Sign in to use this feature.

Years

Between: -

Subjects

remove_circle_outline
remove_circle_outline
remove_circle_outline
remove_circle_outline
remove_circle_outline
remove_circle_outline
remove_circle_outline
remove_circle_outline

Journals

Article Types

Countries / Regions

Search Results (21)

Search Parameters:
Keywords = 3D character animation

Order results
Result details
Results per page
Select all
Export citation of selected articles as:
23 pages, 4483 KB  
Article
The Impact of GAGs, Cross-Link Maturity and Telopeptides on the Formation of a Porcine Collagen-Based Hydrogel
by Monika Šupová, Šárka Rýglová, Tomáš Suchý, Margit Žaloudková and Martin Braun
Gels 2025, 11(9), 695; https://doi.org/10.3390/gels11090695 - 1 Sep 2025
Viewed by 821
Abstract
Collagen hydrogels serve as biomimetic scaffolds that closely resemble the natural extracellular matrix, thus providing an ideal 3D biocompatible environment for cells. However, based on our previous experience, not all collagen isolates are capable of gelling, which appears to depend on the type, [...] Read more.
Collagen hydrogels serve as biomimetic scaffolds that closely resemble the natural extracellular matrix, thus providing an ideal 3D biocompatible environment for cells. However, based on our previous experience, not all collagen isolates are capable of gelling, which appears to depend on the type, origin, species, age and sex of the source animal and the collagen isolation method applied. We therefore decided to evaluate porcine collagen-rich materials isolated from two different porcine genotypes applying two different specific isolation methods, and to analyse other main components, i.e., lipids and glycosaminoglycans, as well as amino acid composition and structural and morphological properties. While all the collagen isolates obtained were subjected to the gelling process, only one of them successfully gelled. In addition, the gelling ability of this isolate was confirmed repeatedly on collagens that were isolated from other pigs of the same porcine genotype. The results revealed that the gelling process proceeds via cooperation between the composition and the structure of the collagen isolate. With respect to the composition, one of the most important factors in terms of the success of the gelation process of collagen isolates concerns elevated glycosaminoglycan contents. The structural factors that characterise collagen isolates, i.e., cross-links (immature and mature) and their mutual ratio, as well as the presence of telopeptides, strongly impact the progress of the gelling process and the resulting character of the hydrogel structure. All these factors are influenced by the isolation procedure. Full article
(This article belongs to the Special Issue Advances in Hydrogels for Regenerative Medicine)
Show Figures

Figure 1

13 pages, 1169 KB  
Article
Integrating Sustainable Educational Innovations and Spatial Cognition: A Study of Factors Affecting College Students’ Sustainable Learning Behavior in Virtual Simulation Environments
by Junsheng Zhou, Liyao Xiao and Yunfu Li
Sustainability 2024, 16(20), 8787; https://doi.org/10.3390/su16208787 - 11 Oct 2024
Cited by 5 | Viewed by 1858
Abstract
Objective: This study investigated the factors influencing college students’ continuous utilization intention of virtual simulation software (Animation Character Virtual Simulation Software V1.0) in the context of current efforts to promote sustainable educational practices and explored design strategies to enhance this willingness in a [...] Read more.
Objective: This study investigated the factors influencing college students’ continuous utilization intention of virtual simulation software (Animation Character Virtual Simulation Software V1.0) in the context of current efforts to promote sustainable educational practices and explored design strategies to enhance this willingness in a sustainable manner. Method: Based on the Expectation Confirmation Model of Information System Continuance (ECM-ISC), this study developed a model to examine the impact of college students’ spatial ability (SA) on their virtual simulation learning behavior. Upon administering a questionnaire to the selected participants (N = 164), the survey data were analyzed for reliability and validity. Subsequently, the relationships among the model’s variables were explored. Result: For college students majoring in Digital Media Art, spatial ability significantly positively affects their sustainable utilization intention of virtual simulation software within 3D virtual scenarios. Meanwhile, it positively impacts perceived ease of use (PEU) and flow experience (FE), which are key factors in promoting the sustainable adoption of such technologies. The introduced spatial ability, perceived ease of use, and flow experience influence the endogeneity of the ECM-ISC. Moreover, gender differences in spatial ability are profound among these students. Conclusion: The primary influencing pathway is spatial ability → flow experience → expectation confirmation → perceived usefulness → continuous utilization intention. Enhancing spatial ability is one effective way to advance virtual simulation software, offering new insights for its design and long-term improvement in alignment with sustainable educational practices. Full article
(This article belongs to the Section Sustainable Education and Approaches)
Show Figures

