Sign in to use this feature.

Years

Between: -

Subjects

remove_circle_outline
remove_circle_outline
remove_circle_outline
remove_circle_outline
remove_circle_outline
remove_circle_outline
remove_circle_outline
remove_circle_outline
remove_circle_outline

Journals

remove_circle_outline
remove_circle_outline
remove_circle_outline
remove_circle_outline
remove_circle_outline
remove_circle_outline
remove_circle_outline
remove_circle_outline
remove_circle_outline
remove_circle_outline
remove_circle_outline
remove_circle_outline
remove_circle_outline
remove_circle_outline
remove_circle_outline
remove_circle_outline

Article Types

Countries / Regions

remove_circle_outline
remove_circle_outline
remove_circle_outline
remove_circle_outline
remove_circle_outline
remove_circle_outline

Search Results (1,085)

Search Parameters:
Keywords = AUROC

Order results
Result details
Results per page
Select all
Export citation of selected articles as:
16 pages, 293 KB  
Article
Performance of Blood-Based Indirect Scores Compared to Transient Elastography in Children with Chronic Liver Disease
by Alexandru-Ștefan Niculae, Alina Grama, Monica Lupșor-Platon, Alexandra Mititelu, Gabriel Bența, Sorina Adam and Tudor Lucian Pop
Diagnostics 2026, 16(7), 1102; https://doi.org/10.3390/diagnostics16071102 - 6 Apr 2026
Abstract
Background: Chronic liver disease (CLD) in children requires long-term monitoring. Liver biopsy and transient elastography (TE) are resource-intensive methods that require specialized equipment and trained personnel. Simple indirect fibrosis scores based on routine laboratory parameters offer a potentially cost-effective alternative but have [...] Read more.
Background: Chronic liver disease (CLD) in children requires long-term monitoring. Liver biopsy and transient elastography (TE) are resource-intensive methods that require specialized equipment and trained personnel. Simple indirect fibrosis scores based on routine laboratory parameters offer a potentially cost-effective alternative but have not been systematically evaluated in pediatric populations with diverse CLD etiologies. Objectives: This study aimed to assess the performance of several indirect fibrosis and cirrhosis scores in predicting significant (≥F2) and advanced (≥F3) fibrosis and cirrhosis (F4) in children with CLD using TE as a comparator. Methods: We retrospectively reviewed medical records of children with CLD evaluated at a tertiary center between January 2023 and June 2025. TE results and routine laboratory data were used to calculate fibrosis scores, including APRI, FIB-4, FibroIndex, FORNS, GPR, GUCI, King’s score, and Lok’s index. ROC analyses were performed to assess each score’s ability to discriminate significant fibrosis, advanced fibrosis and cirrhosis. Optimal cut-offs were established using the Youden index. Results: GPR showed the strongest concordance with TE-based fibrosis classification across both fibrosis thresholds, achieving an AUROC of 0.835 for significant fibrosis and a superior 0.917 for advanced fibrosis. FibroIndex and APRI also demonstrated good discriminatory power for advanced disease. Utilizing mathematically optimized cut-offs, GPR (0.45) and APRI (0.84) achieved good negative predictive values (100% and 95%) and sensitivities (100% and 85%) for advanced fibrosis, establishing them as potentially valuable screening tools. For cirrhosis detection (F4), Lok’s Index performed best (AUROC 0.854). Conclusions: In this diverse pediatric cohort, simple indirect scores—particularly GPR, APRI, and FibroIndex—demonstrated the highest concordance relative to TE findings, with negative predictive values up to 100% for GPR. This indicates that they can serve as reliable first-line screening tools when TE is unavailable. While their good negative predictive values allow for the confident exclusion of severe disease—potentially sparing many children from invasive testing—their low positive predictive values limit their role in definitive diagnosis. The systematic failure of adult-derived, age-dependent formulas in this cohort underscores the critical need for specialized pediatric biomarkers. Full article
22 pages, 1376 KB  
Article
Ensemble Deep Learning Models on Raw DNA Sequences for Viral Genome Identification in Human Samples
by Marco De Nat, Simone Boscolo, Sonia Pilar Gallo, Loris Nanni and Daniel Fusaro
Sensors 2026, 26(7), 2238; https://doi.org/10.3390/s26072238 - 4 Apr 2026
Viewed by 175
Abstract
Detecting highly divergent or previously unknown viruses is a critical bottleneck in clinical diagnostics and pathogen surveillance. While alignment-based methods often fail to classify sequences lacking homology to known references, deep learning offers a powerful alternative for signal extraction from ‘viral dark matter.’ [...] Read more.
Detecting highly divergent or previously unknown viruses is a critical bottleneck in clinical diagnostics and pathogen surveillance. While alignment-based methods often fail to classify sequences lacking homology to known references, deep learning offers a powerful alternative for signal extraction from ‘viral dark matter.’ In this work, we present a high-performance ensemble of deep convolutional neural networks specifically designed to identify viral contigs in complex human metagenomic datasets. Our framework processes sequences acquired from high-throughput biological sensors and integrates complementary architectures to capture both local motifs and global genomic signatures. The proposed ensemble achieves state-of-the-art performance, reaching an AUROC of 0.939 on 300 bp contigs and significantly outperforming existing models such as transformer-based approaches, ViraMiner, and DeepVirFinder. Crucially, our results demonstrate high robustness to data degradation, maintaining stable predictive power even with a 10% random nucleotide substitution rate, a common challenge in degraded clinical samples. Furthermore, the model generalizes to ‘unseen’ viral families not present during training, demonstrating its utility for emerging threat detection. To ensure full reproducibility and facilitate further research in clinical sensing, the complete code and datasets are publicly available on Github. Full article
Show Figures

