Sign in to use this feature.

Years

Between: -

Subjects

remove_circle_outline
remove_circle_outline
remove_circle_outline
remove_circle_outline
remove_circle_outline
remove_circle_outline
remove_circle_outline

Journals

Article Types

Countries / Regions

Search Results (13)

Search Parameters:
Keywords = 4-hydroxy-TEMPO

Order results
Result details
Results per page
Select all
Export citation of selected articles as:
24 pages, 3361 KB  
Article
Nitroxide Hormesis in Yeast: 4-Hydroxy-TEMPO Modulates Aging, and Cell Cycle
by Mateusz Mołoń, Patrycja Kielar, Eliza Molestak, Agnieszka Mołoń, Ewelina Kuna, Marek Biesiadecki, Przemysław Grela, Alan González-Ibarra and Sabina Galiniak
Molecules 2026, 31(2), 376; https://doi.org/10.3390/molecules31020376 - 21 Jan 2026
Cited by 1 | Viewed by 653
Abstract
4-hydroxy-TEMPO is a water-soluble nitroxide radical with potent antioxidant and redox-modulating properties. Its small molecular weight and membrane permeability enable it to act as a superoxide dismutase mimetic, efficiently scavenging reactive oxygen species and mitigating oxidative damage. In this study, we investigated the [...] Read more.
4-hydroxy-TEMPO is a water-soluble nitroxide radical with potent antioxidant and redox-modulating properties. Its small molecular weight and membrane permeability enable it to act as a superoxide dismutase mimetic, efficiently scavenging reactive oxygen species and mitigating oxidative damage. In this study, we investigated the physiological and transcriptomic effects of 4-hydroxy-TEMPO in Saccharomyces cerevisiae, using wild-type and mutant strains deficient in key redox and DNA repair pathways (sod1Δ, sod2Δ, yap1Δ, rad52Δ). RNA-Seq analysis revealed widespread transcriptional reprogramming. Treatment with 4-hydroxy-TEMPO impaired cell growth, induced accumulation of cells with 1C (G1 phase) DNA content, and modulated chronological aging in a strain-dependent manner. Notably, low concentrations delayed aging in wild-type, yap1Δ, and rad52Δ strains, while accelerating it in sod1Δ mutants, consistent with a hormetic response. Unlike TEMPO, 4-hydroxy-TEMPO exhibited markedly reduced translational toxicity, preserved polysome structure at high doses, and triggered a non-canonical, redox-dependent transcriptional program characterized by induction of stress-response genes together with unexpected up-regulation of multiple ribosomal protein genes. This was accompanied by a biphasic, genotype-specific hormetic response and a measurable genoprotective effect. RT-qPCR confirmed key transcriptional changes, linking transcriptome remodeling to functional outcomes. Full article
Show Figures

Figure 1

15 pages, 1989 KB  
Article
Dynamic Crosslinking of LDPE by Nitroxide Radical Coupling of a Dicyclopentadiene Dicarboxylic Acid and Its Dynamic Properties
by Alojz Anžlovar, Mohor Mihelčič, Iztok Švab, David Pahovnik and Ema Žagar
Polymers 2025, 17(11), 1536; https://doi.org/10.3390/polym17111536 - 31 May 2025
Cited by 1 | Viewed by 1114
Abstract
LDPE was crosslinked with novel dynamic or conventional crosslinking agents during melt processing. Both crosslinkers were synthesized by the esterification of Thiele’s acid or adipic acid with 4-hydroxy-TEMPO. 1H-NMR showed that a temperature of 170 °C and a reaction time of 24 [...] Read more.
LDPE was crosslinked with novel dynamic or conventional crosslinking agents during melt processing. Both crosslinkers were synthesized by the esterification of Thiele’s acid or adipic acid with 4-hydroxy-TEMPO. 1H-NMR showed that a temperature of 170 °C and a reaction time of 24 min are required for a successful crosslinking. The concentrations of crosslinking agents were 1.45, 2.9, and 5.8 mol%. Conventionally crosslinked LDPEs show a decrease in soluble content in hot xylene with increased crosslinker concentrations, while dynamically crosslinked LDPEs show no change after thermal treatment, indicating the scission of dynamic crosslinks. The rheology of both crosslinked LDPEs at 130 °C shows that the stress release is slower than that of neat LDPE, confirming crosslinking, while at 170 °C a shift in the stress release and also a shift in the flow properties of dynamically crosslinked LDPE towards those of neat LDPE are observed, both indicating the cleavage of dynamic crosslinks. Compared to neat LDPE, the mechanical properties of both crosslinked LDPEs show an increase in Young’s modulus and tensile strength and a decrease in elongation and creep when the concentration of both crosslinkers is increased. By increasing the processing temperature to 170 °C, the crystallinity index decreases, leading to a rather small improvement in the mechanical properties. Full article
(This article belongs to the Section Polymer Analysis and Characterization)
Show Figures