Figure 1

18 pages, 37868 KB  
Article
3D Character Animation and Asset Generation Using Deep Learning
by Vlad-Constantin Lungu-Stan and Irina Georgiana Mocanu
Appl. Sci. 2024, 14(16), 7234; https://doi.org/10.3390/app14167234 - 16 Aug 2024
Cited by 4 | Viewed by 5595
Abstract
Besides video content, a significant part of entertainment is represented by computer games and animations such as cartoons. Creating such entertainment is based on two fundamental steps: asset generation and character animation. The main problem stems from its repetitive nature and the needed [...] Read more.
Besides video content, a significant part of entertainment is represented by computer games and animations such as cartoons. Creating such entertainment is based on two fundamental steps: asset generation and character animation. The main problem stems from its repetitive nature and the needed amounts of concentration and skill. The latest advances in deep learning and generative techniques have provided a set of powerful tools which can be used to alleviate these problems by facilitating the tasks of artists and engineers and providing a better workflow. In this work we explore practical solutions for facilitating and hastening the creative process: character animation and asset generation. In character animation, the task is to either move the joints of a subject manually or to correct the noisy data coming out of motion capture. The main difficulties of these tasks are their repetitive nature and the needed amounts of concentration and skill. For the animation case, we propose two decoder-only transformer based solutions, inspired by the current success of GPT. The first, AnimGPT, targets the original animation workflow by predicting the next pose of an animation based on a set of previous poses, while the second, DenoiseAnimGPT, tackles the motion capture case by predicting the clean current pose based on all previous poses and the current noisy pose. Both models obtained good performances on the CMU motion dataset, with the generated results being imperceptible to the untrained human eye. Quantitative evaluation was performed using mean absolute error between the ground truth motion vectors and the predicted motion vector. For both networks AnimGPT and DenoiseAnimGPT errors were 0.345, respectively 0.2513 (for 50 frames) that indicates better performances compared with other solutions. For asset generation, diffusion models were used. Using image generation and outpainting, we created a method that generates good backgrounds by combining the idea of text conditioned generation and text conditioned image editing. A time coherent algorithm that creates animated effects for characters was obtained. Full article
(This article belongs to the Special Issue Applications of Artificial Intelligence and Machine Learning in Games)
Show Figures

Figure 1

11 pages, 2535 KB  
Article
Agouti-Signaling Protein and Melanocortin-1-Receptor Mutations Associated with Coat Color Phenotypes in Fallow Deer (Dama dama)
by Monika Reissmann, Evelin Ullrich, Uwe Bergfeld and Arne Ludwig
Genes 2024, 15(8), 1055; https://doi.org/10.3390/genes15081055 - 11 Aug 2024
Viewed by 2754
Abstract
Four dominant coat color phenotypes are found in fallow deer (Dama dama). Brown is the most common. Black, menil, and white occur with varying frequencies. In order to gain insights into the molecular genetic background of these phenotypes, 998 fallow animals [...] Read more.
Four dominant coat color phenotypes are found in fallow deer (Dama dama). Brown is the most common. Black, menil, and white occur with varying frequencies. In order to gain insights into the molecular genetic background of these phenotypes, 998 fallow animals (772 brown, 62 black, 126 menil, and 38 white) were examined for mutations in the ASIP, MC1R, TYR, and SLC45A2 genes. In ASIP, two mutations (ASIP-M-E2, located at the boundary from exon 2 to intron 2; and ASIP-M-E3, an InDel of five nucleotides) were found, leading to black fallow deer being either homozygous or heterozygous in combination. There were also two mutations found in MC1R. Whereby the mutation MC1R-M1 (leucine to proline, L48P) homozygous leads to a white coat, while the mutation MC1R-M2 (glycine to aspartic acid, G236D) homozygous is associated with the menil phenotype. When both mutations occur together in a heterozygous character state, it results in a menil coat. Since the mutations in the two genes are only present alternatively, 36 genotypes can be identified that form color clusters to which all animals can be assigned. No mutations were found in the TYR and SLC45A2 genes. Our investigations demonstrate that the four dominant coat colors in fallow deer can be explained by ASIP and MC1R mutations only. Full article
(This article belongs to the Special Issue Wildlife Genetic Diversity and Genomics)
Show Figures