Figure 1

19 pages, 3003 KB  
Article
Machine-Learning-Based Survival Prediction in Glioblastoma Using Graph-Theoretical Analysis of Structural Network Alterations
by Andreas Stadlbauer, Stefan Oberndorfer, Gertraud Heinz, Franz Marhold, Thomas M. Kinfe, Mario Dorostkar, Oliver Schnell, Uwe Meyer-Bäse and Anke Meyer-Bäse
Cancers 2026, 18(7), 1161; https://doi.org/10.3390/cancers18071161 - 3 Apr 2026
Viewed by 184
Abstract
Background: Glioblastoma is an extremely aggressive brain tumor that diffusely infiltrates white matter and alters large-scale brain connectivity. Most prognostic models focus on localized tumor features and clinical variables, overlooking broader effects on the brain’s structural connectome. This study addressed this limitation [...] Read more.
Background: Glioblastoma is an extremely aggressive brain tumor that diffusely infiltrates white matter and alters large-scale brain connectivity. Most prognostic models focus on localized tumor features and clinical variables, overlooking broader effects on the brain’s structural connectome. This study addressed this limitation by integrating graph-theoretical analysis of preoperative diffusion tensor imaging (DTI)-derived structural connectomes with machine learning (ML) to improve prediction of overall survival (OS) in newly diagnosed glioblastoma. Methods: Preoperative DTI data from 871 glioblastoma patients from the UPenn-GBM and UCSF-PDGM cohorts were processed to construct whole-brain structural connectomes weighted by tract count and quantitative anisotropy (QA). Global and nodal graph-theoretical network metrics were extracted and combined with demographic and clinical information. Ten ML models were trained and validated on 784 patients (90% of the cohort). The three best-performing algorithms were tested on a held-out cohort of 87 patients (10%). Results: Random forest, adaptive boosting, and KStar showed the strongest validation performance. In held-out internal testing, random forest models using degree and QA-weighted strength achieved accuracies of 0.862 and 0.874, with AUROCs of 0.929 and 0.909, for predicting OS beyond one year. Strength and clustering coefficient were key predictors, with over two-thirds of significant nodes localized in the temporal lobe, particularly the parahippocampal, and superior, middle, and inferior temporal gyri. Conclusions: Graph-theoretical quantification of structural brain network disruption combined with ML allows accurate prediction of OS in glioblastoma. These results support a network-based conceptualization of the disease and indicate that connectome-derived metrics may complement established prognostic frameworks. Full article
(This article belongs to the Special Issue Advances in Neuro-Oncological Imaging (2nd Edition))
Show Figures

