Sign in to use this feature.

Years

Between: -

Subjects

remove_circle_outline
remove_circle_outline
remove_circle_outline
remove_circle_outline
remove_circle_outline
remove_circle_outline
remove_circle_outline
remove_circle_outline
remove_circle_outline

Journals

Article Types

Countries / Regions

Search Results (82)

Search Parameters:
Keywords = ActiGraph monitor

Order results
Result details
Results per page
Select all
Export citation of selected articles as:
18 pages, 2422 KB  
Review
Beyond the Sleep Lab: A Narrative Review of Wearable Sleep Monitoring
by Maria P. Mogavero, Giuseppe Lanza, Oliviero Bruni, Luigi Ferini-Strambi, Alessandro Silvani, Ugo Faraguna and Raffaele Ferri
Bioengineering 2025, 12(11), 1191; https://doi.org/10.3390/bioengineering12111191 - 31 Oct 2025
Cited by 1 | Viewed by 5837
Abstract
Sleep is a fundamental biological process essential for health and homeostasis. Traditionally investigated through laboratory-based polysomnography (PSG), sleep research has undergone a paradigm shift with the advent of wearable technologies that enable non-invasive, long-term, and real-world monitoring. This review traces the evolution from [...] Read more.
Sleep is a fundamental biological process essential for health and homeostasis. Traditionally investigated through laboratory-based polysomnography (PSG), sleep research has undergone a paradigm shift with the advent of wearable technologies that enable non-invasive, long-term, and real-world monitoring. This review traces the evolution from early analog and actigraphic methods to current multi-sensor and AI-driven wearable systems. We summarize major technological milestones, including the transition from movement-based to physiological and biochemical sensing, and the growing role of edge computing and deep learning in automated sleep staging. Comparative studies with PSG are discussed, alongside the strengths and limitations of emerging devices such as wristbands, rings, headbands, and camera-based systems. The clinical applications of wearable sleep monitors are examined in relation to remote patient management, personalized medicine, and large-scale population research. Finally, we outline future directions toward integrating multimodal biosensing, transparent algorithms, and standardized validation frameworks. By bridging laboratory precision with ecological validity, wearable technologies promise to redefine the gold standard for sleep monitoring, advancing both individualized care and population-level health assessment. Full article
(This article belongs to the Section Biosignal Processing)
Show Figures

Graphical abstract

13 pages, 1096 KB  
Article
Effect of the Virtual Reality-Infused Movement and Activity Program (V-MAP) on Physical Activity and Cognition in Head Start Preschoolers
by Xiangli Gu, Samantha Moss, Xiaoxia Zhang, Tao Zhang and Tracy L. Greer
Children 2025, 12(9), 1228; https://doi.org/10.3390/children12091228 - 14 Sep 2025
Cited by 1 | Viewed by 1192
Abstract
Background/Objectives: This study examined the efficacy of a physical activity (PA) intervention augmented by a non-immersive Virtual Reality (VR) gaming system (i.e., Virtual Reality-infused Movement and Activity Program; V-MAP) on physical activity (i.e., sedentary behavior, moderate-to-vigorous PA [MVPA], vigorous PA [VPA]) and cognitive [...] Read more.
Background/Objectives: This study examined the efficacy of a physical activity (PA) intervention augmented by a non-immersive Virtual Reality (VR) gaming system (i.e., Virtual Reality-infused Movement and Activity Program; V-MAP) on physical activity (i.e., sedentary behavior, moderate-to-vigorous PA [MVPA], vigorous PA [VPA]) and cognitive skills (i.e., response error, movement latency and reaction time) in Head Start preschoolers. Methods: Using a repeated-measure with 1-month follow-up design, a sample of 13 Head Start preschoolers (Mage = 67.08 ± 4.32 months; 36.2% boys) engaged in a 6-week V-MAP intervention (30-min session; 8 sessions) that focused on non-immersive VR based movement integration. The Cambridge Neuropsychological Test Automated Battery (CANTAB) was used to measure cognition; school-based PA and sedentary behavior were assessed by ActiGraph accelerometer. Pedometers were used to monitor real time engagement and implementation over eight intervention sessions. Results: On average, children obtained 1105 steps during the 30-min intervention (36.85 steps/min). There was a significant increase in VPA after the V-MAP intervention, whereas no significant changes in MVPA or sedentary behavior were observed (ps > 0.05). Although we did not observe significant improvement in studied cognitive function variables (ps > 0.05) after the V-MAP intervention, some delayed effects were observed in the follow-up test (Cohen’s d ranges from −0.41 to −0.73). Conclusions: This efficacy trial provides preliminary support that implementing V-MAP in recess may help Head Start preschoolers achieve or accumulate the recommended daily 60-min MVPA guideline during preschool years. The findings also provide insights that VR-based PA for as little as 30 min per day may benefit cognitive capability. Full article
(This article belongs to the Section Global Pediatric Health)
Show Figures

