Sign in to use this feature.

Years

Between: -

Subjects

remove_circle_outline
remove_circle_outline
remove_circle_outline
remove_circle_outline
remove_circle_outline
remove_circle_outline
remove_circle_outline
remove_circle_outline

Journals

Article Types

Countries / Regions

Search Results (8)

Search Parameters:
Keywords = Circle Gradient Operator

Order results
Result details
Results per page
Select all
Export citation of selected articles as:
18 pages, 6149 KB  
Article
Analyzing Traffic Operation Characteristics of Cold-Climate Cities Based on Multi-Source Data Fusion: A Case Study of Harbin
by Ting Wan and Jibo Gao
Sustainability 2025, 17(4), 1741; https://doi.org/10.3390/su17041741 - 19 Feb 2025
Viewed by 1460
Abstract
This study introduces an innovative approach based on multi-source data fusion to address the challenges of traffic operation management in cold-climate cities. Taking Harbin City as the research object, GPS trajectory data and checkpoint data were integrated to systematically analyze the seasonal fluctuation [...] Read more.
This study introduces an innovative approach based on multi-source data fusion to address the challenges of traffic operation management in cold-climate cities. Taking Harbin City as the research object, GPS trajectory data and checkpoint data were integrated to systematically analyze the seasonal fluctuation patterns and spatial distribution characteristics of traffic operations from the dimensions of time and space. The study shows that low temperatures and snow in winter significantly reduce traffic efficiency, with prominent traffic pressure during morning and evening peak hours. On weekdays, there is a clear “double peak” characteristic, while on non-working days, traffic flow is relatively stable. Moreover, compared to southern cities with a more pronounced “long-tail effect”, the long period of traffic congestion recovery significantly increases the resilience requirements of the traffic system in cold-climate cities. In terms of space, the concentrated commuting demand in the core circle leads to much higher traffic pressure than in the peripheral areas, creating a marked traffic gradient. Frequently congested road sections are mostly concentrated on commuting arteries and functional nodes, while peripheral areas have higher operational efficiency due to a balanced work–residence distribution. The study reveals the spatiotemporal characteristics of traffic operations in cold-climate cities, offering data support for precise management. By verifying the application value of multi-source data fusion under extreme climate conditions, this study provides important references for intelligent transportation management and sustainable development in cold-climate cities. Full article
Show Figures

Figure 1

18 pages, 6065 KB  
Article
Risk Assessment of High-Voltage Power Grid Under Typhoon Disaster Based on Model-Driven and Data-Driven Methods
by Xiao Zhou and Jiang Li
Energies 2025, 18(4), 809; https://doi.org/10.3390/en18040809 - 9 Feb 2025
Cited by 2 | Viewed by 2272
Abstract
As global warming continues to intensify, typhoon disasters will more frequently occur in East and Southeast Asia, posing a high risk of causing large-scale power outages in the power system. To investigate the impact of typhoon disasters on high-voltage power grids, a comprehensive [...] Read more.
As global warming continues to intensify, typhoon disasters will more frequently occur in East and Southeast Asia, posing a high risk of causing large-scale power outages in the power system. To investigate the impact of typhoon disasters on high-voltage power grids, a comprehensive risk assessment method that integrates model-driven and data-driven approaches is proposed, which can predict power grid faults in advance and provide support for power grid operators to generate emergency dispatching plans. Firstly, by comparing actual loads with the design strengths of the transmission tower-line system and analyzing the geometric relationship between typhoon wind circles and the system, key variables, such as wind speed, longitude, latitude, and other pertinent factors, are screened. The Spearman correlation coefficient is employed to pinpoint the meteorological variables that exhibit a high degree of relevance, enhancing the accuracy and interpretability of our model. Secondly, addressing the lack of power grid fault samples, three data balancing methods—Borderline-SMOTE, ADASYN, and SMOTE-Tomek—are compared, with Borderline-SMOTE selected for its superior performance in enhancing the sample set. Additionally, a power grid failure risk assessment model is built based on Light Gradient Boosting Machine (LightGBM), and the Borderline-Smoothing Algorithm (BSA) is used for the modeling of power grid faults. The nonlinear mapping relationship between typhoon meteorological data and the power grid equipment failure rate is extracted through deep learning training. Subsequently, the Tree-structured Parzen Estimator (TPE) is leveraged to optimize the hyperparameters of the LightGBM model, thus enhancing its prediction accuracy. Finally, the actual power system data of a province in China under a strong typhoon are assessed, validating the proposed assessment method’s effectiveness. Full article
(This article belongs to the Section F: Electrical Engineering)
Show Figures

