Sign in to use this feature.

Years

Between: -

Subjects

remove_circle_outline
remove_circle_outline
remove_circle_outline
remove_circle_outline
remove_circle_outline

Journals

Article Types

Countries / Regions

Search Results (28)

Search Parameters:
Keywords = EE-GRSP

Order results
Result details
Results per page
Select all
Export citation of selected articles as:
15 pages, 2577 KB  
Article
Rapeseed Green Manure Coupled with Biochar and Vermicompost Enhances Soil Aggregates and Fungal Communities in Gleyed Paddy Fields
by Zhenhao Zhu, Shihong Gao, Yuhao Zhang, Guohan Si, Xiangyu Xu, Chenglin Peng, Shujun Zhao, Wei Liu, Qiang Zhu and Mingjian Geng
Agronomy 2025, 15(7), 1510; https://doi.org/10.3390/agronomy15071510 - 21 Jun 2025
Viewed by 601
Abstract
The gleyed paddy soils in subtropical China, characterized by poor structure, high reductive substances, and low fertility, pose challenges to sustainable agriculture. This study investigates the improvement effects of applying rapeseed green manure in combination with biochar or vermicompost through field experiments, aiming [...] Read more.
The gleyed paddy soils in subtropical China, characterized by poor structure, high reductive substances, and low fertility, pose challenges to sustainable agriculture. This study investigates the improvement effects of applying rapeseed green manure in combination with biochar or vermicompost through field experiments, aiming to provide a theoretical basis for the organic improvement of gleyed paddy soils. The experiment included four treatments: control (CK), rapeseed green manure (GM), GM + biochar (GMB), and GM + vermicompost (GMVC). Soil physicochemical properties, aggregate stability, and fungal communities were analyzed after rice harvest. GM significantly increased the total nitrogen (TN) content in the 0–10 cm soil layer and decreased the Fe2+ and total glomalin-related soil protein (T-GRSP) contents. GMVC further increased the pH value, available potassium (AK) content, and Shannon index in the 0–10 cm soil layer, decreased the available phosphorus (AP) content, and increased the proportion of macro-aggregates (>2000 µm) and decreased the fractal dimension (D) in the 10–20 cm soil layer. Compared with GMVC, GMB more significantly increased the soil organic carbon content and regulated the ratio of EE-GRSP/T-GRSP in the 0–10 cm soil layer. Fungal community analysis showed Ascomycota dominance. Pearson analysis showed Westerdykella enrichment significantly correlated with reduced T-GRSP. Monte Carlo tests identified pH and SOC as key factors shaping fungal communities. The GMB strategy mitigates reductive stress, enhances nutrient availability, and activates microbial functionality. These findings offer insights and frameworks for sustainable soil management in subtropical rice agroecosystems. Full article
Show Figures

Figure 1

22 pages, 3526 KB  
Article
Indirect Regulation of SOC by Different Land Uses in Karst Areas Through the Modulation of Soil Microbiomes and Aggregate Stability
by Haiyuan Shu, Xiaoling Liang, Lei Hou, Meiting Li, Long Zhang, Wei Zhang and Yali Song
Agriculture 2025, 15(11), 1220; https://doi.org/10.3390/agriculture15111220 - 3 Jun 2025
Viewed by 680
Abstract
Natural restoration of vegetation and plantation are effective land use measures to promote soil organic carbon (SOC) sequestration. How soil physicochemical properties, microorganisms, Glomalin-related soil proteins (GRSPs), and aggregates interact to regulate SOC accumulation and sequestration remains unclear. This study examined five land [...] Read more.
Natural restoration of vegetation and plantation are effective land use measures to promote soil organic carbon (SOC) sequestration. How soil physicochemical properties, microorganisms, Glomalin-related soil proteins (GRSPs), and aggregates interact to regulate SOC accumulation and sequestration remains unclear. This study examined five land uses in the karst region of Southwest China: corn field (CF), corn intercropped with cabbage fields (CICF), orchard (OR), plantation (PL), and natural restoration of vegetation (NRV). The results revealed that SOC, total nitrogen (TN), total phosphorus (TP), total GRSP (T-GRSP), and easily extractable GRSP (EE-GRSP) contents were significantly higher under NRV and PL than in the CF, CICF, and OR, with increases ranging from 10.69% to 266.72%. Land use significantly influenced bacterial α-diversity, though fungal α-diversity remained unaffected. The stability of soil aggregates among the five land uses followed the order: PL > NRV > CF > OR > CICF. Partial least-squares path modeling (PLS-PM) identified land use as the most critical factor influencing SOC. SOC accumulation and stability were enhanced through improved soil properties, increased microbial diversity, and greater community abundance, promoting GRSP secretion and strengthening soil aggregate stability. In particular, soil microorganisms adhere to the aggregates of soil particles through the entanglement of fine roots and microbial hyphae and their secretions (GRSPs, etc.) to maintain the stability of the aggregates, thus protecting SOC from decomposition. Natural restoration of vegetation and plantation proved more effective for soil carbon sequestration in the karst region of Southwest China compared to sloping cropland and orchards. Full article
(This article belongs to the Section Agricultural Soils)
Show Figures

