Polysaccharide-Based Nanomedicines Targeting Lung Cancer
Abstract
1. Introduction
2. Selection of Literature
3. Pathophysiology of Lung Cancer
4. Role of Polysaccharide-Based Nanomedicines in Lung Cancer
4.1. Chitosan-Based Nanomedicines
4.2. Hyaluronic Acid-Based Nanomedicines
4.3. Alginate-Based Nanomedicines
4.4. Pectin-Based Nanomedicines
4.5. Chondroitin-Based Nanomedicines
4.6. Combination-Based Polysaccharide Nanomedicines
4.6.1. Alginate and Chitosan-Based Nanomedicines
4.6.2. Hyaluronic Acid and Chitosan-Based Nanomedicines
4.6.3. Chitosan and Agarose Based Nanomedicines
5. Conclusions and Future Perspective
Author Contributions
Funding
Institutional Review Board Statement
Informed Consent Statement
Data Availability Statement
Conflicts of Interest
References
- Bray, F.; Laversanne, M.; Weiderpass, E.; Soerjomataram, I. The ever-increasing importance of cancer as a leading cause of premature death worldwide. Cancer 2021, 127, 3029–3030. [Google Scholar] [CrossRef] [PubMed]
- Cento, J.V.; Barbaliscia, S.; Perno, C.F. Biotech innovations in the prevention of respiratory infectious diseases. New Microbiol. 2017, 40, 155–160. [Google Scholar] [PubMed]
- Nagasaka, M.; Gadgeel, S.M. Role of chemotherapy and targeted therapy in early-stage non-small cell lung cancer. Expert Rev. Anticancer. Ther. 2018, 18, 63–70. [Google Scholar] [CrossRef] [PubMed]
- Da Silva, A.L.; Santos, R.S.; Xisto, D.G.; Alonso Sdel, V.; Morales, M.M.; Rocco, P.R. Nanoparticle-based therapy for respiratory diseases. An. Acad. Bras. Cienc. 2013, 85, 137–146. [Google Scholar] [CrossRef] [PubMed]
- Homayoonnia, S.; Lee, Y.; Andalib, D.; Rahman, M.S.; Shin, J.; Kim, K.; Kim, S. Micro/nanotechnology-inspired rapid diagnosis of respiratory infectious diseases. Biomed. Eng. Lett. 2021, 11, 335–365. [Google Scholar] [CrossRef]
- Luo, M.X.; Hua, S.; Shang, Q.Y. Application of nanotechnology in drug delivery systems for respiratory diseases (Review). Mol. Med. Rep. 2021, 23, 325. [Google Scholar] [CrossRef]
- Mehta, M.; Satija, S.; Paudel, K.R.; Malyla, V.; Kannaujiya, V.K.; Chellappan, D.K.; Bebawy, M.; Hansbro, P.M.; Wich, P.R.; Dua, K. Targeting respiratory diseases using miRNA inhibitor based nanotherapeutics: Current status and future perspectives. Nanomedicine 2021, 31, 102303. [Google Scholar] [CrossRef]
- Pison, U.; Welte, T.; Giersig, M.; Groneberg, D.A. Nanomedicine for respiratory diseases. Eur. J. Pharm. 2006, 533, 341–350. [Google Scholar] [CrossRef]
- Prasher, P.; Sharma, M.; Chellappan, D.K.; Gupta, G.; Jha, N.K.; Singh, S.K.; MacLoughlin, R.; Pinto, T.J.A.; Löbenberg, R.; Dua, K. Advanced drug delivery systems targeting NF-κB in respiratory diseases. Future Med. Chem. 2021, 13, 1087–1090. [Google Scholar] [CrossRef]
- Scherließ, R. Future of nanomedicines for treating respiratory diseases. Expert Opin. Drug. Deliv. 2019, 16, 59–68. [Google Scholar] [CrossRef]
- Naikoo, G.A.; Awan, T.; Hassan, I.U.; Salim, H.; Arshad, F.; Ahmed, W.; Asiri, A.M.; Qurashi, A. Nanomaterials-Based Sensors for Respiratory Viral Detection: A Review. IEEE Sens. J. 2021, 21, 17643–17656. [Google Scholar] [CrossRef] [PubMed]
