Pharmacokinetic and Environmental Risk Assessment of Prime-2-CoV, a Non-Replicating Orf Virus-Based Vaccine against SARS-CoV-2
Abstract
1. Introduction
2. Materials and Methods
2.1. Virus and Cells
2.2. In Vivo Experiments
2.2.1. Biodistribution Study in Wistar Rats
2.2.2. Virulence Study in Mice
2.2.3. Shedding in New Zealand White Rabbits
2.3. Histopathology
2.4. qPCR Analysis for Detection and Quantification of Prime-2-CoV in Tissues and Biofluids
2.4.1. Sample Preparation
Lysis/Homogenization of Tissue Samples
Lysis of Biofluid Samples
DNA Extraction
2.4.2. qPCR Analysis
- 5 µL GoTaq Probe qPCR Master Mix (Promega, Madison, WI, USA) (with 60 nM CXR Reference Dye);
- 0.5 µL DNase-free water;
- 0.5 µL 18 µM forward primer (ACC-275 for Prime-2-CoV specific PCR, ACC-28 for mouse-specific PCR, ACC-186 for rat specific PCR);
- 0.5 µL 18 µM reverse primer (ACC-277 FOR Prime-2-CoV specific PCR, ACC-29 for mouse-specific PCR, ACC-187 for rat specific PCR);
- 0.5 µL 5 µM probe (ACC-276 for Prime-2-CoV specific PCR, ACC-30 for mouse-specific PCR, ACC-188 for rat specific PCR).
2.4.3. Calibration Standards
2.5. In Vitro Assessment of Prime-2-CoV
2.5.1. Immunofluorescence Staining
2.5.2. Flow Cytometry
2.5.3. Growth Curve Analysis
2.6. Statistical Analysis
3. Results
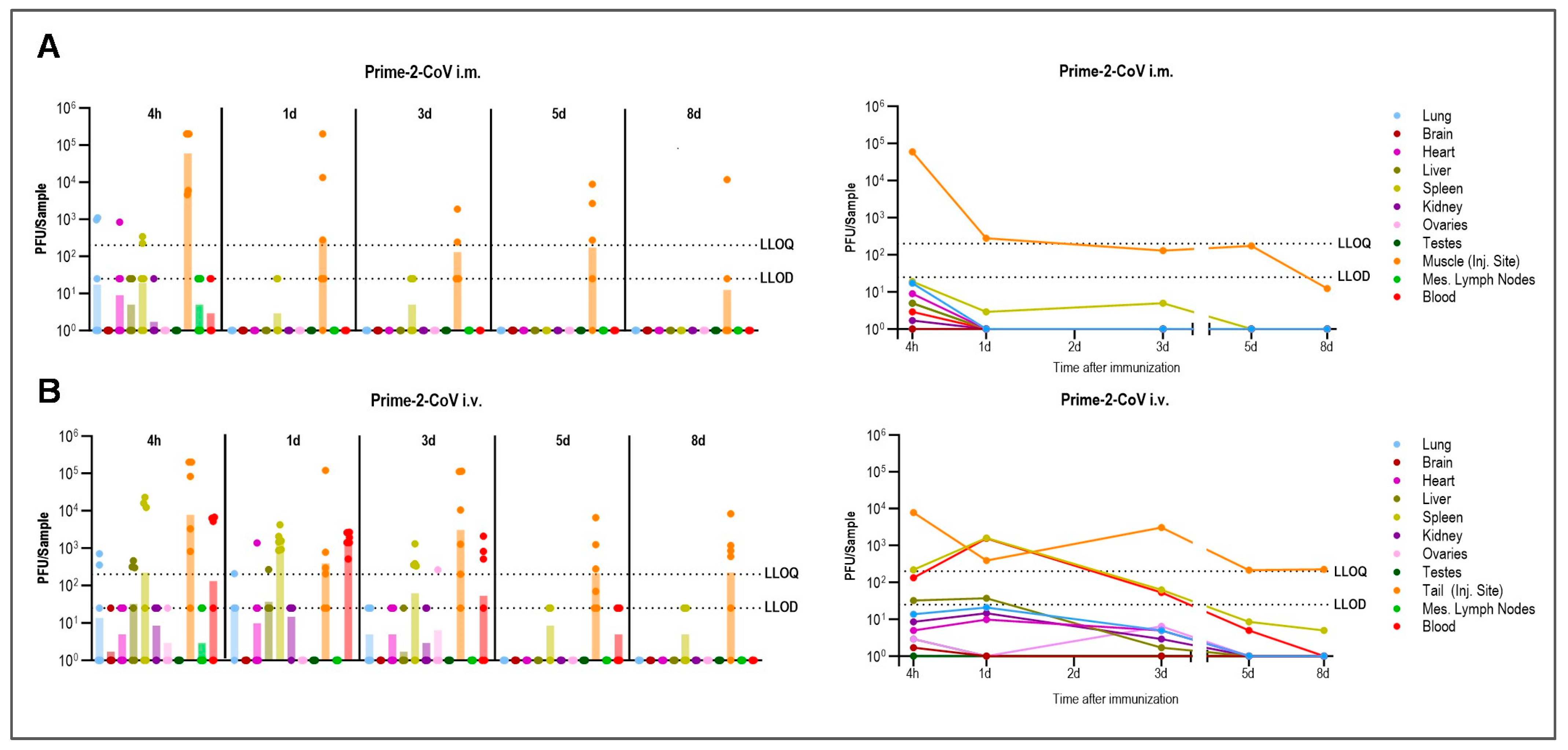
3.1. Biodistribution and Pharmacokinetic Profile of Prime-2-CoV
3.2. Evaluation of Prime-2-CoV Pharmacokinetics in Immunodeficient Animals
3.3. Assessment of Shedding of Prime-2-CoV in Rats and Rabbits
3.4. Environmental Risk Assessment of Prime-2-CoV
3.4.1. Risks Associated with the Parental Strain D1701-VrV
Origin of the Parental ORFV Vaccine Vector Strain D1701-VrV
Risk of Reconversion to Virulence
Potential of Insertional Mutagenesis in the Host Genome
3.4.2. Transgene Intrinsic Risk Evaluation
3.4.3. Risks Associated with Recombinant Prime-2-CoV Vector
Impact of Transgene Expression on Tissue Tropism
Genomic Stability of Prime-2-CoV
4. Discussion
5. Conclusions
Supplementary Materials
Author Contributions
Funding
Institutional Review Board Statement
Informed Consent Statement
Data Availability Statement
Acknowledgments
Conflicts of Interest
References
- McCann, N.; O’Connor, D.; Lambe, T.; Pollard, A.J. Viral vector vaccines. Curr. Opin. Immunol. 2022, 77, 102210. [Google Scholar] [CrossRef] [PubMed]
- Wang, S.; Liang, B.; Wang, W.; Li, L.; Feng, N.; Zhao, Y.; Wang, T.; Yan, F.; Yang, S.; Xia, X. Viral vectored vaccines: Design, development, preventive and therapeutic applications in human diseases. Signal Transduct. Target. Ther. 2023, 8, 149. [Google Scholar] [CrossRef]
- Fleming, S.B.; Wise, L.M.; Mercer, A.A. Molecular genetic analysis of orf virus: A poxvirus that has adapted to skin. Viruses 2015, 7, 1505–1539. [Google Scholar] [CrossRef] [PubMed]