Figure 1

14 pages, 5017 KB  
Article
Calibrated Feature Fusion: Enhancing Few-Shot Industrial Anomaly Detection via Cross-Stage Representation Alignment
by Shuangjun Zheng, Songtao Zhang, Zhihuan Huang, Kuoteng Sun, Yuzhong Gong, Jiayan Wen and Eryun Liu
Sensors 2026, 26(7), 2164; https://doi.org/10.3390/s26072164 - 31 Mar 2026
Viewed by 318
Abstract
Few-shot industrial anomaly detection technology has received more and more attention because it does not require a large number of abnormal samples to train. Recent few-shot industrial anomaly detection methods commonly fuse multi-stage features from frozen vision transformers for anomaly scoring. However, we [...] Read more.
Few-shot industrial anomaly detection technology has received more and more attention because it does not require a large number of abnormal samples to train. Recent few-shot industrial anomaly detection methods commonly fuse multi-stage features from frozen vision transformers for anomaly scoring. However, we find that such direct fusion suffers from cross-stage representation misalignment—shallow and deep features differ significantly in scale and semantic granularity, leading to inconsistent anomaly maps and degraded localization. To address this problem, we propose Calibrated Feature Fusion (CFF), a lightweight adapter that enhances feature fusion via cross-stage representation alignment. The CFF module can be integrated into existing state-of-the-art frameworks and operates effectively in few-shot settings. Experiments on MVTec AD and VisA show that CFF consistently improves the state-of-the-art method across 1/2/4-shot settings, achieving gains of up to +1.6% AUROC and +4.1% AP in pixel-level segmentation. Notably, CFF enhances both precision and recall in four-shot scenarios. Ablation studies confirm that cross-stage alignment is key to stable multi-stage fusion. Full article
(This article belongs to the Section Fault Diagnosis & Sensors)
Show Figures

Figure 1

20 pages, 2468 KB  
Article
WEDGE-Net: Wavelet-Driven Memory-Efficient Anomaly Detection for Industrial Edge Computing
by Joon-Min Park and Gye-Young Kim
Sensors 2026, 26(7), 2154; https://doi.org/10.3390/s26072154 - 31 Mar 2026
Viewed by 258
Abstract
As deep learning-based Anomaly Detection (AD) transitions from theoretical research to industrial application, the focus is shifting towards operational efficiency and economic viability on edge devices. While recent studies have achieved remarkable detection accuracy on standard benchmarks, they often rely on heavy memory [...] Read more.
As deep learning-based Anomaly Detection (AD) transitions from theoretical research to industrial application, the focus is shifting towards operational efficiency and economic viability on edge devices. While recent studies have achieved remarkable detection accuracy on standard benchmarks, they often rely on heavy memory banks or complex backbones, which pose challenges for deployment in resource-constrained manufacturing environments. Furthermore, real-world inspection lines often present distinct challenges—such as environmental noise and strict latency requirements—that are not fully addressed by accuracy-centric metrics. To bridge the gap between high-performance research models and practical edge deployment, we introduce WEDGE-Net. Our approach is designed to balance structural precision with extreme memory efficiency. We decouple anomaly detection into two specialized streams: (1) a Frequency Stream (DWT) that physically filters out environmental noise to isolate structural defects, and (2) a Context Stream where a Semantic Module explicitly guides feature extraction to enforce object consistency. By synthesizing these two modalities, WEDGE-Net effectively suppresses high-frequency noise while enhancing structural-feature compactness. To validate operational stability, we conducted a robustness analysis of the ‘Tile’ category, which poses a challenging task for distinguishing defects from high-frequency textures. In this stress test, WEDGE-Net demonstrated superior resistance to environmental noise compared to conventional methods. Experimental results on the MVTec AD dataset demonstrate that WEDGE-Net achieves a mean image-level AUROC of 97.82% and an inference speed of 686.5 FPS (measured on an RTX 4090 GPU) under an extreme 1% memory-compression setting. Notably, our method demonstrates superior efficiency, achieving a 2.1× inference speedup over the widely adopted comparative model (PatchCore-10%) while maintaining competitive detection accuracy (e.g., 100% AUROC on Transistor). We hope this work serves as a practical reference for implementing real-time industrial inspection on resource-constrained edge devices. Full article
Show Figures

Figure 1

26 pages, 1243 KB  
Article
Machine Learning-Based Prediction of Mortality in Geriatric Traumatic Brain Injury Patients
by Yong Si, Junyi Fan, Li Sun, Shuheng Chen, Elham Pishgar, Kamiar Alaei, Greg Placencia and Maryam Pishgar
BioMedInformatics 2026, 6(2), 17; https://doi.org/10.3390/biomedinformatics6020017 - 30 Mar 2026
Viewed by 235
Abstract
Traumatic Brain Injury (TBI) is a major contributor to mortality among older adults, with geriatric patients facing disproportionately high risk due to age-related physiological vulnerability and comorbidities. Early and accurate prediction of mortality is essential for guiding clinical decision-making and optimizing ICU resource [...] Read more.
Traumatic Brain Injury (TBI) is a major contributor to mortality among older adults, with geriatric patients facing disproportionately high risk due to age-related physiological vulnerability and comorbidities. Early and accurate prediction of mortality is essential for guiding clinical decision-making and optimizing ICU resource allocation. In this study, we utilized the MIMIC-III database and identified a final analytic cohort of 667 geriatric TBI patients, on which we developed a machine learning framework for 30-day mortality prediction. A rigorous preprocessing pipeline—including Random Forest-based imputation, feature engineering, and hybrid selection—was implemented to refine predictors from 69 to 9 clinically meaningful variables. CatBoost emerged as the top-performing model, achieving an AUROC of 0.867 (95% CI: 0.809–0.922), with a sensitivity of 0.752 and a specificity of 0.888 on the independent test set. SHAP analysis confirmed the importance of the GCS score, oxygen saturation, and prothrombin time as dominant predictors. These findings highlight the potential value of interpretable machine learning tools for early mortality risk stratification in elderly TBI patients and support further validation for future clinical use. Full article
Show Figures

