A Feasibility Analysis of an Application-Based Partial Initialization (API) Protocol for Underwater Wireless Acoustic Sensor Networks
Abstract
1. Introduction
- Partial initialization. This protocol initializes as many nodes as required to execute a given application.
- Limited repetition. In a UWASN, communication failures frequently occur due to bad channel conditions, including natural or artificial noises as well as the Doppler effect [17]. This poor underwater environment makes it difficult for nodes to be initialized at once. Thus, the same process needs to be repeated in order to satisfy the application requirement.
- Simplicity. The method of initializing nodes is designed simply to be compatible with any network protocol. Accordingly, this protocol adopts the round-robin-based message exchange algorithm, which does not require scheduling, time synchronization, or retransmission.
- First, we investigate whether the API can obtain data whose statistics are similar to data that requires full initialization (FI). To do this, we perform a simulation that generates a random data set of all nodes periodically and chooses only some nodes randomly according to the application requirement. At each period, we calculate the statistics of the accumulated data sets of the API and the FI, respectively, and check their similarity. Using the results, we can conclude that partial initialization can be used instead of full initialization, provided that the similarity in the data statistics between the API and FI converges and exists within the target range.
- Second, we check how much the API can improve in performance over the FI. Intuitively, we can predict that the API can guarantee better performance than the FI in some aspects since the API can have a smaller number of active nodes. However, it is difficult to determine the degree of which the API can outperform the FI since it varies depending on the performance metrics. We consider two performance metrics: (1) the initialization delay and (2) the message overhead. The initialization delay measures how long the initialization takes to satisfy the requirement of a given application. The message overhead calculates the amount of the messages required for initialization, which is closely related to the energy efficiency. Furthermore, we execute simulations extensively by varying the application requirement, the randomness of the data, and the bit error rate of the acoustic channels to check the performance superiority of the API to the FI.
- The environmental observation-based applications that periodically measure various environmental information such as water quality, pollution, salinity, and temperature.
- The disaster prevention-based applications that monitor floods, earthquakes, and tsunamis in real time.
- The fisheries applications such as fish and shellfish farming.
2. Network Model
- The communication between a master node and slave nodes is based on a half-duplex scheme. That is, one acoustic channel in the frequency domain is used.
- A node can communicate with any nodes within its communication range by using an omni-directional antenna.
- Depending on the transmission power of acoustic signals, nodes can be connected with each other via either one-hop or multi-hop. In the initialization stage, it is assumed that any slave node can connect to a master node directly by sending signals with the maximum power.
- All nodes obtain sensing capability by having a sensor attached according to applications.
3. API Protocol
- A master node already knows the information of slave nodes, including their identification number and the number of slave nodes.
- Network protocol (e.g., MAC, routing, etc.) information required for the operational stage is fully delivered to all slave nodes by the master node through the initialization message.
- Once the initialization stage is terminated, the operational stage follows based on the given network protocol, which is controlled by the master node.
- It clearly shows the performance difference between the API and the FI by excluding complicated collisional situations.
- It reduces the algorithm complexity and enables the API to be compatible by avoiding complex scheduling or time synchronization.
- It focuses on enhancing the initialization success rate by avoiding performance degradation due to both transmission and reception collisions.
- Round. This is used to represent the repetition of the initialization process. As illustrated in Figure 2, a master node executes the one-to-one initialization with multiple slave nodes in one round. The index of a round is defined as . does not increase to infinity but can increase to the maximum value (), where is a network parameter and can be determined according to network conditions. Here, the round is simply denoted by .
- Sub-Round. This represents the order of the one-to-one initialization. In a sub-round, a master node initializes a slave node. The index of a sub-round is defined by .