- Haig, D.; Mercer, A.A. Parapoxviruses. In Encyclopedia of Virology, 3rd ed.; Mahy, B.W.J., Van Regenmortel, M.H.V., Eds.; Academic Press: Oxford, UK, 2008; pp. 57–63. [Google Scholar]
- Büttner, M.; Rziha, H.J. Parapoxviruses: From the lesion to the viral genome. J. Vet. Med. B Infect. Dis. Vet. Public Health 2002, 49, 7–16. [Google Scholar] [CrossRef] [PubMed]
- Hussain, K.A.; Burger, D. In vivo and in vitro characteristics of contagious ecthyma virus isolates: Host response mechanism. Vet. Microbiol. 1989, 19, 23–36. [Google Scholar] [CrossRef]
- Buddle, B.M.; Dellers, R.W.; Schurig, G.G. Contagious ecthyma virus-vaccination failures. Am. J. Vet. Res. 1984, 45, 263–266. [Google Scholar] [PubMed]
- Haig, D.M.; Mercer, A.A. Ovine diseases. Orf. Vet. Res. 1998, 29, 311–326. [Google Scholar] [PubMed]
- Amann, R.; Rohde, J.; Wulle, U.; Conlee, D.; Raue, R.; Martinon, O.; Rziha, H.J. A new rabies vaccine based on a recombinant ORF virus (parapoxvirus) expressing the rabies virus glycoprotein. J. Virol. 2013, 87, 1618–1630. [Google Scholar] [CrossRef] [PubMed]
- Reguzova, A.; Ghosh, M.; Müller, M.; Rziha, H.J.; Amann, R. Orf Virus-Based Vaccine Vector D1701-V Induces Strong CD8+ T Cell Response against the Transgene but Not against ORFV-Derived Epitopes. Vaccines 2020, 8, 295. [Google Scholar] [CrossRef]
- Schneider, M.; Müller, M.; Yigitliler, A.; Xi, J.; Simon, C.; Feger, T.; Rziha, H.J.; Stubenrauch, F.; Rammensee, H.G.; Iftner, T.; et al. Orf Virus-Based Therapeutic Vaccine for Treatment of Papillomavirus-Induced Tumors. J. Virol. 2020, 94, 10–1128. [Google Scholar] [CrossRef]
- Joshi, L.R.; Knudsen, D.; Piñeyro, P.; Dhakal, S.; Renukaradhya, G.J.; Diel, D.G. Protective Efficacy of an Orf Virus-Vector Encoding the Hemagglutinin and the Nucleoprotein of Influenza A Virus in Swine. Front. Immunol. 2021, 12, 747574. [Google Scholar] [CrossRef] [PubMed]
- do Nascimento, G.M.; de Oliveira, P.S.B.; Butt, S.L.; Diel, D.G. Immunogenicity of chimeric hemagglutinins delivered by an orf virus vector platform against swine influenza virus. Front. Immunol. 2024, 15, 1322879. [Google Scholar] [CrossRef] [PubMed]
- Rziha, H.J.; Büttner, M.; Müller, M.; Salomon, F.; Reguzova, A.; Laible, D.; Amann, R. Genomic Characterization of Orf Virus Strain D1701-V (Parapoxvirus) and Development of Novel Sites for Multiple Transgene Expression. Viruses 2019, 11, 127. [Google Scholar] [CrossRef]
- Reguzova, A.; Sigle, M.; Pagallies, F.; Salomon, F.; Rziha, H.; Bittner-Schrader, Z.; Verstrepen, B.; Böszörményi, K.; Verschoor, E.; Elbers, K.; et al. A novel multi-antigenic parapoxvirus-based vaccine demonstrates efficacy in protecting hamsters and non-human primates against SARS-CoV-2 challenge. Res. Sq. 2023, preprint. [Google Scholar] [CrossRef]
