Sign in to use this feature.

Years

Between: -

Subjects

remove_circle_outline
remove_circle_outline
remove_circle_outline
remove_circle_outline
remove_circle_outline

Journals

Article Types

Countries / Regions

Search Results (39)

Search Parameters:
Keywords = Asian Corn Borer

Order results
Result details
Results per page
Select all
Export citation of selected articles as:
14 pages, 3131 KB  
Article
Effects of Red and Blue Laser Irradiation on the Growth and Development of Ostrinia furnacalis
by Xuemei Liang, Xintong Dai, Li Qin, Xiao Feng, Ge Chen and Minglai Yang
Insects 2025, 16(9), 906; https://doi.org/10.3390/insects16090906 - 29 Aug 2025
Viewed by 628
Abstract
This study evaluated the effects of red and blue laser irradiation on the development and reproduction of the Asian corn borer (Ostrinia furnacalis (Guenée)) under controlled laboratory conditions, aiming to explore its potential for non-chemical pest control. Larvae were exposed to laser [...] Read more.
This study evaluated the effects of red and blue laser irradiation on the development and reproduction of the Asian corn borer (Ostrinia furnacalis (Guenée)) under controlled laboratory conditions, aiming to explore its potential for non-chemical pest control. Larvae were exposed to laser light at different wavelengths and intensities, and key biological parameters—including egg hatching, larval duration, pupation, adult emergence, and oviposition—were assessed. Red laser light slightly delayed egg hatching but had minimal effects on subsequent developmental stages. In contrast, blue laser irradiation significantly prolonged the larval period and reduced pupation rates. Combined red–blue treatments produced similar inhibitory effects to blue light alone, suggesting that blue wavelengths were the primary factor driving developmental delays. These findings demonstrate that blue and red–blue laser irradiation can effectively interfere with the life cycle of O. furnacalis, offering a promising approach for sustainable, light-based pest management strategies. Full article
(This article belongs to the Section Insect Pest and Vector Management)
Show Figures

Graphical abstract

14 pages, 2439 KB  
Article
Molecular Characterization and Assessment of Insect Resistance of Transgenic Maize ZDRF-8
by Chengqi Zhu, Liang Qi, Yinfan Yu, Xianwen Zhang, Jifeng Ying, Yuxuan Ye and Zhicheng Shen
Plants 2025, 14(6), 901; https://doi.org/10.3390/plants14060901 - 13 Mar 2025
Viewed by 1000
Abstract
ZDRF-8 is a transgenic maize event created via Agrobacterium-mediated transformation for insect resistance and glyphosate tolerance by expressing Cry1Ab, Cry2Ab, and G10evo-epsps. A Southern blot analysis suggested that it is a single-copy T-DNA insertion event. The flanking genomic sequences [...] Read more.
ZDRF-8 is a transgenic maize event created via Agrobacterium-mediated transformation for insect resistance and glyphosate tolerance by expressing Cry1Ab, Cry2Ab, and G10evo-epsps. A Southern blot analysis suggested that it is a single-copy T-DNA insertion event. The flanking genomic sequences of the T-DNA insertion suggested that its T-DNA was inserted at the terminal region of the long arm of chromosome 7 without interrupting any known or predicted genes. Event-specific PCRs based on the flanking sequence were able to detect this event specifically. Laboratory bioassays and field trials of multiple generations demonstrated that ZDRF-8 is highly active against major corn pests in China, including Asian corn borers (ACB, Ostrinia furnacalis), cotton bollworms (CBW, Helicoverpa armigera), and oriental armyworm (OAW, Mythimna separata), and meanwhile confers glyphosate tolerance up to two times the recommended dose. The expression of the transgenes and the efficacy of insect resistance and glyphosate tolerance were stable over more than 10 generations. ZDRF-8 has been granted with a safety certificate in China, and its commercial release is expected in the coming years. Full article
(This article belongs to the Section Plant Genetics, Genomics and Biotechnology)
Show Figures