Figure 1

11 pages, 2095 KB  
Communication
Enhancing Resilience in Biometric Research: Generation of 3D Synthetic Face Data Using Advanced 3D Character Creation Techniques from High-Fidelity Video Games and Animation
by Florian Erwin Blümel, Mathias Schulz, Ralph Breithaupt, Norbert Jung and Robert Lange
Sensors 2024, 24(9), 2750; https://doi.org/10.3390/s24092750 - 25 Apr 2024
Cited by 3 | Viewed by 2447
Abstract
Biometric authentication plays a vital role in various everyday applications with increasing demands for reliability and security. However, the use of real biometric data for research raises privacy concerns and data scarcity issues. A promising approach using synthetic biometric data to address the [...] Read more.
Biometric authentication plays a vital role in various everyday applications with increasing demands for reliability and security. However, the use of real biometric data for research raises privacy concerns and data scarcity issues. A promising approach using synthetic biometric data to address the resulting unbalanced representation and bias, as well as the limited availability of diverse datasets for the development and evaluation of biometric systems, has emerged. Methods for a parameterized generation of highly realistic synthetic data are emerging and the necessary quality metrics to prove that synthetic data can compare to real data are open research tasks. The generation of 3D synthetic face data using game engines’ capabilities of generating varied realistic virtual characters is explored as a possible alternative for generating synthetic face data while maintaining reproducibility and ground truth, as opposed to other creation methods. While synthetic data offer several benefits, including improved resilience against data privacy concerns, the limitations and challenges associated with their usage are addressed. Our work shows concurrent behavior in comparing semi-synthetic data as a digital representation of a real identity with their real datasets. Despite slight asymmetrical performance in comparison with a larger database of real samples, a promising performance in face data authentication is shown, which lays the foundation for further investigations with digital avatars and the creation and analysis of fully synthetic data. Future directions for improving synthetic biometric data generation and their impact on advancing biometrics research are discussed. Full article
(This article belongs to the Special Issue New Trends in Biometric Sensing and Information Processing)
Show Figures

Figure 1

18 pages, 3680 KB  
Article
Application of ChatGPT-Based Digital Human in Animation Creation
by Chong Lan, Yongsheng Wang, Chengze Wang, Shirong Song and Zheng Gong
Future Internet 2023, 15(9), 300; https://doi.org/10.3390/fi15090300 - 2 Sep 2023
Cited by 16 | Viewed by 9431
Abstract
Traditional 3D animation creation involves a process of motion acquisition, dubbing, and mouth movement data binding for each character. To streamline animation creation, we propose combining artificial intelligence (AI) with a motion capture system. This integration aims to reduce the time, workload, and [...] Read more.
Traditional 3D animation creation involves a process of motion acquisition, dubbing, and mouth movement data binding for each character. To streamline animation creation, we propose combining artificial intelligence (AI) with a motion capture system. This integration aims to reduce the time, workload, and cost associated with animation creation. By utilizing AI and natural language processing, the characters can engage in independent learning, generating their own responses and interactions, thus moving away from the traditional method of creating digital characters with pre-defined behaviors. In this paper, we present an approach that employs a digital person’s animation environment. We utilized Unity plug-ins to drive the character’s mouth Blendshape, synchronize the character’s voice and mouth movements in Unity, and connect the digital person to an AI system. This integration enables AI-driven language interactions within animation production. Through experimentation, we evaluated the correctness of the natural language interaction of the digital human in the animated scene, the real-time synchronization of mouth movements, the potential for singularity in guiding users during digital human animation creation, and its ability to guide user interactions through its own thought process. Full article
(This article belongs to the Topic AI Chatbots: Threat or Opportunity?)
Show Figures