- Baldo, A.; Leunda, A.; Willemarck, N.; Pauwels, K. Environmental Risk Assessment of Recombinant Viral Vector Vaccines against SARS-Cov-2. Vaccines 2021, 9, 453. [Google Scholar] [CrossRef]
- The European Parliament; The Council of the European Union. Directive 2001/18/Ec of the European Parliament and of the Council of 12 March 2001 on the deliberate release into the environment of genetically modified organisms and repealing Council Directive 90/220/EEC. Off. J. Eur. Communities 2001, 106, 1–39. [Google Scholar]
- European Medicines Agency. Guideline on Environmental Risk Assessments for Medicinal Products Consisting of, or Containing, Genetically Modified Organisms (GMOs); Report No.: EMEA/CHMP/BWP/473191/2006; European Medicines Agency: Amsterdam, The Netherlands, 2006. [Google Scholar]
- Baldo, A.; van den Akker, E.; Bergmans, H.E.; Lim, F.; Pauwels, K. General considerations on the biosafety of virus-derived vectors used in gene therapy and vaccination. Curr. Gene Ther. 2013, 13, 385–394. [Google Scholar] [CrossRef]
- The European Parliament; The Council Of The European Union. 2002/623/EC: Commission Decision of 24 July 2002 establishing guidance notes supplementing Annex II to Directive 2001/18/EC of the European Parliament and of the Council on the deliberate release into the environment of genetically modified organisms and repealing Council Directive 90/220/EEC. Off. J. Eur. Communities 2002, 200, 22–33. [Google Scholar]
- Rziha, H.J.; Rohde, J.; Amann, R. Generation and Selection of Orf Virus (ORFV) Recombinants. Methods Mol. Biol. 2016, 1349, 177–200. [Google Scholar] [CrossRef]
- Pagallies, F.; Labisch, J.J.; Wronska, M.; Pflanz, K.; Amann, R. Efficient and scalable clarification of Orf virus from HEK suspension for vaccine development. Vaccine X 2024, 18, 100474. [Google Scholar] [CrossRef]
- Riepler, L.; Rössler, A.; Falch, A.; Volland, A.; Borena, W.; von Laer, D.; Kimpel, J. Comparison of Four SARS-CoV-2 Neutralization Assays. Vaccines 2020, 9, 13. [Google Scholar] [CrossRef]
- Center for Biologics Evaluation and Research. FDA Guidance for Industry—Preclinical Assessment of Investigational Cellular and Gene Therapy Products; FDA-2012-D-1038; Center for Biologics Evaluation and Research: Silver Spring, MD, USA, 2013. [Google Scholar]
- Mayr, A.; Herlyn, M.; Mahnel, H.; Danco, A.; Zach, A.; Bostedt, H. Control of ecthyma contagiosum (pustular dermatitis) of sheep with a new parenteral cell culture live vaccine. Zentralbl. Vet. B 1981, 28, 535–552. [Google Scholar] [CrossRef]
- Cottone, R.; Büttner, M.; Bauer, B.; Henkel, M.; Hettich, E.; Rziha, H.J. Analysis of genomic rearrangement and subsequent gene deletion of the attenuated Orf virus strain D1701. Virus Res. 1998, 56, 53–67. [Google Scholar] [CrossRef] [PubMed]