Figure 1

11 pages, 925 KB  
Article
Reproductive Success of Trichogramma ostriniae over Trichogramma dendrolimi in Multi-Generational Rearing on Corn Borer Eggs
by Yu Wang, Asim Iqbal, Kanwer Shahzad Ahmed, Yuan-Yuan Zhou and Chen Zhang
Insects 2025, 16(3), 297; https://doi.org/10.3390/insects16030297 - 12 Mar 2025
Cited by 1 | Viewed by 1242
Abstract
In China, the Asian corn borer (ACB), Ostrinia furnacalis (Guenee) (Lepidoptera: Pyralidae), is the most significant economic insect pest of corn, causing losses ranging from six to nine million tons annually by feeding on all parts of maize, including damaging ears and leaves [...] Read more.
In China, the Asian corn borer (ACB), Ostrinia furnacalis (Guenee) (Lepidoptera: Pyralidae), is the most significant economic insect pest of corn, causing losses ranging from six to nine million tons annually by feeding on all parts of maize, including damaging ears and leaves and making tunnels in stems. In China, since the 1970s, the Trichogramma species have extensively mass-reared from factitious hosts to control ACB and support integrated pest management programs. The Trichogramma dendrolimi Matsumura and T. ostriniae Pang and Chen are the most efficient biocontrol agents for controlling ACB among the available Trichogramma species. To evaluate the reproductive success of Trichogramma dendrolimi and T. ostriniae, we assessed the impact of varying parasitoid ratios (5:1, 3:1, 1:1, 1:3, and 1:5 representing T. dendrolimi and T. ostriniae, respectively) on adult offspring emergence and mortality from ACB eggs over multiple generations (from first (F1) to third (F3) generations). We discovered that both Trichogramma species’ offspring emergence was significantly influenced by the parasitoid generations, parasitoid ratios, and their interactions. The offspring mortality in both Trichogramma species was significantly affected by parasitoid generations but was not significantly influenced by parasitoid ratios or interaction between parasitoid generations and parasitoid ratios. Furthermore, at parasitoid ratios of 5:1, 3:1, and 1:1, the emergence rate of the F1 generation of T. dendrolimi was significantly higher compared to the ratios of 1:3 and 1:5. However, in the F2 generation, the emergence of T. dendrolimi decreased considerably, and no emergence was observed in the F3 generation. A contrasting trend was observed in the emergence of T. ostriniae offspring. Overall, regardless of the parasitoid ratios, the offspring emergence of T. ostriniae in all three generations was significantly higher than that of T. dendrolimi. After assessing the offspring mortality in our research by dissecting the unhatched eggs, we found an inverse relationship between the T. dendrolimi generations and their mortality across different parasitoid ratios. Notably, mortality exhibited a significant decline with an increasing number of generations. A positive correlation was observed between the number of T. ostriniae generations and their mortality across different parasitoid ratios, indicating that mortality increased with successive generations. Overall, across all parasitoid ratios and generations, the offspring mortality of T. ostriniae was considerably greater than that of T. dendrolimi. These results suggest that mortality is a crucial empirical measure that validates T. ostriniae’s superiority over T. dendrolimi. These findings highlight the importance of selecting suitable parasitoid species when implementing Trichogramma for pest management. Full article
(This article belongs to the Special Issue Diapause Regulation and Biological Control of Natural Enemy Insects)
Show Figures

Figure 1

8 pages, 396 KB  
Article
Risk Assessment and Fitness Cost of Tetraniliprole Resistance in Ostrinia furnacalis (Lepidoptera: Crambidae)
by Tingting Xu, Fei Hu, Ran Yue, Benjin Hu, Sijia Bi, Youmin Tong and Lina Xu
Agronomy 2025, 15(3), 531; https://doi.org/10.3390/agronomy15030531 - 22 Feb 2025
Cited by 1 | Viewed by 775
Abstract
Asian corn borer (ACB), Ostrinia furnacalis, is a predominant pest species that is widely distributed across major corn-growing regions in China. Tetraniliprole, a novel diamid insecticide, exhibited good efficacy on lepidopteran insect pests and was officially sanctioned for controlling ACB in China. [...] Read more.
Asian corn borer (ACB), Ostrinia furnacalis, is a predominant pest species that is widely distributed across major corn-growing regions in China. Tetraniliprole, a novel diamid insecticide, exhibited good efficacy on lepidopteran insect pests and was officially sanctioned for controlling ACB in China. In this study, a tetraniliprole-resistant strain called ACB-TLR was obtained from a susceptible strain, ACB-SS, after 10 continuous generation selections with tetraniliprole. Additionally, the fitness cost of the ACB-TLR strain was assessed. The results showed that ACB developed 11.58-fold resistance to tetraniliprole and the realized heritability was estimated as 0.213. The ACB-TLR strain displayed 2.10 times cross-resistance to chlorantraniliprole, but we found no cross-resistance to emamectin benzoate and deltamethrin. The development time of larvae and pupae was significantly prolonged, the adult longevity was significantly shorter, and the pupation and emergence rates were significantly reduced in the ACB-TLR strain than in the ACB-SS strain, with a relative fitness of 0.39. The current study indicated that ACB has the potential to develop resistance to tetraniliprole in the field. However, the decreased fitness may allow insecticide resistance to be managed. Full article
(This article belongs to the Section Pest and Disease Management)
Show Figures

