Sign in to use this feature.

Years

Between: -

Subjects

remove_circle_outline
remove_circle_outline
remove_circle_outline

Journals

Article Types

Countries / Regions

Search Results (7)

Search Parameters:
Keywords = 3D graphene sponges

Order results
Result details
Results per page
Select all
Export citation of selected articles as:
8 pages, 2222 KB  
Proceeding Paper
Advanced 3D Polymeric Sponges Offer Promising Solutions for Addressing Environmental Challenges in Qatar’s Marine Ecosystems
by Mohamed Helally, Mostafa H. Sliem and Noora Al-Qahtani
Mater. Proc. 2025, 22(1), 4; https://doi.org/10.3390/materproc2025022004 - 18 Jul 2025
Cited by 1 | Viewed by 842
Abstract
The increasing incidence of oil contamination in many aquatic ecosystems, particularly in oil-rich regions such as Qatar, poses significant threats to marine life and human activities. Our study addresses the critical need for effective and eco-friendly oil-water separation techniques, focusing on developing graphene [...] Read more.
The increasing incidence of oil contamination in many aquatic ecosystems, particularly in oil-rich regions such as Qatar, poses significant threats to marine life and human activities. Our study addresses the critical need for effective and eco-friendly oil-water separation techniques, focusing on developing graphene and chitosan-based three-dimensional (3D) polymeric sponges. These materials have demonstrated potential due to their high porosity and surface area, which can be enhanced through surface treatment to improve hydrophobicity and oleophilicity. This study introduces a new technique dependent on the optimization of the graphene oxide (GO) concentration within the composite sponge to achieve a superior oil uptake capacity (51.4 g oil/g sponge at 3% GO), and the detailed characterization of the material’s performance in separating heavy oil-water emulsions. Our study seeks to answer key questions regarding the performance of these modified sponges and their scalability for industrial applications. This research directly aligns with Qatar’s environmental goals and develops sustainable oil-water separation technologies. It addresses the pressing challenges of oil spills, ultimately contributing to improved marine ecosystem protection and efficient resource recovery. Full article
Show Figures

Figure 1

14 pages, 1760 KB  
Article
Implementation of a Sponge-Based Flexible Electronic Skin for Safe Human–Robot Interaction
by Kun Yang, Xinkai Xia, Fan Zhang, Huanzhou Ma, Shengbo Sang, Qiang Zhang and Jianlong Ji
Micromachines 2022, 13(8), 1344; https://doi.org/10.3390/mi13081344 - 19 Aug 2022
Cited by 9 | Viewed by 3890
Abstract
In current industrial production, robots have increasingly been taking the place of manual workers. With the improvements in production efficiency, accidents that involve operators occur frequently. In this study, a flexible sensor system was designed to promote the security performance of a collaborative [...] Read more.
In current industrial production, robots have increasingly been taking the place of manual workers. With the improvements in production efficiency, accidents that involve operators occur frequently. In this study, a flexible sensor system was designed to promote the security performance of a collaborative robot. The flexible sensors, which was made by adsorbing graphene into a sponge, could accurately convert the pressure on a contact surface into a numerical signal. Ecoflex was selected as the substrate material for our sensing array so as to enable the sensors to better adapt to the sensing application scenario of the robot arm. A 3D printing mold was used to prepare the flexible substrate of the sensors, which made the positioning of each part within the sensors more accurate and ensured the unity of the sensing array. The sensing unit showed a correspondence between the input force and the output resistance that was in the range of 0–5 N. Our stability and reproducibility experiments indicated that the sensors had a good stability. In addition, a tactile acquisition system was designed to sample the tactile data from the sensor array. Our interaction experiment results showed that the proposed electronic skin could provide an efficient approach for secure human–robot interaction. Full article
(This article belongs to the Special Issue Intelligent Biosensors and Biochips)
Show Figures

