Sign in to use this feature.

Years

Between: -

Subjects

remove_circle_outline
remove_circle_outline
remove_circle_outline
remove_circle_outline
remove_circle_outline
remove_circle_outline
remove_circle_outline
remove_circle_outline
remove_circle_outline

Journals

remove_circle_outline
remove_circle_outline
remove_circle_outline
remove_circle_outline
remove_circle_outline
remove_circle_outline
remove_circle_outline
remove_circle_outline
remove_circle_outline
remove_circle_outline
remove_circle_outline
remove_circle_outline
remove_circle_outline

Article Types

Countries / Regions

remove_circle_outline
remove_circle_outline
remove_circle_outline
remove_circle_outline
remove_circle_outline

Search Results (397)

Search Parameters:
Keywords = BPDS

Order results
Result details
Results per page
Select all
Export citation of selected articles as:
12 pages, 230 KB  
Article
Comparison of Clinical Outcomes Between Calfactant and Poractant-Alfa in Preterm Infants with Respiratory Distress Syndrome
by Leyla Sero, Nilufer Okur and Duygu Tuncel
Children 2025, 12(10), 1350; https://doi.org/10.3390/children12101350 - 8 Oct 2025
Abstract
Background: This study compares short- and mid-term morbidity and mortality outcomes in preterm infants treated with the natural surfactants poractant alfa and calfactant, to assess differences in their clinical efficacy and safety profiles. Methods: In this prospective cohort study, preterm infants (25 0⁄7 [...] Read more.
Background: This study compares short- and mid-term morbidity and mortality outcomes in preterm infants treated with the natural surfactants poractant alfa and calfactant, to assess differences in their clinical efficacy and safety profiles. Methods: In this prospective cohort study, preterm infants (25 0⁄7–32 6⁄7 weeks gestation) admitted to a Level III NICU between January 2023 and March 2024 received either poractant alfa or calfactant according to hospital supply. The primary outcome was moderate-to-severe bronchopulmonary dysplasia (BPD) and/or mortality. Secondary outcomes included extubation success, need for repeat surfactant dosing, and treatment cost per patient. Short- and mid-term morbidity and mortality outcomes were compared between groups. Results: The study included 215 preterm infants (137 in the poractant alfa group; 78 in the calfactant group). Use of less invasive surfactant administration (LISA) and INSURE techniques was significantly higher in the poractant alfa group (32.8% vs. 10.3%; p < 0.01). Poractant alfa was administered earlier, at higher per-kg doses, and at lower median treatment cost. Rates of moderate-to-severe BPD, the composite outcome BPD or mortality, reintubation, duration of respiratory support, and length of hospitalization did not differ significantly between groups. In the poractant alfa group, the need for a second surfactant dose was lower (p = 0.027). Overall mortality was similar (21.2% vs. 24.4%; p = 0.13), with no significant difference in timing of death. Conclusions: Compared with calfactant, poractant alfa offers practical advantages—such as a higher initial dose, lower cost, and reduced need for a second repeat dose—while yielding comparable short- and mid-term morbidity and mortality outcomes. Full article
(This article belongs to the Section Pediatric Neonatology)
11 pages, 796 KB  
Article
Unveiling the Interplay of EBV, HSV-1, and Inflammatory Biomarkers in Psychiatric Disorders
by Özer Akgül, Ömer Faruk Demirel, İlker Tosun, Yasin Kavla, Mehmet Murat Kirpinar, Burcu Sapmaz, Gülçin Şenyiğit, Reyhan Çalişkan and Yaşar Ali Öner
J. Clin. Med. 2025, 14(19), 6730; https://doi.org/10.3390/jcm14196730 - 24 Sep 2025
Viewed by 317
Abstract
Background/Objectives: Schizophrenia (SCH), bipolar disorder (BPD), and major depressive disorder (MDD) are increasingly viewed as neuroimmune disorders shaped by viral exposure and inflammation. Disorder-specific immunovirological profiles, however, remain poorly defined. Methods: In this cross-sectional study, we assessed Epstein–Barr Virus (EBV) and Herpes Simplex [...] Read more.
Background/Objectives: Schizophrenia (SCH), bipolar disorder (BPD), and major depressive disorder (MDD) are increasingly viewed as neuroimmune disorders shaped by viral exposure and inflammation. Disorder-specific immunovirological profiles, however, remain poorly defined. Methods: In this cross-sectional study, we assessed Epstein–Barr Virus (EBV) and Herpes Simplex Virus type 1 (HSV-1) seropositivity and measured serum CRP, IL-6, and IL-1β in 708 participants: 110 with SCH, 121 with BPD, 135 with MDD, and 342 healthy controls (HC). Statistical analyses included Shapiro–Wilk tests for normality; Kruskal–Wallis with Bonferroni-adjusted Dunn post hoc comparisons; and logistic regression adjusted for age, sex, and marital status. Results: EBV seropositivity was higher in SCH (90.9%) than in HC (78.9%) (OR = 3.46, 95% CI: 1.68–7.12; p = 0.001) but not in BPD or MDD. HSV-1 seropositivity was elevated in BPD (83.5%) versus HC (67.0%) (OR = 2.29, 95% CI: 1.34–3.92; p = 0.003), with no differences in SCH or MDD. Inflammatory biomarkers were significantly increased in SCH and MDD compared to HC (p < 0.001), while BPD showed no differences. Conclusions: The findings delineate distinct immunovirological patterns across major psychiatric disorders. Schizophrenia was characterized by EBV seropositivity accompanied by systemic inflammatory activation, bipolar disorder by HSV-1 seropositivity in the absence of inflammatory changes, and major depressive disorder by inflammatory dysregulation independent of viral exposure. These disorder-specific profiles highlight heterogeneity in neuroimmune pathways and underscore the potential relevance of biomarker-based stratification for generating hypotheses regarding targeted antiviral or anti-inflammatory interventions in psychiatric populations. Full article
(This article belongs to the Section Mental Health)
Show Figures