Figure 1

33 pages, 8145 KB  
Article
Multi-View Transformers for Structure-Aware HA–NA Drift Risk Scoring and Mutation Hotspot Mapping
by Pankaj Agarwal, Sumendra Yogarayan, Md. Shohel Sayeed and Rupesh Kumar Tipu
Viruses 2026, 18(4), 421; https://doi.org/10.3390/v18040421 - 30 Mar 2026
Viewed by 320
Abstract
Seasonal influenza A evolves quickly through mutations in haemagglutinin (HA) and neuraminidase (NA), which can reduce vaccine match and lower protection. Many sequence-only models do not link codon-level mutations to three-dimensional (3D) protein context and long-term evolutionary signals within one scoring framework. This [...] Read more.
Seasonal influenza A evolves quickly through mutations in haemagglutinin (HA) and neuraminidase (NA), which can reduce vaccine match and lower protection. Many sequence-only models do not link codon-level mutations to three-dimensional (3D) protein context and long-term evolutionary signals within one scoring framework. This study presents TRIAD-Influenza (TRIAD: Token–Residue–Integrated Architecture for Drift), a multi-view transformer that combines (i) codon- and residue-level sequence representations, (ii) structure-derived residue interaction features from predicted HA/NA models, and (iii) an embedding-space phylogeny that captures cluster and drift context. The pipeline curates more than 3×105 paired HA/NA coding sequences from the NCBI Virus resource (2010–2024) using strict quality control and codon-aware alignment and predicts 3D structures for nearly all unique HA and NA proteins to build contact graphs and surface/stability descriptors. TRIAD-Influenza outputs a continuous, structure-aware risk score for each HA/NA pair and produces interpretable mutation hotspot maps using gradient saliency and a contact-weighted mutation risk index (CMRI). On rolling-origin temporal cross-validation and for a temporally held-out internal test window with strong class imbalance (∼3.4% high-risk), the model shows strong ranking performance (AUROC 0.89; AUPRC 0.44; Brier score =0.069) while operating at surveillance speed (median latency 1.6 ms per HA/NA pair). External validation on independent GISAID/Nextstrain cohorts (2023–2024; 5000 isolates) preserves discrimination (AUROC 0.850.86). Predicted risk scores correlate with experimental haemagglutination inhibition (HI) antigenic distances (Spearman ρ up to ≈0.82 at the virus-aggregated level), and CMRI hotspots enrich known epitope and deep mutational scanning escape residues (odds ratios 2.73.6). Overall, token–residue–phylogeny coupling enables rapid, structure-aware prioritisation of emerging influenza A HA/NA sequences and delivers compact hotspot maps for expert review and targeted experiments. Full article
(This article belongs to the Section General Virology)
Show Figures

