Sign in to use this feature.

Years

Between: -

Subjects

remove_circle_outline
remove_circle_outline
remove_circle_outline
remove_circle_outline
remove_circle_outline
remove_circle_outline
remove_circle_outline
remove_circle_outline
remove_circle_outline

Journals

Article Types

Countries / Regions

Search Results (42)

Search Parameters:
Keywords = AEN

Order results
Result details
Results per page
Select all
Export citation of selected articles as:
18 pages, 2425 KB  
Article
Impact of Low-Dose CT Radiation on Gene Expression and DNA Integrity
by Nikolai Schmid, Vadim Gorte, Michael Akers, Niklas Verloh, Michael Haimerl, Christian Stroszczynski, Harry Scherthan, Timo Orben, Samantha Stewart, Laura Kubitscheck, Hanns Leonhard Kaatsch, Matthias Port, Michael Abend and Patrick Ostheim
Int. J. Mol. Sci. 2025, 26(24), 11869; https://doi.org/10.3390/ijms262411869 - 9 Dec 2025
Viewed by 496
Abstract
Computed tomography (CT) is a major source of low-dose ionizing radiation exposure in medical imaging. Risk assessment at this dose level is difficult and relies on the hypothetical linear no-threshold model. To address the response to such low doses in patients undergoing CT [...] Read more.
Computed tomography (CT) is a major source of low-dose ionizing radiation exposure in medical imaging. Risk assessment at this dose level is difficult and relies on the hypothetical linear no-threshold model. To address the response to such low doses in patients undergoing CT scans, we examined radiation-induced alterations at the transcriptomic and DNA damage levels in peripheral blood cells. Peripheral whole blood of 60 patients was collected before and after CT. Post-CT samples were obtained 4–6 h after scan (n = 28, in vivo incubation) or alternatively immediately after the CT scan, followed by ex vivo incubation (n = 32). The gene expression of known radiation-responsive genes (n = 9) was quantified using qRT-PCR. DNA double-strand breaks (DSB) were assessed in 12 patients through microscopic γ-H2AX + 53BP1 DSB focus staining. The mean dose–length product (DLP) across all scans was 561.9 ± 384.6 mGy·cm. Significant differences in the median differential gene expression (DGE) were detected between in vivo and ex vivo incubation conditions, implicating that ex vivo incubation masked the true effect in low-dose settings. The median DGE of in vivo-incubated samples showed a significant upregulation of EDA2R, MIR34AHG, PHLDA3, DDB2, FDXR, and AEN (p ranging from <0.001 to 0.041). In vivo, we observed a linear dose-dependent upregulation for several genes and an explained variance of 0.66 and 0.56 for AEN and FDXR, respectively. DSB focus analysis revealed a slight, non-significant increase in the average DSB damage post-exposure, at a mean DLP of 321.0 mGy·cm. Our findings demonstrate that transcriptional biomarkers are sensitive indicators of low-dose radiation exposure in medical imaging and could prove themselves as clinically applicable biodosimetry tools. Furthermore, the results underscore the need for dose optimization. Full article
(This article belongs to the Section Molecular Genetics and Genomics)
Show Figures

Figure 1

21 pages, 2277 KB  
Article
Fertilizer Use Efficiency and Profitability of Maize Varieties with Different Maturity Classes in Semi-Arid Ghana
by Dilys Sefakor MacCarthy, Bright Salah Freduah, Yvonne Ohui Kugblenu Darrah, Samuel Godfried Adiku, Daniel Etsey Dodor, Joseph Kugbe and Alpha Yaya Kamara
Nitrogen 2025, 6(3), 48; https://doi.org/10.3390/nitrogen6030048 - 24 Jun 2025
Viewed by 1673
Abstract
Optimizing the efficiency of fertilizer use is critical for sustainable maize production and food security, particularly in smallholder systems. Sub-optimal application rates pose a significant risk of soil nutrient depletion and low productivity. Split plot experiments were conducted across four locations in Ghana’s [...] Read more.
Optimizing the efficiency of fertilizer use is critical for sustainable maize production and food security, particularly in smallholder systems. Sub-optimal application rates pose a significant risk of soil nutrient depletion and low productivity. Split plot experiments were conducted across four locations in Ghana’s Guinea Savannah using seven maize varieties from three different maturity classes. The study assessed the response to nitrogen fertilizer applications (0, 60, 90, and 120 kg N ha−1) regarding yield, Agronomic Efficiency (AEN), Water Use Efficiency (WUE), and economic feasibility. Grain yields across locations and varieties demonstrated a strong linear response to nitrogen fertilization. The 90 kg N ha−1 application generally produced the highest AEN for all sites and varieties. Gross Revenue (GR) and WUE increased with higher N rates, with Value-to-Cost Ratios (VCR) consistently exceeding 2. Applying 90 kg N ha−1 resulted in statistically similar Gross Revenues (GRs) to the 120 kg N ha−1 fertilization. Different maturity classes significantly impacted fertilizer efficiency in semi-arid Ghana, with intermediate varieties outperforming extra-early ones. Though a 90 kg N ha−1 rate was generally identified as the economically optimal rate of N fertilization for the locations, targeted fertilizer recommendations based on maize maturity groups and location are strongly advised. Full article
Show Figures