Graphical abstract

20 pages, 3104 KB  
Article
Glomalin-Related Soil Proteins as Indicator of Soil Quality in Pig-Fertigated and Rainfed Systems
by Josiquele G. Miranda, Eduardo G. Couto, Oscarlina L. S. Weber, Gilmar N. Torres, James M. Moura, Ricardo T. Tanaka and Marcos A. Soares
Agronomy 2025, 15(6), 1332; https://doi.org/10.3390/agronomy15061332 - 29 May 2025
Viewed by 809
Abstract
Pig slurry fertigation can modify soil biochemical properties by promoting glomalin production and shifting microbial communities; however, its impacts under varying water regimes remain insufficiently quantified. We assessed irrigated and rainfed systems by integrating the soil quality index (SQI) with total and easily [...] Read more.
Pig slurry fertigation can modify soil biochemical properties by promoting glomalin production and shifting microbial communities; however, its impacts under varying water regimes remain insufficiently quantified. We assessed irrigated and rainfed systems by integrating the soil quality index (SQI) with total and easily extractable glomalin (T-GRSP, EE-GRSP), determining microbial diversity via eDNA amplicon sequencing, and evaluating enzyme activities across three soil depths (0–10, 10–20, and 20–30 cm). Robust regression revealed that T-GRSP and EE-GRSP accounted for 75% of the SQI variability in irrigated soils and 46% in rainfed soils (p < 0.001), with the strongest correlations in the 0–10 cm layer. Irrigation increased T-GRSP concentrations by 66% (1.78 vs. 1.07 mg g−1) and raised its contribution to total soil carbon from 2.0% to 3.2%. The EE-GRSP levels were slightly lower in the irrigated soils (0.73 vs. 0.76 mg g−1) yet remained a sensitive early-warning indicator of moisture stress in rainfed plots. Microbial profiling showed a 19% increase in Shannon bacterial diversity (3.44 vs. 2.89), even more bacterial communities under irrigation, intermediate fungal diversity, higher fungal abundance, and no detectable arbuscular mycorrhizal fungi in either system. Combining GRSP fractions with microbial and enzymatic markers provides a responsive framework for assessing soil health and guiding organic amendment strategies in fertigation-based agriculture under fluctuating water availability. Full article
(This article belongs to the Section Water Use and Irrigation)
Show Figures

Graphical abstract

20 pages, 3141 KB  
Article
Post-Fire Recovery of Soil Multiple Properties, Plant Diversity, and Community Structure of Boreal Forests in China
by Xiting Zhang, Danqi She, Kai Wang, Yang Yang, Xia Hu, Peng Feng, Xiufeng Yan, Vladimir Gavrikov, Huimei Wang, Shijie Han and Wenjie Wang
Forests 2025, 16(5), 806; https://doi.org/10.3390/f16050806 - 12 May 2025
Cited by 1 | Viewed by 723
Abstract
Fire is important in boreal forest ecosystems, but comprehensive recovery analysis is lacking for soil nutrients and plant traits in China boreal forests, where the strict “extinguish at sight” fire prevention policy has been implemented. Based on over 50 years of forest fire [...] Read more.
Fire is important in boreal forest ecosystems, but comprehensive recovery analysis is lacking for soil nutrients and plant traits in China boreal forests, where the strict “extinguish at sight” fire prevention policy has been implemented. Based on over 50 years of forest fire recordings in the Daxing’anling Mts, 48 pairs of burnt and unburnt controls (1066 plots) were selected for 0–20 cm soil sampling and plant surveys. We recorded 18 plant parameters of the abundance of each tree, shrub, grass, and plant size (height, diameter, and coverage), 7 geo-topographic data parameters, and 2 fire traits (recovery year and burnt area). We measured eight soil properties (soil organic carbon, SOC; total nitrogen, TN; total phosphorus, TP; alkali-hydrolyzed P, AP; organic P, Po; inorganic P, Pi; total glomalin-related soil protein, T-GRSP; easily-extracted GRSP, EE-GRSP). Paired T-tests revealed that the most significant impact of the fire was a 25%–48% reduction in tree sizes, followed by decline in the plant diversity of arbors and shrubs but increasing plant diversity in herbs. GRSP showed an >18% increase and Po decreased by 17% (p < 0.05). Redundancy ordination showed that the post-fire recovery years and burnt area were the most potent explainer for the variations (p < 0.05), strongly interacting with latitudes and longitudes. Plant richness and tree size were directly affected by fire traits, while the burnt area and recovery times indirectly increased the GRSP via plant richness. A fire/control ratio chronosequence found that forest community traits (tree size and diversity) and soil nutrients could be recovered to the control level after ca. 30 years. This was relatively shorter than in reports on other boreal forests. The possible reasons are the low forest quality from overharvesting in history and the low fire severity from China’s fire prevention policy. This policy reduced the human mistake-related fire incidence to <10% in the 2010s in the studied region. Chinese forest fire incidences were 3% that of the USA. The burnt area/fire averaged 5 hm2 (while the USA averaged 46 hm2, Russia averaged 380 hm2, and Canada averaged 527 hm2). Overharvesting resulted in the forest height declining at a rate of >10 cm/year. Our finding supports forest management and the evaluation of forest succession after wildfires from a holistic view of plant–soil interactions. Full article
(This article belongs to the Section Forest Biodiversity)
Show Figures