Figure 1

11 pages, 1169 KB  
Article
Impact of Oviposition Sequence and Host Egg Density on Offspring Emergence and Interspecific Competition in Two Species of Trichogramma Parasitoids
by Yu Wang, Asim Iqbal, Kanwer Shahzad Ahmed, Zheng-Kun Zhang, Juan Cui and Chen Zhang
Insects 2025, 16(2), 214; https://doi.org/10.3390/insects16020214 - 15 Feb 2025
Cited by 1 | Viewed by 931
Abstract
Asian corn borer (ACB), Ostrinia furnacalis Guenee (Lepidoptera: Crambidae) and the rice moth (RM), Corycyra cephalonica Stainton (Lepidoptera: Pyralidae) are economically significant insect pests that threaten the agricultural products worldwide. Trichogramma parasitoids are successfully mass-reared using artificial host eggs, RM, and are often [...] Read more.
Asian corn borer (ACB), Ostrinia furnacalis Guenee (Lepidoptera: Crambidae) and the rice moth (RM), Corycyra cephalonica Stainton (Lepidoptera: Pyralidae) are economically significant insect pests that threaten the agricultural products worldwide. Trichogramma parasitoids are successfully mass-reared using artificial host eggs, RM, and are often managed by economically important lepidopterous pests, such as ACB in China. Trichogramma ostriniae Pang and Chen (To) and T. dendrolimi Matsumura (Td) (Hymenoptera: Trichogrammatidae) are two important parasitoids of ACB. To determine the influence of interspecific competition between To and Td on their offspring’s emergence. We determine the emergence of wasp progeny from two distinct hosts (ACB and RM eggs) of varying densities (10, 20, 30, and 100) by examining the effect of three distinct oviposition sequences (To-Td, Td-To, and To+Td) by two Trichogramma species. We discovered that the progeny emergence rate of To and Td from the host was substantially influenced by the parasitoid types, host types, oviposition sequences, and host densities, and their two-, three-, and four-factor interactions while investigating the ACB and RM eggs after oviposition. Additionally, the progeny of Td emerged from 10, 20, and 30 ACB host eggs under three oviposition sequences, which was significantly higher than that of ACB eggs of 100 densities. Nevertheless, the optimum emergence rate of Td progeny was also observed in ACB eggs with a density of 100 under all oviposition sequences. The most suitable oviposition sequences for both wasp species are To-Td and Td-To, as they have the highest rate of progeny emergence. The progeny emergence of both Trichogramma species from RM eggs of varying densities was observed to be significantly different. Nevertheless, the most influential density is 100 RM eggs, as a result of the maximal emergence rate of To and Td. Overall, it is concluded that host eggs with a density of 100 are adequate to meet the oviposition requirements of both wasps in all oviposition orders, thereby limiting their interspecific competition. These findings provide insights into optimizing host density and oviposition strategies for mass-rearing Trichogramma species, which can enhance their efficacy in biological control programs. Future research should explore field-level applications to validate these laboratory findings under natural conditions. Full article
(This article belongs to the Special Issue Diapause Regulation and Biological Control of Natural Enemy Insects)
Show Figures

Figure 1

13 pages, 3992 KB  
Article
Utilizing the Fungal Bicistronic System for Multi-Gene Expression to Generate Insect-Resistant and Herbicide-Tolerant Maize
by Yuxiao Chen, Wenjie Lv, Qun Yue, Ning Wen, Yinxiao Wang, Zhihong Lang, Wei Xu and Shengyan Li
Int. J. Mol. Sci. 2024, 25(24), 13408; https://doi.org/10.3390/ijms252413408 - 14 Dec 2024
Cited by 1 | Viewed by 1180
Abstract
Developing simple and efficient multi-gene expression systems is crucial for multi-trait improvement or bioproduction in transgenic plants. In previous research, an IGG6-based bicistronic system from the nonpathogenic fungus Glarea lozoyensis efficiently expressed multiple enzyme proteins in yeast and maize, and the heterologous [...] Read more.
Developing simple and efficient multi-gene expression systems is crucial for multi-trait improvement or bioproduction in transgenic plants. In previous research, an IGG6-based bicistronic system from the nonpathogenic fungus Glarea lozoyensis efficiently expressed multiple enzyme proteins in yeast and maize, and the heterologous enzymes successfully performed their catalytic activity to reconstruct the biosynthetic pathway in the host organism. Unlike enzyme proteins, some heterologous functional proteins (such as insecticidal proteins) are dose-dependent and they need to express sufficient levels to perform their biological functions. It remains unclear whether the IGG6-based bicistronic system can achieve high expression of the functional proteins for practical applications in crops. In this study, two Bacillus thuringiensis (Bt) insecticidal genes, vip3Aa and cry1Ab, were linked via IGG6 to form a bicistron, while two glyphosate resistance genes, gr79epsps and gat, served as monocistronic selectable marker genes. Regenerated maize plants were produced through genetic transformation. RNA and immunoblot analyses revealed that the vip3Aa-IGG6-cry1Ab bicistron was transcribed as a single transcript, which was then translated into two separate proteins. Notably, the transcription and translation of cry1Ab were significantly positively correlated with those of vip3Aa. Through ELISA and leaf bioassay, we identified two transgenic maize lines, VICGG-15 and VICGG-20, that exhibited high insecticidal activity against fall armyworm (FAW; Spodoptera frugiperda) and Asian corn borer (ACB; Ostrinia furnacalis), both of which had high expression of Vip3Aa and Cry1Ab proteins. Subsequent evaluations, including silk, ear, and field bioassays, as well as glyphosate tolerance assessments, indicated that the VICGG-15 plants displayed high resistance to FAW and ACB, and could tolerate up to 3600 g acid equivalent (a.e.) glyphosate per hectare without adversely affecting phenotype or yield. Our finding established that the IGG6-based bicistronic system can achieve high expression of functional proteins in maize, and it is a potential candidate for multi-gene assembly and expression in plants. Full article
(This article belongs to the Special Issue New Insights into Plants and Insects Interactions)
Show Figures