Figure 1

10 pages, 865 KB  
Article
miR-145-5p and miR-148b-3p Expression Is Inversely Associated with Pten Expression in Prostate Pathologies
by Karla Lizbeth Morales Hernández, Noemí García Magallanes, Marco Alvarez Arrazola, Fred Luque Ortega, Martín Irigoyen Arredondo, Fernando Bergez Hernandez and Eliakym Arambula Meraz
Curr. Issues Mol. Biol. 2025, 47(9), 782; https://doi.org/10.3390/cimb47090782 - 22 Sep 2025
Viewed by 340
Abstract
Prostate cancer (PCa) represents a significant cause of cancer-associated mortality in the male population worldwide and constitutes a multifactorial disease influenced by genetic and epigenetic factors. Deregulation of genes such as AR and PTEN, as well as alteration in the expression of microRNAs [...] Read more.
Prostate cancer (PCa) represents a significant cause of cancer-associated mortality in the male population worldwide and constitutes a multifactorial disease influenced by genetic and epigenetic factors. Deregulation of genes such as AR and PTEN, as well as alteration in the expression of microRNAs (miRNAs), including miR-145-5p and miR-148b-3p, has been observed in this pathology. This study aimed to explore the correlation between the expression of miR-145-5p, miR-148b-3p, and PTEN in prostate tissue, providing initial insight into their potential interaction in cancer biology. We analyzed 71 samples, comprising 41 from patients with confirmed prostate cancer (PCa group) and 30 from patients with benign prostatic disease (BPD group). Our findings demonstrated a statistically significant association between both miRNAs and the PTEN gene, specifically between miR-148b-3p and PTEN (p = 0.00001) and between miR-145-5p and PTEN (p = 0.0078). These findings support the hypothesis that reduced levels of these miRNAs may be linked to PTEN regulation in prostate pathologies and underscore their potential relevance in PCa biology. Full article
(This article belongs to the Special Issue Linking Genomic Changes with Cancer in the NGS Era, 2nd Edition)
Show Figures

Figure 1

13 pages, 1091 KB  
Article
Impairment of Kidney Function in Patients with Chronic Coronary Syndromes
by Katarzyna Charkiewicz-Szeremeta, Emilia Sawicka-Śmiarowska, Danuta Czarnecka, Marlena Dubatówka, Zbigniew Gąsior, Tomasz Hryszko, Piotr Jankowski, Małgorzata Knapp, Dariusz A. Kosior, Aldona Kubica, Klaudia Mickiewicz, Andrzej Pająk, Marek Rajzer, Marek Styczkiewicz, Renata Wolfshaut-Wolak and Karol A. Kamiński
J. Clin. Med. 2025, 14(18), 6607; https://doi.org/10.3390/jcm14186607 - 19 Sep 2025
Viewed by 290
Abstract
Background: Kidney function is critical for cardiovascular health, and its appropriate assessment entails proper determination of prognosis in patients with chronic coronary syndromes (CCSs). However, assessment of the urinary spot albumin to creatinine ratio (uACR) is often overlooked, whereas it is crucial [...] Read more.
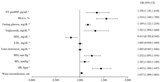
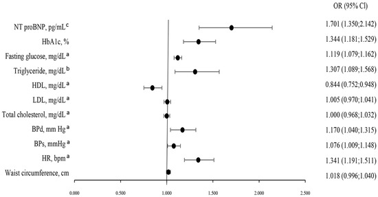
Background: Kidney function is critical for cardiovascular health, and its appropriate assessment entails proper determination of prognosis in patients with chronic coronary syndromes (CCSs). However, assessment of the urinary spot albumin to creatinine ratio (uACR) is often overlooked, whereas it is crucial for determination of chronic kidney disease (CKD). This study assesses the prevalence of impaired kidney function in patients with CCS based on their eGFR and albuminuria. Methods and results: This study comprised a total of 1957 patients from seven regions in Poland, aged ≤ 80 years, who, 6–18 months earlier, were hospitalized for acute coronary syndrome or elective myocardial revascularization. Complete uACR and eGFR data were obtained from 1152 patients (median age was 67 years, and 71.23% of participants were male). The finding of albuminuria reclassified the CKD in 17% (200) patients, suggesting that a patient’s risk cannot be ascertained only based on their eGFR result. CKD reclassification by albuminuria was observed in older (p < 0.001) patients with higher BPs (p = 0.008), BPd (p = 0.038), HR (p < 0.001), fasting glucose (p < 0.001), and HbA1c (p < 0.001) and decreased HDL concentration (p = 0.001); hence, this is the population where uACR assessment is particularly valuable. Conclusions: In a notable percentage of patients with CCS, their kidney function classification is changed based on their albuminuria. Therefore, it is important to include albuminuria in the routine assessment of patients with cardiovascular disease. Full article
(This article belongs to the Section Cardiology)
Show Figures