- The number of sub-rounds of the round is defined as . As described earlier, a master node initializes as many slave nodes as the application requirement in the initialization stage. In , the number of sub-rounds should be at least the application requirement in order to perform a sufficient number of one-to-one initializations. Thus, is determined to be the same as the application requirement (i.e., the number of active nodes). If we define the number of slave nodes as , the range of is given as and determined according to the application requirement. If the channel condition is good, slave nodes can be initialized successfully in . Otherwise, the application requirement cannot be satisfied in and the next round () must be performed. Let us denote the number of slave nodes that were successfully initialized in as . The number of sub-rounds in can then be expressed as . If this is generalized to , can be expressed as:
- All sub-rounds are set to have the same time duration as in order to avoid a complex scheduling considering spatial-time reuse. The value of is determined by considering the maximum propagation delay between the master and a slave node, the transmission delay, and the guard time. As shown in Figure 2, the time duration of a round differs from each other because it depends on the number of sub-rounds. Hence, the time duration of can be obtained from the equation: .
- All parameters defined for the API are summarized in Table 2.
- (1)
- At the start of a round, a master node randomly chooses slave nodes among uninitialized slave nodes and activates the selected slave nodes via a one-by-one initialization process. The number of selected slave nodes and the selected slave nodes vary according to the initialization round. In the case of , a master node determines the number of sub-rounds as the same as the application requirement.
- (2)
- The master node then starts initializing slave nodes sequentially during sub-rounds. At each sub-round, the master node sends an initialization request message to one of the selected slave nodes and waits for the initialization response message from the slave node during . If the master node receives an initialization response from the slave node before the expiration of that sub-round, it adds the slave node to the initialization success list. Otherwise, the master node confirms that the slave node failed to be initialized in that round. This one-to-one initialization is performed in ascending order of the slave node index.
- (3)
- At the end of the round, the master node counts the number of slave nodes that were successfully initialized during , which is denoted by . Additionally, the master node calculates the accumulated number of slave nodes that have been successfully initialized until , denoted by . is expressed as . The master node then checks whether the number of accumulated slave nodes that are successfully initialized satisfies the application requirement (i.e., ).
- (4)
- If the application requirement is satisfied, the master node terminates the initialization stage and goes to the operational stage.
- (5)
- Otherwise, the master node increases the round index by 1 and checks whether the index exceeds the maximum number of rounds, .
- (6)
- If the increased index value exceeds , the master node also terminates the initialization stage. This extreme case implies that the underwater channel is disabled and a UWASN failure occurs. In this case, the network initialization process needs to be restarted when the channel condition is good.
- (7)
- Otherwise, the master proceeds to the next round and goes to Step 2.
| Algorithm 1. The pseudo code of the algorithm for a master node. | |
| 1: | for |
| 2: | if then |
| 3: | Set according to the application requirement. |
| 4: | else |
| 5: | Set |
| 6: | end if |
| 7: | Randomly select slave nodes among uninitialized slave nodes. |
| 8: | Set . |
| 9: | for |
| 10: | Send an initialization request message to an initialized slave node. |
| 11: | Wait for an initialization response message from the slave node during . |
| 12: | if the initialization response message is successfully received then |
| 13: | Set . |
| 14: | end if |
| 15: | end for |
| 16: | Calculate . |
| 17: | if then |
| 18: | Terminate the initialization stage, and break the for-loop |
| 19: | else |
| 20: | Go to Step 2. |
| 21: | end if |
| 22: | end for |
4. Feasibility Test of the API Protocol via Simulations
4.1. Feasibility Test of Partial Initialization
4.1.1. Simulation Operation and Conditions for Testing the Feasibility of the API Protocol
- The simulation considers the uplink data transmission between a master node and several slave nodes in the operational stage.
- All the slave nodes generate random data of which value is randomly distributed according to the given data distribution.
- In the beginning of the simulation, some of them are randomly chosen according to the given application requirement. The application requirement is the ratio of the number of successfully initialized slave nodes to the total number of slave nodes in the network, which is also referred to as the initialization rate.
- The selected slave nodes are then put in the operational stage, and thus transmits data to a master node with respect to simulation time. It is assumed that there is no packet loss due to channel contentions.