Figure 1

17 pages, 302 KB  
Article
Validity of PROMIS® Pediatric Physical Activity Parent Proxy Short Form Scale as a Physical Activity Measure for Children with Cerebral Palsy Who Are Non-Ambulatory
by Nia Toomer-Mensah, Margaret O’Neil and Lori Quinn
Behav. Sci. 2025, 15(8), 1042; https://doi.org/10.3390/bs15081042 - 31 Jul 2025
Viewed by 1809
Abstract
Background: Self-report physical activity (PA) scales, accelerometry, and heart rate (HR) monitoring are reliable tools for PA measurement for children with cerebral palsy (CP); however, there are limitations for those who are primary wheelchair users. The purpose of our study was to [...] Read more.
Background: Self-report physical activity (PA) scales, accelerometry, and heart rate (HR) monitoring are reliable tools for PA measurement for children with cerebral palsy (CP); however, there are limitations for those who are primary wheelchair users. The purpose of our study was to evaluate face and construct validity of the PROMIS® Pediatric PA parent proxy short form 8a in measuring PA amount and intensity in children with CP who are non-ambulatory. Methods: Face validity: Semi-structured interviews with parents and pediatric physical therapists (PTs) were conducted about the appropriateness of each item on the PROMIS® Pediatric PA short form. Construct validity: Children with CP who were non-ambulatory participated in a one-week observational study. PA amount and intensity were examined using PA monitors (Actigraph GT9X) and HR monitors (Fitbit Charge 4). Activity counts and time in sedentary and non-sedentary intensity zones were derived and compared to the PROMIS® T-scaled score. Results: Twenty-two physical therapists (PTs) and fifteen parents participated in the interviews, and ten children completed 1-week PA observation. Eight and seven participants completed sufficient time of uninterrupted PA and HR monitor wear, respectively. Parents and PTs agreed that several questions were not appropriate for children with CP who were non-ambulatory. PA intensity via activity counts derived from wrist worn monitors showed a strong positive correlation with the PROMIS® PA measure. Conclusions: Construct validity in our small sample was established between PROMIS® scores and accelerometry activity counts when documenting PA amount and intensity; however, there were some differences on PROMIS® face validity per parent and PT respondents. Despite some concerns regarding face validity, the PROMIS® Pediatric PA parent proxy short form 8a shows promise as a valid measure of physical activity amount and intensity in non-ambulatory children with CP, warranting further investigation and refinement. Full article
14 pages, 466 KB  
Article
Step by Step: Investigating Children’s Physical Activity and Enjoyment in Outdoor Walking with Their Parents
by Patrick M. Filanowski, Jeremy A. Steeves and Emily Slade
Healthcare 2025, 13(14), 1721; https://doi.org/10.3390/healthcare13141721 - 17 Jul 2025
Cited by 1 | Viewed by 1004
Abstract
Background/Objectives: Although public health organizations encourage family walking, no studies have examined children’s physical activity and enjoyment during outdoor parent–child walks. This study addresses those gaps by examining children’s moderate-to-vigorous physical activity (MVPA) and enjoyment during outdoor walks with their parents, along [...] Read more.
Background/Objectives: Although public health organizations encourage family walking, no studies have examined children’s physical activity and enjoyment during outdoor parent–child walks. This study addresses those gaps by examining children’s moderate-to-vigorous physical activity (MVPA) and enjoyment during outdoor walks with their parents, along with parental barriers and their relationship with parent’s self-efficacy and co-activity minutes. Methods: Fifty parent–child dyads (children aged 6–12 years) completed 10 min, self-paced outdoor walks while wearing waist-worn ActiGraph monitors. Parents reported perceived barriers to walking outdoors with their child and self-efficacy for supporting their child’s daily physical activity. Results: Children reported high enjoyment (mean = 5.1 on a six-point scale) and attained high physical activity intensity (71.3% of time in MVPA, 22.0% in vigorous activity, mean step count = 1200). Parents reported an average of 2.6 barriers (SD = 1.0) to walking outdoors with their child, with poor weather (70%) and lack of time (70%) reported most frequently. Each additional barrier was associated with a 1.3-point reduction in parents’ self-efficacy (p = 0.007). Two barriers (‘diverse interests between parent and child’ and ‘other parent-suggested barriers’) were significantly associated with fewer co-activity minutes per week (p < 0.001). Conclusions: Our study highlights the benefits of parent–child outdoor walking for promoting MVPA and enjoyment in children. Because perceived barriers may lower parents’ self-efficacy in supporting their child’s physical activity, addressing these barriers may be essential for the success of family-based interventions that encourage walking together outdoors. Full article
(This article belongs to the Special Issue Interventions for Preventing Obesity in Children and Adolescents)
Show Figures