Figure 1

26 pages, 1833 KB  
Article
Gaze and Evaluative Behavior of Patients with Borderline Personality Disorder in an Affective Priming Task
by Taavi Wenk, Michele Bartusch, Carolin Webelhorst, Anette Kersting, Charlott Maria Bodenschatz and Thomas Suslow
Behav. Sci. 2025, 15(9), 1268; https://doi.org/10.3390/bs15091268 - 17 Sep 2025
Viewed by 597
Abstract
Borderline personality disorder (BPD) is associated with alterations in emotion processing. To date, no study has tested automatic emotion perception under conditions of unawareness of emotion stimuli. We administered a priming paradigm based on facial expressions and measured judgmental and gaze behavior during [...] Read more.
Borderline personality disorder (BPD) is associated with alterations in emotion processing. To date, no study has tested automatic emotion perception under conditions of unawareness of emotion stimuli. We administered a priming paradigm based on facial expressions and measured judgmental and gaze behavior during an evaluation task. A total of 31 patients with BPD and 31 non-patients (NPs) viewed a briefly shown emotional (angry, fearful, sad, or happy) or neutral face followed by a neutral facial expression (target). Areas of interest (AOI) were the eyes and the mouth. All participants included in our analysis were subjectively unaware of the emotional primes. Concerning evaluative ratings, no prime effects were observed. For early dwell time, a significant interaction between prime category and AOI was found. Both BPD patients and NPs dwelled longer on the eyes after the presentation of angry and fearful primes than of happy primes and dwelled longer on the mouth after the presentation of happy primes than of sad and neutral primes. Patients rated target faces more negatively. BPD patients, when compared to NPs, seem not to show alterations in automatic attention orienting due to covert facial emotions. Regardless of primes, individuals with BPD seem to be characterized by an increased negative interpretation of neutral facial expressions. Full article
Show Figures

Figure 1

17 pages, 2713 KB  
Systematic Review
Steroid Use for Established Bronchopulmonary Dysplasia: A Systematic Review and Meta-Analysis
by Maria Pierro, Roberto Chioma, Krzysztof Włodarczyk, Margit Benke, Kaushik Mangroo, Maria Chiara Vetrano, Kinga Zielińska, David O’Keeffe, Joanna Seliga-Siwecka, Helen Purtill, Niazy Al-Assaf, Eduardo Villamor and Roy K. Philip
Children 2025, 12(9), 1238; https://doi.org/10.3390/children12091238 - 16 Sep 2025
Viewed by 528
Abstract
Introduction: Evidence on steroid treatment for established bronchopulmonary dysplasia (BPD) is sparse. To our knowledge, a systematic review has never been conducted on this topic. This meta-analysis aims to synthesize available evidence for the use of postnatal steroids to treat established BPD. Methods: [...] Read more.
Introduction: Evidence on steroid treatment for established bronchopulmonary dysplasia (BPD) is sparse. To our knowledge, a systematic review has never been conducted on this topic. This meta-analysis aims to synthesize available evidence for the use of postnatal steroids to treat established BPD. Methods: MEDLINE, Embase, Cochrane databases, and gray literature sources were searched without time or language restrictions until October 2024. We included randomized and non-randomized trials (analyzed separately) that evaluated postnatal steroids started from 28 days of life in preterm infants diagnosed with BPD. Certainty of evidence was assessed using the GRADE approach. Results: The search retrieved 9113 records, and 20 studies were included. Meta-analysis of the RCTs demonstrated that steroids significantly reduced oxygen requirement (daily mean difference of 1.6%, 95% CI 0.25–2.95), but the analysis did not identify significant differences in total duration of supplemental oxygen, length of stay, or mortality (moderate quality). From a safety perspective, steroids resulted in a transient increase in systemic blood pressure (mean difference of 6.8 mmHg, 95% CI 4.6–8.9) (moderate quality). Weight gain during treatment was lower in the systemic steroid group (−9.2 g/day, 95% CI −11.7 to −6.8) (moderate quality), although overall growth was reported as equal (2.4 g/day, 95% CI −0.3 to 6.3) (moderate quality). One retrospective study reported the incidence of steroid treatment among infants with established BPD (any definition) to be as high as 36%. Two single-arm studies reported a prolonged high-dose systemic steroid regimen as the routine treatment strategy for severe established BPD. Conclusions: Moderate quality of evidence suggests that steroid treatment cannot be recommended as standard of care for established BPD. However, corticosteroids are often used to this end. Large-scale RCTs designed to treat BPD are urgently needed. Furthermore, careful consideration for patient selection and compliance with GRADE methodology is essential. Full article
Show Figures