- Depending on the given BER, an error may occur in the data transmitted by the slave node.
- This same data transmission process is repeated up to the given number of transmissions at the end of a simulation.
- At each transmission, the statistics of the accumulated data until current transmission for both the API and the FI are driven by the master node, respectively. By using the obtained statistics of both cases, the similarity is also obtained. The pattern of similarity is then checked.
- Simulations are executed case by case by changing the number of slave nodes, the BER, the type of data randomness, the initialization rate, and the standard deviation of data.
- The value of BER is .
- The number of transmissions is 1000.
- The number of slave nodes is 10, 30, and 50.
- The initialization rates are set to 10%, 30%, 50%, 70%, and 100%. The FI is nothing, but the case of the initialization rate of 100%, which implies that all the slave nodes need to be initialized.
- It is difficult to predict the data model because the characteristics of the generated data vary depending on the underwater applications. In addition, the randomness of data distribution may further increase due to the unreliability of underwater acoustic communications. Therefore, the normal distribution is primarily employed in our simulations in consideration of the following reason. Based on the Central Limit Theorem (CLT), the measured data (or random variable) in underwater wireless networks is expected to follow the normal distribution with high probability because the measured random variable can be the sum of many independent random variables which were affected by many different natural phenomena in underwater. As shown in Figure 3a, the generated data for the simulations follows a normal distribution with the mean value of 1 and the STDs of 5, 10, and 20.
- In addition, the uniform distribution is also applied in simulations in order to investigate the feasibility of the API according to the type of data distributions. The uniform distribution is a typical probability density function(pdf) which is different from the normal distribution, is also simple and easily analyzed after obtaining the simulation results. Another data following a uniform distribution are in the range of [−10,10] (i.e., ), [−20,20] (i.e., ), and [−40,40] (i.e., ), as illustrated in Figure 3b.
4.1.2. Results
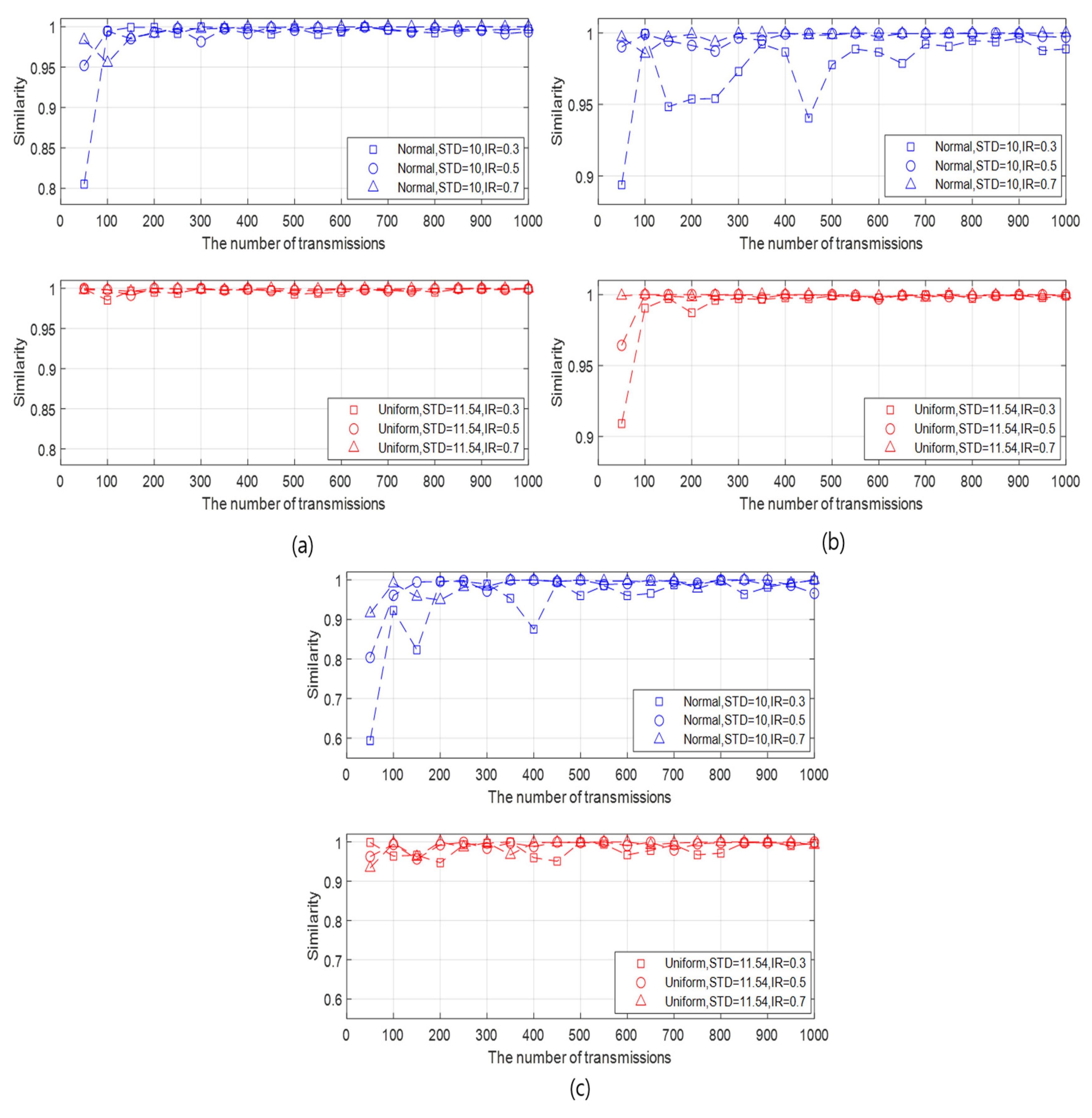
- It can be intuitively predicted that the higher similarity is guaranteed as the initialization rate becomes higher and the STD of the generated data set is lower. This prediction is confirmed in various cases by changing the STD of the generated data and the initialization rate, as illustrated in Figure 4a–d.