Graphical abstract

17 pages, 4144 KB  
Article
High Speed and Accuracy of Animation 3D Pose Recognition Based on an Improved Deep Convolution Neural Network
by Wei Ding and Wenfa Li
Appl. Sci. 2023, 13(13), 7566; https://doi.org/10.3390/app13137566 - 27 Jun 2023
Cited by 16 | Viewed by 3510
Abstract
Pose recognition in character animations is an important avenue of research in computer graphics. However, the current use of traditional artificial intelligence algorithms to recognize animation gestures faces hurdles such as low accuracy and speed. Therefore, to overcome the above problems, this paper [...] Read more.
Pose recognition in character animations is an important avenue of research in computer graphics. However, the current use of traditional artificial intelligence algorithms to recognize animation gestures faces hurdles such as low accuracy and speed. Therefore, to overcome the above problems, this paper proposes a real-time 3D pose recognition system, which includes both facial and body poses, based on deep convolutional neural networks and further designs a single-purpose 3D pose estimation system. First, we transformed the human pose extracted from the input image to an abstract pose data structure. Subsequently, we generated the required character animation at runtime based on the transformed dataset. This challenges the conventional concept of monocular 3D pose estimation, which is extremely difficult to achieve. It can also achieve real-time running speed at a resolution of 384 fps. The proposed method was used to identify multiple-character animation using multiple datasets (Microsoft COCO 2014, CMU Panoptic, Human3.6M, and JTA). The results indicated that the improved algorithm improved the recognition accuracy and performance by approximately 3.5% and 8–10 times, respectively, which is significantly superior to other classic algorithms. Furthermore, we tested the proposed system on multiple pose-recognition datasets. The 3D attitude estimation system speed can reach 24 fps with an error of 100 mm, which is considerably less than that of the 2D attitude estimation system with a speed of 60 fps. The pose recognition based on deep learning proposed in this study yielded surprisingly superior performance, proving that the use of deep-learning technology for image recognition has great potential. Full article
Show Figures