Figure 1

17 pages, 655 KB  
Article
Soil Organic Matter Quality and Glomalin-Related Soil Protein Content in Cambisol
by Jiří Balík, Pavel Suran, Jindřich Černý, Ondřej Sedlář, Martin Kulhánek and Simona Procházková
Agronomy 2025, 15(3), 745; https://doi.org/10.3390/agronomy15030745 - 19 Mar 2025
Cited by 2 | Viewed by 1311
Abstract
The influence of different mineral and organic fertiliser applications on the soil organic matter (SOM) content and quality was monitored in long-term field trials. We used long-term field experiments (27 years) with a crop rotation of potatoes, winter wheat, and spring barley on [...] Read more.
The influence of different mineral and organic fertiliser applications on the soil organic matter (SOM) content and quality was monitored in long-term field trials. We used long-term field experiments (27 years) with a crop rotation of potatoes, winter wheat, and spring barley on cambisol soil. The treatments were as follows: an unfertilised control (Cont), sewage sludge in normal and triple doses (SS1 and SS3, respectively), farmyard manure (F1) in a conventional dose, a half dose of farmyard manure with a half dose of mineral nitrogen (F1/2 + N1/2), straw with mineral nitrogen fertiliser (N + St), and mineral nitrogen without any organic fertiliser (N). This study focused on the ability of the total and easily extractable glomalin-related soil protein (T-GRSP and EE-GRSP, respectively) and the water stability of aggregates (WSA) as indicators of long-term SOM quality changes. The results were compared with the content of humic substance fractions and the carbon in humic substances (CHS), humic acids (CHA), and fulvic acids (CFA). The lowest SOM content and quality were observed in the control treatment. The highest overall SOM quality, including the degree of polymerisation (HA) and the GRSP content, was found in the F1 treatment. The organic matter in sewage sludge contributed less to the formation of stable SOM than straw. A significant correlation was found between both the EE-GRSP and the T-GRSP and the content of the CSOM, CHS, CHA, and HA, but not with the CFA. The influence of fertiliser on the GRSP content was demonstrated. However, no relationship was observed between the WSA and SOM quality, the EE-GRSP, or the T-GRSP content. Full article
(This article belongs to the Section Soil and Plant Nutrition)
Show Figures

Figure 1

19 pages, 2198 KB  
Article
Açaí Waste Biochar Combined with Phosphorus Fertiliser and Phosphorus Use Efficiency in Cowpea (Vigna unguiculata (L.) Walp)
by Ana Rita de Oliveira Braga, Vinicius John, Criscian Kellen Amaro de Oliveira Danielli, Heiriane Martins Sousa, Filipe Eduardo Danielli, Cláudia Saramago de Carvalho Marques-dos-Santos, Danielle Monteiro de Oliveira and Newton Paulo de Souza Falcão
Agronomy 2025, 15(2), 393; https://doi.org/10.3390/agronomy15020393 - 31 Jan 2025
Cited by 1 | Viewed by 1520
Abstract
Biochar is a multifunctional tool that enhances soil quality, with particularly positive effects on acidic soils with low nutrient content, common in tropical regions worldwide, such as in the Amazon region in Brazil. This study investigates the effects of açaí fruit waste biochar [...] Read more.
Biochar is a multifunctional tool that enhances soil quality, with particularly positive effects on acidic soils with low nutrient content, common in tropical regions worldwide, such as in the Amazon region in Brazil. This study investigates the effects of açaí fruit waste biochar (Euterpe oleracea Mart.) amendment and phosphate fertilisation on the chemical characteristics of a Ferralsol and on the biological components of cowpea (Vigna unguiculata (L.) Walp). In a greenhouse setting, a randomised block design was employed, testing five doses of biochar (0, 7.5, 15, 30, and 60 t ha−1) combined with four doses of phosphorus (P) (0, 40, 80, and 120 kg ha−1), resulting in 20 treatments with three replicates and 60 experimental units. Cowpea responded to inorganic fertilisation, with lower doses of P limiting the biological components (height, leaves, leaf area, dry biomass, and dry root mass). Higher doses of biochar and P increased the soil’s available P content by up to 2.3 times, reflected in the P content of cowpea dry biomass. However, this increase in biochar and P levels led to a maximum increase of 7.7% in agronomic phosphorus efficiency (APE) in cowpea in the short term. The higher doses of biochar promoted increases in pH value, cation exchange capacity (CEC), and the contents of potassium (K), calcium (Ca), and total nitrogen (N). In contrast, a decrease in magnesium (Mg) and aluminium (Al) levels was observed, while the concentration of easily extractable glomalin (EE-GRSP) was not significantly affected during the evaluated period. We conclude that biochar altered the soil environment, promoting the increased solubility and availability of phosphorus. Full article
(This article belongs to the Section Soil and Plant Nutrition)
Show Figures