- As the number of transmissions increases, the overall similarity pattern fluctuates in the beginning and then converges after a certain number of transmissions. The larger the initialization rate, the smaller the number of transmissions where the similarity converges.
- The similarity increases as the initialization rate increases under the given data type and STDs. In addition, as the initialization rate increases, the variation of the similarity with respect to the number of transmissions decreases, as well as the effect of the STD on the similarity is weak. This result is due to the number of samples for which data statistics are obtained. When the initialization rate is high, the number active nodes also increases, which implies the increase of the number of samples. As more samples are accumulated, the similarity between the data statistics of the API and the FI also increases.
- Compared with the data with normal distribution, the data with uniform distribution guarantees slightly high similarity in most cases. This result is confirmed by Figure 4, Figure 5 and Figure 6. However, the similarity difference between two data types is unremarkable except the case where the initialization rate is very low and the standard deviation of the generated data is high, as shown in Figure 4a. When the initialization rate is low, the number of samples also decreases. In this case, the probability, that the data obtained from the active nodes by the API are near the mean, can be high in the normal distribution. This can increase the difference between the data obtained by the API and that by the FI since the FI obtains the data from all nodes. On the other hand, in the uniform distribution, the data are evenly spread depending on the standard deviation. Thus, the difference between the data by the API and that by the FI in the uniform distribution is less significant than that in the normal distribution. This leads to a similarity difference between the two distributions in the case.
- It can be seen that, except for the case where the initialization rate is very low, say 10%, the similarity is at least 90% under the given data type and STDs. Although it is confirmed that the API can be feasible to the given data type based on the simulation results, it cannot be generalized that the API can be effectively applied to all data models. Depending on the underwater application, there can be other data distributions for which the API do not operate properly, and thus the network must be initialized close to the FI (full initialization) by increasing the number of active nodes.