Figure 1

26 pages, 4147 KB  
Article
Molecular Phylogenetic Relationships and Unveiling Novel Genetic Diversity among Slow and Pygmy Lorises, including Resurrection of Xanthonycticebus intermedius
by Mary E. Blair, Giang T. H. Cao, Elora H. López-Nandam, Daniel A. Veronese-Paniagua, Mark G. Birchette, Marina Kenyon, Badrul M. Md-Zain, Rachel A. Munds, K. Anne-Isola Nekaris, Vincent Nijman, Christian Roos, Hoàng M. Thach, Eleanor J. Sterling and Minh D. Le
Genes 2023, 14(3), 643; https://doi.org/10.3390/genes14030643 - 3 Mar 2023
Cited by 17 | Viewed by 7993 | Correction
Abstract
Genetic analysis of historical museum collections presents an opportunity to clarify the evolutionary history of understudied primate groups, improve taxonomic inferences, and inform conservation efforts. Among the most understudied primate groups, slow and pygmy lorises (genera Nycticebus and Xanthonycticebus) are nocturnal strepsirrhines [...] Read more.
Genetic analysis of historical museum collections presents an opportunity to clarify the evolutionary history of understudied primate groups, improve taxonomic inferences, and inform conservation efforts. Among the most understudied primate groups, slow and pygmy lorises (genera Nycticebus and Xanthonycticebus) are nocturnal strepsirrhines found in South and Southeast Asia. Previous molecular studies have supported five species, but studies using morphological data suggest the existence of at least nine species. We sequenced four mitochondrial loci, CO1, cytb, d-loop, and ND4, for a total of 3324 aligned characters per sample from 41 historical museum specimens for the most comprehensive geographic coverage to date for these genera. We then combined these sequences with a larger dataset composed of samples collected in Vietnam as well as previously published sequences (total sample size N = 62). We inferred phylogenetic relationships using Bayesian inference and maximum likelihood methods based on data from each locus and on concatenated sequences. We also inferred divergence dates for the most recent common ancestors of major lineages using a BEAST analysis. Consistent with previous studies, we found support for Xanthonycticebus pygmaeus as a basal taxon to the others in the group. We also confirmed the separation between lineages of X. pygmaeus from northern Vietnam/Laos/China and southern Vietnam/Cambodia and included a taxonomic revision recognizing a second taxon of pygmy loris, X. intermedius. Our results found support for multiple reciprocally monophyletic taxa within Borneo and possibly Java. The study will help inform conservation management of these trade-targeted animals as part of a genetic reference database for determining the taxonomic unit and provenance of slow and pygmy lorises confiscated from illegal wildlife trade activities. Full article
(This article belongs to the Special Issue Primate Phylogeny and Genetics)
Show Figures

Figure 1

35 pages, 11692 KB  
Article
Ghost on the Windshield: Employing a Virtual Human Character to Communicate Pedestrian Acknowledgement and Vehicle Intention
by Alexandros Rouchitsas and Håkan Alm
Information 2022, 13(9), 420; https://doi.org/10.3390/info13090420 - 7 Sep 2022
Cited by 14 | Viewed by 4533
Abstract
Pedestrians base their street-crossing decisions on vehicle-centric as well as driver-centric cues. In the future, however, drivers of autonomous vehicles will be preoccupied with non-driving related activities and will thus be unable to provide pedestrians with relevant communicative cues. External human–machine interfaces (eHMIs) [...] Read more.
Pedestrians base their street-crossing decisions on vehicle-centric as well as driver-centric cues. In the future, however, drivers of autonomous vehicles will be preoccupied with non-driving related activities and will thus be unable to provide pedestrians with relevant communicative cues. External human–machine interfaces (eHMIs) hold promise for filling the expected communication gap by providing information about a vehicle’s situational awareness and intention. In this paper, we present an eHMI concept that employs a virtual human character (VHC) to communicate pedestrian acknowledgement and vehicle intention (non-yielding; cruising; yielding). Pedestrian acknowledgement is communicated via gaze direction while vehicle intention is communicated via facial expression. The effectiveness of the proposed anthropomorphic eHMI concept was evaluated in the context of a monitor-based laboratory experiment where the participants performed a crossing intention task (self-paced, two-alternative forced choice) and their accuracy in making appropriate street-crossing decisions was measured. In each trial, they were first presented with a 3D animated sequence of a VHC (male; female) that either looked directly at them or clearly to their right while producing either an emotional (smile; angry expression; surprised expression), a conversational (nod; head shake), or a neutral (neutral expression; cheek puff) facial expression. Then, the participants were asked to imagine they were pedestrians intending to cross a one-way street at a random uncontrolled location when they saw an autonomous vehicle equipped with the eHMI approaching from the right and indicate via mouse click whether they would cross the street in front of the oncoming vehicle or not. An implementation of the proposed concept where non-yielding intention is communicated via the VHC producing either an angry expression, a surprised expression, or a head shake; cruising intention is communicated via the VHC puffing its cheeks; and yielding intention is communicated via the VHC nodding, was shown to be highly effective in ensuring the safety of a single pedestrian or even two co-located pedestrians without compromising traffic flow in either case. The implications for the development of intuitive, culture-transcending eHMIs that can support multiple pedestrians in parallel are discussed. Full article
(This article belongs to the Section Information Applications)
Show Figures