Figure 1

24 pages, 11181 KB  
Article
Determining Tropical Cyclone Center and Rainband Size in Geostationary Satellite Imagery
by Yanyang Hu and Xiaolei Zou
Remote Sens. 2022, 14(14), 3499; https://doi.org/10.3390/rs14143499 - 21 Jul 2022
Cited by 13 | Viewed by 3738
Abstract
Brightness temperature (TB) observations at an infrared channel (10.3 μm) of the Advanced Baseline Imager (ABI) on board the U. S. 16th Geostationary Operational Environmental Satellite (GOES-16) are used for determining tropical cyclone (TC) center positions and rainband sizes. Firstly, an [...] Read more.
Brightness temperature (TB) observations at an infrared channel (10.3 μm) of the Advanced Baseline Imager (ABI) on board the U. S. 16th Geostationary Operational Environmental Satellite (GOES-16) are used for determining tropical cyclone (TC) center positions and rainband sizes. Firstly, an azimuthal spectral analysis method is employed to obtain an azimuthally symmetric center of a TC. Then, inner and outer rainbands radii, denoted as RIR and ROR, respectively, are estimated based on radial gradients of TB observations at different azimuthal angles. The radius RIR describes the size of the TC inner-core region, and the radius ROR reflects the maximum radial extent of TC rainbands. Compared with the best track centers, the root mean square differences of ABI-determined centers for tropical storms and hurricanes, which totals 108 samples, are 45.35 and 29.06 km, respectively. The larger the average wavenumber-0 amplitude, the smaller the difference between the ABI-determined center and the best track center. The TB-determined RIR is close but not identical to the radius of the outermost closed isobar and usually coincides with the radius where the strongest wavenumber 1 asymmetry is located. The annulus defined by the two circles with radii of ROR and RIR is the asymmetric area of rainbands described by azimuthal wavenumbers 1–3. In general, amplitudes of wavenumber 0 component centered on the ABI-determined center are greater than or equal to those from the best track. For a case of a 60 km distance between the ABI-determined and the best track TC center, the innermost azimuthal waves of wavenumbers 1–3 are nicely distributed along or within the radial distance RIR that is determined based on the ABI-determined TC center. If RIR is determined based on the best track, the azimuthal waves of wavenumbers 1–3 are found at several radial distances that are smaller than RIR. The TC center positions, and rainband size radii are important for many applications, including specification of a bogus vortex for hurricane initialization and verification of propagation mechanism of vortex Rossby waves. Full article
Show Figures

Figure 1

18 pages, 5523 KB  
Article
Research on an Improved Segmentation Recognition Algorithm of Overlapping Agaricus bisporus
by Shuzhen Yang, Bowen Ni, Wanhe Du and Tao Yu
Sensors 2022, 22(10), 3946; https://doi.org/10.3390/s22103946 - 23 May 2022
Cited by 20 | Viewed by 3158
Abstract
The accurate identification of overlapping Agaricus bisporus in a factory environment is one of the challenges faced by automated picking. In order to better segment the complex adhesion between Agaricus bisporus, this paper proposes a segmentation recognition algorithm for overlapping Agaricus bisporus [...] Read more.
The accurate identification of overlapping Agaricus bisporus in a factory environment is one of the challenges faced by automated picking. In order to better segment the complex adhesion between Agaricus bisporus, this paper proposes a segmentation recognition algorithm for overlapping Agaricus bisporus. This algorithm calculates the global gradient threshold and divides the image according to the image edge gradient feature to obtain the binary image. Then, the binary image is filtered and morphologically processed, and the contour of the overlapping Agaricus bisporus area is obtained by edge detection in the Canny operator, the convex hull and concave area are extracted for polygon simplification, and the vertices are extracted using Harris corner detection to determine the segmentation point. After dividing the contour fragments by the dividing point, the branch definition algorithm is used to merge and group all the contours of the same Agaricus bisporus. Finally, the least squares ellipse fitting algorithm and the minimum distance circle fitting algorithm are used to reconstruct the outline of Agaricus bisporus, and the demand information of Agaricus bisporus picking is obtained. The experimental results show that this method can effectively overcome the influence of uneven illumination during image acquisition and be more adaptive to complex planting environments. The recognition rate of Agaricus bisporus in overlapping situations is more than 96%, and the average coordinate deviation rate of the algorithm is less than 1.59%. Full article
(This article belongs to the Special Issue AI-Based Sensors and Sensing Systems for Smart Agriculture)
Show Figures