Figure 1

13 pages, 1427 KB  
Article
Accelerometry and the Capacity–Performance Gap: Case Series Report in Upper-Extremity Motor Impairment Assessment Post-Stroke
by Estevan M. Nieto, Edaena Lujan, Crystal A. Mendoza, Yazbel Arriaga, Cecilia Fierro, Tan Tran, Lin-Ching Chang, Alvaro N. Gurovich, Peter S. Lum and Shashwati Geed
Bioengineering 2025, 12(6), 615; https://doi.org/10.3390/bioengineering12060615 - 4 Jun 2025
Cited by 1 | Viewed by 1337
Abstract
This case series investigates whether traditional machine learning (ML) and convolutional neural network (CNN) models trained on wrist-worn accelerometry data collected in a laboratory setting can accurately predict real-world functional hand use in individuals with chronic stroke. Participants (N = 4) with neuroimaging-confirmed [...] Read more.
This case series investigates whether traditional machine learning (ML) and convolutional neural network (CNN) models trained on wrist-worn accelerometry data collected in a laboratory setting can accurately predict real-world functional hand use in individuals with chronic stroke. Participants (N = 4) with neuroimaging-confirmed chronic stroke completed matched activity scripts—comprising instrumental and basic activities of daily living—in-lab and at-home. Participants wore ActiGraph CenterPoint Insight watches on the impaired and unimpaired wrists; concurrent video recordings were collected in both environments. Frame-by-frame annotations of the video, guided by the FAABOS scale (functional, non-functional, unknown), served as the ground truth. The results revealed a consistent capacity–performance gap: participants used their impaired hand more in-lab than at-home, with the largest discrepancies in patients with moderate to severe impairment. Random forest ML models trained on in-lab accelerometry accurately classified at-home hand use, with the highest performance in mildly and severely impaired limbs (accuracy = 0.80–0.90) and relatively lower performance (accuracy = 0.62) in moderately impaired limbs. CNN models showed comparable accuracy to random forest classifiers. These pilot findings demonstrate the feasibility of using lab-trained ML models to monitor real-world hand use and identify emerging patterns of learned non-use—enabling timely, targeted interventions to promote recovery in outpatient stroke rehabilitation. Full article
(This article belongs to the Special Issue Advances in Physical Therapy and Rehabilitation)
Show Figures

Figure 1

15 pages, 629 KB  
Systematic Review
Machine Learning Applications for Physical Activity and Behaviour in Early Childhood: A Systematic Review
by Markel Rico-González and Carlos D. Gómez-Carmona
Appl. Sci. 2025, 15(11), 6296; https://doi.org/10.3390/app15116296 - 3 Jun 2025
Viewed by 1761
Abstract
This systematic review evaluated machine learning applications for analysing physical activity and behaviour in preschool children using accelerometer data. Following the PRISMA guidelines, we systematically searched PubMed, FECYT, and ProQuest Central databases. Fourteen studies implementing machine learning approaches for preschool accelerometry data were [...] Read more.
This systematic review evaluated machine learning applications for analysing physical activity and behaviour in preschool children using accelerometer data. Following the PRISMA guidelines, we systematically searched PubMed, FECYT, and ProQuest Central databases. Fourteen studies implementing machine learning approaches for preschool accelerometry data were identified and assessed using the MINORS scale. Studies focused on two primary domains: physical activity analysis (n = 10) and sleep monitoring (n = 4). The ActiGraph GT3X+ was predominantly used, with placement varying between the hip and wrist. Random Forest algorithms proved most effective, achieving accuracy rates up to 86.4% in activity classification and 96.2% in sleep prediction. Sampling frequencies (0.25–100 Hz) and epoch lengths (1–60 s) varied considerably across studies. Machine learning applications show promising results for preschool physical activity assessment. However, small sample sizes and methodological inconsistencies limit generalizability. Future research should prioritise larger cohorts, explore multiple sensor integrations, and develop standardised protocols to enhance practical applications. Full article
(This article belongs to the Special Issue Emerging Technologies for Health, Nutrition, and Sports Performance)
Show Figures