Figure 1

13 pages, 2059 KB  
Article
Expansion of Canine Heartworm in Spain
by José Alberto Montoya-Alonso, Rodrigo Morchón, Sara Nieves García-Rodríguez, Yaiza Falcón-Cordón, Noelia Costa-Rodríguez, Jorge Isidoro Matos, Iván Rodríguez Escolar and Elena Carretón
Animals 2022, 12(10), 1268; https://doi.org/10.3390/ani12101268 - 14 May 2022
Cited by 27 | Viewed by 6290
Abstract
The climate of Spain has favourable characteristics for the development of D. immitis in dogs, being an endemic country. Given that vector-borne diseases are spreading rapidly through Europe, due to factors such as climate change, the expansion of vectors and the increased mobility [...] Read more.
The climate of Spain has favourable characteristics for the development of D. immitis in dogs, being an endemic country. Given that vector-borne diseases are spreading rapidly through Europe, due to factors such as climate change, the expansion of vectors and the increased mobility of reservoir animals, the aim was to update the epidemiology of heartworm in dogs and analyse the results based on climate and other epidemiological and geo-environmental factors. To this aim, 9543 blood samples from dogs from all provinces and autonomous cities of Spain were analysed for the detection of antigens of D. immitis, obtaining a prevalence of 6.47%. The northwestern and southern provinces showed the highest prevalences, as well as in the Balearic and Canary Islands. Prevalences were higher in dogs outdoors. Furthermore, most of the positive dogs were found in regions with high humidity and water availability. This study shows, for the first time, positive cases in provinces and islands where no cases had previously been described and demonstrates the continuous expansion and consolidation of heartworm in Spain. Considering its zoonotic character, the implementation of control and awareness programmes for the prevention of D. immitis in pets is necessary. Full article
(This article belongs to the Special Issue Parasitic Diseases in Canines and Felines and Their Vectors)
Show Figures

Figure 1

21 pages, 3637 KB  
Article
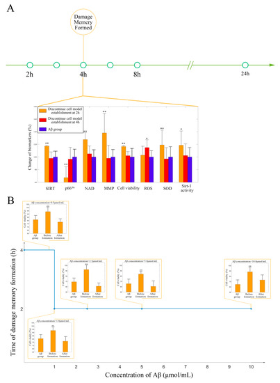
Aβ-Induced Damage Memory in hCMEC/D3 Cells Mediated by Sirtuin-1
by Haochen Liu, Yixuan Zhang, Hong Zhang, Sheng Xu, Huimin Zhao and Xiaoquan Liu
Int. J. Mol. Sci. 2020, 21(21), 8226; https://doi.org/10.3390/ijms21218226 - 3 Nov 2020
Cited by 9 | Viewed by 2734
Abstract
It is well accepted by the scientific community that the accumulation of beta-amyloid (Aβ) may be involved in endothelial dysfunction during Alzheimer’s disease (AD) progression; however, anti-Aβ anti-bodies, which remove Aβ plaques, do not improve cerebrovascular function in AD animal models. The reasons [...] Read more.
It is well accepted by the scientific community that the accumulation of beta-amyloid (Aβ) may be involved in endothelial dysfunction during Alzheimer’s disease (AD) progression; however, anti-Aβ anti-bodies, which remove Aβ plaques, do not improve cerebrovascular function in AD animal models. The reasons for these paradoxical results require investigation. We hypothesized that Aβ exposure may cause persistent damage to cerebral endothelial cells even after Aβ is removed (referred to as cerebrovascular endothelial damage memory). In this study, we aimed to investigate whether cerebrovascular endothelial damage memory exists in endothelial cells. hCMEC/D3 cells were treated with Aβ1–42 for 12 h and then Aβ1–42 was withdrawn for another 12 h incubation to investigate whether cerebrovascular endothelial damage memory exists in endothelial cells. A mechanism-based kinetics progression model was developed to investigate the dynamic characters of the cerebrovascular endothelial damage. After Aβ1–42 was removed, the sirt-1 levels returned to normal but the cell vitality did not improve, which suggests that cerebrovascular endothelial damage memory may exist in endothelial cells. Sirt-1 activator SRT2104 and NAD+ (Nicotinamide Adenine Dinucleotide) supplement may dose-dependently relieve the cerebrovascular endothelial damage memory. sirt-1 inhibitor EX527 may exacerbate the cerebrovascular endothelial damage memory. Kinetics analysis suggested that sirt-1 is involved in initiating the cerebrovascular endothelial damage memory; otherwise, NAD+ exhaustion plays a vital role in maintaining the cerebrovascular endothelial damage memory. This study provides a novel feature of cerebrovascular endothelial damage induced by Aβ. Full article
(This article belongs to the Section Molecular Neurobiology)
Show Figures