Figure 1

19 pages, 4092 KB  
Article
Effect of Integrated Crop–Livestock Systems on Soil Properties and Microbial Diversity in Soybean Production
by Namita Sinha, Brett R. Rushing, Aniruddha Acharya and Shankar Ganapathi Shanmugam
Appl. Biosci. 2024, 3(4), 484-502; https://doi.org/10.3390/applbiosci3040031 - 8 Nov 2024
Cited by 2 | Viewed by 1517
Abstract
Integrated crop and livestock systems (ICLSs) have been considered an important management-based decision to improve soil health by carbon sequestration. A two-year study (2019–2021) at CPBES in Newton, MS, was conducted to evaluate the effect of an ICLS on soil microbial diversity in [...] Read more.
Integrated crop and livestock systems (ICLSs) have been considered an important management-based decision to improve soil health by carbon sequestration. A two-year study (2019–2021) at CPBES in Newton, MS, was conducted to evaluate the effect of an ICLS on soil microbial diversity in the southeastern region of the USA, representing agroclimatic conditions that are warm and humid. Amplicons targeting bacterial 16S rRNA genes and fungal ITS2 regions were sequenced. Taxonomic assignment and characterization of microbial diversity were performed using QIIME2®. Soil fungal diversity pattern showed significant difference (alpha diversity, p = 0.031 in 2020 and beta diversity, p = 0.037 in 2021). In contrast, no significant differences were observed in bacterial diversity. However, there were several beneficial bacterial phyla, such as Proteobacteria and Actinobacteria, and fungal phyla such as Ascomycota, which were dominant in both years and did not show significant differences due to cover crop treatments. Canonical Correspondence Analysis (CCA) and Mantel test showed significant influence on fungal diversity due to carbon (rm = 0.2581, p = 0.022), nitrogen (rm = 0.2921, p = 0.0165), and electrical conductivity (rm = 0.1836, p = 0.0583) in 2021, and on bacterial diversity due to EE-GRSP (rm = 0.22, p = 0.02) in 2020. However, the results showed that there were no significant differences between the cover crop treatments that were consistent over a two-year study period. However, the mix of different cover crops such as oats (Avena sativa L.), crimson clover (Trifolium incarnatum L.), and tillage radish (Raphanus sativus L.) demonstrated higher positive correlation and lower negative correlation with different bacterial and fungal phyla. Long term study of ICLS is suggested to understand the shift in microbiome that would help in understanding the role of cover crops and grazing in improving crop production sustainably. Full article
(This article belongs to the Special Issue Feature Papers in Applied Biosciences 2024)
Show Figures

Figure 1

15 pages, 3992 KB  
Article
Glomalin-Related Soil Protein Plays Different Roles in Soil Organic Carbon Pool Maintaining among Different Grassland Types
by Meiniu Yang, Lianlian Fan, Xuexi Ma, Yuanye Liang, Jiefei Mao, Jiangyue Li and Yaoming Li
Agronomy 2024, 14(8), 1823; https://doi.org/10.3390/agronomy14081823 - 18 Aug 2024
Cited by 7 | Viewed by 2001
Abstract
Glomalin-related soil protein (GRSP) is an important component of soil organic carbon (SOC), which can promote long-term SOC sequestration. However, GRSP distribution characteristics and its contribution to the SOC pool among different grassland types remain poorly understood. Therefore, six grassland types (alpine meadow, [...] Read more.
Glomalin-related soil protein (GRSP) is an important component of soil organic carbon (SOC), which can promote long-term SOC sequestration. However, GRSP distribution characteristics and its contribution to the SOC pool among different grassland types remain poorly understood. Therefore, six grassland types (alpine meadow, mountain meadow, temperate meadow steppe, temperate steppe, temperate desert steppe, and temperate desert) were chosen to evaluate the contribution of GRSP to the SOC pool and the factors that influence GRSP accumulation in the Irtysh River Basin in China. The results revealed that GRSP (EE-GRSP, T-GRSP) accumulated more in the 0–10 cm soil layer than in the 10–20 cm soil layer (p < 0.05). GRSP content was higher in alpine grasslands (15.69 mg·g−1) than in desert grasslands (5.45 mg·g−1). However, their contribution to the SOC pool exhibited an opposite trend, whereas GRSP-C/SOC even accounted for 11.88% in the desert grasslands. The redundancy analysis (RDA) showed that SOC was the top important positive regulator for GRSP accumulation both in the two layers (explanatory rate > 80%). Besides the SOC factor, the two soil layers had different factors in regulating GRSP accumulation. Changes in GRSP content in the 0–10 cm soil layer were more strongly associated with mean annual temperature (MAT), sand content, soil water content (SWC), and silt content. In contrast, in the 10–20 cm soil layer, GRSP content was more influenced by SWC, electrical conductivity (EC), and pH (p < 0.05). Additionally, the main factor in the GRSP content variation was the interaction between climate and soil in the two soil layers (explanatory rate > 80%). Our findings underscore the critical role of GRSP in facilitating SOC sequestration within desert grasslands and elucidate the primary factors driving GRSP distribution across varying soil depths. Full article
(This article belongs to the Section Soil and Plant Nutrition)
Show Figures