Figure 1

14 pages, 523 KB  
Article
Red Cell Distribution Width-to-Platelet Ratio and Other Hematological Markers as Early Predictors of Bronchopulmonary Dysplasia in Preterm Infants
by Baran Cengiz Arcagok and Ibrahim Kandemir
Children 2025, 12(9), 1215; https://doi.org/10.3390/children12091215 - 10 Sep 2025
Viewed by 361
Abstract
Background/Objectives: Bronchopulmonary dysplasia (BPD) frequently affects preterm infants and is associated with lasting morbidity. Early prediction remains challenging. The present study investigated whether hematological inflammatory markers—platelet-to-lymphocyte ratio (PLR), red cell distribution width (RDW), and red cell distribution width-to-platelet ratio (RPR)—can predict the development [...] Read more.
Background/Objectives: Bronchopulmonary dysplasia (BPD) frequently affects preterm infants and is associated with lasting morbidity. Early prediction remains challenging. The present study investigated whether hematological inflammatory markers—platelet-to-lymphocyte ratio (PLR), red cell distribution width (RDW), and red cell distribution width-to-platelet ratio (RPR)—can predict the development of BPD in preterm neonates. Methods: We performed a retrospective cohort study involving 100 infants born at less than 32 weeks’ gestation. Complete blood count (CBC) parameters were collected at birth, 72 h, 1 week, and 2 weeks of life. Associations between PLR, RDW, RPR, and BPD development were analyzed. Multivariate regression and receiver operating characteristic (ROC) curve analyses were carried out to evaluate the predictive performance of the markers. Results: Forty-nine percent of infants developed BPD. Those with BPD had significantly higher RDW, PLR, and RPR values, and lower lymphocyte and platelet counts at various time points. Gestational age, respiratory distress syndrome, and hematological indices independently predicted BPD. ROC analysis showed that RDW ≥ 67.2 and PLR ≥ 98.13 at 72 h, and RPR ≥ 0.3 at 7 and 14 days had good predictive performance. A combined scoring system, including clinical and hematological markers, achieved high sensitivity and specificity. Conclusions: Hematological inflammatory markers, especially RPR, PLR, and RDW, derived from routine CBC tests may serve as accessible, cost-effective tools for early BPD risk stratification in preterm infants. Additional studies are needed to confirm these results and better define their relevance in clinical practice. Full article
(This article belongs to the Section Pediatric Neonatology)
Show Figures