- Rziha, H.; Henkel, M.; Cottone, R.; Bauer, B.; Auge, U.; Götz, F.; Pfaff, E.; Röttgen, M.; Dehio, C.; Büttner, M. Generation of recombinant parapoxviruses: Non-essential genes suitable for insertion and expression of foreign genes. J. Biotechnol. 2000, 83, 137–145. [Google Scholar] [CrossRef] [PubMed]
- Rziha, H.J.; Henkel, M.; Cottone, R.; Meyer, M.; Dehio, C.; Büttner, M. Parapoxviruses: Potential alternative vectors for directing the immune response in permissive and non-permissive hosts. J. Biotechnol. 1999, 73, 235–242. [Google Scholar] [CrossRef] [PubMed]
- Piccardo, P.; Cervenakova, L.; Vasilyeva, I.; Yakovleva, O.; Bacik, I.; Cervenak, J.; McKenzie, C.; Kurillova, L.; Gregori, L.; Pomeroy, K.; et al. Candidate cell substrates, vaccine production, and transmissible spongiform encephalopathies. Emerg. Infect. Dis. 2011, 17, 2262–2269. [Google Scholar] [CrossRef] [PubMed]
- Moss, B. Poxviridae: The virus and their repication. In Fields’ Virology; Knipe David, M., Ed.; Lippincot Williams & Wilkins: Philadelphia, PA, USA, 2001; Volume 4, pp. 2849–2883. [Google Scholar]
- Walls, A.C.; Park, Y.J.; Tortorici, M.A.; Wall, A.; McGuire, A.T.; Veesler, D. Structure, Function, and Antigenicity of the SARS-CoV-2 Spike Glycoprotein. Cell 2020, 181, 281–292. [Google Scholar] [CrossRef] [PubMed]
- Zhou, B.; Thao, T.T.N.; Hoffmann, D.; Taddeo, A.; Ebert, N.; Labroussaa, F.; Pohlmann, A.; King, J.; Steiner, S.; Kelly, J.N.; et al. SARS-CoV-2 spike D614G change enhances replication and transmission. Nature 2021, 592, 122–127. [Google Scholar] [CrossRef] [PubMed]
- Arora, P.; Pöhlmann, S.; Hoffmann, M. Mutation D614G increases SARS-CoV-2 transmission. Signal Transduct. Target. Ther. 2021, 6, 101. [Google Scholar] [CrossRef]
- Wrapp, D.; Wang, N.; Corbett, K.S.; Goldsmith, J.A.; Hsieh, C.L.; Abiona, O.; Graham, B.S.; McLellan, J.S. Cryo-EM structure of the 2019-nCoV spike in the prefusion conformation. Science 2020, 367, 1260–1263. [Google Scholar] [CrossRef]
- Rice, A.; Verma, M.; Shin, A.; Zakin, L.; Sieling, P.; Tanaka, S.; Balint, J.; Dinkins, K.; Adisetiyo, H.; Morimoto, B.; et al. Intranasal plus subcutaneous prime vaccination with a dual antigen COVID-19 vaccine elicits T-cell and antibody responses in mice. Sci. Rep. 2021, 11, 14917. [Google Scholar] [CrossRef] [PubMed]
- Chiuppesi, F.; Salazar, M.d.A.; Contreras, H.; Nguyen, V.H.; Martinez, J.; Park, Y.; Nguyen, J.; Kha, M.; Iniguez, A.; Zhou, Q.; et al. Development of a multi-antigenic SARS-CoV-2 vaccine candidate using a synthetic poxvirus platform. Nat. Commun. 2020, 11, 6121. [Google Scholar] [CrossRef] [PubMed]