Figure 1

25 pages, 4104 KB  
Article
Prediction of Postoperative Stroke in Elderly Surgical ICU Patients Using Random Forest Model: Development on MIMIC-IV with Cross-Institutional and Temporal External Validation
by Houji Jin, Mohammadsaeed Haghi, Nausin Kudrot, Kamiar Alaei and Maryam Pishgar
BioMedInformatics 2026, 6(2), 16; https://doi.org/10.3390/biomedinformatics6020016 - 27 Mar 2026
Viewed by 288
Abstract
Postoperative stroke is a serious and fatal condition that often affects elderly surgical patients. This rare but severe complication arises from complex interactions between comorbidities, physiologic instability and demographic disturbances that traditional risk tools often fail to capture.This study aims to develop and [...] Read more.
Postoperative stroke is a serious and fatal condition that often affects elderly surgical patients. This rare but severe complication arises from complex interactions between comorbidities, physiologic instability and demographic disturbances that traditional risk tools often fail to capture.This study aims to develop and validate a machine learning model with an improved ability to predict the risk of postoperative stroke in elderly patients utilising the comprehensive clinical and demographic ICU data from the Medical Information Mart for Intensive Care IV (MIMIC-IV) database. External validation was performed on MIMIC-III and the eICU Collaborative Research Database, with eICU being the primary validation set. We identified postoperative surgical intensive care unit (SICU) patients aged 55 years or older from all databases. A strict temporal window of the first 24 h of ICU admission was applied across all three datasets while extracting features like laboratory measurements and vital sign summaries in order to ensure that all predictor values were derived from a fixed observation period at the beginning of ICU stay. After preprocessing, applying Multivariate Imputation by Chained Equations (MICE) imputation and initial screening of 88 candidate variables, 20 clinically meaningful predictors were selected through a multistage feature selection pipeline incorporating RFECV and permutation importance. SHAP analysis and LIME analysis were used for interpretability. We evaluated ten machine learning techniques, including Logistic Regression, Decision Tree, Random Forest, K-Nearest Neighbors (KNNs), Support Vector Machine (SVM–RBF Kernel), Gradient Boosting (GBDT), Neural Network, XGBoost, CatBoost, Naive Bayes. Among them, Random Forest demonstrated strong predictive performance by achieving an AUROC of 0.8072 (95% CI [0.7890, 0.8253]) on the internal validation set. The model also achieved AUROC of 0.7557 (95% CI [0.7267, 0.7794]) and 0.9144 (95% CI [0.8893, 0.9378]) on the external validation sets eICU and MIMIC-III, respectively. Mean systolic blood pressure, Elixhauser score, minimum calcium, and minimum INR (PT) were consistently identified as the most influential predictors through both SHAP analysis and LIME analysis, thus strengthening model interpretability. Our findings suggest that a Random Forest-based predictive model can provide an accurate and generalisable prediction of postoperative stroke in elderly ICU patients using routinely collected physiologic and laboratory data. This also supports early risk stratification and targeted postoperative monitoring. Full article
(This article belongs to the Section Applied Biomedical Data Science)
Show Figures

Figure 1

37 pages, 1745 KB  
Article
Boundary-Aware Contrastive Learning for Log Anomaly Detection
by Fouad Ailabouni, Jesús-Ángel Román-Gallego, María-Luisa Pérez-Delgado and Laura Grande Pérez
Appl. Sci. 2026, 16(7), 3208; https://doi.org/10.3390/app16073208 - 26 Mar 2026
Viewed by 227
Abstract
Log anomaly detection in modern distributed systems is challenging. Anomalous behaviors are rare. Manual labeling is expensive. Session boundaries are often set by fixed heuristics before model training. This fixed-boundary assumption is problematic because segmentation errors propagate into representation learning and cannot be [...] Read more.
Log anomaly detection in modern distributed systems is challenging. Anomalous behaviors are rare. Manual labeling is expensive. Session boundaries are often set by fixed heuristics before model training. This fixed-boundary assumption is problematic because segmentation errors propagate into representation learning and cannot be corrected during optimization. To address this, this paper proposes BASN (Boundary-Aware Sessionization Network), a boundary-aware contrastive learning framework that jointly learns session boundaries and anomaly representations using a differentiable soft-reset mechanism. BASN does not treat sessionization as a separate step. Instead, it predicts boundary probabilities from event semantics and temporal gaps, then modulates end-to-end session-state updates. The session representations are optimized with self-supervised contrastive learning, enabling effective zero-shot anomaly detection and few-shot adaptation. Experiments on four benchmark datasets (BGL, HDFS, OpenStack, SSH) show strong zero-shot performance (area under the receiver operating characteristic curve, AUROC 0.935–0.975) and boundary alignment with expert-validated proxy segmentation (boundary F1 0.825–0.877). Comparative gains over baselines are reported in the article after bibliography correction, baseline verification, and expanded statistical analysis. BASN is also computationally efficient, requiring less than 10 ms per session on a Graphics Processing Unit (GPU) and less than 45 ms on a Central Processing Unit (CPU). This is compatible with real-time inference needs in the evaluated settings. However, cross-system transfer AUROC (0.735–0.812) remains below in-domain performance. Domain-specific adaptation is still needed for deployment in environments that differ greatly from the training domain. Full article
(This article belongs to the Section Computing and Artificial Intelligence)
Show Figures