Figure 1

12 pages, 1703 KB  
Article
Toxic Effects of Bt-(Cry1Ab+Vip3Aa) Maize (“DBN3601T’’ Event) on the Asian Corn Borer Ostrinia furnacalis (Guenée) in Southwestern China
by Haitao Li, Wenhui Wang, Xianming Yang, Guodong Kang, Zhenghao Zhang and Kongming Wu
Agronomy 2024, 14(9), 1906; https://doi.org/10.3390/agronomy14091906 - 26 Aug 2024
Cited by 5 | Viewed by 1672
Abstract
Asian corn borer (ACB), Ostrinia furnacalis, is an important agricultural pest affecting maize production in southwestern China, but knowledge of the toxic effect of Bt maize on the pest has been insufficient until now. In this study, we determined the susceptibility of [...] Read more.
Asian corn borer (ACB), Ostrinia furnacalis, is an important agricultural pest affecting maize production in southwestern China, but knowledge of the toxic effect of Bt maize on the pest has been insufficient until now. In this study, we determined the susceptibility of ACB to Cry1Ab, Vip3Aa, and their complex proteins and evaluated the efficacy of Chinese domestic Bt-(Cry1Ab+Vip3Aa) maize (“DBN3601T” event) against the pest in Yunnan Province of southwestern China. The susceptible bioassay indicated that the LC50 values of the Cry1Ab and Cry1Ab+Vip3Aa proteins expressed by the Bt maize varieties against ACB larvae were 51.42 and 46.85 ng/g, respectively; however, the ACB larva was insensitive to the Vip3Aa protein. The Cry1Ab+Vip3Aa protein contents in V6–V8 leaves, VT tassels, R1 silks, R2 kernels, R3 stalks and R3 cobs of the Bt-(Cry1Ab+Vip3Aa) maize were 114.20, 30.69, 3.77, 8.92, 11.09 and 10.99 μg/g, respectively. The larval feeding test indicated that the Bt-(Cry1Ab+Vip3Aa) maize was more toxic to the early instar larvae, and the survival time of larvae fed on the leaves was the shortest, while it survived the longest on stalks. The identification of maize resistance levels in the field showed that both larval density and plant damage score of Bt-(Cry1Ab+Vip3Aa) maize were significantly lower than those in conventional maize. It is concluded that the Bt-(Cry1Ab+Vip3Aa) maize can be used for control of the ACB in southwestern China. Full article
(This article belongs to the Section Pest and Disease Management)
Show Figures

