Sign in to use this feature.

Years

Between: -

Subjects

remove_circle_outline
remove_circle_outline
remove_circle_outline

Journals

Article Types

Countries / Regions

Search Results (10)

Search Parameters:
Keywords = Bi2Te3 nanosheets

Order results
Result details
Results per page
Select all
Export citation of selected articles as:
17 pages, 5768 KB  
Article
One Stone, Three Birds: Feasible Tuning of Barrier Heights Induced by Hybridized Interface in Free-Standing PEDOT@Bi2Te3 Thermoelectric Films
by Li Feng, Fen Wang, Hongjie Luo, Yajuan Zhang, Jianfeng Zhu and Yi Qin
Polymers 2024, 16(14), 1979; https://doi.org/10.3390/polym16141979 - 11 Jul 2024
Viewed by 1585
Abstract
Converting low-grade thermal energy into electrical energy is crucial for the development of modern smart wearable energy technologies. The free-standing films of PEDOT@Bi2Te3 prepared by tape-casting hold promise for flexible thermoelectric technology in self-powered sensing applications. Bi2Te3 [...] Read more.
Converting low-grade thermal energy into electrical energy is crucial for the development of modern smart wearable energy technologies. The free-standing films of PEDOT@Bi2Te3 prepared by tape-casting hold promise for flexible thermoelectric technology in self-powered sensing applications. Bi2Te3 nanosheets fabricated by the solvothermal method are tightly connected with flat-arranged PEODT molecules, forming an S-Bi bonded interface in the composite materials, and the bandgap is reduced to 1.63 eV. Compared with the PEDOT film, the mobility and carrier concentration of the composite are significantly increased at room temperature, and the conductivity reaches 684 S/cm. Meanwhile, the carrier concentration decreased sharply at 360 K indicating the creation of defect energy levels during the interfacial reaction of the composites, which increased the Seebeck coefficient. The power factor was improved by 68.9% compared to PEDOT. In addition, the introduction of Bi2Te3 nanosheets generated defects and multidimensional interfaces in the composite film, which resulted in weak phonon scattering in the conducting polymer with interfacial scattering. The thermal conductivity of the film is decreased and the ZT value reaches 0.1. The composite film undergoes 1500 bending cycles with a 14% decrease in conductivity and has good flexibility. This self-supporting flexible thermoelectric composite film has provided a research basis for low-grade thermal energy applications. Full article
(This article belongs to the Section Polymer Membranes and Films)
Show Figures

Figure 1

15 pages, 16131 KB  
Article
Green Synthesis and Morphological Evolution for Bi2Te3 Nanosystems via a PVP-Assisted Hydrothermal Method
by Fang Zhou, Weichang Zhou, Yujing Zhao and Li Liu
Nanomaterials 2023, 13(21), 2894; https://doi.org/10.3390/nano13212894 - 1 Nov 2023
Cited by 4 | Viewed by 2949
Abstract
Bi2Te3 has been extensively used because of its excellent thermoelectric properties at room temperature. Here, 230–420 nm of Bi2Te3 hexagonal nanosheets has been successfully synthesized via a “green” method by using ethylene glycol solution and applying polyvinyl [...] Read more.
Bi2Te3 has been extensively used because of its excellent thermoelectric properties at room temperature. Here, 230–420 nm of Bi2Te3 hexagonal nanosheets has been successfully synthesized via a “green” method by using ethylene glycol solution and applying polyvinyl pyrrolidone (PVP) as a surfactant. In addition, factors influencing morphological evolution are discussed in detail in this study. Among these parameters, the reaction temperature, molar mass of NaOH, different surfactants, and reaction duration are considered as the most essential. The results show that the existence of PVP is vital to the formation of a plate-like morphology. The reaction temperature and alkaline surroundings played essential roles in the formation of Bi2Te3 single crystals. By spark plasma sintering, the Bi2Te3 hexagonal nanosheets were hot pressed into solid-state samples. We also studied the transport properties of solid-state samples. The electrical conductivity σ was 18.5 × 103 Sm1 to 28.69 × 103 Sm1, and the Seebeck coefficient S was −90.4 to −113.3 µVK1 over a temperature range of 300–550 K. In conclusion, the observation above could serve as a catalyst for future exploration into photocatalysis, solar cells, nonlinear optics, thermoelectric generators, and ultraviolet selective photodetectors of Bi2Te3 nanosheet-based photodetectors. Full article
(This article belongs to the Special Issue Nanomaterial-Based Nano-Electronic and Photonic Devices)
Show Figures