Figure 1

26 pages, 572 KB  
Article
Physics-Constrained Optimization Framework for Detecting Stealthy Drift Perturbations
by Mordecai Opoku Ohemeng and Frederick T. Sheldon
Mathematics 2026, 14(7), 1113; https://doi.org/10.3390/math14071113 - 26 Mar 2026
Viewed by 340
Abstract
This work develops a zero-trust, physics-constrained mathematical framework for detecting stealthy drift perturbations in power system dynamical models. Such perturbations constitute adversarial, statistical deviations that preserve first-order operating trends, making them difficult to identify using classical residual-based estimators or unconstrained data-driven models. We [...] Read more.
This work develops a zero-trust, physics-constrained mathematical framework for detecting stealthy drift perturbations in power system dynamical models. Such perturbations constitute adversarial, statistical deviations that preserve first-order operating trends, making them difficult to identify using classical residual-based estimators or unconstrained data-driven models. We introduce ZETWIN, a spatio-temporal learning architecture formulated as a constrained optimization problem in which the nodal admittance matrix Ybus acts as a graph-structured linear operator embedded directly into the loss functional. This construction enforces Kirchhoff-consistent latent representations and yields a mathematically grounded zero-trust decision rule that flags any trajectory violating physical feasibility, independent of prior attack signatures. The proposed framework is evaluated using a PyPSA-based AC–DC meshed network, demonstrating an AUROC = 0.994, and F1 = 0.969. The formulation highlights how physics-informed constraints, graph operators, and spatio-temporal approximation theory can be combined to construct mathematically interpretable zero-trust detectors for complex dynamical systems. Full article
Show Figures

Figure 1

17 pages, 5294 KB  
Article
Predicting 10-Year Diabetes Risk Through Physiological Acceleration: A Longitudinal Deep Learning Ensemble Approach
by Sangsoo Kim, Seonghee Park, Jinmi Kim, Ha Jin Park, Soree Ryang, Myungsoo Im, Doohwa Kim and Kyeongjun Lee
Diagnostics 2026, 16(7), 992; https://doi.org/10.3390/diagnostics16070992 - 25 Mar 2026
Viewed by 280
Abstract
Background/Objectives: Type 2 diabetes (T2D) develops gradually over many years through a prolonged preclinical phase, yet traditional static risk scores often fail to capture these dynamic metabolic trajectories. We propose a longitudinal deep learning framework to predict the 10-year risk of Type [...] Read more.
Background/Objectives: Type 2 diabetes (T2D) develops gradually over many years through a prolonged preclinical phase, yet traditional static risk scores often fail to capture these dynamic metabolic trajectories. We propose a longitudinal deep learning framework to predict the 10-year risk of Type 2 diabetes onset defined by comprehensive ADA criteria by modeling the physiological acceleration of routine clinical biomarkers. Methods: Utilizing an 18-year longitudinal dataset from the community-based Korean Genome and Epidemiology Study (KoGES) cohort, we selected N=4354 participants with complete follow-up records, ensuring high data integrity without requiring synthetic data augmentation. We constructed a 3-dimensional tensor of 21 non-invasive clinical variables spanning a 6-year observation window. To resolve the inherent precision-recall trade-offs of individual models, we developed a stacking ensemble that integrates Long Short-Term Memory (LSTM) and Gated Recurrent Unit (GRU) architectures via a logistic regression meta-learner. To evaluate the added value of longitudinal modeling, we compared this dynamic framework against a static XGBoost baseline that only saw the most recent data. Results: Evaluated on an independent test set (n=874), the ensemble significantly outperformed baseline models, achieving an overall accuracy of 0.90 (95% CI: 0.88–0.92) and an AUROC of 0.94 (95% CI: 0.93–0.95). By harmonizing LSTM’s sensitivity and GRU’s precision, the model yielded an exceptional Positive Predictive Value (PPV) of 0.97, a sensitivity of 0.80, and a specificity of 0.98. Conclusions: This framework provides a highly accurate, resource-efficient triage instrument for T2D screening, thereby reducing unnecessary clinical alerts and improving screening efficiency. Full article
(This article belongs to the Special Issue Artificial Intelligence for Health and Medicine—2nd Edition)
Show Figures