Figure 1

18 pages, 5695 KB  
Article
Benzoxazinoids Biosynthetic Gene Cluster Identification and Expression Analysis in Maize under Biotic and Abiotic Stresses
by Xiaoqiang Zhao, Zhenzhen Shi, Fuqiang He, Yining Niu, Guoxiang Qi, Siqi Sun, Xin Li and Xiquan Gao
Int. J. Mol. Sci. 2024, 25(13), 7460; https://doi.org/10.3390/ijms25137460 - 7 Jul 2024
Cited by 3 | Viewed by 2080
Abstract
Benzoxazinoids (BXs) are unique bioactive metabolites with protective and allelopathic properties in maize in response to diverse stresses. The production of BXs involves the fine regulations of BXs biosynthetic gene cluster (BGC). However, little is known about whether and how the expression pattern [...] Read more.
Benzoxazinoids (BXs) are unique bioactive metabolites with protective and allelopathic properties in maize in response to diverse stresses. The production of BXs involves the fine regulations of BXs biosynthetic gene cluster (BGC). However, little is known about whether and how the expression pattern of BGC members is impacted by biotic and abiotic stresses. Here, maize BGC was systemically investigated and 26 BGC gene members were identified on seven chromosomes, for which Bin 4.00–4.01/4.03–4.04/7.02 were the most enriched regions. All BX proteins were clearly divided into three classes and seven subclasses, and ten conserved motifs were further identified among these proteins. These proteins were localized in the subcellular compartments of chloroplast, endoplasmic reticulum, or cytoplasmic, where their catalytic activities were specifically executed. Three independent RNA-sequencing (RNA-Seq) analyses revealed that the expression profiles of the majority of BGC gene members were distinctly affected by multiple treatments, including light spectral quality, low-temperature, 24-epibrassinolide induction, and Asian corn borer infestation. Thirteen differentially expressed genes (DEGs) with high and specific expression levels were commonly detected among three RNA-Seq, as core conserved BGC members for regulating BXs biosynthesis under multiple abiotic/biotic stimulates. Moreover, the quantitative real-time PCR (qRT-PCR) verified that six core conserved genes in BGC were significantly differentially expressed in leaves of seedlings upon four treatments, which caused significant increases in 2,4-dihydroxy-7-methoxy-1,4-benzoxazin-3-one (DIMBOA) content under darkness and wound treatments, whereas a clear decrease in DIMBOA content was observed under low-temperature treatment. In conclusion, the changes in BX metabolites in maize were regulated by BGC gene members in multiple stress presences. Therefore, the identification of key genes associated with BX accumulation under biotic/abiotic stresses will provide valuable gene resources for breeding maize varieties with enhanced capability to adapt to environmental stresses. Full article
(This article belongs to the Special Issue Recent Advances in Maize Stress Biology)
Show Figures

Figure 1

13 pages, 2168 KB  
Article
Knockout of ovary serine protease Leads to Ovary Deformation and Female Sterility in the Asian Corn Borer, Ostrinia furnacalis
by Porui Zhang, Zuerdong Jialaliding, Junwen Gu, Austin Merchant, Qi Zhang and Xuguo Zhou
Int. J. Mol. Sci. 2023, 24(22), 16311; https://doi.org/10.3390/ijms242216311 - 14 Nov 2023
Cited by 7 | Viewed by 4632
Abstract
Oogenesis in insects is a carefully orchestrated process, facilitating the formation of female gametes, which is regulated by multiple extrinsic and intrinsic factors, including ovary serine protease (Osp). As a member of the serine protease family, Osp is a homolog of Nudel, [...] Read more.
Oogenesis in insects is a carefully orchestrated process, facilitating the formation of female gametes, which is regulated by multiple extrinsic and intrinsic factors, including ovary serine protease (Osp). As a member of the serine protease family, Osp is a homolog of Nudel, a maternally required protease defining embryonic dorsoventral polarity in Drosophila. In this study, we used CRISPR/Cas9-mediated mutagenesis to functionally characterize Osp in the Asian corn borer, Ostrinia furnacalis, a devastating maize pest throughout Asia and Australia. Building on previous knowledge, we hypothesized that knockout of Osp would disrupt embryonic development in O. furnacalis females. To examine this overarching hypothesis, we (1) cloned and characterized Osp from O. furnacalis, (2) designed target sites on exons 1 and 4 to construct a CRISPR/Cas9 mutagenesis system, and (3) documented phenotypic impacts among O. furnacalis Osp mutants. As a result, we (1) examined the temporal-spatial expression profiles of OfOsp, which has an open reading frame of 5648 bp in length and encodes a protein of 1873 amino acids; (2) established O. furnacalis Osp mutants; and (3) documented recessive, female-specific sterility among OfOspF mutants, including absent or deformed oviducts and reduced fertility in female but not male mutants. Overall, the combined results support our initial hypothesis that Osp is required for embryonic development, specifically ovarian maturation, in O. furnacalis females. Given its substantial impacts on female sterility, Osp provides a potential target for the Sterile Insect Technique (SIT) to manage Lepidoptera pests in general and the species complex Ostrinia in particular. Full article
(This article belongs to the Collection Feature Papers in “Molecular Biology”)
Show Figures