Figure 1

8 pages, 2345 KB  
Communication
High-Performance n-Type Bi2Te3 Thermoelectric Fibers with Oriented Crystal Nanosheets
by Min Sun, Pengyu Zhang, Guowu Tang, Dongdan Chen, Qi Qian and Zhongmin Yang
Nanomaterials 2023, 13(2), 326; https://doi.org/10.3390/nano13020326 - 12 Jan 2023
Cited by 10 | Viewed by 3157
Abstract
High-performance thermoelectric fibers with n-type bismuth telluride (Bi2Te3) core were prepared by thermal drawing. The nanosheet microstructures of the Bi2Te3 core were tailored by the whole annealing and Bridgman annealing processes, respectively. The influence of the [...] Read more.
High-performance thermoelectric fibers with n-type bismuth telluride (Bi2Te3) core were prepared by thermal drawing. The nanosheet microstructures of the Bi2Te3 core were tailored by the whole annealing and Bridgman annealing processes, respectively. The influence of the annealing processes on the microstructure and thermoelectric performance was investigated. As a result of the enhanced crystalline orientation of Bi2Te3 core caused by the above two kinds of annealing processes, both the electrical conductivity and thermal conductivity could be improved. Hence, the thermoelectric performance was enhanced, that is, the optimized dimensionless figure of merit (ZT) after the Bridgman annealing processes increased from 0.48 to about 1 at room temperature. Full article
(This article belongs to the Special Issue Advanced Nanoscale Materials for Thermoelectric Applications)
Show Figures

Figure 1

10 pages, 4196 KB  
Article
All-Fiber High-Energy Mode-Locked Ytterbium-Doped Fiber Laser with Bismuth Telluride Nanosheet Saturable Absorber
by Hazlihan Haris, Malathy Batumalay, Tan Sin Jin, Ahmad Razif Muhammad, Arni Munira Markom, Muhamad Hakim Izani, Megat Muhammad Ikhsan Megat Hasnan and Ismail Saad
Crystals 2022, 12(11), 1507; https://doi.org/10.3390/cryst12111507 - 24 Oct 2022
Cited by 10 | Viewed by 4483
Abstract
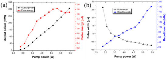
Utilizing bismuth telluride (Bi2Te3) nanosheet saturable absorbers (SA), a remarkable source of continuous-wave infrared radiation known for its high efficiency and wide range of accessible wavelengths, has been successfully developed. The mode-locking bright pulses have a repetition frequency of [...] Read more.
Utilizing bismuth telluride (Bi2Te3) nanosheet saturable absorbers (SA), a remarkable source of continuous-wave infrared radiation known for its high efficiency and wide range of accessible wavelengths, has been successfully developed. The mode-locking bright pulses have a repetition frequency of 9.5 MHz and a pulse width of 0.6 ps at a power level of 203.5 mW. The optical spectrum has its center at 1050.23 nm and delivers pulse energies of 2.13 nJ and output power of 20.3 mW. Using a straightforward 18 m long ring design and a laser cavity with a −19.9 ps2/km dispersion, a 44 dB signal-to-noise ratio (SNR) was achieved to demonstrate the pulse’s strong stability. Full article
(This article belongs to the Special Issue Advances in Optical Fibers, Devices and Applications)
Show Figures