Figure 1

18 pages, 4123 KB  
Article
Wheat Yield, N Use Efficiency, Soil Properties, and Soil Bacterial Community as Affected by Long-Term Straw Incorporation and Manure Under Wheat–Summer Maize Cropping System in Southern Shanxi Province, China
by Mengni Chen, Zhiguo Yang, Na Yang, Hui Wang, Yongshan Li, Ke Wang, Jian Wang, Qiaolan Fan, Jiancheng Zhang, Jiawei Yuan, Peng Dong and Lu Wang
Plants 2025, 14(12), 1795; https://doi.org/10.3390/plants14121795 - 11 Jun 2025
Cited by 3 | Viewed by 1995
Abstract
Straw incorporation and manure are recognized as a sustainable farming practice to enhance soil fertility and improve crop yields. However, the effects of straw incorporation in combination with manure on productivity, soil nutrient status, N use efficiency (NUE), and the bacterial community are [...] Read more.
Straw incorporation and manure are recognized as a sustainable farming practice to enhance soil fertility and improve crop yields. However, the effects of straw incorporation in combination with manure on productivity, soil nutrient status, N use efficiency (NUE), and the bacterial community are not well understood in wheat–summer maize rotation systems in the southern Shanxi Province. The five treatments were (1) CK, no fertilization; (2) NP, inorganic N and P fertilizers; (3) NPM, mineral N and P fertilizers plus chicken manure; (4) SNP, mineral N and P fertilizers plus maize straw; and (5) SNPM, mineral N and P fertilizers plus maize straw and chicken manure. The results showed that NP, NPM, SNP, and SNPM significantly increased wheat yields by 56.19%, 76.89%, 111.08%, and 114.30%, compared with CK, respectively. Nitrogen agronomic efficiency (AEN), partial factor productivity (PEPN), apparent recovery efficiency (Apparent REN), and accumulated recovery efficiency (Accumulated REN) increased by 103.36%, 37.19%, 76.39%, and 30.90% in the SNPM treatment, compared with NP. Straw incorporation and manure significantly improved soil fertility. Proteobacteria, Acidobacteriota, Actinobacteriota, Chloroflex, Bacteroidota, Planctomycetota, Gemmatimonadota, Armatimonadota, Firmicutes, Methylomirabilota, and Myxococcota were the predominant bacterial phyla. Compared with NP, straw incorporation and manure (NPM, SNP, and SNPM) decreased diversities (richness index, Chao1 index, and Shannon index). Principal coordinates (PCoA) and cluster analyses demonstrated that manure treatments (NPM and SNPM) significantly optimized bacterial community structure. Pearson’s correlation analysis demonstrated that organic matter, total phosphorus, available nitrogen, available phosphorus, and available potassium had significant positive correlations with Halanaerobiaeota but significant negative positive correlations with Chloroflexi, Entotheonellaeota, and Myxococcota. Wheat yields, AEN, PEPN, Apparent REN, and Accumulated REN were primarily and significantly negatively associated with Cyanobacteria. Straw incorporation in combination with manure significantly optimized bacterial community structure, wheat yields, and N use efficiency through improving soil fertility. Collectively, straw incorporation in combination with manure is a promising practice for sustainable development. Full article
(This article belongs to the Special Issue Water and Nitrogen Management in the Soil–Crop System (3rd Edition))
Show Figures