Graphical abstract

18 pages, 20269 KB  
Article
Immunomodulation by 4-Hydroxy-TEMPO (TEMPOL) and Dimethyl Fumarate (DMF) After Ventral Root Crush (VRC) in C57BL/6J Mice: A Flow Cytometry Analysis
by Maria Fernanda Vannucci Balzani, Lilian de Oliveira Coser and Alexandre Leite Rodrigues de Oliveira
Biology 2025, 14(5), 473; https://doi.org/10.3390/biology14050473 - 25 Apr 2025
Cited by 2 | Viewed by 1239
Abstract
Spinal motor nerve root lesions can happen after avulsion or crush, generating acute motoneuron death and synaptic loss, consequently, causing motor and sensory dysfunctions. Local response is mediated by astroglial and microglial cells, giving rise to a pro-inflammatory profile. TEMPOL and DMF are [...] Read more.
Spinal motor nerve root lesions can happen after avulsion or crush, generating acute motoneuron death and synaptic loss, consequently, causing motor and sensory dysfunctions. Local response is mediated by astroglial and microglial cells, giving rise to a pro-inflammatory profile. TEMPOL and DMF are drugs that have been studied in our laboratory after spinal cord nerve root injuries and have demonstrated significant results in terms of neuroprotection and immunomodulation, decreasing the inflammation process. In the present work, a flow cytometry approach was used to evaluate cellular responses to injury and immunomodulation. For this, injured animals received TEMPOL, DMF or vehicle once a day for 7, 14 or 28 days of treatment. Flow cytometry multiparametric analysis allowed the quantification of different pro- and anti-inflammatory glial, macrophage and lymphocyte markers. Contrasting with the vehicle treated counterpart, TEMPOL and DMF led to downregulation of pro-inflammatory cytokines in astrocytes and microglia subpopulations, but did not show significant results in increasing anti-inflammatory phenotypes. As for macrophage and lymphocyte subpopulations, both treatments showed a balance between pro- and anti-inflammatory phenotypes. Therefore, it was concluded that both drugs exhibit immunomodulatory action, contributing to a pro-regenerative profile in the tissue. Full article
Show Figures

Figure 1

14 pages, 3798 KB  
Article
Oxidation in Flow Using an Ionic Immobilized TEMPO Catalyst on an Ion Exchange Resin
by Johannes Gmeiner and Gerrit A. Luinstra
Catalysts 2024, 14(8), 542; https://doi.org/10.3390/catal14080542 - 19 Aug 2024
Viewed by 3428
Abstract
An ionic heterogenized catalyst system for Anelli oxidation has been developed using potassium 4-sulfonato-oxy-2,2,6,6-tetramethylpiperidine-1-yloxyl (TEMPO-4-sulfate) and anion exchange beads as support material. The catalytic oxidation of benzyl alcohol by bis(acetoxy)iodobenzene (BAIB) in acetonitrile with the modified beads gives a 94% yield of benzaldehyde [...] Read more.
An ionic heterogenized catalyst system for Anelli oxidation has been developed using potassium 4-sulfonato-oxy-2,2,6,6-tetramethylpiperidine-1-yloxyl (TEMPO-4-sulfate) and anion exchange beads as support material. The catalytic oxidation of benzyl alcohol by bis(acetoxy)iodobenzene (BAIB) in acetonitrile with the modified beads gives a 94% yield of benzaldehyde within 60 min (batch operation). The beads give about the same conversion of benzyl alcohol in six consecutive cycles when reused after simple washing, albeit with a somewhat longer half-life time. The TEMPO entity could be removed from the beads using a sodium chloride/sodium hydroxy mixture. Reloading the beads with TEMPO-4-sulfate restored about 80% of their initial catalytic action. This exemplifies that the catalytic activity in a fixed bed can be regained without the need for cleaning and repacking the reactor. Preliminary experiments in a fixed bed show that a constant benzyl alcohol conversion of 84% over 10 residence times (as plug flow) can be achieved by the in-flow execution of the oxidation reaction. Full article
Show Figures