Figure 1

11 pages, 6138 KB  
Article
Direct Observation of the Epitaxial Growth of Bismuth Telluride Topological Insulators from One-Dimensional Heterostructured Nanowires
by Rei-Ping Li, Shiang-Yi Lu, Yen-Jen Lin and Chih-Yen Chen
Nanomaterials 2022, 12(13), 2236; https://doi.org/10.3390/nano12132236 - 29 Jun 2022
Cited by 5 | Viewed by 2749
Abstract
As extraordinary topological insulators, 2D bismuth telluride (Bi2Te3) nanosheets have been synthesized and controlled with a few-layer structure by a facile and fast solvothermal process. The detail-oriented growth evolution of 2D Bi2Te3 in an ethylene glycol [...] Read more.
As extraordinary topological insulators, 2D bismuth telluride (Bi2Te3) nanosheets have been synthesized and controlled with a few-layer structure by a facile and fast solvothermal process. The detail-oriented growth evolution of 2D Bi2Te3 in an ethylene glycol reducing solution is discovered and recorded for direct observation of the liquid–solid interactions through the use of environmental SEM. At the initial synthesis stage, Te nanowires are rapidly synthesized and observed in solution. In the next stage, Bi nanoclusters slowly adhere to the Te nanowires and react to form hierarchical Te-Bi2Te3 nanostructured materials. Additionally, the Te nanowires shorten in-plane in an orderly manner, while the Bi2Te3 nanosheets exhibit directional out-of-plane epitaxial growth. In the last procedure, Bi2Te3 nanosheets with a clear hexagonal appearance can be largely obtained. Experiments performed under these rigorous conditions require careful consideration of the temperature, time, and alkaline environment for each reaction process. In addition, the yield of a wider and thinner Bi2Te3 nanosheet is synthesized by manipulating the crystal growth with an optimal alkaline concentration, which is found through statistical analysis of the AFM results. In the UV–Vis–NIR spectroscopy results, the main peak in the spectrum tends to redshift, while the other peak in the ultraviolet range decreases during Bi2Te3 nanosheet synthesis, facilitating a rapid understanding of the trends in the morphological evolution of the Bi2Te3 materials in solution. By rationalizing the above observations, we are the first to report the success of environmental SEM, HAADF-STEM, and UV–Vis–NIR spectroscopy for confirming the Bi2Te3 nanosheet formation mechanism and the physical properties in the solvent media. This research promotes the future optimization of promising Bi2Te3 nanomaterials that can be used in the fabrication of thermoelectric and topological components. Full article
(This article belongs to the Section Synthesis, Interfaces and Nanostructures)
Show Figures

Figure 1

14 pages, 5487 KB  
Article
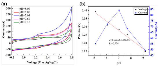
In Situ Synthesis of a Bi2Te3-Nanosheet/Reduced-Graphene-Oxide Nanocomposite for Non-Enzymatic Electrochemical Dopamine Sensing
by Haishan Shen, Byungkwon Jang, Jiyoung Park, Hyung-jin Mun, Hong-Baek Cho and Yong-Ho Choa
Nanomaterials 2022, 12(12), 2009; https://doi.org/10.3390/nano12122009 - 10 Jun 2022
Cited by 10 | Viewed by 3530
Abstract
Dopamine is a neurotransmitter that helps cells to transmit pulsed chemicals. Therefore, dopamine detection is crucial from the viewpoint of human health. Dopamine determination is typically achieved via chromatography, fluorescence, electrochemiluminescence, colorimetry, and enzyme-linked methods. However, most of these methods employ specific biological [...] Read more.
Dopamine is a neurotransmitter that helps cells to transmit pulsed chemicals. Therefore, dopamine detection is crucial from the viewpoint of human health. Dopamine determination is typically achieved via chromatography, fluorescence, electrochemiluminescence, colorimetry, and enzyme-linked methods. However, most of these methods employ specific biological enzymes or involve complex detection processes. Therefore, non-enzymatic electrochemical sensors are attracting attention owing to their high sensitivity, speed, and simplicity. In this study, a simple one-step fabrication of a Bi2Te3-nanosheet/reduced-graphene-oxide (BT/rGO) nanocomposite was achieved using a hydrothermal method to modify electrodes for electrochemical dopamine detection. The combination of the BT nanosheets with the rGO surface was investigated by X-ray diffraction, X-ray photoelectron spectroscopy, field-emission scanning electron microscopy, transmission electron microscopy, Raman spectroscopy, and Fourier-transform infrared spectroscopy. Electrochemical impedance spectroscopy, cyclic voltammetry, and differential pulse voltammetry were performed to analyze the electrochemical-dopamine-detection characteristics of the BT/rGO nanocomposite. The BT/rGO-modified electrode exhibited higher catalytic activity for electrocatalytic oxidation of 100 µM dopamine (94.91 µA, 0.24 V) than that of the BT-modified (4.55 µA, 0.26 V), rGO-modified (13.24 µA, 0.23 V), and bare glassy carbon electrode (2.86 µA, 0.35 V); this was attributed to the synergistic effect of the electron transfer promoted by the highly conductive rGO and the large specific surface area/high charge-carrier mobility of the two-dimensional BT nanosheets. The BT/rGO-modified electrode showed a detection limit of 0.06 µM for dopamine in a linear range of 10–1000 µM. Additionally, it exhibited satisfactory reproducibility, stability, selectivity, and acceptable recovery in real samples. Full article
(This article belongs to the Section Nanocomposite Materials)
Show Figures