Figure 1

16 pages, 2400 KB  
Article
Impact of Silver Nanoparticles on Arbuscular Mycorrhizal Fungi and Glomalin-Related Soil Proteins in the Rhizosphere of Maize Seedlings
by Haiying Zhao, Zhiyuan Liu, Yu Han and Jiling Cao
Diversity 2024, 16(5), 273; https://doi.org/10.3390/d16050273 - 2 May 2024
Cited by 4 | Viewed by 1932
Abstract
Glomalin-related soil protein (GRSP), an important arbuscular mycorrhizal (AM) fungal by-product, plays a key role in preserving or sequestrating soil organic carbon (C). Silver nanoparticles (AgNPs) have become an emerging contaminant and their impacts on soil ecosystems attract increasing concerns. The dynamics of [...] Read more.
Glomalin-related soil protein (GRSP), an important arbuscular mycorrhizal (AM) fungal by-product, plays a key role in preserving or sequestrating soil organic carbon (C). Silver nanoparticles (AgNPs) have become an emerging contaminant and their impacts on soil ecosystems attract increasing concerns. The dynamics of AM fungi and GRSP could therefore form the basis for an in-depth exploration of the influences of AgNPs on soil ecosystems. This study investigated the effects of AgNPs on mycorrhizal growth and AM fungal communities, as well as the GRSP contents in maize (Zea mays L.) soils, with a pot experiment. The contributions of GRSP to soil organic C and the correlations of GRSP with soil organic C were also evaluated. The results indicated that AgNPs decreased the mycorrhizal colonization, AM fungal biomass, and diversity indices, and strongly shifted the community composition of AM fungi with a reduction in Acaulosporaceae and an enrichment in Glomeraceae. Additionally, AgNPs also decreased the soil’s easily extractable (EE) GRSP and total (T) GRSP contents, resulting in lower contributions of EE-GRSP-C and T-GRSP-C to the soil organic C. Linkage analyses revealed that AM fungal abundances have positive correlations with EE- and T-GRSP, and EE- and T-GRSP also positively correlated with soil organic C, indicating that the negative effects of AgNPs on AM fungal abundances and communities were extended to AM-fungal-associated C processes. Altogether, our study found that AgNPs decreased the AM fungal abundances shaped AM fungal communities, and reduced the soil GRSP content, which might subsequently be unfavorable for soil C storage. Full article
Show Figures

Figure 1

16 pages, 1474 KB  
Article
Exogenous Easily Extractable Glomalin-Related Soil Protein Induces Differential Response in Plant Growth of Tea Plants via Regulating Water Channel Protein Expression
by Xiao-Long Wu, Yong Hao, Feng-Jun Dai, Xin Chen and Chun-Yan Liu
Agronomy 2023, 13(11), 2797; https://doi.org/10.3390/agronomy13112797 - 12 Nov 2023
Cited by 1 | Viewed by 1613
Abstract
Glomalin, a glycoprotein secreted by arbuscular mycorrhizal fungi (AMFs), exhibits multiple beneficial functions in regard to plant growth. However, the roles and regulatory mechanisms of exogenous easily extractable glomalin-related soil protein (EE-GRSP) in water and their effects on the quality of tea plants [...] Read more.
Glomalin, a glycoprotein secreted by arbuscular mycorrhizal fungi (AMFs), exhibits multiple beneficial functions in regard to plant growth. However, the roles and regulatory mechanisms of exogenous easily extractable glomalin-related soil protein (EE-GRSP) in water and their effects on the quality of tea plants (Camellia sinensis (L.) O. Ktze.) remain unclear. The present study aimed to investigate the effects of a quarter-strength exogenous EE-GRSP solution (1/4 EE-GRSP), half-strength exogenous EE-GRSP solution (1/2 EE-GRSP), three-quarter-strength exogenous EE-GRSP solution (3/4 EE-GRSP), and full-strength exogenous EE-GRSP solution (full EE-GRSP) on plant growth, the root system architecture, leaf water status, and the tea quality of tea seedlings, along with examining the changes in the relative expression of water channel proteins (AQPs) in tea plants. The results indicated that exogenous EE-GRSP of different strengths had different effects on both the growth performance (height, leaf numbers, and biomass) and root architecture parameters of tea seedlings, and the best positive effects on plant growth and the root architecture appeared under the three-quarter-strength exogenous EE-GRSP treatment. Similarly, the exogenous EE-GRSP application also differently affected tea quality indicators, in which only the quarter- and half-strength exogenous EE-GRSP solutions significantly increased most of the indicators, including carbohydrates, tea polyphenols, total amino acids, catechins, and flavonoids. Moreover, the half- and three-quarter-strength exogenous EE-GRSP treatments significantly increased the leaf relative water content (LRWC), but all of the exogenous EE-GRSP treatments significantly decreased the leaf water potential (LWP). Furthermore, the expression of AQP genes in the root system of tea plants was related to the strength of the exogenous EE-GRSP treatments, and different genes were significantly up-regulated or down-regulated under the treatment of exogenous EE-GRSP at different strengths. Moreover, the correlation analysis showed that most of the relative expression of AQPs was significantly and positively correlated with tea plant growth, the root architecture, and the leaf relative water content, but negatively correlated with tea quality indicators; however, the expression of CsNIPs and CsSIPs was markedly and negatively correlated with plant growth performance. Therefore, we speculated that the application of exogenous EE-GRSP could facilitate plant growth and improve the quality indirectly by regulating the expression of root AQPs, thus ameliorating the water uptake and nutrient accumulation in tea plants. Full article
Show Figures