Graphical abstract

15 pages, 4405 KB  
Article
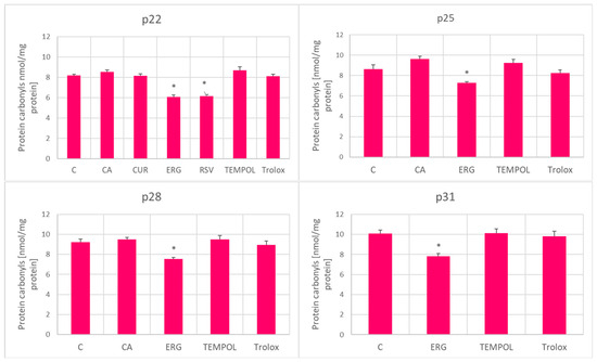
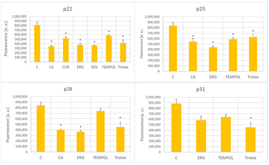
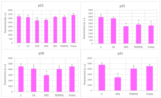
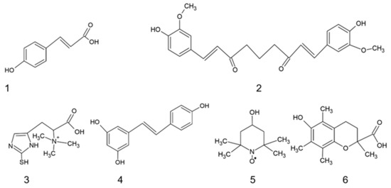
Effect of Selected Antioxidants on the In Vitro Aging of Human Fibroblasts
by Grzegorz Bartosz, Natalia Pieńkowska and Izabela Sadowska-Bartosz
Int. J. Mol. Sci. 2024, 25(3), 1529; https://doi.org/10.3390/ijms25031529 - 26 Jan 2024
Cited by 7 | Viewed by 4319
Abstract
The modification of the replicative lifespan (RLS) of fibroblasts is of interest both from a knowledge point of view and for the attenuation of skin aging. The effect of six antioxidants at a concentration of 1 μM on the replicative lifespan of human [...] Read more.
The modification of the replicative lifespan (RLS) of fibroblasts is of interest both from a knowledge point of view and for the attenuation of skin aging. The effect of six antioxidants at a concentration of 1 μM on the replicative lifespan of human dermal fibroblasts was studied. The nitroxide 4-hydroxy-TEMPO (TEMPOL), ergothioneine, and Trolox extended the replicative lifespan (RLS) (40 ± 1 population doublings (PD)) by 7 ± 2, 4 ± 1, and 3 ± 1 PD and lowered the expression of p21 at late passages. Coumaric acid, curcumin and resveratrol did not affect the RLS . The level of reactive oxygen species (ROS) was decreased or not affected by the antioxidants although TEMPOL and coumaric acid decreased the level of glutathione. Only ergothioneine and resveratrol decreased the level of protein carbonylation. The antioxidants that could prolong the RLS elevated the mitochondrial membrane potential. Protecting the activity of mitochondria seems to be important for maintaining the replicative capacity of fibroblasts. Full article
(This article belongs to the Section Molecular Biology)
Show Figures

Figure 1

18 pages, 5185 KB  
Article
Effect of Low Concentration of Nitroxides on SH-SY5Y Cells Transfected with the Tau Protein
by Grzegorz Bartosz, Natalia Pieńkowska, Kacper Kut, Bogumił Cieniek, Ireneusz Stefaniuk and Izabela Sadowska-Bartosz
Int. J. Mol. Sci. 2023, 24(23), 16675; https://doi.org/10.3390/ijms242316675 - 23 Nov 2023
Cited by 1 | Viewed by 2273
Abstract
Nitroxides, stable synthetic free radicals, are promising antioxidants, showing many beneficial effects both at the cellular level and in animal studies. However, the cells are usually treated with high millimolar concentrations of nitroxides which are not relevant to the concentrations that could be [...] Read more.
Nitroxides, stable synthetic free radicals, are promising antioxidants, showing many beneficial effects both at the cellular level and in animal studies. However, the cells are usually treated with high millimolar concentrations of nitroxides which are not relevant to the concentrations that could be attained in vivo. This paper aimed to examine the effects of low (≤10 μM) concentrations of three nitroxides, 2,2,6,6-tetramethylpiperidin-1-oxyl (TEMPO), 4-hydroxy-TEMPO (TEMPOL) and 4-amino-TEMPO (TEMPAMINE), in pure chemical systems and on SH-SY5Y cells transfected with the human tau protein (TAU cells), a model of chronic cellular oxidative stress, and transfected with the empty plasmid (EP cells). All nitroxides were active in antioxidant-activity tests except for the 2,2′-azinobis-(3-ethylbenzthiazolin-6-sulfonate) radical (ABTS) decolorization assay and reduced Fe3+, inhibited autoxidation of adrenalin and pyrogallol and oxidation of dihydrorhodamine123 by 3-morpholino-sydnonimine SIN-1. TEMPO protected against fluorescein bleaching from hypochlorite, but TEMPAMINE enhanced the bleaching. Nitroxides showed no cytotoxicity and were reduced by the cells to non-paramagnetic derivatives. They decreased the level of reactive oxygen species, depleted glutathione, and increased mitochondrial-membrane potential in both types of cells, and increased lipid peroxidation in TAU cells. These results demonstrate that even at low micromolar concentrations nitroxides can affect the cellular redox equilibrium and other biochemical parameters. Full article
(This article belongs to the Section Biochemistry)
Show Figures