Figure 1

10 pages, 2178 KB  
Article
Pan-Cancer Prediction of Genomic Alterations from H&E Whole-Slide Images in a Real-World Clinical Cohort
by Dongheng Ma, Hinano Nishikubo, Tomoya Sano and Masakazu Yashiro
Genes 2026, 17(4), 371; https://doi.org/10.3390/genes17040371 - 25 Mar 2026
Viewed by 323
Abstract
Background: Predicting genomic alterations from routine hematoxylin and eosin (H&E) whole-slide images (WSIs) may help triage molecular testing. Methods: We retrospectively enrolled 437 patients at Osaka Metropolitan University Hospital across 26 cancers, matched with clinical gene-panel data. We curated 1023 binary [...] Read more.
Background: Predicting genomic alterations from routine hematoxylin and eosin (H&E) whole-slide images (WSIs) may help triage molecular testing. Methods: We retrospectively enrolled 437 patients at Osaka Metropolitan University Hospital across 26 cancers, matched with clinical gene-panel data. We curated 1023 binary endpoints across SNV, CNV, and SV categories. We extracted slide embeddings from five pathology foundation models (Prism, GigaPath, Feather, Chief, and Titan) using a unified feature extraction pipeline and benchmarked them using a lightweight downstream Multi-Layer Perceptron (MLP) classifier. Using the best-performing patch feature system, we trained a multi-instance learning model to assess incremental benefit. Results: Titan achieved the highest and most stable transfer performance, with a median endpoint-wise Area Under the Receiver Operating Characteristic curve (AUROC) of 0.77 in the slide benchmarking; at the patch-level, prediction of APC_SNV reached an AUROC of 0.916, and prediction of KRAS_SNV reached an AUROC of 0.811 on the held-out test set. Conclusions: In a heterogeneous clinical gene-panel setting, pathology foundation models can provide strong baseline genomic-prediction signals without additional fine-tuning. We propose a practical, deployment-oriented two-stage workflow: rapid slide-embedding screening to prioritize robust representations and candidate endpoints, followed by patch-level training for high-value tasks where additional performance gains and interpretable regions are clinically worthwhile. Full article
(This article belongs to the Special Issue Computational Genomics and Bioinformatics of Cancer)
Show Figures

Figure 1

39 pages, 17119 KB  
Article
Transformer-Based Deep Learning for Population-Scale Retinal Image Screening of Ophthalmic Disorders
by Wiem Abdelbaki, Wided Bouchelligua, Inzamam Mashood Nasir, Sara Tehsin and Hend Alshaya
Bioengineering 2026, 13(4), 377; https://doi.org/10.3390/bioengineering13040377 - 25 Mar 2026
Viewed by 344
Abstract
To perform screening of the retina on a population scale, an automated procedure is required that incorporates accurate, reproducible, interpretable, and computationally costeffective models. Existing approaches using convolutional or transformer architectures typically do not adequately represent both fine-grained pathology and large-scale retinal context [...] Read more.
To perform screening of the retina on a population scale, an automated procedure is required that incorporates accurate, reproducible, interpretable, and computationally costeffective models. Existing approaches using convolutional or transformer architectures typically do not adequately represent both fine-grained pathology and large-scale retinal context simultaneously, which could adversely affect their reliability if used for large-scale applications in clinical practice. In this paper, we propose a hierarchical transformer-based screening framework for retinal fundus images that incorporates patch-based tokenization, global transformer encoding, and hierarchical aggregation of contextual information. We also developed a lightweight prediction head that supports screening for both single and multiple diseases. The framework has been evaluated using standard screening metrics, robustness, and cross-dataset generalization analyses on two eye retinopathy image databases: EyePACS and RFMiD. With regard to screening for a binary outcome of diabetic retinopathy, our method provided an accuracy of 89.4% and an area under the receiver operating characteristic (AUROC) curve of 93.6% on EyePACS and attained an accuracy of 95.2% and a macro-averaged F1 score of 82.7% on RFMiD. Our hierarchical transformer achieved improved robustness to degraded images and increased generalizability across datasets compared with all current state-of-the-art models. The proposed hierarchical transformer demonstrates strong potential for large-scale retinal screening and provides a promising foundation for future clinically validated deployment. Full article
Show Figures