Graphical abstract

14 pages, 275 KB  
Article
The Validity and Reliability of the Chinese Version of the Screening Instrument for Borderline Personality Disorder
by Hui Zhou, Yu Chang, Chaiyun Sakulsriprasert, Tinakon Wongpakaran, Nahathai Wongpakaran, Chawisa Suradom, Ronald O’Donnell and Nan Jia
Psychiatry Int. 2025, 6(3), 108; https://doi.org/10.3390/psychiatryint6030108 - 5 Sep 2025
Viewed by 628
Abstract
Background: Borderline personality disorder (BPD), a significant personality trait frequently observed in young adults, is associated with challenges in mental health and academic performance. Screening for BPD symptoms is essential. The Screening Instrument for Borderline Personality Disorder (SI-Bord) is widely used to assess [...] Read more.
Background: Borderline personality disorder (BPD), a significant personality trait frequently observed in young adults, is associated with challenges in mental health and academic performance. Screening for BPD symptoms is essential. The Screening Instrument for Borderline Personality Disorder (SI-Bord) is widely used to assess general BPD symptoms. However, despite being translated and culturally adapted, the psychometric properties of the Chinese version of the SI-Bord have not been thoroughly investigated in a Chinese population. Objectives: The aim of the study was to evaluate the psychometric properties of the Chinese version of the Screening Instrument for Borderline Personality Disorder (SI-Bord) among university students using confirmatory factor analysis (CFA). Methods: Participants completed the SI-Bord along with the Perceived Stress Scale (PSS), the Meaning in Life Questionnaire (MLQ), the Experiences in Close Relationships–Revised (ECR-R), and the Rosenberg Self-Esteem Scale (RSES). Results: A total of 715 Chinese university students (mean age = 20.33 years; age range = 18–25), including 385 males (54.2%) and 325 females (45.5%), participated in this study. The unidimensional model demonstrated adequate fit indices. The SI-Bord showed significant correlations with the PSS and ECR-R (attachment anxiety), alongside smaller correlations with the MLQ, supporting its convergent and discriminant validity. The Chinese version of the SI-Bord exhibited good reliability. Invariance testing confirmed at least metric invariance across various groups. Conclusions: The Chinese version of the SI-Bord demonstrates strong validity and reliability as a tool for screening for core BPD symptoms among Chinese university students. Further studies are encouraged to evaluate the validity of the SI-Bord across diverse groups, including age, socioeconomic status, and geographic regions. Applying it in clinical BPD samples will further enhance its utility across Chinese populations. Full article
21 pages, 867 KB  
Article
Homophily-Guided Backdoor Attacks on GNN-Based Link Prediction
by Yadong Wang, Zhiwei Zhang, Pengpeng Qiao, Ye Yuan and Guoren Wang
Appl. Sci. 2025, 15(17), 9651; https://doi.org/10.3390/app15179651 - 2 Sep 2025
Viewed by 481
Abstract
Graph Neural Networks (GNNs) have shown strong performance in link prediction, a core task in graph analysis. However, recent studies reveal their vulnerability to backdoor attacks, which can manipulate predictions stealthily and pose significant yet underexplored security risks. The existing backdoor strategies for [...] Read more.
Graph Neural Networks (GNNs) have shown strong performance in link prediction, a core task in graph analysis. However, recent studies reveal their vulnerability to backdoor attacks, which can manipulate predictions stealthily and pose significant yet underexplored security risks. The existing backdoor strategies for link prediction suffer from two key limitations: gradient-based optimization is computationally intensive and scales poorly to large graphs, while single-node triggers introduce noticeable structural anomalies and local feature inconsistencies, making them both detectable and less effective. To address these limitations, we propose a novel backdoor attack framework grounded in the principle of homophily, designed to balance effectiveness and stealth. For each selected target link to be poisoned, we inject a unique path-based trigger by adding a bridge node that acts as a shared neighbor. The bridge node’s features are generated through a context-aware probabilistic sampling mechanism over the joint neighborhood of the target link, ensuring high consistency with the local graph context. Furthermore, we introduce a confidence-based trigger injection strategy that selects non-existent links with the lowest predicted existence probabilities as targets, ensuring a highly effective attack from a small poisoning budget. Extensive experiments on five benchmark datasets—Cora, Citeseer, Pubmed, CS, and the large-scale Physics graph—demonstrate that our method achieves superior performance in terms of Attack Success Rate (ASR) while maintaining a low Benign Performance Drop (BPD). These results highlight a novel and practical threat to GNN-based link prediction, offering valuable insights for designing more robust graph learning systems. Full article
(This article belongs to the Special Issue Adversarial Attacks and Cyber Security: Trends and Challenges)
Show Figures

Figure 1

15 pages, 1891 KB  
Article
Investigating PRDM8 DNA Methylation in Peripheral Tissues in Borderline Personality Disorder: Association with Symptom Severity but Not Adverse Childhood Experiences
by Annika Bender, Laila Bertele, Mirac Nur Musaoglu, Sarah Pasche, Susanne Edelmann and Vanessa Nieratschker
Brain Sci. 2025, 15(9), 950; https://doi.org/10.3390/brainsci15090950 - 30 Aug 2025
Viewed by 733
Abstract
Background: Borderline Personality Disorder (BPD) is a complex psychiatric condition with multifactorial origins, with a high proportion of patients reporting early trauma. Stressors such as adverse childhood experiences (ACEs) can shape the epigenetic landscape including DNA methylation (DNAm) and act on gene expression. [...] Read more.
Background: Borderline Personality Disorder (BPD) is a complex psychiatric condition with multifactorial origins, with a high proportion of patients reporting early trauma. Stressors such as adverse childhood experiences (ACEs) can shape the epigenetic landscape including DNA methylation (DNAm) and act on gene expression. DNAm is increasingly being investigated as a molecular link between environmental exposures such as ACE and psychiatric outcomes. Differential DNAm of the gene PR domain zinc finger protein 8 (PRDM8), a histone methyltransferase, has recently been reported to be sensitive to early life trauma. Its role in BPD, especially in the context of ACE, remains to be elucidated. Methods: This study investigated DNAm patterns of PRDM8 in peripheral blood and saliva obtained from BPD patients undergoing Dialectic Behavioral Therapy (DBT) compared to healthy control (HC) participants. Associations with ACE and BPD symptom severity were assessed, and therapy-related changes in DNAm were examined. Results: At baseline, BPD patients demonstrated significant hypomethylation of PRDM8 in blood relative to the HC group. Following DBT, a nominally significant increase in DNAm was observed, aligning with inversely correlated symptom severity. No significant differences in saliva were detected. ACE was not associated with PRDM8 DNAm. Conclusions: Our findings suggest that PRDM8 DNAm might be associated with BPD and therapeutic intervention but not with ACE. Together with prior research, the results underscore the importance of future investigation of gene–environment interactions and the functional significance of PRDM8 regulation in the pathophysiology of BPD. Full article
(This article belongs to the Section Neuropsychiatry)
Show Figures