Figure 1

19 pages, 8445 KB  
Article
Spin Probes as Scavengers of Free Radicals in Cells
by Bernadeta Dobosz, Ryszard Krzyminiewski, Małgorzata Kucińska, Marek Murias, Grzegorz Schroeder and Joanna Kurczewska
Appl. Sci. 2022, 12(16), 7999; https://doi.org/10.3390/app12167999 - 10 Aug 2022
Cited by 7 | Viewed by 3991
Abstract
Spin probes can be used to monitor biological membranes, including the penetration of different molecules into cells. The aim of the present studies was an investigation of the endocytosis process of two spin labels—2,2,6,6-Tetramethylpiperidine-1-oxyl (TEMPO) and 4-hydroxy-TEMPO (TEMPOL)—into yeast cells and a leukemia [...] Read more.
Spin probes can be used to monitor biological membranes, including the penetration of different molecules into cells. The aim of the present studies was an investigation of the endocytosis process of two spin labels—2,2,6,6-Tetramethylpiperidine-1-oxyl (TEMPO) and 4-hydroxy-TEMPO (TEMPOL)—into yeast cells and a leukemia cell line (HL-60, ATCC CCL-240) by Electron Spin Resonance (ESR). The ESR method is helpful for the direct detection of free radicals. The cell incubation and endocytosis of spin probes were carried out at 310 K. In contrast, the ESR measurements of yeast cells and a leukemia cell line with spin probes were at 240 K. Spectral differentiation was observed; hence, the spin probes present in suspension and attached to the cell membrane could be distinguished. The ESR signal changes of spin probes depended on spin probe concentration, cell number, and type of cell (healthy/cancerous). Additionally, the effect of external factors (oxygen and vitamin C) on the ESR signal decay of spin markers in the cell solution was established. The experimental results prove that the spin probes (TEMPO and TEMPOL) could scavenge free radicals inside the cell. At the same time, the mechanism of spin probe interaction in suspension was determined based on the measurements at low temperatures. Full article
(This article belongs to the Special Issue Advances in Electron Spin Resonance (ESR) Spectroscopy)
Show Figures

Figure 1

17 pages, 5638 KB  
Article
Treatment of Scrap Tire for Rubber and Carbon Black Recovery
by Alaa Sultan Abdulrahman and Fawzi Habeeb Jabrail
Recycling 2022, 7(3), 27; https://doi.org/10.3390/recycling7030027 - 20 Apr 2022
Cited by 20 | Viewed by 7080
Abstract
In this study, a chemical dissolution treatment was used to recover rubber and carbon black (CB) from truck tire scrap, with gas oil acting as the solvent and 4-Hydroxy-TEMPO acting as the catalyst for the chemical reactions. Montmorillonite clay was used to separate [...] Read more.
In this study, a chemical dissolution treatment was used to recover rubber and carbon black (CB) from truck tire scrap, with gas oil acting as the solvent and 4-Hydroxy-TEMPO acting as the catalyst for the chemical reactions. Montmorillonite clay was used to separate the rubber solution from the CB and the other non-dissolved tire additives. The recovered rubber and CB were characterized together with the original scrap tire sample by XRD, SEM, BET and thermal analysis, as well as FTIR and 1H NMR spectral analyses. Characterization of the chemical structure of the recovered rubber showed that the main functional groups of styrene−butadiene rubber blend with natural rubber. The thermal behavior and crystalline structure of the recovered rubber, as well as its morphological images, showed that the properties of the rubber sample were acceptable and similar to natural rubber. The recovered CB characterizations showed that the sample after pyrolysis was a highly crystalline nanocomposite structure with a high specific surface area and scattered pores. Full article
(This article belongs to the Special Issue Recycling of Rubber Waste)
Show Figures