Figure 1

23 pages, 1565 KB  
Article
Progranulin Is a Useful Biomarker to Predict Mortality in ICU Patients with Low Burden of Organ Dysfunction
by Jochen Johannes Schoettler, Lutz Pridzun, Bertram Flehmig, Holger A. Lindner, Verena Schneider-Lindner, Joerg Krebs, Franz-Simon Centner and Manfred Thiel
Biomedicines 2026, 14(4), 744; https://doi.org/10.3390/biomedicines14040744 - 24 Mar 2026
Viewed by 200
Abstract
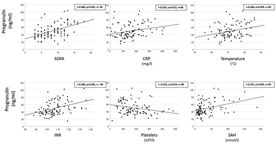
Background/Objectives: Early prognostication in critically ill patients with low burden of organ dysfunction (BOD) remains challenging. Progranulin (PGRN), a hypoxia inducible and anti-inflammatory protein, may offer prognostic value. We investigated whether PGRN levels predict mortality in ICU patients stratified by their BOD. [...] Read more.
Background/Objectives: Early prognostication in critically ill patients with low burden of organ dysfunction (BOD) remains challenging. Progranulin (PGRN), a hypoxia inducible and anti-inflammatory protein, may offer prognostic value. We investigated whether PGRN levels predict mortality in ICU patients stratified by their BOD. Methods: In this secondary analysis of a prospectively recruited ICU cohort (n = 99), patients were categorized into low (Sequential Organ Failure Assessment Score (SOFA) ≤ 8) and high (SOFA > 8) BOD groups. Plasma PGRN concentrations were measured every 8 h for up to 5 days. Initial values and kinetic parameters (maximum, mean, and normalized area score (NAS)) were evaluated. Associations with in-hospital mortality were analyzed by univariate logistic regression and area under the receiver operating characteristic curve (AUROC) comparisons. Results: In patients with low BOD (n = 53), the PGRN kinetics were significantly associated with in-hospital mortality, with odds ratios of 1.086 (95% CI 1.027–1.148), 1.102 (95% CI 1.025–1.184), and 1.093 (95% CI 1.021–1.170) for maximum, mean, and NAS values, respectively. The respective AUROC values were 0.815 (p = 0.001), 0.753 (p = 0.010), and 0.738 (p = 0.016). By contrast, none of the PGRN metrics predicted mortality in patients with high BOD (n = 46; all AUROC values < 0.61, p > 0.25). The respective SOFA and CRP metrics were not predictive in low BOD patients. Maximum PGRN levels predicted death at least 32 h in advance. Conclusions: Serial PGRN measurements offer prognostic information, particularly in ICU patients with low BOD, a group whose deterioration is often difficult to anticipate and may be underestimated by conventional scoring systems such as SOFA. These findings support further investigation of PGRN as a tool for early risk stratification in critical illness. Full article
(This article belongs to the Section Molecular and Translational Medicine)
Show Figures

Figure 1

20 pages, 613 KB  
Article
Automated Electronic Health Record Phenotyping of Acute and Subacute Subdural Hematoma
by Gregory B. Hooke, Haoqi Sun, Catherine Clive, Spencer Boris, Niels Turley, Lydia Petersen, Jaden Searle, Bram Overmeer, Ali Han Yaramis, Karan Singh, Arjun Singh, Daniel Sumsion, Aditya Gupta, Manohar Ghanta, Valdery F. Moura Junior, Marta Fernandes, Katie L. Stone, Dennis Hwang, Lynn Marie Trotti, Gari D. Clifford, Umakanth Katwa, Shibani S. Mukerji, Sahar F. Zafar, Robert J. Thomas and M. Brandon Westoveradd Show full author list remove Hide full author list
Algorithms 2026, 19(3), 239; https://doi.org/10.3390/a19030239 - 23 Mar 2026
Viewed by 318
Abstract
Accurate identification of acute and subacute subdural hematoma (acute/subacute SDH) is critical for improved patient outcomes. However, large-scale research is hindered by unreliable identification methods in electronic health records (EHRs). Current approaches relying on International Classification of Diseases (ICD) codes lack specificity and [...] Read more.
Accurate identification of acute and subacute subdural hematoma (acute/subacute SDH) is critical for improved patient outcomes. However, large-scale research is hindered by unreliable identification methods in electronic health records (EHRs). Current approaches relying on International Classification of Diseases (ICD) codes lack specificity and cannot distinguish acute, subacute, and chronic cases; manual chart review is too labor-intensive to scale. We developed an automated phenotyping algorithm using structured data and unstructured clinical notes for high-accuracy retrospective identification of acute/subacute SDH. We analyzed 2999 records from two hospitals, including ICD-positive and ICD-negative acute/subacute SDH cases verified by manual chart review. Features for model training included ICD codes, Current Procedural Terminology (CPT) codes, and clinical note keywords. Logistic regression and random forest models were trained using cross-validation and evaluated using AUROC and AUPRC. External validation involved training on one hospital and testing on the other. The random forest keywords-only model performed best, achieving an AUROC of 0.985 (95% CI: 0.980–0.990) and AUPRC of 0.944 (95% CI: 0.923–0.962) on the test set. External validation demonstrated strong AUROCs of 0.965 and 0.971 and AUPRCs of 0.831 and 0.840. The overall error rate was <1%. This model provides a scalable, highly accurate approach to acute/subacute SDH detection in EHR research. Full article
Show Figures

Figure 1

Back to TopTop