Figure 1

12 pages, 223 KB  
Article
Comparison of Students’ Physical Activity at Different Times and Establishment of a Regression Model for Smart Fitness Trackers
by Xiangrong Cheng, Jingmin Liu, Ye Wang, Yue Wang, Zhengyan Tang and Hao Wang
Sensors 2025, 25(6), 1726; https://doi.org/10.3390/s25061726 - 11 Mar 2025
Cited by 1 | Viewed by 1939
Abstract
Under the strategy of Healthy China, students’ physical health status not only affects their future life and studies but also influences social progress and development. By monitoring and measuring the daily PA levels of Chinese students over a week, this study aimed to [...] Read more.
Under the strategy of Healthy China, students’ physical health status not only affects their future life and studies but also influences social progress and development. By monitoring and measuring the daily PA levels of Chinese students over a week, this study aimed to fully understand the current PA status of students at different times, providing data support for improving students’ PA levels and physical health. (1) Wearable fitness trackers have advantages such as low cost, portable wearability, and intuitive test data. By exploring the differences between wearable devices and PA testing instruments, this study provides reference data to improve the accuracy of wearable devices and promote the use of fitness trackers instead of triaxial accelerometers, thereby advancing scientific research on PA and the development of mass fitness. A total of 261 students (147 males; 114 females) were randomly selected and wore both the Actigraph GT3X+ triaxial accelerometer and Huawei smart fitness trackers simultaneously to monitor their daily PA levels, energy metabolism, sedentary behavior, and step counts from the trackers over a week. The students’ PA status and living habits were also understood through literature reviews and questionnaire surveys. The validity of the smart fitness trackers was quantitatively analyzed using ActiLife software 6 Data Analysis Software and traditional analysis methods such as MedCal. Paired sample Wilcoxon signed-rank tests and mean absolute error ratio tests were used to assess the validity of the smart fitness trackers relative to the Actigraph GT3X+ triaxial accelerometer. A linear regression model was established to predict the step counts of the Actigraph GT3X+ triaxial accelerometer based on the step counts from the smart fitness trackers, aiming to improve the accuracy of human motion measurement by smart fitness trackers. There were significant differences in moderate-to-high-intensity PA time, energy expenditure, metabolic equivalents, and step counts between males and females (p < 0.01), with females having higher values than males in both moderate-to-high-intensity PA time and step counts. Sedentary behavior showed significant differences only on weekdays between males and females (p < 0.05), with females engaging in less sedentary behavior than males. (2) There was a significant difference in sedentary time between weekdays and weekends for students (p < 0.05), with sedentary time being higher on weekends than on weekdays. (3) Compared with weekends, female students had significantly different moderate-to-high-intensity PA time and sedentary time on weekdays (p < 0.01), while no significant differences were observed for male students. (4) Under free-living conditions, the average daily step count monitored by the smart fitness trackers was lower than that measured by the Actigraph GT3X+ triaxial accelerometer, with a significant difference (p < 0.01), but both showed a positive correlation (r = 0.727). (5) The linear regression equation established between the step counts monitored by the smart fitness trackers and those by the Actigraph GT3X+ triaxial accelerometer was y = 3677.3157 + 0.6069x. The equation’s R2 = 0.625, with an F-test value of p < 0.001, indicating a high degree of fit between the step counts recorded by the Huawei fitness tracker and those recorded by the triaxial accelerometer. The t-test results for the regression coefficient and constant term were t = 26.4410 and p < 0.01, suggesting that both were meaningful. The tested students were able to meet the recommended total amount of moderate-intensity PA for 150 min per week or high-intensity PA for 75 min per week according to the “Chinese Adult PA Guidelines”, as well as the recommended daily step count of more than 6000 steps per day according to the “Chinese Dietary Guidelines”. (2) Female students had significantly more moderate-to-high-intensity PA time than male students, but lower energy expenditure and metabolic equivalents, which may have been related to their lifestyle and types of exercise. On weekends, female students significantly increased their moderate-to-high-intensity PA time compared with males but also showed increased sedentary time exceeding that of males; further investigation is needed to understand the reasons behind these findings. (3) The step counts monitored by the Huawei smart fitness trackers correlated with those measured by the Actigraph GT3X+ triaxial accelerometer, but the step counts from the fitness trackers were lower, indicating that the fitness trackers underestimated PA levels. (4) There was a linear relationship between the Huawei smart fitness trackers and the Actigraph GT3X+ triaxial accelerometer. By using the step counts monitored by the Huawei fitness trackers and the regression equation, it was possible to estimate the activity counts from the Actigraph GT3X+ triaxial accelerometer. Replacing the Actigraph GT3X+ triaxial accelerometer with Huawei smart fitness trackers for step count monitoring significantly reduces testing costs while providing consumers with intuitive data. Full article
(This article belongs to the Section Biomedical Sensors)
42 pages, 4580 KB  
Review
Wearables in Chronomedicine and Interpretation of Circadian Health
by Denis Gubin, Dietmar Weinert, Oliver Stefani, Kuniaki Otsuka, Mikhail Borisenkov and Germaine Cornelissen
Diagnostics 2025, 15(3), 327; https://doi.org/10.3390/diagnostics15030327 - 30 Jan 2025
Cited by 31 | Viewed by 9916
Abstract
Wearable devices have gained increasing attention for use in multifunctional applications related to health monitoring, particularly in research of the circadian rhythms of cognitive functions and metabolic processes. In this comprehensive review, we encompass how wearables can be used to study circadian rhythms [...] Read more.
Wearable devices have gained increasing attention for use in multifunctional applications related to health monitoring, particularly in research of the circadian rhythms of cognitive functions and metabolic processes. In this comprehensive review, we encompass how wearables can be used to study circadian rhythms in health and disease. We highlight the importance of these rhythms as markers of health and well-being and as potential predictors for health outcomes. We focus on the use of wearable technologies in sleep research, circadian medicine, and chronomedicine beyond the circadian domain and emphasize actigraphy as a validated tool for monitoring sleep, activity, and light exposure. We discuss various mathematical methods currently used to analyze actigraphic data, such as parametric and non-parametric approaches, linear, non-linear, and neural network-based methods applied to quantify circadian and non-circadian variability. We also introduce novel actigraphy-derived markers, which can be used as personalized proxies of health status, assisting in discriminating between health and disease, offering insights into neurobehavioral and metabolic status. We discuss how lifestyle factors such as physical activity and light exposure can modulate brain functions and metabolic health. We emphasize the importance of establishing reference standards for actigraphic measures to further refine data interpretation and improve clinical and research outcomes. The review calls for further research to refine existing tools and methods, deepen our understanding of circadian health, and develop personalized healthcare strategies. Full article
Show Figures