Figure 1

12 pages, 2010 KB  
Article
Exogenous Easily Extractable Glomalin-Related Soil Protein Stimulates Plant Growth by Regulating Tonoplast Intrinsic Protein Expression in Lemon
by Xiao-Niu Guo, Yong Hao, Xiao-Long Wu, Xin Chen and Chun-Yan Liu
Plants 2023, 12(16), 2955; https://doi.org/10.3390/plants12162955 - 15 Aug 2023
Cited by 7 | Viewed by 1815
Abstract
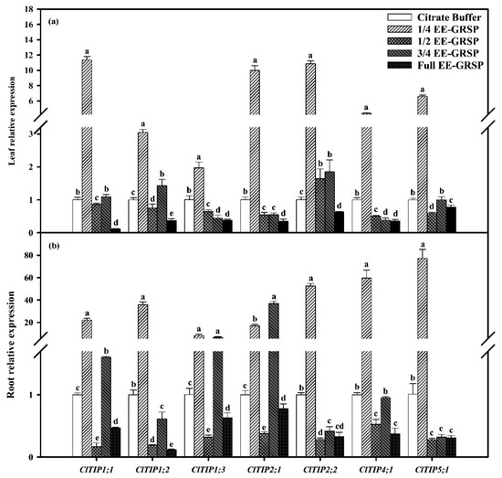
Arbuscular mycorrhizal fungi (AMF) have the function of promoting water absorption for the host plant, whereas the role of easily extractable glomalin-related soil protein (GRSP), an N-linked glycoprotein secreted by AMF hyphae and spores, is unexplored for citrus plants. In this study, the [...] Read more.
Arbuscular mycorrhizal fungi (AMF) have the function of promoting water absorption for the host plant, whereas the role of easily extractable glomalin-related soil protein (GRSP), an N-linked glycoprotein secreted by AMF hyphae and spores, is unexplored for citrus plants. In this study, the effects on plant growth performance, root system characteristics, and leaf water status, along with the changes of mineral element content and relative expressions of tonoplast intrinsic protein (TIP) genes in lemon (Citrus limon L.) seedlings, were investigated under varying strengths of exogenous EE-GRSP application under potted conditions. The results showed that 1/2, 3/4, and full-strength exogenous EE-GRSP significantly promoted plant growth performance, as well as increased the biomass and root system architecture traits including root surface area, volume, taproot length, and lateral root numbers of lemon seedlings. The four different strengths of exogenous GRSP displayed differential effects on mineral element content: notably increased the content of phosphorus (P) and iron (Fe) in both leaves and roots, as well as magnesium (Mg) and zinc (Zn) content in the roots, but dramatically decreased the content of calcium (Ca) and manganese (Mn) in the roots, as well as Zn and Mn in the leaves. Exogenous EE-GRSP improved leaf water status, manifesting as decreases in leaf water potential, which was associated with the upregulated expressions of tonoplast intrinsic proteins (TIPs), including ClTIP1;1, ClTIP1;2, ClTIP1;3, ClTIP2;1, ClTIP2;2, ClTIP4;1, and ClTIP5;1 both in leaves and roots, and TIPs expressions exhibited diverse responses to EE-GRSP application. It was concluded that exogenous EE-GRSP exhibited differential responses on plant growth performance, which was related to its strength, and the effects were associated with nutrient concentration and root morphology, especially in the improvement in water status related to TIPs expressions. Therefore, EE-GRSP can be used as a biological promoter in plant cultivation, especially in citrus. Full article
(This article belongs to the Section Plant Nutrition)
Show Figures