Figure 1

41 pages, 1210 KB  
Review
Neural Correlates of Borderline Personality Disorder (BPD) Based on Electroencephalogram (EEG)—A Mechanistic Review
by James Chmiel and Donata Kurpas
Int. J. Mol. Sci. 2025, 26(17), 8230; https://doi.org/10.3390/ijms26178230 - 25 Aug 2025
Viewed by 1653
Abstract
Borderline Personality Disorder (BPD) is marked by emotional dysregulation, instability in self-image and relationships, and high impulsivity. While functional magnetic resonance imaging (fMRI) studies have provided valuable insights into the disorder’s neural correlates, electroencephalography (EEG) may capture real-time brain activity changes relevant to [...] Read more.
Borderline Personality Disorder (BPD) is marked by emotional dysregulation, instability in self-image and relationships, and high impulsivity. While functional magnetic resonance imaging (fMRI) studies have provided valuable insights into the disorder’s neural correlates, electroencephalography (EEG) may capture real-time brain activity changes relevant to BPD’s rapid emotional shifts. This review summarizes findings from studies investigating resting state and task-based EEG in individuals with BPD, highlighting common neurophysiological markers and their clinical implications. A targeted literature search (1980–2025) was conducted across databases, including PubMed, Google Scholar, and Cochrane. The search terms combined “EEG” or “electroencephalography” with “borderline personality disorder” or “BPD”. Clinical trials and case reports published in English were included if they recorded and analyzed EEG activity in BPD. A total of 24 studies met the inclusion criteria. Findings indicate that individuals with BPD often show patterns consistent with chronic hyperarousal (e.g., reduced alpha power and increased slow-wave activity) and difficulties shifting between vigilance states. Studies examining frontal EEG asymmetry reported varying results—some linked left-frontal activity to heightened hostility, while others found correlations between right-frontal shifts and dissociation. Childhood trauma, mentalization deficits, and dissociative symptoms were frequently predicted or correlated with EEG anomalies, underscoring the impact of adverse experiences on neural regulation—however, substantial heterogeneity in methods, small sample sizes, and comorbid conditions limited study comparability. Overall, EEG research supports the notion of altered arousal and emotion regulation circuits in BPD. While no single EEG marker uniformly defines the disorder, patterns such as reduced alpha power, increased theta/delta activity, and shifting frontal asymmetries converge with core BPD features of emotional lability and interpersonal hypersensitivity. More extensive, standardized, and multimodal investigations are needed to establish more reliable EEG biomarkers and elucidate how early trauma and dissociation shape BPD’s neurophysiological profile. Full article
(This article belongs to the Special Issue Biological Research of Rhythms in the Nervous System)
Show Figures