Figure 1

10 pages, 552 KB  
Article
Misalignment or Motivation? A Cluster Analysis Approach to Understanding Young Adolescent Physical Activity Trajectories in Summer Care Programs
by Tyler Prochnow, Megan S. Patterson, Sara A. Flores, Jeong-Hui Park, Laurel Curran, Emily Howell, Deja Jackson and Stewart G. Trost
Future 2025, 3(1), 1; https://doi.org/10.3390/future3010001 - 22 Jan 2025
Viewed by 1765
Abstract
Physical activity (PA) decreases during summer months, potentially leading to accelerated weight gain and increased depressive symptoms in adolescents. Summer care programs offer opportunities for PA promotion but understanding how different groups (based on initial perceived and objectively measured PA) respond to these [...] Read more.
Physical activity (PA) decreases during summer months, potentially leading to accelerated weight gain and increased depressive symptoms in adolescents. Summer care programs offer opportunities for PA promotion but understanding how different groups (based on initial perceived and objectively measured PA) respond to these programs is crucial for developing focused interventions. Adolescents (n = 47; mean age = 11.0 years; 51.1% female) who participated in an 8-week summer program wore ActiGraph GT9X accelerometers to measure moderate-to-vigorous physical activity (MVPA) at the beginning and end of the program. Self-reported PA was assessed using the Health Behavior in School-Aged Children survey. Both measures were then transformed into respective z-scores. K-means cluster analysis was performed to identify distinct groups based on device-measured and perceived PA at the beginning of summer. Changes in MVPA were compared across clusters using one-way ANOVA and post hoc Tukey’s HSD tests. Three clusters were identified: “High Accuracy Actives” (n = 17), “Underestimators” (n = 22), and “Overestimators” (n = 8). “Overestimators” showed the largest mean increase in MVPA (30.63 min/day), followed by “Underestimators” (17.76 min/day). “High Accuracy Actives” experienced a mean decrease in MVPA (−7.69 min/day). ANOVA revealed significant differences in MVPA change between clusters (F(2,44) = 4.93, p = 0.01). Summer care programs can positively impact adolescent PA, particularly for those who initially underestimate or overestimate their activity levels. However, strategies are needed to prevent declines among initially highly active participants. For example, adolescents who underestimate their activity levels may benefit from interventions focused on building self-efficacy and providing positive feedback, while those who overestimate might require educational components about PA guidelines and self-monitoring techniques. Full article
Show Figures