Figure 1

18 pages, 61185 KB  
Article
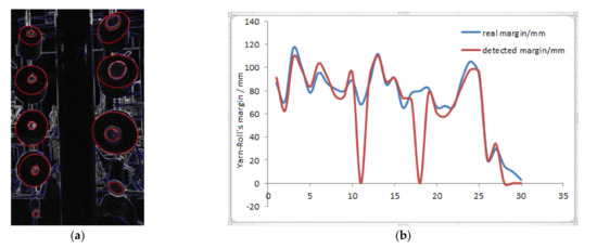
The Detection of Thread Roll’s Margin Based on Computer Vision
by Zhiwei Shi, Weimin Shi and Junru Wang
Sensors 2021, 21(19), 6331; https://doi.org/10.3390/s21196331 - 22 Sep 2021
Cited by 9 | Viewed by 3297
Abstract
The automatic detection of the thread roll’s margin is one of the kernel problems in the textile field. As the traditional detection method based on the thread’s tension has the disadvantages of high cost and low reliability, this paper proposes a technology that [...] Read more.
The automatic detection of the thread roll’s margin is one of the kernel problems in the textile field. As the traditional detection method based on the thread’s tension has the disadvantages of high cost and low reliability, this paper proposes a technology that installs a camera on a mobile robot and uses computer vision to detect the thread roll‘s margin. Before starting, we define a thread roll‘s margin as follows: The difference between the thread roll‘s radius and the bobbin’s radius. Firstly, we capture images of the thread roll‘s end surface. Secondly, we obtain the bobbin’s image coordinates by calculating the image’s convolutions with a Circle Gradient Operator. Thirdly, we fit the thread roll and bobbin’s contours into ellipses, and then delete false detections according to the bobbin’s image coordinates. Finally, we restore every sub-image of the thread roll by a perspective transformation method, and establish the conversion relationship between the actual size and pixel size. The difference value of the two concentric circles’ radii is the thread roll’s margin. However, there are false detections and these errors may be more than 19.4 mm when the margin is small. In order to improve the precision and delete false detections, we use deep learning to detect thread roll and bobbin’s radii and then can calculate the thread roll’s margin. After that, we fuse the two results. However, the deep learning method also has some false detections. As such, in order to eliminate the false detections completely, we estimate the thread roll‘s margin according to thread consumption speed. Lastly, we use a Kalman Filter to fuse the measured value and estimated value; the average error is less than 5.7 mm. Full article
(This article belongs to the Section Sensing and Imaging)
Show Figures

Figure 1

15 pages, 2282 KB  
Article
Study on Aeration Optimization and Sewage Treatment Efficiency of a Novel Micro-Pressure Swirl Reactor (MPSR)
by Shengshu Ai, Shuangshi Dong, Zebing Nie, Suiyi Zhu, Qingkai Ren and Dejun Bian
Water 2020, 12(3), 890; https://doi.org/10.3390/w12030890 - 22 Mar 2020
Cited by 13 | Viewed by 4836
Abstract
This study developed a new type of micro-pressure swirl reactor (MPSR) for treating rural domestic sewage with variable water volume in northern China. The transformation of a traditional aeration tank to MPSR was mainly divided into three steps. Firstly, the aeration device was [...] Read more.
This study developed a new type of micro-pressure swirl reactor (MPSR) for treating rural domestic sewage with variable water volume in northern China. The transformation of a traditional aeration tank to MPSR was mainly divided into three steps. Firstly, the aeration device was installed on one side of the aeration tank. Secondly, most of the top cover plate was sealed. Finally, the liquid level-lifting zone was set to achieve micro-pressure. The study measured the flow velocity and dissolved oxygen (DO) distribution in the main reaction zone of MPSR, studied the effects of MPSR sewage treatment in continuous operation mode and sequential batch operation mode, and analyzed the main microbial species. The experimental results showed that a stable circular circle flow and a spatial DO gradient in MPSR were formed when the aeration rate of MPSR was 0.2 m3/h. Through the MPSR sewage treatment experiment in two operation modes, it could meet the current requirements of rural environmental pollution controlled in China. Analysis of the types of microorganisms showed that microorganisms with different functions gathered in different zones of the MPSR due to the different dissolved oxygen environment and water flow environment, which further improved the ability of MPSR to simultaneously remove nitrogen and phosphorus. Full article
(This article belongs to the Special Issue Advances in the Technologies for Water and Wastewater Treatment)
Show Figures