- Pérez, P.; Lázaro-Frías, A.; Zamora, C.; Sánchez-Cordón, P.J.; Astorgano, D.; Luczkowiak, J.; Delgado, R.; Casasnovas, J.M.; Esteban, M.; García-Arriaza, J. A Single Dose of an MVA Vaccine Expressing a Prefusion-Stabilized SARS-CoV-2 Spike Protein Neutralizes Variants of Concern and Protects Mice From a Lethal SARS-CoV-2 Infection. Front. Immunol. 2021, 12, 824728. [Google Scholar] [CrossRef] [PubMed]
- Mercado, N.B.; Zahn, R.; Wegmann, F.; Loos, C.; Chandrashekar, A.; Yu, J.; Liu, J.; Peter, L.; McMahan, K.; Tostanoski, L.H.; et al. Single-shot Ad26 vaccine protects against SARS-CoV-2 in rhesus macaques. Nature 2020, 586, 583–588. [Google Scholar] [CrossRef]
- van Doremalen, N.; Lambe, T.; Spencer, A.; Belij-Rammerstorfer, S.; Purushotham, J.N.; Port, J.R.; Avanzato, V.A.; Bushmaker, T.; Flaxman, A.; Ulaszewska, M.; et al. ChAdOx1 nCoV-19 vaccine prevents SARS-CoV-2 pneumonia in rhesus macaques. Nature 2020, 586, 578–582. [Google Scholar] [CrossRef] [PubMed]
- Dutta, N.K.; Mazumdar, K.; Gordy, J.T. The Nucleocapsid Protein of SARS-CoV-2: A Target for Vaccine Development. J. Virol. 2020, 94, 10–1128. [Google Scholar] [CrossRef] [PubMed]
- Oronsky, B.; Larson, C.; Caroen, S.; Hedjran, F.; Sanchez, A.; Prokopenko, E.; Reid, T. Nucleocapsid as a next-generation COVID-19 vaccine candidate. Int. J. Infect. Dis. 2022, 122, 529–530. [Google Scholar] [CrossRef] [PubMed]
- Chiuppesi, F.; Zaia, J.A.; Frankel, P.H.; Stan, R.; Drake, J.; Williams, B.; Acosta, A.M.; Francis, K.; Taplitz, R.A.; Dickter, J.K.; et al. Safety and immunogenicity of a synthetic multiantigen modified vaccinia virus Ankara-based COVID-19 vaccine (COH04S1): An open-label and randomised, phase 1 trial. Lancet Microbe 2022, 3, e252–e264. [Google Scholar] [CrossRef] [PubMed]
- Song, W.; Fang, Z.; Ma, F.; Li, J.; Huang, Z.; Zhang, Y.; Li, J.; Chen, K. The role of SARS-CoV-2 N protein in diagnosis and vaccination in the context of emerging variants: Present status and prospects. Front. Microbiol. 2023, 14, 1217567. [Google Scholar] [CrossRef]
- Roberts, K.L.; Smith, G.L. Vaccinia virus morphogenesis and dissemination. Trends Microbiol. 2008, 16, 472–479. [Google Scholar] [CrossRef]
- Liu, L.; Cooper, T.; Howley, P.M.; Hayball, J.D. From Crescent to Mature Virion: Vaccinia Virus Assembly and Maturation. Viruses 2014, 6, 3787–3808. [Google Scholar] [CrossRef] [PubMed]
- Hulswit, R.J.; de Haan, C.A.; Bosch, B.J. Coronavirus Spike Protein and Tropism Changes. Adv. Virus Res. 2016, 96, 29–57. [Google Scholar] [CrossRef] [PubMed]
- Robert-Guroff, M. Replicating and non-replicating viral vectors for vaccine development. Curr. Opin. Biotechnol. 2007, 18, 546–556. [Google Scholar] [CrossRef] [PubMed]
- Fallaux, F.J.; Bout, A.; van der Velde, I.; van den Wollenberg, D.J.; Hehir, K.M.; Keegan, J.; Auger, C.; Cramer, S.J.; van Ormondt, H.; van der Eb, A.J.; et al. New helper cells and matched early region 1-deleted adenovirus vectors prevent generation of replication-competent adenoviruses. Hum. Gene Ther. 1998, 9, 1909–1917. [Google Scholar] [CrossRef] [PubMed]