Figure 1

14 pages, 7286 KB  
Article
Activity-Based Prospective Memory and Motor Sleep Inertia in Insomnia
by Lorenzo Tonetti, Miranda Occhionero, Sara Giovagnoli, Federica Giudetti, Elena Briganti and Vincenzo Natale
Brain Sci. 2024, 14(12), 1248; https://doi.org/10.3390/brainsci14121248 - 12 Dec 2024
Cited by 1 | Viewed by 1961
Abstract
Background/Objectives: The aim of this study is to shed light on activity-based prospective memory upon the awakening and its association with motor sleep inertia in different phenotypes of insomnia disorder. Methods: To this end, 67 patients with insomnia and 51 healthy controls took [...] Read more.
Background/Objectives: The aim of this study is to shed light on activity-based prospective memory upon the awakening and its association with motor sleep inertia in different phenotypes of insomnia disorder. Methods: To this end, 67 patients with insomnia and 51 healthy controls took part in the study. After enrollment, previously proposed actigraphic quantitative criteria were adopted, and the following phenotypes of insomnia disorder were observed in the patient sample: sleep onset (n = 12), maintenance (n = 19), mixed (n = 17), and negative misperception (n = 19). Each participant had used the Micro Motionlogger Watch (Ambulatory Monitoring, Inc., Ardsley, NY, USA) actigraph for one week. Actigraphic recording allowed for a description of both the activity-based prospective memory performance upon the awakening—by computing the time interval between sleep end and the time participants actually remembered to push the event-marker button of the actigraph—and the motor sleep inertia, i.e., the mean motor activity, minute-by-minute, in the first 60 min after sleep end in the morning. Results: Compared to healthy controls, a longer time interval was observed between sleep end and activity-based prospective memory performance in patients with mixed and maintenance insomnia. Moreover, a significant association was highlighted between motor sleep inertia and the activity-based prospective memory performance: higher levels of motor activity in those who remembered to perform the memory task early after sleep end, that spread over a longer time interval in maintenance and mixed insomnia. Conclusions: Overall, the present results seem to highlight a more marked cognitive inertia in patients with mixed and maintenance insomnia as well as a significant association between motor and cognitive inertia that spreads over a different time interval according to the phenotype of insomnia. Full article
(This article belongs to the Section Sleep and Circadian Neuroscience)
Show Figures

Figure 1

9 pages, 1281 KB  
Article
Algorithm Validation for Quantifying ActiGraph™ Physical Activity Metrics in Individuals with Chronic Low Back Pain and Healthy Controls
by Jordan F. Hoydick, Marit E. Johnson, Harold A. Cook, Zakiy F. Alfikri, John M. Jakicic, Sara R. Piva, April J. Chambers and Kevin M. Bell
Sensors 2024, 24(16), 5323; https://doi.org/10.3390/s24165323 - 17 Aug 2024
Cited by 1 | Viewed by 2810
Abstract
Assessing physical activity is important in the treatment of chronic conditions, including chronic low back pain (cLBP). ActiGraph™, a widely used physical activity monitor, collects raw acceleration data, and processes these data through proprietary algorithms to produce physical activity measures. The purpose of [...] Read more.
Assessing physical activity is important in the treatment of chronic conditions, including chronic low back pain (cLBP). ActiGraph™, a widely used physical activity monitor, collects raw acceleration data, and processes these data through proprietary algorithms to produce physical activity measures. The purpose of this study was to replicate ActiGraph™ algorithms in MATLAB and test the validity of this method with both healthy controls and participants with cLBP. MATLAB code was developed to replicate ActiGraph™’s activity counts and step counts algorithms, to sum the activity counts into counts per minute (CPM), and categorize each minute into activity intensity cut points. A free-living validation was performed where 24 individuals, 12 cLBP and 12 healthy, wore an ActiGraph™ GT9X on their non-dominant hip for up to seven days. The raw acceleration data were processed in both ActiLife™ (v6), ActiGraph™’s data analysis software platform, and through MATLAB (2022a). Percent errors between methods for all 24 participants, as well as separated by cLBP and healthy, were all less than 2%. ActiGraph™ algorithms were replicated and validated for both populations, based on minimal error differences between ActiLife™ and MATLAB, allowing researchers to analyze data from any accelerometer in a manner comparable to ActiLife™. Full article
(This article belongs to the Special Issue IMU and Innovative Sensors for Healthcare)
Show Figures