- Pacurari, M.; Lowe, K.; Tchounwou, P.B.; Kafoury, R. A Review on the Respiratory System Toxicity of Carbon Nanoparticles. Int. J. Environ. Res. Public Health 2016, 13, 325. [Google Scholar] [CrossRef] [PubMed]
- Zeng, Y.; Xiang, Y.; Sheng, R.; Tomás, H.; Rodrigues, J.; Gu, Z.; Zhang, H.; Gong, Q.; Luo, K. Polysaccharide-based nanomedicines for cancer immunotherapy: A review. Bioact. Mater. 2021, 6, 3358–3382. [Google Scholar] [CrossRef] [PubMed]
- Zaheer, T.; Pal, K.; Zaheer, I. Topical review on nano-vaccinology: Biochemical promises and key challenges. Process. Biochem. 2021, 100, 237–244. [Google Scholar] [CrossRef]
- Basak, D.; Arrighi, S.; Darwiche, Y.; Deb, S. Comparison of Anticancer Drug Toxicities: Paradigm Shift in Adverse Effect Profile. Life 2021, 12, 48. [Google Scholar] [CrossRef]
- Dela Cruz, C.S.; Tanoue, L.T.; Matthay, R.A. Lung cancer: Epidemiology, etiology, and prevention. Clin. Chest Med. 2011, 32, 605–644. [Google Scholar] [CrossRef]
- Miller, Y.E. Pathogenesis of lung cancer: 100 year report. Am. J. Respir. Cell Mol. Biol. 2005, 33, 216–223. [Google Scholar] [CrossRef]
- Seale, D.D.; Beaver, B.M. Pathophysiology of lung cancer. Nurs. Clin. N. Am. 1992, 27, 603–613. [Google Scholar] [CrossRef]
- Latimer, K.M. Lung Cancer: Clinical Presentation and Diagnosis. FP Essent. 2018, 464, 23–26. [Google Scholar]
- Ravimohan, S.; Kornfeld, H.; Weissman, D.; Bisson, G.P. Tuberculosis and lung damage: From epidemiology to pathophysiology. Eur. Respir. Rev. Off. J. Eur. Respir. Soc. 2018, 27, 1770077. [Google Scholar] [CrossRef]
- Dracham, C.B.; Shankar, A.; Madan, R. Radiation induced secondary malignancies: A review article. Radiat. Oncol. J. 2018, 36, 85–94. [Google Scholar] [CrossRef] [PubMed]
- Kim, C.J.; Freedman, D.M.; Curtis, R.E.; Berrington de Gonzalez, A.; Morton, L.M. Risk of non-Hodgkin lymphoma after radiotherapy for solid cancers. Leuk. Lymphoma 2013, 54, 1691–1697. [Google Scholar] [CrossRef] [PubMed]
- Pavanello, S.; Dioni, L.; Hoxha, M.; Fedeli, U.; Mielzynska-Svach, D.; Baccarelli, A.A. Mitochondrial DNA copy number and exposure to polycyclic aromatic hydrocarbons. Cancer Epidemiol. Biomark. Prev. A Publ. Am. Assoc. Cancer Res. Cosponsored By Am. Soc. Prev. Oncol. 2013, 22, 1722–1729. [Google Scholar] [CrossRef] [PubMed]
- Cirillo, G.; Pantuso, E.; Curcio, M.; Vittorio, O.; Leggio, A.; Iemma, F.; De Filpo, G.; Nicoletta, F.P. Alginate Bioconjugate and Graphene Oxide in Multifunctional Hydrogels for Versatile Biomedical Applications. Molecules 2021, 26, 1355. [Google Scholar] [CrossRef]
- Matha, K.; Lollo, G.; Taurino, G.; Respaud, R.; Marigo, I.; Shariati, M.; Bussolati, O.; Vermeulen, A.; Remaut, K.; Benoit, J.P. Bioinspired hyaluronic acid and polyarginine nanoparticles for DACHPt delivery. Eur. J. Pharm. Biopharm. Off. J. Arb. Fur. Pharm. Verfahr. 2020, 150, 1–13. [Google Scholar] [CrossRef]
- Pooladanda, V.; Thatikonda, S.; Muvvala, S.P.; Devabattula, G.; Godugu, C. BRD4 targeting nanotherapy prevents lipopolysaccharide induced acute respiratory distress syndrome. Int. J. Pharm. 2021, 601, 120536. [Google Scholar] [CrossRef]
- Prasher, P.; Sharma, M.; Wich, P.R.; Jha, N.K.; Singh, S.K.; Chellappan, D.K.; Dua, K. Can dextran-based nanoparticles mitigate inflammatory lung diseases? Future Med. Chem. 2021, 13, 2027–2031. [Google Scholar] [CrossRef]
