they lack the required absolute accuracy. This paper proposes a visual servoing system consisting of an industrial six-axis robot enhanced with a high-precision multi-camera tracking system. Its goal is to achieve an absolute positioning accuracy of better than 50μm. A digital twin integrates various data sources from the instrument and the sample in order to enable a fully automatic measurement procedure. This system is also highly relevant for other kinds of processes that require the accurate and flexible handling of objects and tools, e.g., robotic surgery or industrial printing on 3D surfaces. Full article
(This article belongs to the Section Sensors and Robotics)
Show Figures

Figure 1

17 pages, 1062 KB  
Article
Non-Contact Blood Pressure Estimation Using Forehead and Palm Infrared Video
by Thomas Stogiannopoulos and Nikolaos Mitianoudis
BioMedInformatics 2024, 4(1), 437-453; https://doi.org/10.3390/biomedinformatics4010025 - 7 Feb 2024
Cited by 3 | Viewed by 3293
Abstract
This study investigates the potential of low-cost infrared cameras for non-contact monitoring of blood pressure (BP) in individuals with fragile health, particularly the elderly. Previous research has shown success in developing non-contact BP monitoring using RGB cameras. In this study, the Eulerian Video [...] Read more.
This study investigates the potential of low-cost infrared cameras for non-contact monitoring of blood pressure (BP) in individuals with fragile health, particularly the elderly. Previous research has shown success in developing non-contact BP monitoring using RGB cameras. In this study, the Eulerian Video Magnification (EVM) technique is employed to enhance minor variations in skin pixel intensity in specific facial regions captured by an infrared camera from the forehead and palm. The primary focus of this study is to explore the possibility of using infrared cameras for non-contact BP monitoring under low-light or night-time conditions. We have successfully shown that by employing a series of straightforward signal processing techniques and regression analysis, we were able to achieve commendable outcomes in our experimental setup. Specifically, we were able to surpass the stringent accuracy standards set forth by the British Hypertension Society (BHS) and the Association for the Advancement of Medical Instrumentation (AAMI) protocol. Full article
(This article belongs to the Special Issue Feature Papers in Applied Biomedical Data Science)
Show Figures

Figure 1

29 pages, 13040 KB  
Article
Numerical Study on Multiple Parameters of Sinkage Simulation between the Track Plate of the Deep-Sea Mining Vehicle and the Seafloor Soil
by Pengfei Sun, Haining Lu, Jianmin Yang, Liwen Deng, Mingyue Liu and Shuang Li
J. Mar. Sci. Eng. 2022, 10(11), 1680; https://doi.org/10.3390/jmse10111680 - 7 Nov 2022
Cited by 13 | Viewed by 2853
Abstract
The seafloor soil is characterized by high water content, strong compressibility, and low shear strength. Deep-sea mining vehicles (DSMV) are prone to sinking when walking on the surface of the soil, which will cause significant reduction in traction performance. Therefore, it is necessary [...] Read more.
The seafloor soil is characterized by high water content, strong compressibility, and low shear strength. Deep-sea mining vehicles (DSMV) are prone to sinking when walking on the surface of the soil, which will cause significant reduction in traction performance. Therefore, it is necessary to study the sinkage performance. The track is usually considered the travelling mechanism of the DSMV, and the track plate is an important part of the movement system. The study of the interaction between the track plate and the soil is of great significance to the study of the DSMV’s sinkage performance. In this study, firstly, based on the in situ seafloor soil samples of 1000 m in a region of the South China Sea collected by a box sampler, the physical and mechanical parameters of soil were measured by indoor geotechnical instruments. Secondly, an elastoplastic soil numerical model similar to that of in situ soil was established. Based on coupled Eulerian-Lagrangian (CEL) method, a numerical model of the interaction between the track plate and soil was established. Considering the dynamic process, the structure of the track plate and the physical and mechanical properties of the soil, the numerical simulation were carried out under different conditions, such as different dynamic loading, the plate structural parameters and the soil physical and mechanical properties. It is found that the plate-sinkage curve were significantly influenced by these factors. The findings are as follows, firstly, with the increase in the pressure loading rate, the soil sinkage decreasing at the same pressure. On the other hand, with the increase in velocity, soil flow was accelerated, and the nonlinear relationship between resistance and velocity became more obvious; the L/B ratio of different track plates affects the variation law of the curve, and the maximum sinkage gradually decreases as the ratio of L/B increases; with the increase in the grouser height, the maximum sinkage gradually decreases, and the pressure-sinkage curve changes obviously with the grouser type; and different soil physical and mechanical properties affect the variation of pressure-sinkage curve. Innovatively, the heterogeneous soil stress distribution mode was obtained through the fitting function and Python secondary development. This study can provide a reference for studying the sinkage performance of the DSMV. Full article
(This article belongs to the Section Ocean Engineering)
Show Figures