Figure 1

13 pages, 1840 KB  
Article
Routine CT Diagnostics Cause Dose-Dependent Gene Expression Changes in Peripheral Blood Cells
by Hanns Leonhard Kaatsch, Laura Kubitscheck, Simon Wagner, Thomas Hantke, Maximilian Preiss, Patrick Ostheim, Tim Nestler, Joel Piechotka, Daniel Overhoff, Marc A. Brockmann, Stephan Waldeck, Matthias Port, Reinhard Ullmann and Benjamin V. Becker
Int. J. Mol. Sci. 2025, 26(7), 3185; https://doi.org/10.3390/ijms26073185 - 29 Mar 2025
Cited by 3 | Viewed by 1684
Abstract
The increasing use of computed tomography (CT) has led to a rise in cumulative radiation dose due to medical imaging, raising concerns about potential long-term adverse effects. Large-scale epidemiological studies indicate a higher tumor incidence associated with CT examinations, but the underlying biological [...] Read more.
The increasing use of computed tomography (CT) has led to a rise in cumulative radiation dose due to medical imaging, raising concerns about potential long-term adverse effects. Large-scale epidemiological studies indicate a higher tumor incidence associated with CT examinations, but the underlying biological mechanisms remain largely unexplained. To gain further insights into the cellular response triggered by routine CT diagnostics, we investigated CT-induced changes of gene expression in peripheral blood cells using whole transcriptome sequencing. RNA was isolated from peripheral blood cells of 40 male patients with asymptomatic microhematuria, sampled before and after multi-phase abdominal CT (CTDIvol: 3.75–26.95 mGy, median: 6.55 mGy). On average, 22.11 million sequence reads (SD 5.71) per sample were generated to identify differentially expressed genes 6 h post-exposure by means of DESeq2. To assess the dose dependency of CT-induced effects, we additionally divided samples into three categories: low exposure (≤6.55 mGy, n = 20), medium exposure (>6.55 mGy and <12 mGy, n = 16), and high exposure (≥12 mGy, n = 4), and repeated gene expression analysis for each subset and their corresponding prae-exposure sample. CT exposure caused consistent and dose-dependent upregulation of six genes (EDA2R, AEN, FDXR, DDB2, PHLDA3, and MIR34AHG; padj < 0.1). These genes share several functional commonalities, including regulation by TP53 and involvement in the DNA damage response. The biological pathways highlighted by Gene Set Enrichment Analysis (GSEA) suggest a dose-dependent increase of cellular damage and metabolic particularities in the low-exposure subset, which may be related to a potential adaptive cellular response to low-dose irradiation. Irrespective of applied dose, AEN emerged as the most robust biomarker for CT exposure among all genes. Routine abdominal CT scans cause dose-dependent gene deregulation in association with DNA damage in peripheral blood cells after in vivo exposure. Regarding risk assessment of CT, our results support the commonly applied “As Low–As –Reasonably Achievable (ALARA)” principle. Evidence of additional gene expression changes associated with metabolic processes indicates a rather complex molecular response beyond DNA damage after CT exposure, and emphasizes the need for further targeted investigations. Full article
(This article belongs to the Section Molecular Genetics and Genomics)
Show Figures

Figure 1

6 pages, 1527 KB  
Case Report
Multidisciplinary Management of Acute Esophageal Necrosis Secondary to Alcoholic Lactic Acidosis: A Case Report
by Luigi Orsini, Alberto Martino, Ornella Picascia, Marco Di Serafino and Giovanni Lombardi
Reports 2025, 8(1), 25; https://doi.org/10.3390/reports8010025 - 19 Feb 2025
Cited by 1 | Viewed by 989
Abstract
Background and Clinical Significance: Acute esophageal necrosis (AEN), or black esophagus, is an extraordinary rare source of acute upper gastrointestinal bleeding. Its pathogenesis is still poorly understood, whereas etiology seems to be multifactorial, mainly involving esophageal ischemia, increased acid reflux, and reduced [...] Read more.
Background and Clinical Significance: Acute esophageal necrosis (AEN), or black esophagus, is an extraordinary rare source of acute upper gastrointestinal bleeding. Its pathogenesis is still poorly understood, whereas etiology seems to be multifactorial, mainly involving esophageal ischemia, increased acid reflux, and reduced mucosal defenses. Although alcohol abuse has been reported to be a common trigger factor, only one case of AEN due to severe alcoholic lactic acidosis has been described up to date. Case Presentation: Herein, we describe a case of a non-cirrhotic 61-year-old lady with a history of chronic alcohol abuse, who was admitted to the Emergency Room due to upper gastrointestinal (GI) bleeding. AEN caused by severe alcoholic lactic acidosis was promptly diagnosed by subsequent investigations, including blood test, urinalysis, computed tomography, and upper GI endoscopy. The treatment involved a multidisciplinary, aggressive medical approach, which included one hemodialysis session. Conclusions: This is the second documented case of AEN secondary to alcoholic lactic acidosis, successfully treated with a previously unreported aggressive multidisciplinary approach, involving one hemodialysis session. It highlights the value of a multidisciplinary approach in managing such complex and rare conditions. Full article
(This article belongs to the Section Gastroenterology)
Show Figures