- Pollard, A.J.; Launay, O.; Lelievre, J.D.; Lacabaratz, C.; Grande, S.; Goldstein, N.; Robinson, C.; Gaddah, A.; Bockstal, V.; Wiedemann, A.; et al. Safety and immunogenicity of a two-dose heterologous Ad26.ZEBOV and MVA-BN-Filo Ebola vaccine regimen in adults in Europe (EBOVAC2): A randomised, observer-blind, participant-blind, placebo-controlled, phase 2 trial. Lancet Infect. Dis. 2021, 21, 493–506. [Google Scholar] [CrossRef] [PubMed]
- Verheust, C.; Goossens, M.; Pauwels, K.; Breyer, D. Biosafety aspects of modified vaccinia virus Ankara (MVA)-based vectors used for gene therapy or vaccination. Vaccine 2012, 30, 2623–2632. [Google Scholar] [CrossRef] [PubMed]
- Hansen, H.; Okeke, M.I.; Nilssen, O.; Traavik, T. Recombinant viruses obtained from co-infection in vitro with a live vaccinia-vectored influenza vaccine and a naturally occurring cowpox virus display different plaque phenotypes and loss of the transgene. Vaccine 2004, 23, 499–506. [Google Scholar] [CrossRef] [PubMed]
- Müller, M.; Reguzova, A.; Löffler, M.W.; Amann, R. Orf Virus-Based Vectors Preferentially Target Professional Antigen-Presenting Cells, Activate the STING Pathway and Induce Strong Antigen-Specific T Cell Responses. Front. Immunol. 2022, 13, 873351. [Google Scholar] [CrossRef] [PubMed]
- Cargill, T.; Barnes, E. Therapeutic vaccination for treatment of chronic hepatitis B. Clin. Exp. Immunol. 2021, 205, 106–118. [Google Scholar] [CrossRef]
- European Medicines Agency. General Principles to Adress Virus and Vector Shedding; Report No.: EMEA/CHMP/ICH/449035/2009; European Medicines Agency: Amsterdam, The Netherlands, 2009. [Google Scholar]
- Rochlitz, C.; Figlin, R.; Squiban, P.; Salzberg, M.; Pless, M.; Herrmann, R.; Tartour, E.; Zhao, Y.; Bizouarne, N.; Baudin, M.; et al. Phase I immunotherapy with a modified vaccinia virus (MVA) expressing human MUC1 as antigen-specific immunotherapy in patients with MUC1-positive advanced cancer. J. Gene Med. 2003, 5, 690–699. [Google Scholar] [CrossRef]
- Ahn, J.Y.; Lee, J.; Suh, Y.S.; Song, Y.G.; Choi, Y.J.; Lee, K.H.; Seo, S.H.; Song, M.; Oh, J.W.; Kim, M.; et al. Safety and immunogenicity of two recombinant DNA COVID-19 vaccines containing the coding regions of the spike or spike and nucleocapsid proteins: An interim analysis of two open-label, non-randomised, phase 1 trials in healthy adults. Lancet Microbe 2022, 3, e173–e183. [Google Scholar] [CrossRef] [PubMed]
- Beck, A.P.; Meyerholz, D.K. Evolving challenges to model human diseases for translational research. Cell Tissue Res. 2020, 380, 305–311. [Google Scholar] [CrossRef] [PubMed]