- Cui, H.; Wang, Y.; Chen, L.; Qian, M.; Zhang, L.; Zheng, X.; Yang, X.; Chen, L.; Zhao, Y.; Chen, Q.; et al. Chemotherapeutic potency stimulated by SNAI1-knockdown based on multifaceted nanomedicine. J. Control. Release Off. J. Control. Release Soc. 2021, 337, 343–355. [Google Scholar] [CrossRef]
- Miao, Y.Q.; Chen, M.S.; Zhou, X.; Guo, L.M.; Zhu, J.J.; Wang, R.; Zhang, X.X.; Gan, Y. Chitosan oligosaccharide modified liposomes enhance lung cancer delivery of paclitaxel. Acta Pharmacol. Sin. 2021, 42, 1714–1722. [Google Scholar] [CrossRef]
- Liang, X.; Liang, X. Chondroitin sulfate modified and adriamycin preloaded hybrid nanoparticles for tumor-targeted chemotherapy of lung cancer. Kaohsiung J. Med. Sci. 2021, 37, 411–418. [Google Scholar] [CrossRef]
- TM, M.W.; Lau, W.M.; Khutoryanskiy, V.V. Chitosan and Its Derivatives for Application in Mucoadhesive Drug Delivery Systems. Polymers 2018, 10, 267. [Google Scholar] [CrossRef]
- Kean, T.; Thanou, M. Biodegradation, biodistribution and toxicity of chitosan. Adv. Drug Deliv. Rev. 2010, 62, 3–11. [Google Scholar] [CrossRef] [PubMed]
- Rodrigues, S.; Dionísio, M.; López, C.R.; Grenha, A. Biocompatibility of chitosan carriers with application in drug delivery. J. Funct. Biomater. 2012, 3, 615–641. [Google Scholar] [CrossRef] [PubMed]
- de Queiroz Antonino, R.; Lia Fook, B.R.P.; de Oliveira Lima, V.A.; de Farias Rached, R.; Lima, E.P.N.; da Silva Lima, R.J.; Peniche Covas, C.A.; Lia Fook, M.V. Preparation and Characterization of Chitosan Obtained from Shells of Shrimp (Litopenaeus vannamei Boone). Mar. Drugs 2017, 15, 141. [Google Scholar] [CrossRef] [PubMed]
- Chatterjee, S.; Hui, P.C.; Siu, W.S.; Kan, C.W.; Leung, P.C.; Wanxue, C.; Chiou, J.C. Influence of pH-responsive compounds synthesized from chitosan and hyaluronic acid on dual-responsive (pH/temperature) hydrogel drug delivery systems of Cortex Moutan. Int. J. Biol. Macromol. 2021, 168, 163–174. [Google Scholar] [CrossRef]
- Areevijit, K.; Dhanesuan, N.; Luckanagul, J.A.; Rungsiyanont, S. Biocompatibility study of modified injectable hyaluronic acid hydrogel with mannitol/BSA to alveolar bone cells. J. Biomater. Appl. 2021, 35, 1294–1303. [Google Scholar] [CrossRef]
- Zhong, S.P.; Campoccia, D.; Doherty, P.J.; Williams, R.L.; Benedetti, L.; Williams, D.F. Biodegradation of hyaluronic acid derivatives by hyaluronidase. Biomaterials 1994, 15, 359–365. [Google Scholar] [CrossRef]
- Richter, W. Non-immunogenicity of purified hyaluronic acid preparations tested by passive cutaneous anaphylaxis. Int. Arch. Allergy Appl. Immunol. 1974, 47, 211–217. [Google Scholar] [CrossRef]
- Juncan, A.M.; Moisă, D.G.; Santini, A.; Morgovan, C.; Rus, L.L.; Vonica-Țincu, A.L.; Loghin, F. Advantages of Hyaluronic Acid and Its Combination with Other Bioactive Ingredients in Cosmeceuticals. Molecules 2021, 26, 4429. [Google Scholar] [CrossRef]
- Machado, V.; Morais, M.; Medeiros, R. Hyaluronic Acid-Based Nanomaterials Applied to Cancer: Where Are We Now? Pharmaceutics 2022, 14, 2092. [Google Scholar] [CrossRef]