Figure 1

16 pages, 2802 KB  
Article
Nitrogen Management Utilizing 4R Nutrient Stewardship: A Sustainable Strategy for Enhancing NUE, Reducing Maize Yield Gap and Increasing Farm Profitability
by Naba Raj Pandit, Shiva Adhikari, Shree Prasad Vista and Dyutiman Choudhary
Nitrogen 2025, 6(1), 7; https://doi.org/10.3390/nitrogen6010007 - 26 Jan 2025
Cited by 6 | Viewed by 3855
Abstract
The imbalanced use of fertilizers, particularly the inefficient application of nitrogen (N), has led to reduced nitrogen use efficiency (NUE), lowered crop yields and increased N losses in Nepal. This study aimed to enhance yields, NUE and farm profitability by optimizing N fertilizer [...] Read more.
The imbalanced use of fertilizers, particularly the inefficient application of nitrogen (N), has led to reduced nitrogen use efficiency (NUE), lowered crop yields and increased N losses in Nepal. This study aimed to enhance yields, NUE and farm profitability by optimizing N fertilizer rates, application timing and methods through multilocation trials and demonstrations. In 2017, 57 field trials were conducted in two mid-hill districts using a completely randomized block design. The treatments included control (CK), NPK omission (N0, P0 and K0), variable N rates (60, 120, 180 and 210 kg N ha−1) and top-dressing timings (120 kg N ha−1 applied at knee height and shoulder height, V6, V10 and V8 stages). A full dose of recommended P (60 kg ha−1) and K (40 kg ha−1) were applied at planting, while N was top-dressed in two equal splits at knee-height and shoulder-height growth stages for P and K omission treatments, as well as for treatment with variable N rates. Grain yields responded quadratically, with optimum N rates ranging from 120 to 180 kg ha−1 across the districts. N applied at 120 kg ha−1 and top-dressed at V6 and V10 increased maize yield by 20–25%, partial factor productivity of nitrogen (PFPN) by 12%, agronomic efficiency of nitrogen (AEN) by 21% and gross margin by 10% compared to conventional knee and shoulder height application. In 2018 and 2019, fertilizer BMPs, including V6 and V10 top-dressing and the urea briquette deep placement (UDP) were demonstrated on 102 farmers’ fields across five mid-hill districts to compare their agronomic and economic significance over traditional farmers’ practice (FP). UDP, validated in 2018 field trials, increased yields by 34% (8.8 t ha−1) and urea top-dressing at V6 and V10 increased yield by 33% (8.7 t ha−1) compared to FP (5.8 t ha−1), reducing the average yield gap by 3.0 t ha−1. Moreover, the gross margin was increased by 39% (V6 and V10) and 40% (UDP) over FP. The findings highlight the need for widespread adoption of fertilizer BMPs to close the yield gap and maximize profitability with minimal nitrogen footprint. Full article
Show Figures

Figure 1

13 pages, 302 KB  
Entry
Inclusion in Immersion Education: Identifying and Supporting Students with Additional Educational Needs
by Sinéad Nic Aindriú
Encyclopedia 2024, 4(4), 1496-1508; https://doi.org/10.3390/encyclopedia4040097 - 30 Sep 2024
Viewed by 5640
Definition
This entry reviews the research around identifying and supporting students with additional educational needs (AEN) in immersion education. This is important as it is clear from international research that teachers in this form of education experience challenges due to the lack of availability [...] Read more.
This entry reviews the research around identifying and supporting students with additional educational needs (AEN) in immersion education. This is important as it is clear from international research that teachers in this form of education experience challenges due to the lack of availability of minority language services, assessments, interventions, and resources. The international research and literature on the positive practices that can be implemented in immersion education to help teachers and schools overcome the challenges they encounter is reviewed. The themes included in this entry are inclusive pedagogies, assessment, literacy, mathematics, and challenging behaviour. Full article
(This article belongs to the Collection Encyclopedia of Social Sciences)
24 pages, 2801 KB  
Article
Elevated CO2 and Nitrogen Supply Boost N Use Efficiency and Wheat (T. aestivum cv. Yunmai) Growth and Differentiate Soil Microbial Communities Related to Ammonia Oxidization
by Xingshui Dong, Hui Lin, Feng Wang, Songmei Shi, Sharifullah Sharifi, Shuai Wang, Junwei Ma and Xinhua He
Plants 2024, 13(17), 2345; https://doi.org/10.3390/plants13172345 - 23 Aug 2024
Cited by 3 | Viewed by 1501
Abstract
Elevated CO2 levels (eCO2) pose challenges to wheat (Triticum aestivum L.) growth, potentially leading to a decline in quality and productivity. This study addresses the effects of two ambient CO2 concentrations (aCO2, daytime/nighttime = 410/450 ± [...] Read more.
Elevated CO2 levels (eCO2) pose challenges to wheat (Triticum aestivum L.) growth, potentially leading to a decline in quality and productivity. This study addresses the effects of two ambient CO2 concentrations (aCO2, daytime/nighttime = 410/450 ± 30 ppm and eCO2, 550/600 ± 30 ppm) and two nitrogen (N) supplements (without N supply—N0 and with 100 mg N supply as urea per kg soil—N100) on wheat (T. aestivum cv. Yunmai) growth, N accumulation, and soil microbial communities related to ammonia oxidization. The data showed that the N supply effectively mitigated the negative impacts of eCO2 on wheat growth by reducing intercellular CO2 concentrations while enhancing photosynthesis parameters. Notably, the N supply significantly increased N concentrations in wheat tissues and biomass production, thereby boosting N accumulation in seeds, shoots, and roots. eCO2 increased the agronomic efficiency of applied N (AEN) and the physiological efficiency of applied N (PEN) under N supply. Plant tissue N concentrations and accumulations are positively related to plant biomass production and soil NO3-N. Additionally, the N supply increased the richness and evenness of the soil microbial community, particularly Nitrososphaeraceae, Nitrosospira, and Nitrosomonas, which responded differently to N availability under both aCO2 and eCO2. These results underscore the importance and complexity of optimizing N supply and eCO2 for enhancing crop tissue N accumulation and yield production as well as activating nitrification-related microbial activities for soil inorganic N availability under future global environment change scenarios. Full article
(This article belongs to the Section Plant Physiology and Metabolism)
Show Figures