Graphical abstract

20 pages, 3288 KB  
Article
Oxidative Stress Mediates the Fetal Programming of Hypertension by Glucocorticoids
by Jeremy Lamothe, Sandhya Khurana, Sujeenthar Tharmalingam, Chad Williamson, Collin J. Byrne, Simon J. Lees, Neelam Khaper, Aseem Kumar and T.C. Tai
Antioxidants 2021, 10(4), 531; https://doi.org/10.3390/antiox10040531 - 29 Mar 2021
Cited by 45 | Viewed by 4653
Abstract
The field of cardiovascular fetal programming has emphasized the importance of the uterine environment on postnatal cardiovascular health. Studies have linked increased fetal glucocorticoid exposure, either from exogenous sources (such as dexamethasone (Dex) injections), or from maternal stress, to the development of adult [...] Read more.
The field of cardiovascular fetal programming has emphasized the importance of the uterine environment on postnatal cardiovascular health. Studies have linked increased fetal glucocorticoid exposure, either from exogenous sources (such as dexamethasone (Dex) injections), or from maternal stress, to the development of adult cardiovascular pathologies. Although the mechanisms are not fully understood, alterations in gene expression driven by altered oxidative stress and epigenetic pathways are implicated in glucocorticoid-mediated cardiovascular programming. Antioxidants, such as the naturally occurring polyphenol epigallocatechin gallate (EGCG), or the superoxide dismutase (SOD) 4-hydroxy-TEMPO (TEMPOL), have shown promise in the prevention of cardiovascular dysfunction and programming. This study investigated maternal antioxidant administration with EGCG or TEMPOL and their ability to attenuate the fetal programming of hypertension via Dex injections in WKY rats. Results from this study indicate that, while Dex-programming increased blood pressure in male and female adult offspring, administration of EGCG or TEMPOL via maternal drinking water attenuated Dex-programmed increases in blood pressure, as well as changes in adrenal mRNA and protein levels of catecholamine biosynthetic enzymes phenylalanine hydroxylase (PAH), tyrosine hydroxylase (TH), dopamine beta hydroxylase (DBH), and phenylethanolamine N-methyltransferase (PNMT), in a sex-specific manner. Furthermore, programmed male offspring displayed reduced antioxidant glutathione peroxidase 1 (Gpx1) expression, increased superoxide dismutase 1 (SOD1) and catalase (CAT) expression, and increased pro-oxidant NADPH oxidase activator 1 (Noxa1) expression in the adrenal glands. In addition, prenatal Dex exposure alters expression of epigenetic regulators histone deacetylase (HDAC) 1, 5, 6, 7, 11, in male and HDAC7 in female offspring. These results suggest that glucocorticoids may mediate the fetal programming of hypertension via alteration of epigenetic machinery and oxidative stress pathways. Full article
(This article belongs to the Special Issue Redox Control of Cardiac and Skeletal Muscle Function)
Show Figures

Figure 1

16 pages, 5227 KB  
Article
ESR Method in Monitoring of Nanoparticle Endocytosis in Cancer Cells
by Ryszard Krzyminiewski, Bernadeta Dobosz, Bart Krist, Grzegorz Schroeder, Joanna Kurczewska and Hans A.R. Bluyssen
Int. J. Mol. Sci. 2020, 21(12), 4388; https://doi.org/10.3390/ijms21124388 - 19 Jun 2020
Cited by 12 | Viewed by 3607
Abstract
Magnetic nanoparticles are extensively studied for their use in diagnostics and medical therapy. The behavior of nanoparticles after adding them to cell culture is an essential factor (i.e., whether they attach to a cell membrane or penetrate the membrane and enter into the [...] Read more.
Magnetic nanoparticles are extensively studied for their use in diagnostics and medical therapy. The behavior of nanoparticles after adding them to cell culture is an essential factor (i.e., whether they attach to a cell membrane or penetrate the membrane and enter into the cell). The present studies aimed to demonstrate the application of electron spin resonance (ESR) as a suitable technique for monitoring of nanoparticles entering into cells during the endocytosis process. The model nanoparticles were composed of magnetite iron (II, III) oxide core functionalized with organic unit containing nitroxide radical 4-hydroxy-TEMPO (TEMPOL). The research studies included breast cancer cells, as well as model yeast and human microvascular endothelial cells. The results confirmed that the ESR method is suitable for studying the endocytosis process of nanoparticles in the selected cells. It also allows for direct monitoring of radical cellular processes. Full article
(This article belongs to the Section Molecular Biophysics)
Show Figures