Figure 1

49 pages, 2156 KB  
Systematic Review
Monitoring Daily Sleep, Mood, and Affect Using Digital Technologies and Wearables: A Systematic Review
by Robert Hickman, Teresa C. D’Oliveira, Ashleigh Davies and Sukhi Shergill
Sensors 2024, 24(14), 4701; https://doi.org/10.3390/s24144701 - 19 Jul 2024
Cited by 15 | Viewed by 11002
Abstract
Background: Sleep and affective states are closely intertwined. Nevertheless, previous methods to evaluate sleep-affect associations have been limited by poor ecological validity, with a few studies examining temporal or dynamic interactions in naturalistic settings. Objectives: First, to update and integrate evidence from studies [...] Read more.
Background: Sleep and affective states are closely intertwined. Nevertheless, previous methods to evaluate sleep-affect associations have been limited by poor ecological validity, with a few studies examining temporal or dynamic interactions in naturalistic settings. Objectives: First, to update and integrate evidence from studies investigating the reciprocal relationship between daily sleep and affective phenomena (mood, affect, and emotions) through ambulatory and prospective monitoring. Second, to evaluate differential patterns based on age, affective disorder diagnosis (bipolar, depression, and anxiety), and shift work patterns on day-to-day sleep-emotion dyads. Third, to summarise the use of wearables, actigraphy, and digital tools in assessing longitudinal sleep-affect associations. Method: A comprehensive PRISMA-compliant systematic review was conducted through the EMBASE, Ovid MEDLINE(R), PsycINFO, and Scopus databases. Results: Of the 3024 records screened, 121 studies were included. Bidirectionality of sleep-affect associations was found (in general) across affective disorders (bipolar, depression, and anxiety), shift workers, and healthy participants representing a range of age groups. However, findings were influenced by the sleep indices and affective dimensions operationalised, sampling resolution, time of day effects, and diagnostic status. Conclusions: Sleep disturbances, especially poorer sleep quality and truncated sleep duration, were consistently found to influence positive and negative affective experiences. Sleep was more often a stronger predictor of subsequent daytime affect than vice versa. The strength and magnitude of sleep-affect associations were more robust for subjective (self-reported) sleep parameters compared to objective (actigraphic) sleep parameters. Full article
Show Figures

Figure 1

18 pages, 3878 KB  
Article
A CNN Model for Physical Activity Recognition and Energy Expenditure Estimation from an Eyeglass-Mounted Wearable Sensor
by Md Billal Hossain, Samuel R. LaMunion, Scott E. Crouter, Edward L. Melanson and Edward Sazonov
Sensors 2024, 24(10), 3046; https://doi.org/10.3390/s24103046 - 11 May 2024
Cited by 4 | Viewed by 3559
Abstract
Metabolic syndrome poses a significant health challenge worldwide, prompting the need for comprehensive strategies integrating physical activity monitoring and energy expenditure. Wearable sensor devices have been used both for energy intake and energy expenditure (EE) estimation. Traditionally, sensors are attached to the hip [...] Read more.
Metabolic syndrome poses a significant health challenge worldwide, prompting the need for comprehensive strategies integrating physical activity monitoring and energy expenditure. Wearable sensor devices have been used both for energy intake and energy expenditure (EE) estimation. Traditionally, sensors are attached to the hip or wrist. The primary aim of this research is to investigate the use of an eyeglass-mounted wearable energy intake sensor (Automatic Ingestion Monitor v2, AIM-2) for simultaneous recognition of physical activity (PAR) and estimation of steady-state EE as compared to a traditional hip-worn device. Study data were collected from six participants performing six structured activities, with the reference EE measured using indirect calorimetry (COSMED K5) and reported as metabolic equivalents of tasks (METs). Next, a novel deep convolutional neural network-based multitasking model (Multitasking-CNN) was developed for PAR and EE estimation. The Multitasking-CNN was trained with a two-step progressive training approach for higher accuracy, where in the first step the model for PAR was trained, and in the second step the model was fine-tuned for EE estimation. Finally, the performance of Multitasking-CNN on AIM-2 attached to eyeglasses was compared to the ActiGraph GT9X (AG) attached to the right hip. On the AIM-2 data, Multitasking-CNN achieved a maximum of 95% testing accuracy of PAR, a minimum of 0.59 METs mean square error (MSE), and 11% mean absolute percentage error (MAPE) in EE estimation. Conversely, on AG data, the Multitasking-CNN model achieved a maximum of 82% testing accuracy in PAR, a minimum of 0.73 METs MSE, and 13% MAPE in EE estimation. These results suggest the feasibility of using an eyeglass-mounted sensor for both PAR and EE estimation. Full article
(This article belongs to the Special Issue Applications of Body Worn Sensors and Wearables)
Show Figures