Figure 1

15 pages, 3734 KB  
Article
Effects of Different Tillage Years on Soil Composition and Ground-Dwelling Arthropod Diversity in Gravel-Sand Mulching Watermelon Fields
by Haixiang Zhang, Ziyu Cao, Yifan Cui, Changyu Xiong, Wei Sun, Ying Wang, Liping Ban, Rong Zhang and Shuhua Wei
Agronomy 2024, 14(8), 1841; https://doi.org/10.3390/agronomy14081841 - 20 Aug 2024
Cited by 2 | Viewed by 1571
Abstract
Arthropods play a crucial role in ecological processes and agricultural productivity. Soil physicochemical properties, indicators of soil health, are closely linked to arthropod communities. Gravel-sand mulching, commonly employed in arid farming, initially enhances water retention and temperature regulation but may contribute to land [...] Read more.
Arthropods play a crucial role in ecological processes and agricultural productivity. Soil physicochemical properties, indicators of soil health, are closely linked to arthropod communities. Gravel-sand mulching, commonly employed in arid farming, initially enhances water retention and temperature regulation but may contribute to land degradation with prolonged use. This study investigated how varying tillage durations affected soil properties and arthropod diversity under gravel-sand mulching. The analysis employed multiple comparison methods, covariance analysis (ANCOVA), non-metric multidimensional scaling (NMDS), and redundancy analysis (RDA). The results indicated that while soil fertility was better preserved in cultivated fields compared to in the desert grassland, arthropod diversity significantly decreased with longer cultivation periods. A total of 1099 arthropods from 79 species were sampled, by Barber trap. The highest diversity was observed in native grassland (NG), with 305 arthropods from 39 species, while tillage 21 years (GPS-21Y) exhibited the lowest diversity, with only 103 arthropods from 6 species. Dominant species included the carnivores Labidura japonica and Cataglyphis aenes. The analysis revealed low similarity in arthropod communities between GPS-21Y and other fields and high similarity in soil physicochemical properties between NG and the transition zone (STZ). RDA showed available potassium (APP) was negatively correlated with arthropod species diversity and concentration, total Nitrogen (TN) was positively correlated with arthropod species diversity but negatively correlated with species concentration, total phosphorus (TP) was negatively correlated with arthropod species diversity and concentration. This study provides insights into the relationship between maintaining soil fertility and supporting arthropod diversity in grassland agriculture. While soil fertility and arthropod diversity were correlated, continuous cropping practices negatively impacted arthropod diversity, offering valuable information for pest management and sustainable agricultural practices. Full article
(This article belongs to the Special Issue Sustainable Pest Management under Climate Change)
Show Figures

Figure 1

8 pages, 864 KB  
Communication
Genetic Variants Associated with Body Mass Index Changes in Korean Adults: The Anseong and Ansan Cohorts of the Korean Genome and Epidemiology Study
by Sang-Im Lee, Su-Kang Kim and Sang-Wook Kang
Curr. Issues Mol. Biol. 2024, 46(8), 9074-9081; https://doi.org/10.3390/cimb46080536 - 19 Aug 2024
Cited by 3 | Viewed by 1864
Abstract
Although previous studies have examined the relationship between obesity and genetics in response to the growing obesity epidemic, research on the relationship between obesity and long-term changes in body mass index (BMI) is limited. To investigate this relationship, data from 1030 cases in [...] Read more.
Although previous studies have examined the relationship between obesity and genetics in response to the growing obesity epidemic, research on the relationship between obesity and long-term changes in body mass index (BMI) is limited. To investigate this relationship, data from 1030 cases in the Anseong and Ansan cohorts were collected from the Korean Genome and Epidemiology Study conducted by the Korea National Institute of Health between 2000 and 2014. Cases lacking participants’ BMI data throughout the study were excluded, resulting in a final sample size of 3074. An increase or decrease in BMI was analyzed using PLINK, STRING, and DAVID, with significant differences observed in the AEN, ANKS1B, CSF1, EEF2K, FRAS1, GRIK4, PDGFC, THTPA, and TREH genes. These genes were observed to cluster with pathways related to type 2 diabetes, cardiovascular disease, metabolic processes, and endocytosis-related genes. These results suggest that several genes are involved in BMI changes and that several pathways are associated with obesity risk. Moreover, some genetic variants appear to influence BMI changes in Korean adults. Full article
(This article belongs to the Collection Bioinformatics Approaches to Biomedicine)
Show Figures