Figure 1

12 pages, 746 KB  
Article
Baseline Susceptibility of the Field Populations of Ostrinia furnacalis in Indonesia to the Proteins Cry1A.105 and Cry2Ab2 of Bacillus thuringiensis
by Y. Andi Trisyono, Valentina E. F. Aryuwandari, Teguh Rahayu, Samuel Martinelli, Graham P. Head, Srinivas Parimi and Luis R. Camacho
Toxins 2023, 15(10), 602; https://doi.org/10.3390/toxins15100602 - 7 Oct 2023
Cited by 1 | Viewed by 2465
Abstract
Genetically modified MON 89034 corn (Zea mays L.) expressing Bacillus thuringiensis (Bt) insecticidal proteins, viz. Cry1A.105 and Cry2Ab2, is a biotechnological option being considered for the management of the major corn pest in Indonesia, the Asian corn borer (Ostrinia [...] Read more.
Genetically modified MON 89034 corn (Zea mays L.) expressing Bacillus thuringiensis (Bt) insecticidal proteins, viz. Cry1A.105 and Cry2Ab2, is a biotechnological option being considered for the management of the major corn pest in Indonesia, the Asian corn borer (Ostrinia furnacalis (Guenée) (Lepidoptera: Crambidae)). As a part of a proactive resistance-management program for MON 89034 corn in Indonesia, we assessed the baseline susceptibility of field-collected populations of O. furnacalis to Cry1A.105 and Cry2Ab2 proteins. Dose–response bioassays using the diet-dipping method indicated that the lethal concentration (LC50) values of Cry1A.105 and Cry2Ab2 in 24 different field populations of O. furnacalis ranged from 0.006 to 0.401 µg/mL and from 0.044 to 4.490 µg/mL, respectively, while the LC95 values ranged from 0.069 to 15.233 µg/mL for Cry1A.105 and from 3.320 to 277.584 µg/mL for Cry2Ab2. The relative resistance ratios comparing the most tolerant field populations and an unselected laboratory population were 6.0 for Cry1A.105 and 2.0 for Cry2Ab2 based on their LC50 values. Some field populations were more susceptible to both proteins than the unselected laboratory population. The LC99 and its 95% fiducial limits across the field populations were calculated and proposed as candidate diagnostic concentrations. These data provide a basis for resistance monitoring in Bt Corn and further support building resistance-management strategies in Indonesia. Full article
(This article belongs to the Special Issue Bacillus thuringiensis: A Broader View of Its Biocidal Activity)
Show Figures

Graphical abstract

15 pages, 3157 KB  
Article
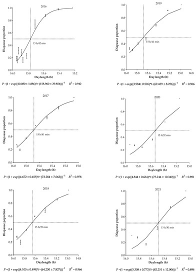
Evolutionary Shift of Insect Diapause Strategy in a Warming Climate: An Intra-Population Evidence from Asian Corn Borer
by Lianxia Wang, Kaiqiang Liu, Xiumei Zhao, Tiantao Zhang, Ming Yuan and Kanglai He
Biology 2023, 12(6), 762; https://doi.org/10.3390/biology12060762 - 24 May 2023
Cited by 2 | Viewed by 2600
Abstract
Herbivorous insects having variable numbers of generations annually depending on climate and day length conditions are increasingly breeding additional generations driven by elevated temperature under the scenario of global warming, which will increase insect abundance and result in more frequent damage events. Theoretically, [...] Read more.
Herbivorous insects having variable numbers of generations annually depending on climate and day length conditions are increasingly breeding additional generations driven by elevated temperature under the scenario of global warming, which will increase insect abundance and result in more frequent damage events. Theoretically, this relies on two premises, i.e., either an evolutionary shift to facultative diapause for an insect behaving an obligatory diapause or developmental plasticity to alter voltinism productively for an insect with facultative diapause before shortening photoperiods inducing diapause. Inter-population evidence supporting the premise (theory) comes primarily from a model system with voltinism linked to thermal gradients across latitude. We examined the intra-population evidence in the field (47°24′ N, 123°68′ E) with Ostrinia furnacalis, one of the most destructive pests, on corn in Asia and Pacific islands. The species was univoltine in high latitudinal areas (≤46° N). Divergence of the diapause feature (obligatory and facultative) was observed within the field populations from 2016 to 2021. Warmer climates would provoke more facultative diapause individuals to initiate a second generation, which will significantly drive the population to evolve toward facultative diapause (multi-voltinism). Both divergent diapause and temperature must be considered for accurate prediction of phenology and population dynamics in ACB. Full article
(This article belongs to the Section Ecology)
Show Figures