- Ernst, H.; Zanin, M.K.; Everman, D.; Hoffman, S. Receptor-mediated adhesive and anti-adhesive functions of chondroitin sulfate proteoglycan preparations from embryonic chicken brain. J. Cell Sci. 1995, 108 (Pt 12), 3807–3816. [Google Scholar] [CrossRef]
- Kofuji, K.; Ito, T.; Murata, Y.; Kawashima, S. Effect of chondroitin sulfate on the biodegradation and drug release of chitosan gel beads in subcutaneous air pouches of mice. Biol. Pharm. Bull. 2002, 25, 268–271. [Google Scholar] [CrossRef] [PubMed]
- Volpi, N. Oral bioavailability of chondroitin sulfate (Condrosulf) and its constituents in healthy male volunteers. Osteoarthr. Cartil. 2002, 10, 768–777. [Google Scholar] [CrossRef] [PubMed]
- Mihajlovic, M.; Rikkers, M.; Mihajlovic, M.; Viola, M.; Schuiringa, G.; Ilochonwu, B.C.; Masereeuw, R.; Vonk, L.; Malda, J.; Ito, K.; et al. Viscoelastic Chondroitin Sulfate and Hyaluronic Acid Double-Network Hydrogels with Reversible Cross-Links. Biomacromolecules 2022, 23, 1350–1365. [Google Scholar] [CrossRef] [PubMed]
- Moslemi, M. Reviewing the recent advances in application of pectin for technical and health promotion purposes: From laboratory to market. Carbohydr. Polym. 2021, 254, 117324. [Google Scholar] [CrossRef] [PubMed]
- An, H.; Yang, Y.; Zhou, Z.; Bo, Y.; Wang, Y.; He, Y.; Wang, D.; Qin, J. Pectin-based injectable and biodegradable self-healing hydrogels for enhanced synergistic anticancer therapy. Acta Biomater. 2021, 131, 149–161. [Google Scholar] [CrossRef] [PubMed]
- de Freitas, C.M.P.; Júnior, D.B.S.; Martins, R.D.; Dias, M.; Coimbra, J.; de Sousa, R.C.S. Simulation of ethanol recovery and economic analysis of pectin production on an industrial scale. Bioprocess. Biosyst. Eng. 2021, 44, 1639–1647. [Google Scholar] [CrossRef]
- Garthoff, J.A.; Heemskerk, S.; Hempenius, R.A.; Lina, B.A.; Krul, C.A.; Koeman, J.H.; Speijers, G.J. Safety evaluation of pectin-derived acidic oligosaccharides (pAOS): Genotoxicity and sub-chronic studies. Regul. Toxicol. Pharmacol. RTP 2010, 57, 31–42. [Google Scholar] [CrossRef]
- Sacks, D.; Baxter, B.; Campbell, B.C.V.; Carpenter, J.S.; Cognard, C.; Dippel, D.; Eesa, M.; Fischer, U.; Hausegger, K.; Hirsch, J.A.; et al. Multisociety Consensus Quality Improvement Revised Consensus Statement for Endovascular Therapy of Acute Ischemic Stroke. Int. J. Stroke Off. J. Int. Stroke Soc. 2018, 13, 612–632. [Google Scholar] [CrossRef]
- Mura, P.; Maestrelli, F.; Cirri, M.; Mennini, N. Multiple Roles of Chitosan in Mucosal Drug Delivery: An Updated Review. Mar. Drugs 2022, 20, 335. [Google Scholar] [CrossRef]
- Cheung, R.C.; Ng, T.B.; Wong, J.H.; Chan, W.Y. Chitosan: An Update on Potential Biomedical and Pharmaceutical Applications. Mar. Drugs 2015, 13, 5156–5186. [Google Scholar] [CrossRef]
- Rasul, R.M.; Tamilarasi Muniandy, M.; Zakaria, Z.; Shah, K.; Chee, C.F.; Dabbagh, A.; Rahman, N.A.; Wong, T.W. A review on chitosan and its development as pulmonary particulate anti-infective and anti-cancer drug carriers. Carbohydr. Polym. 2020, 250, 116800. [Google Scholar] [CrossRef]
- Viswanadh, M.K.; Vikas; Jha, A.; Reddy Adena, S.K.; Mehata, A.K.; Priya, V.; Neogi, K.; Poddar, S.; Mahto, S.K.; Muthu, M.S. Formulation and in vivo efficacy study of cetuximab decorated targeted bioadhesive nanomedicine for non-small-cell lung cancer therapy. Nanomedicine 2020, 15, 2345–2367. [Google Scholar] [CrossRef]