Figure 1

17 pages, 1335 KB  
Article
The In Vitro Antibacterial Activity of Phytogenic and Acid-Based Eubiotics against Major Foodborne Zoonotic Poultry Pathogens
by Konstantinos Kiskinis, Tilemachos Mantzios, Vangelis Economou, Evanthia Petridou, Anestis Tsitsos, Apostolos Patsias, Ioanna Apostolou, Georgios A. Papadopoulos, Ilias Giannenas, Paschalis Fortomaris and Vasilios Tsiouris
Animals 2024, 14(11), 1611; https://doi.org/10.3390/ani14111611 - 29 May 2024
Cited by 2 | Viewed by 2174
Abstract
The aim of the study was to investigate in vitro the antibacterial activity of 8 commercial drinking water additives against major zoonotic poultry pathogens (Campylobacter spp., Escherichia coli, Salmonella Typhimurium, Staphylococcus aureus and Listeria spp.). We tested two essential oil-based phytogenics [...] Read more.
The aim of the study was to investigate in vitro the antibacterial activity of 8 commercial drinking water additives against major zoonotic poultry pathogens (Campylobacter spp., Escherichia coli, Salmonella Typhimurium, Staphylococcus aureus and Listeria spp.). We tested two essential oil-based phytogenics (Phyto CSC Liquide B, AEN 350 B Liquid), two acid-based eubiotics (Salgard® liquid, Intesti-Flora), and four blends of essential oils and organic acids (ProPhorceTM SA Exclusive, Herbal acid, Rigosol-N and Eubisan 3000). The antibacterial activity was determined by estimating the minimum inhibitory concentration (MIC) using a microdilution method. The MICs of the products against Campylobacter spp. ranged from 0.071% to 0.568% v/v, in which Herbal acid, a blend rich in lactic and phosphoric acids, also containing thyme and oregano oils, exhibited the highest efficacy (MIC: 0.071% v/v) against all the tested strains. The MICs of the tested products against Escherichia coli ranged between 0.071% and 1.894% v/v. Specifically, the MIC of Rigosol-N, a blend of high concentrations of lactic and acetic acid, was 0.142% v/v for both tested strains, whereas the MICs of Intesti-Flora, a mixture rich in lactic and propionic acid, ranged from 0.284% to 0.568% v/v. The MICs of the products against Salmonella Typhimurium were between 0.095% and 1.894% v/v. Specifically, the MIC of Eubisan 3000, a blend rich in oregano oil, was 0.284% v/v. The MICs against Staphylococcus aureus were between 0.142% and 9.090% v/v. The MICs of Phyto CSC Liquide B, which is rich in trans-cinnamaldehyde, were between 3.030% and 9.090% v/v, showing the highest MIC values of all tested products. Finally, the MIC values of the tested commercial products against Listeria spp. were 0.095% to 3.030% v/v. The MICs of ProPhorceTM SA Exclusive, a highly concentrated blend of formic acid and its salts, were 0.095–0.142% v/v against Listeria spp., while the MICs of AEN 350 B Liquid were between 0.284% and 1.894% exhibiting high Listeria spp. strain variability. In conclusion, all the selected commercial products exhibited more or less antibacterial activity against pathogenic bacteria and, thus, can be promising alternatives to antibiotics for the control of zoonotic poultry pathogens and the restriction of antimicrobial-resistant bacteria. Full article
(This article belongs to the Special Issue Recent Advance in Veterinary Microbiology)
Show Figures