Figure 1

15 pages, 2992 KB  
Article
Effects of Glomalin-Related Soil Protein Driven by Root on Forest Soil Aggregate Stability and Carbon Sequestration during Urbanization in Nanchang, China
by Changyongming Cai, Fei Huang, Yaying Yang, Suqin Yu, Sujia Wang, Yulu Fan, Qiong Wang and Wei Liu
Plants 2023, 12(9), 1847; https://doi.org/10.3390/plants12091847 - 30 Apr 2023
Cited by 19 | Viewed by 2824
Abstract
Glomalin-related soil protein (GRSP) is a hydrophobic protein released by arbuscular mycorrhizal fungi. It is an important component of the soil carbon pool, and it improves the soil aggregate structure; however, it remains unclear whether GRSP can enhance soil carbon sequestration and improve [...] Read more.
Glomalin-related soil protein (GRSP) is a hydrophobic protein released by arbuscular mycorrhizal fungi. It is an important component of the soil carbon pool, and it improves the soil aggregate structure; however, it remains unclear whether GRSP can enhance soil carbon sequestration and improve soil quality during rapid urbanization. The built-up area in Nanchang, China was the study area, and the proportion of impervious surface area was the parameter of urbanization intensity. A total of 184 plots (400 m2) were set up to collect soil samples (0–20 cm) for analysis. Aggregates of five particle sizes were sieved, and the percentage amounts of soil organic carbon (SOC) and GRSP for them were determined. The results showed that the easily extractable GRSP (EE-GRSP) and total GRSP (T-GRSP) contents of the four aggregates of <2 mm were 22–46% higher in low urbanization areas than those in high urbanization areas (p < 0.05), indicating that the higher urbanization intensity was associated with the lower GRSP content of different aggregates. The GRSP was significantly positively correlated with SOC (p < 0.05). Moreover, the contribution of GRSP to the SOC pool in the <0.25 mm aggregate was significantly higher than that in other aggregates. In addition, the EE-GRSP content was significantly positively correlated with mean weight diameter (MWD) and geometric mean diameter (GMD) in the four aggregates of <2 mm, whereas it was negatively correlated with fractal dimension (D) in the >2 mm, 1–2 mm and <0.053 mm aggregates. The T-GRSP content showed significant correlations only with MWD, GMD, and D in the 1–2 mm aggregate. This study revealed that increasing urbanization intensity can significantly reduce the GRSP content of different sized aggregates. Moreover, the GRSP content significantly promoted SOC sequestration, and the EE-GRSP content more significantly promoted soil aggregate stability than that of the T-GRSP. These findings provide new ideas for exploring the improvement of soil quality during the process of urbanization. Full article
(This article belongs to the Special Issue Plant-Soil Interaction Response to Global Change)
Show Figures

Figure 1

18 pages, 1658 KB  
Article
Evaluation of the Presence of Arbuscular Mycorrhizae and Cadmium Content in the Plants and Soils of Cocoa Plantations in San Martin, Peru
by Bernabé Luis-Alaya, Marcia Toro, Rocío Calsina, Katty Ogata-Gutiérrez, Alejandra Gil-Polo, Ernesto Ormeño-Orrillo and Doris Zúñiga-Dávila
Diversity 2023, 15(2), 246; https://doi.org/10.3390/d15020246 - 9 Feb 2023
Cited by 3 | Viewed by 4581
Abstract
Cocoa (Theobroma cacao L.) is an important crop in Peru. International regulations require products derived from cocoa to be free of heavy metals (HMs), such as cadmium. Arbuscular mycorrhizae (AM) contribute to reduced HM content in the plant, preventing its accumulation in [...] Read more.
Cocoa (Theobroma cacao L.) is an important crop in Peru. International regulations require products derived from cocoa to be free of heavy metals (HMs), such as cadmium. Arbuscular mycorrhizae (AM) contribute to reduced HM content in the plant, preventing its accumulation in the fruit and facilitating the rhizodeposition of HMs through glomalin-related soil proteins (GRSP). We studied the presence of mycorrhizal symbiosis in cocoa plants and cadmium in three plantations in San Martín, Peru. The maximum Cd content detected in soils was 1.09 (mg/kg), an amount below the tolerable limit for agricultural soil (≥1.4 mg/kg). Cocoa roots showed 68–86% active mycorrhizal colonization; agronomic management did not cause differences between plantations. Levels of GRSP were between 7.67 (GRSP-EE) and 13.75 (GRSP-T) mg protein g soil−1. Morphological and molecular analysis of Glomeromycota fungi showed the presence of families Claroideoglomeraceae, Paraglomeraceae, Gigasporaceae, Glomeraceae, Acaulosporaceae, Archaeosporaceae, and Diversisporaceae. Our results show the presence of arbuscular mycorrhizal symbiosis in cocoa plantations and suggest that T. cacao may phytostabilize HM in its rhizosphere through the production of GRSP. The presence of mycorrhizal symbiosis indicates the potential for the preparation of biofertilizers for cocoa since the production of GRSP is promissory for the biostabilization of soil HMs. Full article
(This article belongs to the Special Issue State-of-the-Art Mycorrhizal Fungi in South America)
Show Figures