Graphical abstract

12 pages, 2561 KB  
Article
Lack of Known Target-Site Mutations in Field Populations of Ostrinia furnacalis in China from 2019 to 2021
by Youhui Gong, Ting Li, Xiaojian Xiu, Nicolas Desneux and Maolin Hou
Toxics 2023, 11(4), 332; https://doi.org/10.3390/toxics11040332 - 31 Mar 2023
Cited by 2 | Viewed by 2282
Abstract
The Asian corn borer, Ostrinia furnacalis (Guenée) (Lepidoptera; Pyralidae), is one of the most destructive insect pests of corn, for which chemical insecticides have been the primary method of control, especially during outbreaks. Little information is currently available on the status of insecticide [...] Read more.
The Asian corn borer, Ostrinia furnacalis (Guenée) (Lepidoptera; Pyralidae), is one of the most destructive insect pests of corn, for which chemical insecticides have been the primary method of control, especially during outbreaks. Little information is currently available on the status of insecticide resistance and associated mechanisms in O. furnacalis field populations. Invasions and outbreaks of Spodoptera frugiperda in China in recent years have increased chemical application in corn fields, which adds to the selection pressure on O. furnacalis. This study was conducted to estimate the risk of insecticide resistance by investigating the frequency of insecticide resistant alleles associated with target site insensitivity in field populations of O. furnacalis. Using the individual-PCR genotype sequencing analysis, none of the six target-site insecticide resistant mutations were detected in O. furnacalis field populations collected from 2019 to 2021 in China. These investigated insecticide resistance alleles are common in resistant Lepidoptra pests and are responsible for resistance to pyrethroids, organophosphorus, carbamates, diamide, and Cry1Ab. Our results support the low insecticide resistance status in field O. furnacalis populations and betokens the unlikely development of high resistance mediated by the common target-site resistance alleles. Additionally, the findings would serve as references for further efforts toward the sustainable management of O. furnacalis. Full article
Show Figures

Graphical abstract

11 pages, 1483 KB  
Article
Seven Years of Monitoring Susceptibility to Cry1Ab and Cry1F in Asian Corn Borer
by Yueqin Wang, Wenlu Zhao, Shuang Han, Lianxia Wang, Xue Chang, Kaiqiang Liu, Yudong Quan, Zhenying Wang and Kanglai He
Toxins 2023, 15(2), 137; https://doi.org/10.3390/toxins15020137 - 7 Feb 2023
Cited by 12 | Viewed by 2514
Abstract
Resistance monitoring in the Asian corn borer, Ostrinia furnacalis, is necessary to accommodate the commercial introduction and stewardship of Bt maize in China. The susceptibility of 56 O. furnacalis field populations, collected between 2015 and 2021 from the corn belt regions of [...] Read more.
Resistance monitoring in the Asian corn borer, Ostrinia furnacalis, is necessary to accommodate the commercial introduction and stewardship of Bt maize in China. The susceptibility of 56 O. furnacalis field populations, collected between 2015 and 2021 from the corn belt regions of China, to Cry1Ab and Cry1F toxins was determined. Neonate larvae (within 12 h after hatching) were placed on the surface of semi-artificial agar-free diet incorporating a series of concentrations of purified toxins, and mortality was evaluated after 7d. The median lethal concentration (LC50) values of Cry1Ab and Cry1F were 0.05 to 0.37 µg/g (protein/diet) and 0.10 to 1.22 µg/g, respectively. Although interpopulation variation in susceptibility to the toxins was observed, the magnitude of the differences was 5.8-fold and 8.3-fold for Cry1Ab and Cry1F, respectively. These results suggested that the observed susceptibility differences reflect natural geographical variation in response and not variation caused by prior exposure to selection pressures. Therefore, the O. furnacalis populations were apparently still susceptible to Cry1Ab and Cry1F across their range within China. The monitoring data established here will serve as a comparative reference for early warning signs of field-evolved resistance after the cultivation of Bt maize in China. Full article
Show Figures