- Arya, N.; Katti, D.S. Poly(d,l-lactide-co-glycolide)-chitosan composite particles for the treatment of lung cancer. Int. J. Nanomed. 2015, 10, 2997–3011. [Google Scholar] [CrossRef]
- Cirillo, G.; Vittorio, O.; Kunhardt, D.; Valli, E.; Voli, F.; Farfalla, A.; Curcio, M.; Spizzirri, U.G.; Hampel, S. Combining Carbon Nanotubes and Chitosan for the Vectorization of Methotrexate to Lung Cancer Cells. Materials 2019, 12, 2889. [Google Scholar] [CrossRef]
- Seifi-Najmi, M.; Hajivalili, M.; Safaralizadeh, R.; Sadreddini, S.; Esmaeili, S.; Razavi, R.; Ahmadi, M.; Mikaeili, H.; Baradaran, B.; Shamsasenjan, K.; et al. SiRNA/DOX lodeded chitosan based nanoparticles: Development, Characterization and in vitro evaluation on A549 lung cancer cell line. Cell. Mol. Biol. 2016, 62, 87–94. [Google Scholar]
- Ma, D.; Han, T.; Karimian, M.; Abbasi, N.; Ghaneialvar, H.; Zangeneh, A. Immobilized Ag NPs on chitosan-biguanidine coated magnetic nanoparticles for synthesis of propargylamines and treatment of human lung cancer. Int. J. Biol. Macromol. 2020, 165, 767–775. [Google Scholar] [CrossRef]
- Bharathi, D.; Ranjithkumar, R.; Chandarshekar, B.; Bhuvaneshwari, V. Bio-inspired synthesis of chitosan/copper oxide nanocomposite using rutin and their anti-proliferative activity in human lung cancer cells. Int. J. Biol. Macromol. 2019, 141, 476–483. [Google Scholar] [CrossRef]
- Sudha, P.N.; Rose, M.H. Beneficial effects of hyaluronic acid. Adv. Food Nutr. Res. 2014, 72, 137–176. [Google Scholar] [CrossRef]
- Boeriu, C.; Springer, J.; Kooy, F.; Broek, L.; Eggink, G. Production Methods for Hyaluronan. Int. J. Carbohydr. Chem. 2013, 2013, 14. [Google Scholar] [CrossRef]
- Saranraj, P.; Naidu, M.A. Hyaluronic acid production and its applications—A review. Int. J. Pharm. Biol. Arch. 2013, 4, 853–859. [Google Scholar]
- Rodriguez-Marquez, C.D.; Arteaga-Marin, S.; Rivas-Sánchez, A.; Autrique-Hernández, R.; Castro-Muñoz, R. A Review on Current Strategies for Extraction and Purification of Hyaluronic Acid. Int. J. Mol. Sci. 2022, 23, 6038. [Google Scholar] [CrossRef] [PubMed]
- Garantziotis, S.; Savani, R.C. Hyaluronan biology: A complex balancing act of structure, function, location and context. Matrix Biol. J. Int. Soc. Matrix Biol. 2019, 78–79, 1–10. [Google Scholar] [CrossRef] [PubMed]
- Jeannot, V.; Mazzaferro, S.; Lavaud, J.; Vanwonterghem, L.; Henry, M.; Arboléas, M.; Vollaire, J.; Josserand, V.; Coll, J.L.; Lecommandoux, S.; et al. Targeting CD44 receptor-positive lung tumors using polysaccharide-based nanocarriers: Influence of nanoparticle size and administration route. Nanomedicine 2016, 12, 921–932. [Google Scholar] [CrossRef]
- Zou, J.; Su, S.; Chen, Z.; Liang, F.; Zeng, Y.; Cen, W.; Zhang, X.; Xia, Y.; Huang, D. Hyaluronic acid-modified selenium nanoparticles for enhancing the therapeutic efficacy of paclitaxel in lung cancer therapy. Artif. Cells Nanomed. Biotechnol. 2019, 47, 3456–3464. [Google Scholar] [CrossRef]