Figure 1

15 pages, 6273 KB  
Article
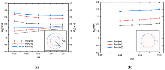
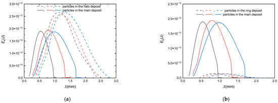
CFD-DEM Coupling Model for Deposition Process Analysis of Ultrafine Particles in a Micro Impinging Flow Field
by Yanru Wang, Zhaoqin Yin, Fubing Bao and Jiaxin Shen
Micromachines 2022, 13(7), 1110; https://doi.org/10.3390/mi13071110 - 15 Jul 2022
Cited by 4 | Viewed by 3452
Abstract
Gas with ultrafine particle impaction on a solid surface is a unique case of curvilinear motion that can be widely used for the devices of surface coatings or instruments for particle size measurement. In this work, the Eulerian–Lagrangian method was applied to calculate [...] Read more.
Gas with ultrafine particle impaction on a solid surface is a unique case of curvilinear motion that can be widely used for the devices of surface coatings or instruments for particle size measurement. In this work, the Eulerian–Lagrangian method was applied to calculate the motion of microparticles in a micro impinging flow field with consideration of the interactions between particle to particle, particle to wall, and particle to fluid. The coupling computational fluid dynamics (CFD) with the discrete element method (DEM) was employed to investigate the different deposition patterns of microparticles. The vortex structure and two types of particle deposits (“halo” and “ring”) have been discussed. The particle deposition characteristics are affected both by the flow Reynolds number (Re) and Stokes number (stk). Moreover, two particle deposition patterns have been categorized in terms of Re and stk. Finally, the characteristics and mechanism of particle deposits have been analyzed using the particle inertia, the process of impinging (particle rebound or no rebound), vortical structures, and the kinetic energy conversion in two-phase flow, etc. Full article
Show Figures

Figure 1

26 pages, 7623 KB  
Article
Lagrangian Data Assimilation for Improving Model Estimates of Velocity Fields and Residual Currents in a Tidal Estuary
by Neda Mardani, Mohammadreza Khanarmuei, Kabir Suara, Richard Brown, Adrian McCallum and Roy C. Sidle
Appl. Sci. 2021, 11(22), 11006; https://doi.org/10.3390/app112211006 - 20 Nov 2021
Cited by 2 | Viewed by 2303
Abstract
Numerical models are associated with uncertainties that can be reduced through data assimilation (DA). Lower costs have driven a recent tendency to use Lagrangian instruments such as drifters and floats to obtain information about water bodies. However, difficulties emerge in their assimilation, since [...] Read more.
Numerical models are associated with uncertainties that can be reduced through data assimilation (DA). Lower costs have driven a recent tendency to use Lagrangian instruments such as drifters and floats to obtain information about water bodies. However, difficulties emerge in their assimilation, since Lagrangian data are set out in a moving frame of reference and are not compatible with the fixed grid locations used in models to predict flow variables. We applied a pseudo-Lagrangian approach using OpenDA, an open-source DA tool to assimilate Lagrangian drifter data into an estuarine hydrodynamic model. Despite inherent challenges with using drifter datasets, the work showed that low-cost, low-resolution drifters can provide a relatively higher improvement over the Eulerian dataset due to the larger area coverage of the drifter. We showed that the assimilation of Lagrangian data obtained from GPS-tracked drifters in a tidal channel for a few hours can significantly improve modelled velocity fields (up to 30% herein). A 40% improvement in residual current direction was obtained when assimilating both Lagrangian and Eulerian data. We conclude that the best results are achieved when both Lagrangian and Eulerian datasets are assimilated into the hydrodynamic model. Full article
(This article belongs to the Special Issue Maritime Hydraulics: Analysis and Modeling)
Show Figures