Figure 1

15 pages, 3444 KB  
Article
Intra-Population Alteration on Voltinism of Asian Corn Borer in Response to Climate Warming
by Kaiqiang Liu, Zhenying Wang, Tiantao Zhang and Kanglai He
Biology 2023, 12(2), 187; https://doi.org/10.3390/biology12020187 - 26 Jan 2023
Cited by 3 | Viewed by 2695
Abstract
The Asian corn borer (ACB) Ostrinia furnacalis (Guenée) can occur in one to seven generations annually from cool (48°00′ N) to warm (18°10′ N) region of corn cultivation in China. Although ACB is commonly known as a facultative larval diapause insect, the co-existence [...] Read more.
The Asian corn borer (ACB) Ostrinia furnacalis (Guenée) can occur in one to seven generations annually from cool (48°00′ N) to warm (18°10′ N) region of corn cultivation in China. Although ACB is commonly known as a facultative larval diapause insect, the co-existence of various voltinism suggests that intra-population variation may have evolved for the nature of diapause, i.e., voltinism plasticity. Here, we conducted recurrent selection efforts to establish three strains of, respectively, univoltine (with obligate diapause), multivoltine (with facultative diapause), and non-diapausing ACB under various temperature and photoperiod environments. The univoltine (Lu) strain has evolved a stable univoltinism under a diapause suppressing condition (16 h daylength at 28 °C), with the diapause incidence constantly over 80% after three generations of selection. The multivoltine strain (Lm) under the high temperature (28 °C) was shown to have a typical facultative diapause induced by a range of short-day lengths (11–13.5 h). Diapause incidence was constantly <2.6% under the long day length (16 h) when the temperature was from 18 to 28 °C, i.e., low temperature could not enhance the diapause response in the Lm strain. However, the development was prolonged from 14.2 ± 0.3 d to 46.0 ± 0.8 d when the temperature was reduced from 28 °C to 18 °C. The majority (94.4%) of the developed Ln strain still maintained the non-diapausing nature under a diapause enhancing condition, i.e., a short (13 h) daylength at a low temperature (22 °C). Lm and Ln were able to complete their second generation in Heihe (50°14′ N) if the first-generation moth oviposits before 18 June. The study suggests that ACB has evolutionary intra-population variation in voltinism. Under the climate change scenario warmer spring and summer might affect the proportion of sympatric voltine biotype populations that evolve toward being multivoltine. Full article
Show Figures

Figure 1

27 pages, 5705 KB  
Article
Genetic Variation, DIMBOA Accumulation, and Candidate Gene Identification in Maize Multiple Insect-Resistance
by Yining Niu, Xiaoqiang Zhao, Wun Chao, Peina Lu, Xiaodong Bai and Taotao Mao
Int. J. Mol. Sci. 2023, 24(3), 2138; https://doi.org/10.3390/ijms24032138 - 21 Jan 2023
Cited by 15 | Viewed by 3188
Abstract
Maize seedlings contain high amounts of 2,4-dihydroxy-7-methoxy-1,4-benzoxazin-3-one (DIMBOA), and the effect of DIMBOA is directly associated with multiple insect-resistance against insect pests such as Asian corn borer and corn leaf aphids. Although numerous genetic loci for multiple insect-resistant traits have been identified, little [...] Read more.
Maize seedlings contain high amounts of 2,4-dihydroxy-7-methoxy-1,4-benzoxazin-3-one (DIMBOA), and the effect of DIMBOA is directly associated with multiple insect-resistance against insect pests such as Asian corn borer and corn leaf aphids. Although numerous genetic loci for multiple insect-resistant traits have been identified, little is known about genetic controls regarding DIMBOA content. In this study, the best linear unbiased prediction (BLUP) values of DIMBOA content in two ecological environments across 310 maize inbred lines were calculated; and their phenotypic data and BLUP values were used for marker-trait association analysis. We identified nine SSRs that were significantly associated with DIMBOA content, which explained 4.30–20.04% of the phenotypic variation. Combined with 47 original genetic loci from previous studies, we detected 19 hot loci and approximately 11 hot loci (in Bin 1.04, Bin 2.00–2.01, Bin 2.03–2.04, Bin 4.00–4.03, Bin 5.03, Bin 5.05–5.07, Bin 8.01–8.03, Bin 8.04–8.05, Bin 8.06, Bin 9.01, and Bin 10.04 regions) supported pleiotropy for their association with two or more insect-resistant traits. Within the 19 hot loci, we identified 49 candidate genes, including 12 controlling DIMBOA biosynthesis, 6 involved in sugar metabolism/homeostasis, 2 regulating peroxidases activity, 21 associated with growth and development [(auxin-upregulated RNAs (SAUR) family member and v-myb avian myeloblastosis viral oncogene homolog (MYB)], and 7 involved in several key enzyme activities (lipoxygenase, cysteine protease, restriction endonuclease, and ubiquitin-conjugating enzyme). The synergy and antagonism interactions among these genes formed the complex defense mechanisms induced by multiple insect pests. Moreover, sufficient genetic variation was reported for DIMBOA performance and SSR markers in the 310 tested maize inbred lines, and 3 highly (DIMBOA content was 402.74–528.88 μg g−1 FW) and 15 moderate (DIMBOA content was 312.92–426.56 μg g−1 FW) insect-resistant genotypes were major enriched in the Reid group. These insect-resistant inbred lines can be used as parents in maize breeding programs to develop new varieties. Full article
(This article belongs to the Special Issue Molecular Research in Maize)
Show Figures

Figure 1

Back to TopTop