- It can be intuitively predicted that the higher similarity is guaranteed as the BER is lower. This prediction is checked by varying the BER and the initialization rate, as illustrated in Figure 5a–c.
- As the BER decreases, the similarity becomes higher and more fluctuated according to the number of transmissions.
- The similarity of the generated data with normal distribution is lower than that with uniform distribution as the BER increases.
- However, the similarity is over 90% after a certain number of transmissions even when the BER is
- As a result, even if a transmission failure occurs due to a slightly poor channel condition, it can be seen that the data statistics of the API and the FI have similarity.
- As the number of slave nodes increases, the amount of data to be applied to the data statistics also increases. It is shown that the increase of the number of slave nodes affects the similarity differently according to the type of data.
- In the generated data with normal distribution, the higher the number of slave nodes, the faster the similarity reaches 90%. In addition, as the number of slave nodes increases, the similarity also increases, as shown in Figure 6a–c.
- On the contrary, in the generated data with uniform distribution, the similarity variation with respect to the number of slave nodes is unremarkable.
- As a result, the number of slave nodes can affect the similarity differently depending on the type of data distribution. In addition, if the number of slave nodes has influence on the similarity, the similarity increases as its value increases.
4.2. Performance Analysis of the API Protocol
4.2.1. Simulation Operation and Conditions for Analyzing the Performance of the API Protocol
- The simulation considers the initialization stage between a master node and a number of slave nodes.
- The position of a master node and slave nodes are randomly determined in the beginning of a simulation. It is assumed that the master node and any slave node can be connected directly in the initialization stage.
- A master node and slave nodes operate based on the initialization process as specified in Section 3.
- In the simulation, an initialization process between a master node and slave nodes can be executed up to times. is given as the same as the number of slave nodes. This is determined based on the assumption that at least one slave node can be initialized in one round such that as many rounds as the number of all the slave nodes can be iterated in the worst case.
- At the end of one process, the master node calculates the initialization success rate, and compares it to the given application requirement.
- Simulations are executed case by case with respect to the initialization rate and bit error rate (BER).
- For one case with a fixed BER and initialization rate, 10,000 simulation tests are performed, and the average values of the performance metrics are derived. After performing the simulation tests in the same way by changing the BER and the initialization rate, the performance of the API, and the FI are analyzed and compared with each other.
- The number of simulation experiments per case is 10,000.
- The number of slave nodes is 100.
- The maximum number of initialization repetitions is 100.
- The initialization rate is 0.2:0.2:1.0.
- The length of initialization messages is 100 bits.
- The BERs are , 3 and 0.
4.2.2. Initialization Time
4.2.3. Message Overhead
5. Discussion
Author Contributions
Funding
Conflicts of Interest
References
- Chitre, M.; Shahabudeen, S.; Stojanovic, M. Underwater acoustic communications and networking: Recent advances and future challenge. Mar. Technol. Soc. J. 2008, 42, 103–116. [Google Scholar] [CrossRef]
- Murad, M.; Sheikh, A.; Manzoor, M.; Felemban, E.; Qaisar, S. A survey on current underwater acoustic sensor network application. Int. J. Comput. Theory Eng. 2015, 7, 51–56. [Google Scholar] [CrossRef]
- Underwater Wireless Communication Market—Global Drivers, Opportunities, Trends, and Forecasts to 2022. Available online: https://www.globenewswire.com/news-release/2017/06/09/1011958/0/en/Underwater-Wireless-Communication-Market-Global-Drivers-Opportunities-Trends-and-Forecasts-to-2022.html (accessed on 1 August 2020).