Figure 1

11 pages, 15181 KB  
Article
Electrocatalyst Derived from NiCu–MOF Arrays on Graphene Oxide Modified Carbon Cloth for Water Splitting
by Lisha Jia, Pawel Wagner and Jun Chen
Inorganics 2022, 10(4), 53; https://doi.org/10.3390/inorganics10040053 - 13 Apr 2022
Cited by 13 | Viewed by 4697
Abstract
Electrocatalysts are capable of transforming water into hydrogen, oxygen, and therefore into energy, in an environmentally friendly and sustainable manner. However, the limitations in the research of high performance catalysts act as an obstructer in the development of using water as green energy. [...] Read more.
Electrocatalysts are capable of transforming water into hydrogen, oxygen, and therefore into energy, in an environmentally friendly and sustainable manner. However, the limitations in the research of high performance catalysts act as an obstructer in the development of using water as green energy. Here, we report on a delicate method to prepare novel bimetallic metal organic framework derived electrocatalysts (C–NiCu–BDC–GO–CC) using graphene oxide (GO) modified carbon cloth as a 3D flexible and conductive substrate. The resultant electrocatalyst, C–NiCu–BDC–GO–CC, exhibited very low electron transfer resistance, which benefited from its extremely thin 3D sponge-like morphology. Furthermore, it showed excellent oxygen evolution reaction (OER) activity, achieving 10 mA/cm2 at a low overpotential of 390 mV in 1 M KOH electrolyte with a remarkable durability of 10 h. Full article
(This article belongs to the Section Inorganic Materials)
Show Figures

Figure 1

17 pages, 6491 KB  
Article
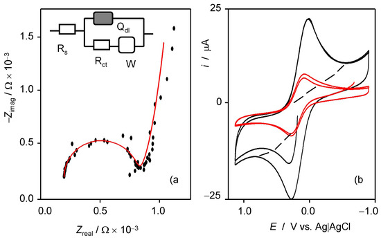
Electronic Transport Mechanisms Correlated to Structural Properties of a Reduced Graphene Oxide Sponge
by Nicola Pinto, Benjamin McNaughton, Marco Minicucci, Milorad V. Milošević and Andrea Perali
Nanomaterials 2021, 11(10), 2503; https://doi.org/10.3390/nano11102503 - 26 Sep 2021
Cited by 3 | Viewed by 3129
Abstract
We report morpho-structural properties and charge conduction mechanisms of a foamy “graphene sponge”, having a density as low as ≈0.07 kg/m3 and a carbon to oxygen ratio C:O ≃ 13:1. The spongy texture analysed by scanning electron microscopy is made of irregularly-shaped [...] Read more.
We report morpho-structural properties and charge conduction mechanisms of a foamy “graphene sponge”, having a density as low as ≈0.07 kg/m3 and a carbon to oxygen ratio C:O ≃ 13:1. The spongy texture analysed by scanning electron microscopy is made of irregularly-shaped millimetres-sized small flakes, containing small crystallites with a typical size of ≃16.3 nm. A defect density as high as ≃2.6 × 1011 cm2 has been estimated by the Raman intensity of D and G peaks, dominating the spectrum from room temperature down to ≃153 K. Despite the high C:O ratio, the graphene sponge exhibits an insulating electrical behavior, with a raise of the resistance value at ≃6 K up to 5 orders of magnitude with respect to the room temperature value. A variable range hopping (VRH) conduction, with a strong 2D character, dominates the charge carriers transport, from 300 K down to 20 K. At T < 20 K, graphene sponge resistance tends to saturate, suggesting a temperature-independent quantum tunnelling. The 2D-VRH conduction originates from structural disorder and is consistent with hopping of charge carriers between sp2 defects in the plane, where sp3 clusters related to oxygen functional groups act as potential barriers. Full article
(This article belongs to the Special Issue Carbon-Based Materials: Growth, Characterization, and Applications)
Show Figures