Figure 1

16 pages, 8848 KB  
Article
Design and Testing of Inertial System for Landslide Displacement Distribution Measurement
by Yongquan Zhang, Huiming Tang, Guiying Lu, Yuansheng Wang, Changdong Li, Junrong Zhang, Pengju An and Peiwu Shen
Sensors 2020, 20(24), 7154; https://doi.org/10.3390/s20247154 - 14 Dec 2020
Cited by 9 | Viewed by 3221
Abstract
Landslide displacement monitoring plays a fundamental role in the study of landslide evolution mechanisms, forecasting, risk assessment, prevention, and control. To fill the deficiencies of traditional instrumentation for measuring landslide displacement distributed along lateral direction, a landslide displacement measurement method based on deformation-coupled [...] Read more.
Landslide displacement monitoring plays a fundamental role in the study of landslide evolution mechanisms, forecasting, risk assessment, prevention, and control. To fill the deficiencies of traditional instrumentation for measuring landslide displacement distributed along lateral direction, a landslide displacement measurement method based on deformation-coupled pipeline trajectory measurement is proposed, and a pipeline trajectory inertial measurement instrument is developed. The developed instrument, primarily comprised of a single shaft gyro, two axis accelerometers, and an external roller encoder, is designed as an axial half strapdown-radial half platform structure combined with a mechanical gravity platform. This structure avoids the singularity of pitch angle and roll angle and can expediently calculate a pipeline trajectory with an Eulerian transformation when obtaining several basic physical variables, e.g., the axial linear velocity, pitch angle, roll angle, and azimuth angle. Additionally, the pipeline trajectory, measured at different times, possesses the ability to reflect the displacement evolution feature of landslides. The results of prototype simulation tests imply a single measurement accuracy of a 12 cm/100 m span and a singly periodic multiple (more than five times) measurement accuracy of a 3 cm/100 m span, which meets medium-precision displacement measurement requirements for a landslide. Additionally, the finished instrument has been successfully applied to the deformation monitoring of the Majiagou I# landslide, which further verifies its feasibility and offers a reference for similar landslides. Full article
(This article belongs to the Section Remote Sensors)
Show Figures

Figure 1

20 pages, 4541 KB  
Article
Improving the Accuracy of Hydrodynamic Model Predictions Using Lagrangian Calibration
by Neda Mardani, Kabir Suara, Helen Fairweather, Richard Brown, Adrian McCallum and Roy C. Sidle
Water 2020, 12(2), 575; https://doi.org/10.3390/w12020575 - 20 Feb 2020
Cited by 26 | Viewed by 5072
Abstract
While significant studies have been conducted in Intermittently Closed and Open Lakes and Lagoons (ICOLLs), very few have employed Lagrangian drifters. With recent attention on the use of GPS-tracked Lagrangian drifters to study the hydrodynamics of estuaries, there is a need to assess [...] Read more.
While significant studies have been conducted in Intermittently Closed and Open Lakes and Lagoons (ICOLLs), very few have employed Lagrangian drifters. With recent attention on the use of GPS-tracked Lagrangian drifters to study the hydrodynamics of estuaries, there is a need to assess the potential for calibrating models using Lagrangian drifter data. Here, we calibrated and validated a hydrodynamic model in Currimundi Lake, Australia using both Eulerian and Lagrangian velocity field measurements in an open entrance condition. The results showed that there was a higher level of correlation (R2 = 0.94) between model output and observed velocity data for the Eulerian calibration compared to that of Lagrangian calibration (R2 = 0.56). This lack of correlation between model and Lagrangian data is a result of apparent difficulties in the use of Lagrangian data in Eulerian (fixed-mesh) hydrodynamic models. Furthermore, Eulerian and Lagrangian devices systematically observe different spatio-temporal scales in the flow with larger variability in the Lagrangian data. Despite these, the results show that Lagrangian calibration resulted in optimum Manning coefficients (n = 0.023) equivalent to those observed through Eulerian calibration. Therefore, Lagrangian data has the potential to be used in hydrodynamic model calibration in such aquatic systems. Full article
Show Figures

Figure 1

Back to TopTop