Graphical abstract

8 pages, 1470 KB  
Article
Bi2Te3/Graphene Heterostructure as the Saturable Absorber for ~1.0 μm Passively Q-switched Solid State Pulsed Laser
by Yijian Sun and Houping Xia
Crystals 2022, 12(2), 222; https://doi.org/10.3390/cryst12020222 - 2 Feb 2022
Cited by 9 | Viewed by 2514
Abstract
Due to the tunable nonlinear optical properties of the Bi2Te3/graphene heterostructure, stable solid state pulsed lasers based on the Bi2Te3/graphene saturable absorber have attracted intensive attention. In this work, the Bi2Te3/graphene [...] Read more.
Due to the tunable nonlinear optical properties of the Bi2Te3/graphene heterostructure, stable solid state pulsed lasers based on the Bi2Te3/graphene saturable absorber have attracted intensive attention. In this work, the Bi2Te3/graphene heterostructure with good nonlinear absorption characteristics was synthesized by a self-assembly solvothermal route, and the optical saturable absorption properties of the saturable absorber were investigated. Owing to the large modulation depth of Bi2Te3 nanosheets and the high thermal conductivity of graphene, the Bi2Te3/graphene heterostructure saturable absorber shown good nonlinear saturable absorber performance and contributed the improved passively Q-switched Yb3+: GdAl3(BO3)4 pulsed laser when compared with that of the pure Bi2Te3 based Yb3+: GdAl3(BO3)4 laser, no matter pulse width or pulse energy. Our work demonstrates that the Bi2Te3/graphene heterostructure was a promising saturable absorber in ~1 μm solid-state pulsed lasers. Full article
Show Figures

Graphical abstract

12 pages, 4753 KB  
Article
Enhanced Thermoelectric Performance of n-Type Bi2Se3 Nanosheets through Sn Doping
by Mengyao Li, Yu Zhang, Ting Zhang, Yong Zuo, Ke Xiao, Jordi Arbiol, Jordi Llorca, Yu Liu and Andreu Cabot
Nanomaterials 2021, 11(7), 1827; https://doi.org/10.3390/nano11071827 - 14 Jul 2021
Cited by 41 | Viewed by 4758
Abstract
The cost-effective conversion of low-grade heat into electricity using thermoelectric devices requires developing alternative materials and material processing technologies able to reduce the currently high device manufacturing costs. In this direction, thermoelectric materials that do not rely on rare or toxic elements such [...] Read more.
The cost-effective conversion of low-grade heat into electricity using thermoelectric devices requires developing alternative materials and material processing technologies able to reduce the currently high device manufacturing costs. In this direction, thermoelectric materials that do not rely on rare or toxic elements such as tellurium or lead need to be produced using high-throughput technologies not involving high temperatures and long processes. Bi2Se3 is an obvious possible Te-free alternative to Bi2Te3 for ambient temperature thermoelectric applications, but its performance is still low for practical applications, and additional efforts toward finding proper dopants are required. Here, we report a scalable method to produce Bi2Se3 nanosheets at low synthesis temperatures. We studied the influence of different dopants on the thermoelectric properties of this material. Among the elements tested, we demonstrated that Sn doping resulted in the best performance. Sn incorporation resulted in a significant improvement to the Bi2Se3 Seebeck coefficient and a reduction in the thermal conductivity in the direction of the hot-press axis, resulting in an overall 60% improvement in the thermoelectric figure of merit of Bi2Se3. Full article
Show Figures