Figure 1

17 pages, 860 KB  
Article
Investigation of Optic Nerve Sheath Diameter, Intraocular Pressure, and Dry Eye in Patients with Borderline Personality Disorder: The Role of Childhood Trauma
by Tunahan Sun, Demet Dursun Çakar, Caner Yeşiloğlu, Mehmet Emin Demirkol, Lut Tamam, Kerim Uğur and Hatice Polat
J. Clin. Med. 2025, 14(16), 5886; https://doi.org/10.3390/jcm14165886 - 20 Aug 2025
Viewed by 507
Abstract
Background/Objectives: Borderline personality disorder (BPD) is a psychiatric disorder characterized by emotional instability, impulsive behavior, and impaired interpersonal relationships. It is associated with a high prevalence of childhood trauma and neurobiological changes. This study aimed to compare ophthalmologic parameters, namely, optic nerve [...] Read more.
Background/Objectives: Borderline personality disorder (BPD) is a psychiatric disorder characterized by emotional instability, impulsive behavior, and impaired interpersonal relationships. It is associated with a high prevalence of childhood trauma and neurobiological changes. This study aimed to compare ophthalmologic parameters, namely, optic nerve sheath diameter, intraocular pressure, and dry eye, in patients with BPD with healthy controls and to investigate the relations between these parameters and childhood trauma. Methods: This study included 51 female patients with BPD between the ages of 18 and 35 years, who were not using psychotropic medication, and 51 healthy controls matched for age and educational level. Optic nerve sheath diameter, intraocular pressure, and tear break-up time were measured, and trauma history was evaluated using the Childhood Trauma Questionnaire-Short Form. Independent t-test and Pearson correlation analysis were used in statistical analyses. Results: Patients with BPD were found to have significantly higher mean optic nerve sheath diameter scores (left: 3.94 ± 0.43, right: 3.97 ± 0.47) compared with healthy controls (left: 3.76 ± 0.44, right: 3.78 ± 0.45) (p < 0.05). The groups showed no significant difference in intraocular pressure and dry eye parameters (p > 0.05). A significant positive correlation was noted between emotional abuse scores and the optic nerve sheath diameter of the left eye in patients with BPD (p < 0.05; r = 0.364). Conclusions: An increased optic nerve sheath diameter may be a potential peripheral biomarker reflecting chronic stress or changes in intracranial physiology in patients with BPD. This increase is particularly associated with a history of emotional abuse. Ophthalmological parameters may contribute to understanding the neurobiological basis of BPD and serve as peripheral biomarkers or indicators of neurobiological changes. Full article
Show Figures

Figure 1

19 pages, 1162 KB  
Article
Beyond the Scars: An Analysis of Adverse Childhood Experiences and the Interconnections Between Emotion Dysregulation, Dissociation, and Trauma in Patients with Borderline Personality Disorder
by Luciana Ciringione, Enrico Perinelli, Francesco Mancini and Elena Prunetti
Brain Sci. 2025, 15(8), 889; https://doi.org/10.3390/brainsci15080889 - 20 Aug 2025
Viewed by 1550
Abstract
Background/Objectives: Borderline Personality Disorder (BPD) frequently overlaps with trauma-related conditions, particularly PTSD and Complex PTSD (cPTSD). Adverse Childhood Experiences (ACEs)—especially emotional and sexual abuse—are considered key factors in the development of emotion dysregulation and dissociation. This study investigates the impact of different [...] Read more.
Background/Objectives: Borderline Personality Disorder (BPD) frequently overlaps with trauma-related conditions, particularly PTSD and Complex PTSD (cPTSD). Adverse Childhood Experiences (ACEs)—especially emotional and sexual abuse—are considered key factors in the development of emotion dysregulation and dissociation. This study investigates the impact of different ACE dimensions on borderline symptomatology, emotion dysregulation, and dissociative symptoms. Methods: Eighty-three BPD patients were assessed using standardized self-report questionnaires: CTQ-SF (ACEs), DERS (emotion dysregulation), DES (dissociation), BSL-23 (borderline symptoms), and PDS-3 (post-traumatic symptoms). Analyses included bivariate correlations, Structural Equation Modeling (SEM), and Exploratory Graph Analysis (EGA). Results: Emotional abuse significantly predicted borderline symptoms, while sexual abuse predicted dissociation. Emotion dysregulation was strongly associated with both borderline and dissociative symptoms, emerging as a central node in the symptom network. EGA confirmed the clustering of dissociative symptoms with sexual abuse and the centrality of emotion dysregulation across domains. Conclusions: Findings support the role of specific ACEs in shaping the clinical expression of BPD. Emotion dysregulation acts as a key transdiagnostic factor linking trauma history to borderline and dissociative features. These results underscore the importance of trauma-informed assessments and interventions, such as DBT and DBT-PTSD, tailored to individual ACE profiles. Full article
(This article belongs to the Special Issue Traumatic Stress and Dissociative Disorder)
Show Figures