Figure 1

15 pages, 2321 KB  
Article
Optimizing Maize Yield and Resource Efficiency Using Surface Drip Fertilization in Huang-Huai-Hai: Impact of Increased Planting Density and Reduced Nitrogen Application Rate
by Liqian Wu, Guoqiang Zhang, Zhenhua Yan, Shang Gao, Honggen Xu, Jiaqiang Zhou, Dianjun Li, Yi Liu, Ruizhi Xie, Bo Ming, Jun Xue, Peng Hou, Shaokun Li and Keru Wang
Agronomy 2024, 14(5), 944; https://doi.org/10.3390/agronomy14050944 - 30 Apr 2024
Cited by 3 | Viewed by 2317
Abstract
Improving crop yield and resource utilization efficiency is essential for agricultural productivity. In the Huang-Huai-Hai maize region of China, optimizing planting density, nitrogen (N) application, and fertilization methods are key strategies for enhancing maize yield and N use efficiency. However, traditional approaches have [...] Read more.
Improving crop yield and resource utilization efficiency is essential for agricultural productivity. In the Huang-Huai-Hai maize region of China, optimizing planting density, nitrogen (N) application, and fertilization methods are key strategies for enhancing maize yield and N use efficiency. However, traditional approaches have often hindered these improvements. To address this issue, we conducted a study in Baoding, Hebei, from 2022 to 2023, focusing on planting density, the N application rate, and the fertilization method on grain yield, N use efficiency, water use efficiency (WUE), and economic benefits. The trial involved two planting densities: 6.0 × 104 plants ha−1 (D1, typical local density) and 9.0 × 104 plants ha−1 (D2). Five N application rates were tested: 0 (N0), 120 kg ha−1 (N1), 180 kg ha−1 (N2), 240 kg ha−1 (N3), and 300 kg ha−1 (N4). The control treatment (D1N4) utilized the local planting density and traditional fertilization methods. Our findings revealed a positive correlation between the maize yield and N application rate, with the maximum yields (13.78–13.88 t ha−1), high WUE (24.42–29.85 kg m−3), agronomic efficiency of N (AEN) (18.11–19.00 kg kg−1), and economic benefits (2.44 × 104–2.47 × 104 CNY ha−1) observed with D2N3 and surface drip fertilization. This was significantly higher than the yield and resource efficiency of traditional fertilization methods and saved fertilizer and production costs. Therefore, adopting surface drip fertilization, adjusting planting density, and optimizing N application rates proved effective in enhancing maize yield and resource utilization efficiency in the Huang-Huai-Hai maize region. Full article
Show Figures

Figure 1

18 pages, 7690 KB  
Article
Conjugate Heat Transfer Advancements and Applications in Aerospace Engine Technology
by Hao Zha, Yaqian Xu, Zhigong Tang, Bin Li and Dongzhi Wang
Appl. Sci. 2024, 14(9), 3556; https://doi.org/10.3390/app14093556 - 23 Apr 2024
Cited by 4 | Viewed by 3478
Abstract
Over the past few decades, conjugate heat transfer (CHT) technology has been instrumental in predicting temperature fields within aerospace engines, guiding engine design with its predictive capabilities. This paper comprehensively surveys the foundational technologies of CHT and their applications in engine design, backed [...] Read more.
Over the past few decades, conjugate heat transfer (CHT) technology has been instrumental in predicting temperature fields within aerospace engines, guiding engine design with its predictive capabilities. This paper comprehensively surveys the foundational technologies of CHT and their applications in engine design, backed by an extensive literature review. A novel coupling iteration methodology, su-F-TFTB, was proposed. Following this, it introduced grid splicing technology tailored for heat flux conservation, which significantly enhances the adaptability of CHT grids. Ultimately, this study employed the self-developed Aerospace Engine Numerical Simulation (AENS v4.0.1) software to perform CHT analyses on NASA-C3X turbine blades equipped with ten radial cooling systems. A comparative analysis of pressure distributions across various density meshes was undertaken to affirm mesh independence. Furthermore, the impacts of the Spalart–Allmaras (SA) one-equation model and k–ω Shear Stress Transport (SST) two-equation model on the temperature distribution in conjugate heat transfer were investigated. The results indicated that the k–ω SST model exhibited superior performance, aligning closely with NASA experimental data. This validation confirmed the effectiveness of the software. Full article
(This article belongs to the Topic Advanced Heat and Mass Transfer Technologies)
Show Figures