Figure 1

20 pages, 5836 KB  
Article
Tool Orientation Optimization for Disk Milling Process Based on Torque Balance Method
by Zhishan Li and Yaoyao Shi
Symmetry 2020, 12(1), 60; https://doi.org/10.3390/sym12010060 - 27 Dec 2019
Cited by 11 | Viewed by 2845
Abstract
Disk milling strategy has been applied in grooving for decades for its capacity to provide huge milling force on difficult-to-cut material. However, basic research on the tool orientation of the disk milling cutter for the disk milling process on the milling free surface, [...] Read more.
Disk milling strategy has been applied in grooving for decades for its capacity to provide huge milling force on difficult-to-cut material. However, basic research on the tool orientation of the disk milling cutter for the disk milling process on the milling free surface, especially on the free surface of the blisk, is still lacking in previous studies. In this study, the minimum residual amount after the disc milling process is used as an optimization target to obtain the optimal tool orientation of the disc cutter. To address the problem mentioned above, a torque balance method, including a torque balance algorithm and concentric circle ray point (CCRP) method is proposed. The torque calculation and torque balance problem are solved by the torque balance algorithm and the problem of generating random points to cause torque symmetry is solved in the CCRP method. Based on the secondary development of UG NX software, a series of tool orientation of disk milling cutter are calculated. Finally, the torque balance method is compared with steepest descent method, Newton method, and conjugate gradient method in the aspects of calculation accuracy, operation speed, and convergence speed. However, both the calculation speed and the convergence speed are better than the other three algorithms. Compared with the other three methods, the operation speed of the torque balance method is reduced by 0.35 times, 1.5 times, and 2.25 times. The results prove the feasibility of the torque balance method in solving the problem of tool orientation optimization of the disk milling cutter. Full article
Show Figures

Figure 1

13 pages, 494 KB  
Article
Laser Scanning Measurements on Trees for Logging Harvesting Operations
by Yili Zheng, Jinhao Liu, Dian Wang and Ruixi Yang
Sensors 2012, 12(7), 9273-9285; https://doi.org/10.3390/s120709273 - 5 Jul 2012
Cited by 15 | Viewed by 7617
Abstract
Logging harvesters represent a set of high-performance modern forestry machinery, which can finish a series of continuous operations such as felling, delimbing, peeling, bucking and so forth with human intervention. It is found by experiment that during the process of the alignment of [...] Read more.
Logging harvesters represent a set of high-performance modern forestry machinery, which can finish a series of continuous operations such as felling, delimbing, peeling, bucking and so forth with human intervention. It is found by experiment that during the process of the alignment of the harvesting head to capture the trunk, the operator needs a lot of observation, judgment and repeated operations, which lead to the time and fuel losses. In order to improve the operation efficiency and reduce the operating costs, the point clouds for standing trees are collected with a low-cost 2D laser scanner. A cluster extracting algorithm and filtering algorithm are used to classify each trunk from the point cloud. On the assumption that every cross section of the target trunk is approximate a standard circle and combining the information of an Attitude and Heading Reference System, the radii and center locations of the trunks in the scanning range are calculated by the Fletcher-Reeves conjugate gradient algorithm. The method is validated through experiments in an aspen forest, and the optimized calculation time consumption is compared with the previous work of other researchers. Moreover, the implementation of the calculation result for automotive capturing trunks by the harvesting head during the logging operation is discussed in particular. Full article
(This article belongs to the Special Issue Laser Sensing and Imaging)
Show Figures

Back to TopTop