Graphical abstract

12 pages, 1001 KB  
Article
Adapting the Intensity Gradient for Use with Count-Based Accelerometry Data in Children and Adolescents
by Christina J. Alexander, Sarah L. Manske, W. Brent Edwards and Leigh Gabel
Sensors 2024, 24(10), 3019; https://doi.org/10.3390/s24103019 - 10 May 2024
Cited by 4 | Viewed by 2241
Abstract
The intensity gradient is a new cutpoint-free metric that was developed to quantify physical activity (PA) measured using accelerometers. This metric was developed for use with the ENMO (Euclidean norm minus one) metric, derived from raw acceleration data, and has not been validated [...] Read more.
The intensity gradient is a new cutpoint-free metric that was developed to quantify physical activity (PA) measured using accelerometers. This metric was developed for use with the ENMO (Euclidean norm minus one) metric, derived from raw acceleration data, and has not been validated for use with count-based accelerometer data. In this study, we determined whether the intensity gradient could be reproduced using count-based accelerometer data. Twenty participants (aged 7–22 years) wore a GT1M, an ActiGraph (count-based), and a GT9X, ActiGraph (raw accelerations) accelerometer during both in-lab and at-home protocols. We found strong agreement between GT1M and GT9X counts during the combined in-lab activities (mean bias = 2 counts) and between minutes per day with different intensities of activity (e.g., sedentary, light, moderate, and vigorous) classified using cutpoints (mean bias < 5 min/d at all intensities). We generated bin sizes that could be used to generate IGs from the count data (mean bias = −0.15; 95% LOA [−0.65, 0.34]) compared with the original IG. Therefore, the intensity gradient could be used to analyze count data. The count-based intensity gradient metric will be valuable for re-analyzing historical datasets collected using older accelerometer models, such as the GT1M. Full article
(This article belongs to the Special Issue Wearable Sensors for Physical Activity Monitoring and Motion Control)
Show Figures

Figure 1

16 pages, 1543 KB  
Article
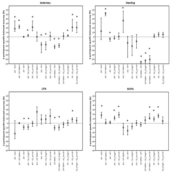
Concurrent Validity of Four Activity Monitors in Older Adults
by Jorgen A. Wullems, Sabine M. P. Verschueren, Hans Degens, Christopher I. Morse and Gladys L. Onambélé-Pearson
Sensors 2024, 24(3), 895; https://doi.org/10.3390/s24030895 - 30 Jan 2024
Cited by 6 | Viewed by 3156
Abstract
Sedentary behaviour (SB) and physical activity (PA) have been shown to be independent modulators of healthy ageing. We thus investigated the impact of activity monitor placement on the accuracy of detecting SB and PA in older adults, as well as a novel random [...] Read more.
Sedentary behaviour (SB) and physical activity (PA) have been shown to be independent modulators of healthy ageing. We thus investigated the impact of activity monitor placement on the accuracy of detecting SB and PA in older adults, as well as a novel random forest algorithm trained on data from older persons. Four monitor types (ActiGraph wGT3X-BT, ActivPAL3c VT, GENEActiv Original, and DynaPort MM+) were simultaneously worn on five anatomical sites during ten different activities by a sample of twenty older adults (70.0 (12.0) years; 10 women). The results indicated that collecting metabolic equivalent (MET) data for 60 s provided the most representative results, minimising variability. In addition, thigh-worn monitors, including ActivPAL, Random Forest, and Sedentary Sphere—Thigh, exhibited superior performance in classifying SB, with balanced accuracies ≥ 94.2%. Other monitors, such as ActiGraph, DynaPort MM+, and GENEActiv Sedentary Sphere—Wrist, demonstrated lower performance. ActivPAL and GENEActiv Random Forest outperformed other monitors in participant-specific balanced accuracies for SB classification. Only thigh-worn monitors achieved acceptable overall balanced accuracies (≥80.0%) for SB, standing, and medium-to-vigorous PA classifications. In conclusion, it is advisable to position accelerometers on the thigh, collect MET data for ≥60 s, and ideally utilise population-specific trained algorithms. Full article
(This article belongs to the Section Wearables)
Show Figures

Graphical abstract

Back to TopTop