Figure 1

16 pages, 3948 KB  
Article
Contribution of Arbuscular Mycorrhizal Fungal Communities to Soil Carbon Accumulation during the Development of Cunninghamia lanceolata Plantations
by Zhiyuan Liu, Yu Han, Faying Lai, Haiying Zhao and Jiling Cao
Forests 2022, 13(12), 2099; https://doi.org/10.3390/f13122099 - 9 Dec 2022
Cited by 4 | Viewed by 2110
Abstract
Arbuscular mycorrhizal (AM) fungi can establish mutual association with most land plants, and impact a series of important ecological processes, including plant productivity, ecological succession and soil carbon (C) accumulation. Understanding the AM fungal diversity and community assembly, and their associated soil C [...] Read more.
Arbuscular mycorrhizal (AM) fungi can establish mutual association with most land plants, and impact a series of important ecological processes, including plant productivity, ecological succession and soil carbon (C) accumulation. Understanding the AM fungal diversity and community assembly, and their associated soil C sequestration, could be a crucial interest for the forest ecologist. In this study, the AM fungal abundances and community structure as well as glomalin-related soil protein (GRSP) concentrations were investigated in typical development stages (young, middle and mature) of Cunninghamia lanceolate plantations, which are widely distributed species in subtropical regions. The mycorrhizal colonization, spore density, AM fungal biomass and diversity were higher in mature than younger stands. The development of C. lanceolata also increased soil GRSP concentrations, and enhanced their C contribution to soil organic C. Soil difficulty extractable (DE) GRSP demonstrated a greater C contribution to soil organic C relative to easily extractable (EE) GRSP. Linkage analyses found that AM fungal biomass demonstrated a positive correlation with GRSP concentrations, and soil organic C positively related to DE-GRSP and total (T) GRSP. Soil AM fungal community structure differed dramatically across all studied C. lanceolata plantations with a decrease in Gigasporaceae and increase in Acaulosporaceae. Soil AM fungal community assembly was more phylogenetic clustering than expected by chance and primarily shaped by deterministic processes, with a non-shift during the development of C. lanceolata. Collectively, C. lanceolata development shaped the AM fungal communities and enhanced their biomass and GRSP contents, which might, in turn, partially contribute to soil C accumulation. Full article
(This article belongs to the Special Issue Microbial Community Composition and Function in Forest Soil)
Show Figures

Figure 1

11 pages, 2294 KB  
Article
Distribution Characteristics and Influence Factors of Rhizosphere Glomalin-Related Soil Protein in Three Vegetation Types of Helan Mountain, China
by Hui Hou, Peixuan Yan, Qinmi Xie, Hongliang Zhao, Haiying Zhang, Yingze Lv, Danbo Pang, Yang Hu, Jingyao Li, Fang Wang and Xilu Ni
Forests 2022, 13(12), 2092; https://doi.org/10.3390/f13122092 - 8 Dec 2022
Cited by 8 | Viewed by 2389
Abstract
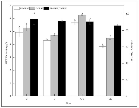
To reveal distribution characteristics of glomalin-related soil protein (GRSP) and it’s influencing factors under different vegetation types in the drought-tolerant shrubland of Helan Mountain, we chose three vegetation types as study subjects: Stipa breviflora (Grassland, G), Amygdalus mongolica (Shrub, S), and Stipa breviflora [...] Read more.
To reveal distribution characteristics of glomalin-related soil protein (GRSP) and it’s influencing factors under different vegetation types in the drought-tolerant shrubland of Helan Mountain, we chose three vegetation types as study subjects: Stipa breviflora (Grassland, G), Amygdalus mongolica (Shrub, S), and Stipa breviflora-Amygdalus mongolica (Grassland-Shrub, G×S) and bare soil was used as the control (CK). The contents of easily extractable glomalin-related soil protein (EE-GRSP) and total glomalin-related soil protein (T-GRSP), soil physicochemical properties, colonization rate, spore density, and species abundance in the rhizosphere soil were determined. The results indicated that EE-GRSP and T-GRSP showed significant difference (p < 0.05) among vegetation types, with GRSP content highest under G×S (5.68 and 6.27 mg·g−1, respectively) and lowest under CK (3.84 and 4.48 mg·g−1, respectively). EE-GRSP/soil organic carbon (SOC) and T-GRSP/SOC showed no significant difference (p > 0.05). The trends of colonization rate, spore density, and species abundance were the same and were significantly different from those of GRSP content (p < 0.05), with maximum values of 75.6%, 20.7 × 10 g−1, and 29.7, and minimum values of 55.6%, 13.0 × 10 g−1, and 12.7, respectively. Pearson correlation analysis showed that EE-GRSP was significantly positively correlated with SOC, total phosphorus, available phosphorus, and colonization rate (p < 0.05), and it showed an extremely significant positive correlation with available potassium, spore density, and species abundance (p < 0.01). T-GRSP was significantly positively correlated with total phosphorus and available phosphorus (p < 0.05), as well as with soil organic carbon, available potassium, spore density, colonization rate, and species abundance (p < 0.01). The redundancy analysis (RDA) showed similar results. Therefore, the distribution characteristics of GRSP and its influencing factors under different vegetation types in the low elevation area of Helan Mountain were influenced by vegetation types, physicochemical properties of rhizosphere soil, and arbuscular mycorrhizal fungi (AMF) colonization, thus providing a scientific basis for soil quality improvement and vegetation restoration. Full article
(This article belongs to the Section Forest Soil)
Show Figures

Figure 1

Back to TopTop