| Tissue | Concentration for Lysis/Homogenization [mg/mL ± 10 %] | Tissue Amount [mg ± 10%] | 
|---|---|---|
| Lung | 100 | 30 | 
| Brain | 100 | 30 | 
| Heart | 100 | 30 | 
| Liver | 50 | 15 | 
| Spleen | 25 | 7.5 | 
| Kidney | 100 | 30 | 
| Ovaries | 40 | 12 | 
| Testes | 100 | 30 | 
| Injection site (muscle or tail) | 50 | 15 | 
| Mesenteric lymph nodes | 35 | 10.5 | 
| Feces | 50 | 15 | 
| Reagent | Sequence (5′→ 3′) | 
|---|---|
| Prime-2-CoV specific | |
| Forward primer ACC-275 | GCGGCGTATTCTTCTCGGAC | 
| Reverse primer ACC-277 | TCGATGCGGTGCAGCAC | 
| Probe ACC-276 | FAM-TGCGGTAGAAGCC-MGBEQ | 
| Rat specific | |
| Forward primer ACC-186 | TTGGAAGGTGAAGTGTGGTCTT | 
| Reverse primer ACC-187 | AGCTCAACCTGCTTCCTCTCTAT | 
| Probe ACC-188 | FAM-TTCAGCCTTCTGGAGAGGAGCC-BHQ1 | 
| Mouse specific | |
| Forward primer ACC-28 | TACCTGCAGCTGTACGCCAC | 
| Reverse primer ACC-29 | GCCAGGAGAATGAGGTGGTC | 
| Probe ACC-30 | TAMRA-CCTGCTGCTTATCGTGGCTG-BHQ2 | 
| Tissue/Biofluid | Administration Route: IM | Administration Route: IV | ||
|---|---|---|---|---|
| No. of Samples Analyses | No. of Prime-2-CoV Positive (>200 Calculated PFU) | No. of Samples Analyzed | No. of Prime-2-CoV Positive (>200 Calculated PFU) | |
| Blood | 30 | 0 | 30 | 12 | 
| Brain | 30 | 0 | 30 | 0 | 
| Faeces | 30 | 0 | 30 | 0 | 
| Heart | 30 | 1 | 30 | 1 | 
| Kidney | 30 | 0 | 30 | 0 | 
| Liver | 30 | 0 | 30 | 4 | 
| Lung | 30 | 2 | 30 | 3 | 
| Mesenteric lymph nodes | 30 | 0 | 30 | 0 | 
| Injection site | 29 | 15 | 30 | 21 | 
| Ovaries | 15 | 0 | 15 | 0 | 
| Saliva | 30 | 0 | 29 | 0 | 
| Spleen | 30 | 2 | 30 | 13 | 
| Testes | 15 | 0 | 15 | 0 | 
| Urine | 29* | 0 | 29 | 0 | 
| Total: | 388 | 20 | 388 | 54 | 
| Potential Risk | Measure | Assessed by | Risk Evaluation | 
|---|---|---|---|
| Risks Associated with the Parental Strain D1701-VrV Used for the Generation of Prime-2-CoV | |||
| Level of attenuation and the related risk of reversion to virulence | i. Detailed assessment of the history of parental virus strain including genomic alterations (e.g. loss of virulence factors) ii. Evaluation of pathogenicity in (immunocompromised) hosts | HisRA | Negligible | 
| Integration of ORFV sequences in recipient’s genome | i. Consideration of poxvirus-specific characteristic to replicate exclusively in cytoplasm, but not in nucleus. ii. Consultation of topic-related literature | LitRA + QRA | Negligible | 
| Risks of transmission of TSE/BSE and other viral contaminants | De-Risking process performed to dilute initial material by the factor 1034 | QRA | Negligible | 
| Risks Associated with integrated Transgenes | |||
| Intrinsic hazardous properties of the S and N antigens | Reviewing relevant literature to evaluate characteristics such as pathogenicity, toxicity, and oncogenic potential. | LitRA | Low | 