- Yun, C.; Cho, A.; Kim, S.; Park, J.; Lim, Y. A hierarchical time division multiple access medium access control protocol for clustered underwater acoustic networks. J. Inf. Commn. Converg. Eng. 2013, 11, 153–166. [Google Scholar] [CrossRef][Green Version]
- Park, M.; Rodoplu, V. UWAN-MAC: An energy-efficient MAC protocol for underwater acoustic wireless sensor networks. IEEE J. Ocean. Eng. 2007, 32, 710–720. [Google Scholar] [CrossRef]
- Ng, H.; Soh, W.; Motani, M. BiC-MAC: Bidirectional-concurrent MAC protocol with packet bursting for underwater acoustic networks. In Proceedings of the IEEE Oceans 2010, Seattle, WA, USA, 20–23 September 2010. [Google Scholar]
- Yang, M.; Gao, M.; Foh, C.; Cai, J.; Chatzimisios, P. DC-MAC: A data-centric multi-hop MAC protocol for underwater acoustic sensor networks. In Proceedings of the IEEE ISCC 2011, Kerkyra, Greece, 28 June–1 July 2011. [Google Scholar]
- Khalil, I.; Gadallah, Y.; Hayajneh, M.; Khreishah, A. An adaptive OFDMA-based MAC protocol for underwater acoustic wireless sensor networks. J. Sens. 2012, 2012, 8782–8805. [Google Scholar] [CrossRef] [PubMed]
- Kleunen, W.; Meratnia, N.; Havinga, P. MDS-MAC: A scheduled MAC for localization, time-synchronization and communication in underwater acoustic networks. In Proceedings of the CSE 2012, Nicosia, Cyprus, 5–7 December 2012. [Google Scholar]
- Santos, R.; Orozco, J.; Ochoa, S.; Meseguer, R.; Eggly, G.; Pistonesi, M. A MAC protocol to support monitoring of underwater spaces. J. Sens. 2016, 16, 984. [Google Scholar] [CrossRef] [PubMed]
- Morozs, N.; Mitchell, P.; Zakharov, Y. TDA-MAC: TDMA without clock synchronization in underwater acoustic networks. IEEE Access 2017, 6, 1091–1108. [Google Scholar] [CrossRef]
- Zhuo, X.; Qu, F.; Yang, H.; Wu, Y. Time-based adaptive collision-avoidance real-time MAC protocol for underwater acoustic sensor networks. In Proceedings of the WUWNet 2018, Shenzhen, China, 3–5 December 2018. [Google Scholar]
- Sozer, E.; Stojanovic, M.; Proakis, J. Initialization and routing optimization for ad hoc underwater acoustic networks. In Proceedings of the OPNETWORK 2000, Washington, DC, USA, 28 August–1 September 2000. [Google Scholar]
- Basagni, S.; Petrioli, C.; Petroccia, R.; Spaccini, D. CARP: A channel-aware routing protocol for underwater acoustic wireless networks. J. Adhoc Netw. 2015, 34, 92–104. [Google Scholar] [CrossRef]
- Kim, H.; Cho, H. SOUNET: Self-Organized underwater wireless sensor network. J. Sens. 2017, 17, 283. [Google Scholar] [CrossRef] [PubMed]
- Patil, A.; Stojanovic, M. A node discovery protocol for ad hoc underwater acoustic networks. Wirel. Commun. Mob. Comput. 2013, 2013, 277–295. [Google Scholar] [CrossRef]
- Yun, C.; Choi, S. A new resource allocation protocol for the backhaul of underwater cellular wireless networks. J. Appl. Sci. 2018, 2018, 178. [Google Scholar] [CrossRef]
- Kao, C.; Lin, Y.; Wu, G.; Huang, C. A comprehensive study on the Internet of underwater things: Applications, challenges, and channel models. Sensors 2017, 17, 1477. [Google Scholar] [CrossRef] [PubMed]
- Akyildiz, F.; Pompili, D.; Melodia, T. State-of-the-art in protocol research for underwater acoustic sensor networks. ACM Sigmobile Mob. Comput. Commun. Rev. 2007, 11, 11–220. [Google Scholar] [CrossRef]
- Manjula, R.; Sunilkumar, S. Issues in underwater acoustic sensor networks. Int. J. Comput. Electr. Eng. 2011, 3, 101–110. [Google Scholar]