Figure 1

21 pages, 4864 KB  
Article
High-Detail Animation of Human Body Shape and Pose From High-Resolution 4D Scans Using Iterative Closest Point and Shape Maps
by Marta Nowak and Robert Sitnik
Appl. Sci. 2020, 10(21), 7535; https://doi.org/10.3390/app10217535 - 26 Oct 2020
Cited by 4 | Viewed by 5268
Abstract
In this article, we present a method of analysis for 3D scanning sequences of human bodies in motion that allows us to obtain a computer animation of a virtual character containing both skeleton motion and high-detail deformations of the body surface geometry, resulting [...] Read more.
In this article, we present a method of analysis for 3D scanning sequences of human bodies in motion that allows us to obtain a computer animation of a virtual character containing both skeleton motion and high-detail deformations of the body surface geometry, resulting from muscle activity, the dynamics of the motion, and tissue inertia. The developed algorithm operates on a sequence of 3D scans with high spatial and temporal resolution. The presented method can be applied to scans in the form of both triangle meshes and 3D point clouds. One of the contributions of this work is the use of the Iterative Closest Point algorithm with motion constraints for pose tracking, which has been problematic so far. We also introduce shape maps as a tool to represent local body segment deformations. An important feature of our method is the possibility to change the topology and resolution of the output mesh and the topology of the animation skeleton in individual sequences, without requiring time-consuming retraining of the model. Compared to the state-of-the-art Skinned Multi-Person Linear (SMPL) method, the proposed algorithm yields almost twofold better accuracy in shape mapping. Full article
Show Figures