Figure 1

12 pages, 711 KB  
Article
Optimizing Nutrient and Energy Efficiency in a Direct-Seeded Rice Production System: A Northwestern Punjab Case Study
by Ranjot Kaur, Gurbax Singh Chhina, Mandeep Kaur, Rajan Bhatt, Khalid M. Elhindi and Mohamed A. Mattar
Agronomy 2024, 14(4), 671; https://doi.org/10.3390/agronomy14040671 - 26 Mar 2024
Cited by 6 | Viewed by 2761
Abstract
This study was carried out in Amritsar, Punjab, to find out how efficiently nutrients were used and how much energy was employed in direct-seeded rice (DSR) production. In this study, four levels of nitrogen (0, 40, 50, and 60 kg N ha−1 [...] Read more.
This study was carried out in Amritsar, Punjab, to find out how efficiently nutrients were used and how much energy was employed in direct-seeded rice (DSR) production. In this study, four levels of nitrogen (0, 40, 50, and 60 kg N ha−1) and three levels of phosphorus (0, 37.5, and 45 kg P2O5 ha−1) were tested. In a rice production system, the energy indices of various inputs and outputs were evaluated through the application of energy equivalency. The nutrient-use efficiencies in rice were assessed using different efficiency indices. The maximum grain yields of 38.9 q ha−1 and 36.9 q ha −1 were recorded at 50 kg N ha−1 and 45 kg P2O5 ha−1, respectively. On the other hand, application of nitrogen at 60 kg N ha−1 and phosphorus at 45 kg P2O5 ha−1 resulted in maximum straw yield of 57.1 q ha−1 and 51.1 q ha−1, respectively. In comparison with the control, application of 60 and 50 kg N ha−1 resulted in 161.9% and 151.0% higher grain yield, respectively. On the other hand, with applications of 45 kg P2O5 ha−1 and 37.5 kg P2O5 ha−1, an increase in the grain yield of 17.3 and 28.6%, respectively, over the control was recorded. Moving further towards nutrient-use efficiencies (NUEs), the highest values of partial factor productivity of nitrogen (PFPN), agronomic efficiency of nitrogen (AEN), partial nutrient balance of nitrogen (PNBN), and recovery efficiency of nitrogen (REN) were 89.1, 50.4, 1.78 and 0.72, respectively, which were obtained at 40 kg N ha−1, after which the values started decreasing steadily. In the case of phosphorus, the partial factor productivity (PFPP) of 88.6 was the maximum at 37.5 kg P2O5 ha−1, but partial nutrient balance (PNBP) of 0.36 and recovery efficiency (REP) of 0.08 were highest at 45 kg P2O5 ha−1. The main results revealed that the farmer field had an excessive amount of non-renewable energy inputs. The experimental field depicted greater energy-usage efficiency (EUE) of 4.5, energy productivity (EP) of 0.14, and energy profitability (EP1) of 3.5. These results were primarily ascribed to a significant drop in energy inputs under direct-seeded rice (DSR). In the case of non-renewable energy inputs, fertilizer made the maximum contribution to energy input (47.9%) in the farmer’s field. We conclude that nutrient-use efficiencies and energy-use efficiency were highest at 50 kg N and 45 kg P2O5 ha−1. This recommendation is beneficial for farmers because lower inputs and higher outputs are the main objective of every farmer. Full article
(This article belongs to the Special Issue Integrated Nutrient Management for Farming Sustainability)
Show Figures

Figure 1

13 pages, 2156 KB  
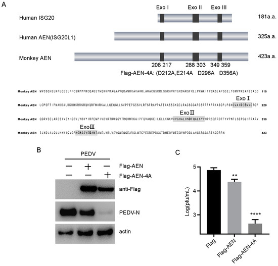
Article
AEN Suppresses the Replication of Porcine Epidemic Diarrhea Virus by Inducing the Expression of Type I IFN and ISGs in MARC-145 Cells
by Miao Luo, Jiale Ma, Xinming Pan, Xinqin Zhang and Huochun Yao
Pathogens 2024, 13(1), 24; https://doi.org/10.3390/pathogens13010024 - 27 Dec 2023
Cited by 2 | Viewed by 2360
Abstract
Apoptosis-enhancing nuclease (AEN), which shares close evolutionary relationships with the interferon-stimulated gene 20 protein (ISG20) homologs in humans, is a member of the DEDDh exonuclease family. Numerous studies on various pathogens have identified the essential roles of ISG20 in inhibiting virus replication. However, [...] Read more.
Apoptosis-enhancing nuclease (AEN), which shares close evolutionary relationships with the interferon-stimulated gene 20 protein (ISG20) homologs in humans, is a member of the DEDDh exonuclease family. Numerous studies on various pathogens have identified the essential roles of ISG20 in inhibiting virus replication. However, the fundamental functions of AEN during viral infection remain largely unknown. This study discovered that AEN expression was significantly upregulated in MARC-145 cells infected with Porcine epidemic diarrhea virus (PEDV) strain 85-7. In contrast, the amount of AEN protein decreased as viral replication increased. It was found that PEDV nsp1 and nsp5 mediated the decrease in AEN production, suggesting that an increase in AEN was not conducive to virus replication. By comparing AEN and its exonuclease-inactive mutant AEN-4A, we determined that the antiviral activity of AEN was independent of its exonuclease function. qPCR analyses revealed that AEN and AEN-4A could induce a significant increase in the transcription levels of IFN-α, IFN-β, and ISGs (OASL, IFI44, IFIT2, ISG15, Mx1, Mx2), and that AEN-4A has a higher induction ability. Overexpression of AEN and AEN-4A in MARC-145 cells targeting IFN-β knockdown or IFN-deficient Vero cells showed reduced or a complete loss of antiviral activity of both, suggesting that AEN may activate the type I IFN immune response and promote the expression of ISGs, thereby inhibiting PEDV replication. Taken together, our data prove the novel mechanism of AEN-mediated virus restriction. Full article
Show Figures

Figure 1

Back to TopTop