Figure 1

19 pages, 2034 KB  
Article
Gas Transport Phenomena and Polymer Dynamics in PHB/PLA Blend Films as Potential Packaging Materials
by Valentina Siracusa, Svetlana Karpova, Anatoliy Olkhov, Anna Zhulkina, Regina Kosenko and Alexey Iordanskii
Polymers 2020, 12(3), 647; https://doi.org/10.3390/polym12030647 - 12 Mar 2020
Cited by 47 | Viewed by 6221
Abstract
Actually, in order to replace traditional fossil-based polymers, many efforts are devoted to the design and development of new and high-performance bioplastics materials. Poly(hydroxy alkanoates) (PHAS) as well as polylactides are the main candidates as naturally derived polymers. The intention of [...] Read more.
Actually, in order to replace traditional fossil-based polymers, many efforts are devoted to the design and development of new and high-performance bioplastics materials. Poly(hydroxy alkanoates) (PHAS) as well as polylactides are the main candidates as naturally derived polymers. The intention of the present study is to manufacture fully bio-based blends based on two polyesters: poly (3-hydroxybutyrate) (PHB) and polylactic acid (PLA) as real competitors that could be used to replace petrol polymers in packaging industry. Blends in the shape of films have been prepared by chloroform solvent cast solution methodology, at different PHB/PLA ratios: 1/0, 1/9, 3/7, 5/5, 0/1. A series of dynamic explorations have been performed in order to characterize them from a different point of view. Gas permeability to N2, O2, and CO2 gases and probe (TEMPO) electron spin resonance (ESR) analyses were performed. Blend surface morphology has been evaluated by Scanning Electron Microscopy (SEM) while their thermal behavior was analyzed by Differential Scanning Calorimetry (DSC) technique. Special attention was devoted to color and transparency estimation. Both probe rotation mobility and N2, O2, and CO2 permeation have monotonically decreased during the transition from PLA to PHB, for all contents of bio-blends, namely because of transferring from PLA with lower crystallinity to PHB with a higher one. Consequently, the role of the crystallinity was elucidated. The temperature dependences for CO2 permeability and diffusivity as well as for probe correlation time allowed the authors to evaluate the activation energy of both processes. The values of gas transport energy activation and TEMPO rotation mobility are substantially close to each other, which should testify that polymer segmental mobility determines the gas permeability modality. Full article
Show Figures

Figure 1

18 pages, 5519 KB  
Article
A Theoretical and Experimental Study for Screening Inhibitors for Styrene Polymerization
by Ali Darvishi, Mohammad Reza Rahimpour and Sona Raeissi
Processes 2019, 7(10), 677; https://doi.org/10.3390/pr7100677 - 1 Oct 2019
Cited by 23 | Viewed by 15184
Abstract
Styrene is one of the most important monomers utilized in the synthesis of various polymers. Nevertheless, during distillation, storage, and transportation of ST, undesired polymer (i.e., UP) formation can take place. Thus, the control of undesired polymerization of styrene is a challenging issue [...] Read more.
Styrene is one of the most important monomers utilized in the synthesis of various polymers. Nevertheless, during distillation, storage, and transportation of ST, undesired polymer (i.e., UP) formation can take place. Thus, the control of undesired polymerization of styrene is a challenging issue facing industry. To tackle the mentioned issue, the antipolymer and antioxidant activity of stable nitroxide radicals (i.e., SNRs) and phenolics in styrene polymerization were studied by density functional theory (DFT) calculation and experimental approach. The electrophilicity index and growth percentage have been determined by DFT calculation and experimental approach, respectively. It is depicted that 2,6-di-tert-butyl-4-methoxyphenol (DTBMP) and 2,6-di-tert-butyl-4-methylphenol (BHT) from phenolics, and 4-hydroxy-2,2,6,6-tetramethyl piperidine 1-Oxyl (4-hydroxy-TEMPO) and 4-oxo-2,2,6,6-tetramethylpiperidine 1-Oxyl (4-oxo-TEMPO) from stable nitroxide radicals were the most effective inhibitors. Also, the growth percentage of DTMBP, BHT, 4-hydroxy-TEMPO, and 4-oxo-TEMPO after 4 h were 16.40, 42.50, 24.85, and 46.8, respectively. In addition, the conversion percentage of DTMBP, BHT, 4-hydroxy-TEMPO, and 4-oxo-TEMPO after 4 h were obtained to be 0.048, 0.111, 0.065, and 0.134, respectively. Furthermore, the synergistic effect of these inhibitors was investigated experimentally, indicating that DTMBP/4-hydroxy-TEMPO exerted the best synergistic effects on the inhibition of polymerization. The optimum inhibition effect was observed at the blend of 4-hydroxy-TEMPO (25 wt.%) and DTMBP (75 wt.%) corresponding to 6.8% polymer growth after 4 h. Full article
(This article belongs to the Special Issue Computational Methods for Polymers)
Show Figures