Figure 1

20 pages, 405 KB  
Article
Suffering the Sons of Eve: Animal Ethics in al-Maʿarrī’s Epistle of the Horse and the Mule
by Kevin Blankinship
Religions 2020, 11(8), 412; https://doi.org/10.3390/rel11080412 - 10 Aug 2020
Cited by 6 | Viewed by 6892
Abstract
In the year 1021 CE, blind author and skeptic Abū l-ʿAlāʾ al-Maʿarrī (d. 1057 CE) wrote Risālat al-ṣāhil wa-l-shāḥij (The Epistle of the Horse and the Mule), a winding prose work populated by animal characters who talk about poetry, grammar, riddles, and Syrian [...] Read more.
In the year 1021 CE, blind author and skeptic Abū l-ʿAlāʾ al-Maʿarrī (d. 1057 CE) wrote Risālat al-ṣāhil wa-l-shāḥij (The Epistle of the Horse and the Mule), a winding prose work populated by animal characters who talk about poetry, grammar, riddles, and Syrian society on the eve of the crusades. Traditionally forgotten as a source for al-Maʿarrī’s pacifism, and his vegan worldview, the Ṣāhil lets readers see his thinking on animals more than most other works. After a brief survey of animals in Islam, which shows a mainstream desire for balance between human and non-human needs, as well as exceptional cases that strongly uphold animals as subjects per se and which stand as key inter-texts for al-Maʿarrī, this paper considers how the Ṣāhil champions non-human creatures through images of animal cruelty deployed to shock readers into compassion, and through poetry and popular sayings (amthāl) recast in a zoocentric mold. It, therefore, advocates with more fervor than anthropocentric Islamic writings on animals, such as Kalīlah wa-Dimnah or the letters of the Ikhwān al-Ṣafāʾ. However, this happens in a way that makes it hard to pin down the sources of al-Maʿarrī’s thought. Furthermore, al-Maʿarrī seems to contradict himself when, for example, he employs literal meaning when it comes to animal justice, even as he avoids literalism in other contexts. This calls his concern for animals into question in one sense, but in another, it affirms such concern insofar as his self-contradictions show an active mind working through animal ethics in real time. Full article
(This article belongs to the Special Issue Animals in Islam)
20 pages, 318 KB  
Article
Commemorating the Nameless Wives of the Bible: Midrashic Poems by Contemporary American-Jewish Women
by Anat Koplowitz-Breier
Religions 2020, 11(7), 365; https://doi.org/10.3390/rel11070365 - 17 Jul 2020
Cited by 1 | Viewed by 3867
Abstract
A proper name individualizes a person, the lack of it making him or her less noticeable. This insight is apt in regard to the nameless women in the Hebrew Bible, a resolutely androcentric work. As Judaism traditionally barred women from studying, many Jewish [...] Read more.
A proper name individualizes a person, the lack of it making him or her less noticeable. This insight is apt in regard to the nameless women in the Hebrew Bible, a resolutely androcentric work. As Judaism traditionally barred women from studying, many Jewish feminists have sought access to the Jewish canon. Much of American-Jewish women’s poetry can thus be viewed as belonging to the midrashic-poetry tradition, attempting to vivify the biblical women by “revisioning” the Bible. This article examines two nameless wives who, although barely noted in the biblical text, play a significant role in their husbands’ stories—Mrs. Noah and Mrs. Job. Although numerous exegetes have noted them across history, few have delved into their emotions and characters. Exploration of the way in which contemporary Jewish-American poets treat these women and connect them to their own world(s) is thus of great interest to both modern and biblical scholars. Herein I focus on five poets: Elaine Rose Glickman (“Parashat Noach”), Barbara D. Holender (“Noah’s Wife,” and “Job’s Wife”), Oriana Ivy (“Mrs. Noah,” and “Job’s Wife”), Shirley Kaufman (“Job’s Wife”), and Sherri Waas Shunfenthal (“Noah’s Wife Speaks,” “The Animals are our Friends,” “Time,” and “Arc of Peace”). Full article
23 pages, 1344 KB  
Review
A Comparison of Osteoblast and Osteoclast In Vitro Co-Culture Models and Their Translation for Preclinical Drug Testing Applications
by Alexander Sieberath, Elena Della Bella, Ana Marina Ferreira, Piergiorgio Gentile, David Eglin and Kenny Dalgarno
Int. J. Mol. Sci. 2020, 21(3), 912; https://doi.org/10.3390/ijms21030912 - 30 Jan 2020
Cited by 49 | Viewed by 10549
Abstract
As the population of western societies on average ages, the number of people affected by bone remodeling-associated diseases such as osteoporosis continues to increase. The development of new therapeutics is hampered by the high failure rates of drug candidates during clinical testing, which [...] Read more.
As the population of western societies on average ages, the number of people affected by bone remodeling-associated diseases such as osteoporosis continues to increase. The development of new therapeutics is hampered by the high failure rates of drug candidates during clinical testing, which is in part due to the poor predictive character of animal models during preclinical drug testing. Co-culture models of osteoblasts and osteoclasts offer an alternative to animal testing and are considered to have the potential to improve drug development processes in the future. However, a robust, scalable, and reproducible 3D model combining osteoblasts and osteoclasts for preclinical drug testing purposes has not been developed to date. Here we review various types of osteoblast–osteoclast co-culture models and outline the remaining obstacles that must be overcome for their successful translation. Full article
(This article belongs to the Special Issue Bone Growth and Osteoporosis)
Show Figures

Figure 1

Back to TopTop