- Farizah, Y.; Sharifah, H.; Yasser, Z. A survey of existing medium access control (MAC) for underwater wireless sensor network (UWSN). In Proceedings of the 4th Asia International Conference on Mathematical/Analytical Modelling and Computer Simulation 2010, Bornea, Malaysia, 26–28 May 2010. [Google Scholar]
- Dhawan, J.; Singh, K. Comparison of various similarity measure techniques for generating recommendations for e-commerce sites and social websites. Am. Int. J. Res. Sci. Technol. Eng. Math 2015, 11, 219–221. [Google Scholar]










| Previous Work | Main Protocol | Initialization Method | |
|---|---|---|---|
| Channel Access | Procedure | ||
| Park et al. (2007) [5] | MAC | Random access | SYNC broadcast among nodes |
| Ng et al. (2010) [6] | Undefined | Corresponding message broadcast among nodes | |
| Yang et al. (2011) [7] | Undefined | Short INIT flooding from sink to sensors under tree topology | |
| Khalil et al. (2012) [8] | Random access + back-off | An initiator broadcasts Pilot, and others send resend or success reply. | |
| Kleunen et al. (2012) [9] | Scheduled | Corresponding message broadcast among nodes | |
| Yun et al. (2013) [4] | TDMA | Corresponding message broadcast among nodes | |
| Santos et al. (2016) [10] | TDMA | An initiator broadcasts SYNC, and others send ASYNC. | |
| Morozs et al. (2017) [11] | Scheduled | Ping broadcast among nodes | |
| Zhuo et al. (2018) [12] | Scheduled | An initiator broadcasts IRES, and others send IRP. | |
| Sozer et al. (2000) [13] | Routing | Undefined | An initiator broadcasts Polling, and others send Response. |
| Basagni et al. (2015) [14] | Undefined | Hello flooding | |
| Kim et al. (2017) [15] | Undefined | Hello flooding | |
| Patil et al. (2011) [16] | Node discovery | ALOHA | Corresponding message broadcast among nodes |
| Parameters | Description |
|---|---|
| The number of slave nodes | |
| The maximum number of repetitions (or rounds) | |
| An index of a round () | |
| The round | |
| The number of sub-rounds in | |
| The number of slave nodes that are successfully initialized in | |
| An index of a sub-round | |
| The sub-round | |
| The time duration of a sub-round | |
| The accumulated number of slave nodes that are successfully initialized until |
© 2020 by the authors. Licensee MDPI, Basel, Switzerland. This article is an open access article distributed under the terms and conditions of the Creative Commons Attribution (CC BY) license (http://creativecommons.org/licenses/by/4.0/).
Share and Cite
Yun, C.; Choi, S. A Feasibility Analysis of an Application-Based Partial Initialization (API) Protocol for Underwater Wireless Acoustic Sensor Networks. Sensors 2020, 20, 5635. https://doi.org/10.3390/s20195635
Yun C, Choi S. A Feasibility Analysis of an Application-Based Partial Initialization (API) Protocol for Underwater Wireless Acoustic Sensor Networks. Sensors. 2020; 20(19):5635. https://doi.org/10.3390/s20195635
Chicago/Turabian StyleYun, Changho, and Suhan Choi. 2020. "A Feasibility Analysis of an Application-Based Partial Initialization (API) Protocol for Underwater Wireless Acoustic Sensor Networks" Sensors 20, no. 19: 5635. https://doi.org/10.3390/s20195635
APA StyleYun, C., & Choi, S. (2020). A Feasibility Analysis of an Application-Based Partial Initialization (API) Protocol for Underwater Wireless Acoustic Sensor Networks. Sensors, 20(19), 5635. https://doi.org/10.3390/s20195635