Figure 1

13 pages, 65861 KB  
Article
Synthesized TiO2 Mesoporous by Addition of Acetylacetone and Graphene for Dye Sensitized Solar Cells
by Chun-Hao Chang, Chia-Han Chuang, De-Yang Zhong, Jun-Cheng Lin, Chia-Chi Sung and Chun-Yao Hsu
Coatings 2021, 11(7), 796; https://doi.org/10.3390/coatings11070796 - 1 Jul 2021
Cited by 5 | Viewed by 3179
Abstract
This study mixed acetylacetone (Acac, 1, 2, and 3 mL) and graphene powder (GP, 0 wt.%, 0.001 wt.%, 0.003 wt.% and 0.005 wt.%) with TiO2 mesoporous (TiO2 powders: 20 g and particle size ~30 nm) to enhance the optoelectronic performances of [...] Read more.
This study mixed acetylacetone (Acac, 1, 2, and 3 mL) and graphene powder (GP, 0 wt.%, 0.001 wt.%, 0.003 wt.% and 0.005 wt.%) with TiO2 mesoporous (TiO2 powders: 20 g and particle size ~30 nm) to enhance the optoelectronic performances of dye sensitized solar cells (DSSC). Sponge-like structure TiO2 mesoporous layers is a requirement for obtaining high efficiency DSSC, which ia synthesized by spin-coating techniques. The dense TiO2 blocking layer (using peroxo-titanium complex) has a uniform, dense structure and completely adheres to the substrates to avoid charge recombination. The X-ray diffraction (XRD) and transmission electron microscopy (TEM) analyses of the TiO2 films display the anatase type phase with preferred orientation along the (101) direction. After being ball milled, the TiO2 mesoporous particle size almost remains unchanged. For mixing the Acac with TiO2, the Raman intensity relatively increased, and the band gap energy (Eg) value decreased from 3.223 eV (for pure TiO2) to 3.076 eV (for 2 mL Acac). Raman spectroscopy is used to evaluate the GP elements. It can be seen the intensity ratio (ID/IG) and (I2D/IG) was enhanced when the GP concentration increased. Using mixed Acac 2 mL and GP 0.003 wt.% with a TiO2 mesoporous, led to increases in the open circuit voltage (VOC), short circuit current density (JSC) and fill factor (FF). If a fluorine-doped tin oxide is used instead of an indium tin oxide glass substrate, the photovoltaic efficiency of DSSC increases from 5.45% to 7.24%. Full article
Show Figures

Figure 1

14 pages, 2790 KB  
Article
A Highly Sensitive Piezoresistive Pressure Sensor Based on Graphene Oxide/Polypyrrole@Polyurethane Sponge
by Bing Lv, Xingtong Chen and Chunguo Liu
Sensors 2020, 20(4), 1219; https://doi.org/10.3390/s20041219 - 23 Feb 2020
Cited by 61 | Viewed by 7792
Abstract
In this work, polyurethane sponge is employed as the structural substrate of the sensor. Graphene oxide (GO) and polypyrrole (PPy) are alternately coated on the sponge fiber skeleton by charge layer-by-layer assembly (LBL) to form a multilayer composite conductive layer to prepare the [...] Read more.
In this work, polyurethane sponge is employed as the structural substrate of the sensor. Graphene oxide (GO) and polypyrrole (PPy) are alternately coated on the sponge fiber skeleton by charge layer-by-layer assembly (LBL) to form a multilayer composite conductive layer to prepare the piezoresistive sensors. The 2D GO sheet is helpful for the formation of the GO layers, and separating the PPy layer. The prepared GO/PPy@PU (polyurethane) conductive sponges still had high compressibility. The unique fragmental microstructure and synergistic effect made the sensor reach a high sensitivity of 0.79 kPa−1. The sensor could detect as low as 75 Pa, exhibited response time less than 70 ms and reproducibility over 10,000 cycles, and could be used for different types of motion detection. This work opens up new opportunities for high-performance piezoresistive sensors and other electronic devices for GO/PPy composites. Full article
(This article belongs to the Section Physical Sensors)
Show Figures

Figure 1

12 pages, 4773 KB  
Article
Polystyrene as Graphene Film and 3D Graphene Sponge Precursor
by Alejandra Rendón-Patiño, Jinan Niu, Antonio Doménech-Carbó, Hermenegildo García and Ana Primo
Nanomaterials 2019, 9(1), 101; https://doi.org/10.3390/nano9010101 - 16 Jan 2019
Cited by 20 | Viewed by 5298
Abstract
Polystyrene as a thin film on arbitrary substrates or pellets form defective graphene/graphitic films or powders that can be dispersed in water and organic solvents. The materials were characterized by visible absorption, Raman and X-ray photoelectron spectroscopy, electron and atomic force microscopy, and [...] Read more.
Polystyrene as a thin film on arbitrary substrates or pellets form defective graphene/graphitic films or powders that can be dispersed in water and organic solvents. The materials were characterized by visible absorption, Raman and X-ray photoelectron spectroscopy, electron and atomic force microscopy, and electrochemistry. Raman spectra of these materials showed the presence of the expected 2D, G, and D peaks at 2750, 1590, and 1350 cm−1, respectively. The relative intensity of the G versus the D peak was taken as a quantitative indicator of the density of defects in the G layer. Full article
Show Figures

Graphical abstract

Back to TopTop