| Risks Associated with recombinant Prime-2-CoV vector | |||
| Lack of genetic stability and integrity of transgenes | Genomic stability and transgene expression assessment over 10 passages. | ExpRA | Low | 
| Impact on host range, cellular or tissue tropism | i. Biodistribution and pharmacokinetic study in rats and mice after IM and IV administration. ii. In vitro studies with ACE-2 expressing cell lines. | ExpRA | Negligible | 
| Impact on replication efficiency in vivo | Pharmacokinetic study in immunocompromised mice after IM and IV administration | ExpRA | Negligible | 
| Recombination probability between Prime-2-CoV and naturally occurring homologs | i. Consideration of factors: parapoxvirus incidence, route of administration (IM) vs. natural infection (skin), likelihood for recombination resulting in more virulent offspring. ii. Consultation of topic-related literature | LitRA + QRA | Negligible | 
| Spreading or dissemination of Prime-2-CoV to the environment | Assessment of Shedding of Prime-2-CoV in rats (IM and IV administration) and rabbits (IM administration) | ExpRA | Negligible | 
| Disclaimer/Publisher’s Note: The statements, opinions and data contained in all publications are solely those of the individual author(s) and contributor(s) and not of MDPI and/or the editor(s). MDPI and/or the editor(s) disclaim responsibility for any injury to people or property resulting from any ideas, methods, instructions or products referred to in the content. | 
© 2024 by the authors. Licensee MDPI, Basel, Switzerland. This article is an open access article distributed under the terms and conditions of the Creative Commons Attribution (CC BY) license (https://creativecommons.org/licenses/by/4.0/).
Share and Cite
Metz, C.; Haug, V.; Müller, M.; Amann, R. Pharmacokinetic and Environmental Risk Assessment of Prime-2-CoV, a Non-Replicating Orf Virus-Based Vaccine against SARS-CoV-2. Vaccines 2024, 12, 492. https://doi.org/10.3390/vaccines12050492
Metz C, Haug V, Müller M, Amann R. Pharmacokinetic and Environmental Risk Assessment of Prime-2-CoV, a Non-Replicating Orf Virus-Based Vaccine against SARS-CoV-2. Vaccines. 2024; 12(5):492. https://doi.org/10.3390/vaccines12050492
Chicago/Turabian StyleMetz, Carina, Verena Haug, Melanie Müller, and Ralf Amann. 2024. "Pharmacokinetic and Environmental Risk Assessment of Prime-2-CoV, a Non-Replicating Orf Virus-Based Vaccine against SARS-CoV-2" Vaccines 12, no. 5: 492. https://doi.org/10.3390/vaccines12050492
APA StyleMetz, C., Haug, V., Müller, M., & Amann, R. (2024). Pharmacokinetic and Environmental Risk Assessment of Prime-2-CoV, a Non-Replicating Orf Virus-Based Vaccine against SARS-CoV-2. Vaccines, 12(5), 492. https://doi.org/10.3390/vaccines12050492
 
        
 
       