Graphical abstract

13 pages, 1282 KB  
Article
Harmonic Mode-Locked Fiber Laser based on Photonic Crystal Fiber Filled with Topological Insulator Solution
by Yu-Shan Chen, Pei-Guang Yan, Hao Chen, Ai-Jiang Liu and Shuang-Chen Ruan
Photonics 2015, 2(2), 342-354; https://doi.org/10.3390/photonics2020342 - 3 Apr 2015
Cited by 10 | Viewed by 8527
Abstract
We reported that the photonic crystal fiber (PCF) filled with TI:Bi2Te3 nanosheets solution could act as an effective saturable absorber (SA). Employing this TI-PCF SA device; we constructed an ytterbium-doped all-fiber laser oscillator and achieved the evanescent wave mode-locking operation. [...] Read more.
We reported that the photonic crystal fiber (PCF) filled with TI:Bi2Te3 nanosheets solution could act as an effective saturable absorber (SA). Employing this TI-PCF SA device; we constructed an ytterbium-doped all-fiber laser oscillator and achieved the evanescent wave mode-locking operation. Due to the large cavity dispersion; the fundamental mode-locking pulse had the large full width at half maximum (FWHM) of 2.33 ns with the repetition rate of ~1.11 MHz; and the radio frequency (RF) spectrum with signal-to-noise ratio (SNR) of 61 dB. In addition; the transition dynamics from a bunched state of pulses to harmonic mode-locking (HML) was also observed; which was up to 26th order. Full article
Show Figures

Figure 1

10 pages, 4401 KB  
Article
Self-Assembly of Bi2Te3-Nanoplate/Graphene-Nanosheet Hybrid by One-Pot Route and Its Improved Li-Storage Properties
by Fangfang Tu, Jian Xie, Gaoshao Cao and Xinbing Zhao
Materials 2012, 5(7), 1275-1284; https://doi.org/10.3390/ma5071275 - 23 Jul 2012
Cited by 36 | Viewed by 8961
Abstract
A sandwich structured Bi2Te3-nanoplates/graphene-nanosheet (Bi2Te3/G) hybrid has been synthesized by a facile in situ solvothermal route and has been investigated as a potential anode material for Li-ion batteries. Bi2Te3 grows during the [...] Read more.
A sandwich structured Bi2Te3-nanoplates/graphene-nanosheet (Bi2Te3/G) hybrid has been synthesized by a facile in situ solvothermal route and has been investigated as a potential anode material for Li-ion batteries. Bi2Te3 grows during the solvothermal process with the simultaneous reduction of graphite oxide into graphene. The in situ formation process of the hybrid has been investigated by X-ray diffraction and X-ray photoelectron spectra. The Li-storage mechanism and performance of Bi2Te3/G and bare Bi2Te3 have been studied by galvanostatic cycling and cyclic voltammetry. The Bi2Te3/G sandwich exhibits an obviously improved cycling stability compared to bare Bi2Te3. The enhancement in electrochemical performance can be attributed to the combined conducting, confining and dispersing effects of graphene for Bi2Te3 nanoplates and to the self-assembled sandwich structure. Full article
(This article belongs to the Special Issue Advanced Materials for Lithium Ion Batteries)
Show Figures

Figure 1

Back to TopTop