Figure 1

16 pages, 711 KB  
Article
Investigating the Association Between Central Sensitization and Breathing Pattern Disorders
by Hyunmo Lim, Yongwook Lee, Yechan Cha, Juhee Hwang, Hyojung Han, Huijin Lee, Jaeho Yang, Woobin Jeong, Yujin Lim, Donggeun Lee and Hyunjoong Kim
Biomedicines 2025, 13(8), 1982; https://doi.org/10.3390/biomedicines13081982 - 15 Aug 2025
Viewed by 1545
Abstract
Background/Objectives: Central sensitization (CS) is identified as a cause of pain in various musculoskeletal diseases, and breathing pattern disorders (BPDs) are reported to be correlated with chronic pain. This study aimed to analyze the relationship between CS and BPDs through regression analysis. Methods: [...] Read more.
Background/Objectives: Central sensitization (CS) is identified as a cause of pain in various musculoskeletal diseases, and breathing pattern disorders (BPDs) are reported to be correlated with chronic pain. This study aimed to analyze the relationship between CS and BPDs through regression analysis. Methods: A cross-sectional study was designed according to the strengthening the reporting of observational studies in epidemiology (STROBE) guidelines. Forty participants with moderate to extreme CS (central sensitization inventory for Koreans; CSI-K ≥ 40) were enrolled, and their respiratory motion (manual assessment of respiratory motion; MARM), respiratory function (self-evaluation of breathing questionnaire; SEBQ), respiratory muscle strength (maximal inspiratory pressure; MIP, maximal expiratory pressure; MEP), pain intensity (numeric pain rating scale; NPRS), pain cognition (Korean version of pain catastrophizing scale; K-PCS), muscle tone and stiffness were measured. Results: Among participants with moderate to extreme CS, 82.5% showed BPDs and 42.5% reported severe pain intensity. Regression analysis revealed significant relationships between respiratory and pain variables. K-PCS demonstrated significant negative relationships with MARM area (β = −0.437, R2 = 0.191) and positive relationships with SEBQ (β = 0.528, R2 = 0.279). In the subgroup with BPDs, strong regression relationships were found between MARM area and NPRS usual pain (β = −0.486, R2 = 0.237) and K-PCS (β = −0.605, R2 = 0.366). Multiple regression analysis showed that MARM area and SEBQ together explained 41.2% of variance in pain catastrophizing. The comprehensive muscle stiffness prediction model using CSI-K, K-PCS, and muscle tone showed remarkably high explanatory power (R2 = 0.978). Conclusions: In individuals with moderate to extreme CS, respiratory dysfunction was prevalent and significantly predictable through regression models with pain intensity and pain cognition. These quantitative regression relationships between breathing mechanics, pain measures, and muscle properties provide clinical prediction tools and suggest the importance of assessing breathing patterns in CS management. Full article
(This article belongs to the Section Molecular and Translational Medicine)
Show Figures

Figure 1

22 pages, 1383 KB  
Article
The Association Between Borderline Personality Disorder Symptoms and Social Behaviour Among University Students
by Andreea Sălcudean, Iustin Olariu, Mădălina-Gabriela Cincu, Ramona Amina Popovici, Iuliana Comșulea, Cristina-Raluca Bodo, Dora-Mihaela Cîmpian and Elena-Gabriela Strete
Medicina 2025, 61(8), 1465; https://doi.org/10.3390/medicina61081465 - 14 Aug 2025
Cited by 1 | Viewed by 680
Abstract
Background and Objectives: Borderline personality disorder (BPD) is a complex psychiatric condition characterized by emotional instability, impulsivity, a fluctuating self-image, and persistent difficulties in maintaining close interpersonal relationships. Among university students, these traits may be associated with social adjustment and academic functioning difficulties. [...] Read more.
Background and Objectives: Borderline personality disorder (BPD) is a complex psychiatric condition characterized by emotional instability, impulsivity, a fluctuating self-image, and persistent difficulties in maintaining close interpersonal relationships. Among university students, these traits may be associated with social adjustment and academic functioning difficulties. The present study aimed to examine the prevalence of borderline traits within a Romanian student population and to investigate the associations between these traits and interpersonal difficulties encountered in family life, romantic relationships, and academic environments. Materials and Methods: This cross-sectional study included a total of 151 undergraduate students enrolled in higher education institutions across Romania. Data were gathered through an online questionnaire available between March and May 2025. The instrument comprised items addressing socio-demographic characteristics, diagnostic criteria for borderline personality traits according to the DSM, as well as self-reported social behaviour patterns. Statistical analysis was performed using GraphPad Prism 9, version 9.3.1 for Windows, employing Fisher’s exact test and the odds ratio (OR), with a significance threshold set at p < 0.05. Results: Most participants reported experiencing affective instability (71.5%) and distorted self-image (58.9%). Fear of abandonment was present in 29.4% of the respondents, while impulsivity was identified in 37.7%. Borderline personality traits were significantly associated with a range of social difficulties, including relational anxiety, outbursts of anger, peer conflicts, social withdrawal, and dissociative symptoms. Individuals who exhibited impulsivity, self-injurious behaviours, or dissociative episodes demonstrated a markedly increased risk of social dysfunction, with odds ratios ranging from 3 to 10 (p < 0.0001). Conclusions: The findings reveal a high prevalence of borderline traits within the analysed sample, along with statistically significant associations with social and emotional difficulties. These results underscore the importance of implementing psychological screening programs in universities, as well as early intervention strategies focused on the mental well-being of young adults. Establishing a supportive academic environment and fostering collaboration between faculty members and mental health professionals may play a key role in preventing symptom escalation and in promoting healthy personal and relational development. Full article
(This article belongs to the Special Issue Mental Health Care: Pandemic and Beyond)
Show Figures

Figure 1

Back to TopTop