Graphical abstract

6 pages, 101 KB  
Article
UVA Photoirradiation of Oxygenated Benz[a]anthracene and 3-Methylcholanthene - Generation of Singlet Oxygen and Induction of Lipid Peroxidation
by Jun-Jie Yin, Qingsu Xia, Shu-Hui Cherng, I-Wah Tang, Peter P. Fu, Ge Lin, Hongtao Yu and Diógenes Herreño Sáenz
Int. J. Environ. Res. Public Health 2008, 5(1), 26-31; https://doi.org/10.3390/ijerph5010026 - 30 Mar 2008
Cited by 18 | Viewed by 11216
Abstract
Polycyclic aromatic hydrocarbons (PAHs) are widespread genotoxic environmental pollutants and potentially pose a health risk to humans. Although the biological and toxicological activities, including metabolism, mutagenicity, and carcinogenicity, of PAHs have been thoroughly studied, their phototoxicity and photo-induced biological activity have not been [...] Read more.
Polycyclic aromatic hydrocarbons (PAHs) are widespread genotoxic environmental pollutants and potentially pose a health risk to humans. Although the biological and toxicological activities, including metabolism, mutagenicity, and carcinogenicity, of PAHs have been thoroughly studied, their phototoxicity and photo-induced biological activity have not been well examined. We have long been interested in phototoxicity of PAHs and their derivatives induced by irradiation with UV light. In this paper we report the photoirradiation of a series of oxygenated benz[a]anthracene (BA) and 3-methylcholanthene (3-MC) by UVA light in the presence of a lipid, methyl linoleate. The studied PAHs include 2-hydroxy-BA (2-OH-BA), 3-hydroxy-BA (3-OH-BA), 5-hydroxymethyl-BA (5-CH2OH-BA), 7-hydroxymethyl-BA (7-CH2OH-BA), 12-hydroxymethyl-BA (12-CH2OH-BA), 7-hydroxymethyl-12-methyl-BA (7-CH2OH-12-MBA), 5-formyl-BA (5-CHO-BA), BA 5,6-cis-dihydrodiol (BA 5,6-cis-diol), 1-hydroxy-3- methylcholanthene (1-OH-3-MC), 1-keto-3-methylcholanthene (1-keto-3-MC), and 3-MC 1,2-diol. The results indicate that upon photoirradiation by UVA at 7 and 21 J/cm2, respectively all these compounds induced lipid peroxidation and exhibited a relationship between the dose of the light and the level of lipid peroxidation induced. To determine whether or not photoirradiation of these compounds by UVA light produces ROS, an ESR spin-trap technique was employed to provide direct evidence. Photoirradiation of 3-keto-3-MC by UVA (at 389 nm) in the presence of 2,2,6,6-tetramethylpiperidine (TEMP), a specific probe for singlet oxygen, resulted in the formation of TEMPO, indicating that singlet oxygen was generated. These overall results suggest that UVA photoirradiation of oxygenated BA and 3-methylcholanthrene generates singlet oxygen, one of the reactive oxygen species (ROS), which induce lipid peroxidation. Full article
Show Figures

Figure 1

Back to TopTop