- Li, R.; Liu, T.; Wang, K. Hyaluronic acid-modified zirconium phosphate nanoparticles for potential lung cancer therapy. Biomed. Technik. Biomed. Eng. 2017, 62, 67–73. [Google Scholar] [CrossRef]
- Parashar, P.; Rathor, M.; Dwivedi, M.; Saraf, S.A. Hyaluronic Acid Decorated Naringenin Nanoparticles: Appraisal of Chemopreventive and Curative Potential for Lung Cancer. Pharmaceutics 2018, 10, 33. [Google Scholar] [CrossRef]
- Kumar, R.; Singh, M.; Meena, J.; Singhvi, P.; Thiyagarajan, D.; Saneja, A.; Panda, A.K. Hyaluronic acid-dihydroartemisinin conjugate: Synthesis, characterization and in vitro evaluation in lung cancer cells. Int. J. Biol. Macromol. 2019, 133, 495–502. [Google Scholar] [CrossRef]
- Parashar, P.; Tripathi, C.B.; Arya, M.; Kanoujia, J.; Singh, M.; Yadav, A.; Saraf, S.A. A facile approach for fabricating CD44-targeted delivery of hyaluronic acid-functionalized PCL nanoparticles in urethane-induced lung cancer: Bcl-2, MMP-9, caspase-9, and BAX as potential markers. Drug Deliv. Transl. Res. 2019, 9, 37–52. [Google Scholar] [CrossRef]
- Pereira, L.; Cotas, J. Alginates—A General Overview; IntechOpen: London, UK, 2020. [Google Scholar] [CrossRef]
- Paul, W.; Sharma, C.P. Alginate Wound Dressing: History and Advanced Wound Care. In Encyclopedia of Biomedical Polymers and Polymeric Biomaterials; CRC Press: Boca Raton, FL, USA, 2014. [Google Scholar]
- Lee, K.Y.; Mooney, D.J. Alginate: Properties and biomedical applications. Prog. Polym. Sci. 2012, 37, 106–126. [Google Scholar] [CrossRef]
- Sahoo, D.; Biswal, T. Alginate and its application to tissue engineering. SN Appl. Sci. 2021, 3, 30. [Google Scholar] [CrossRef]
- Al-Hatamleh, M.A.I.; Alshaer, W.; Hatmal, M.M.; Lambuk, L.; Ahmed, N.; Mustafa, M.Z.; Low, S.C.; Jaafar, J.; Ferji, K.; Six, J.L.; et al. Applications of Alginate-Based Nanomaterials in Enhancing the Therapeutic Effects of Bee Products. Front. Mol. Biosci 2022, 9, 865833. [Google Scholar] [CrossRef] [PubMed]
- Abasalizadeh, F.; Moghaddam, S.V.; Alizadeh, E.; Akbari, E.; Kashani, E.; Fazljou, S.M.B.; Torbati, M.; Akbarzadeh, A. Alginate-based hydrogels as drug delivery vehicles in cancer treatment and their applications in wound dressing and 3D bioprinting. J. Biol. Eng. 2020, 14, 8. [Google Scholar] [CrossRef]
- Huang, J.; Guo, J.; Zhu, J.; Zou, X. Supported silver nanoparticles over alginate-modified magnetic nanoparticles: Synthesis, characterization and treat the human lung carcinoma. J. Saudi Chem. Soc. 2022, 26, 101393. [Google Scholar] [CrossRef]
- Mishra, A.; Pandey, V.K.; Shankar, B.S.; Melo, J.S. Spray drying as an efficient route for synthesis of silica nanoparticles-sodium alginate biohybrid drug carrier of doxorubicin. Colloids Surf. B Biointerfaces 2021, 197, 111445. [Google Scholar] [CrossRef] [PubMed]
- Miao, T.; Little, A.C.; Aronshtam, A.; Marquis, T.; Fenn, S.L.; Hristova, M.; Krementsov, D.N.; Vliet, A.V.; Spees, J.L.; Oldinski, R.A. Internalized FGF-2-Loaded Nanoparticles Increase Nuclear ERK1/2 Content and Result in Lung Cancer Cell Death. Nanomaterials 2020, 10, 612. [Google Scholar] [CrossRef] [PubMed]
- Roman, J.; Galán, M.; Martin del Valle, E. Preparation and preliminary evaluation of alginate crosslinked microcapsules as potential drug delivery system (DDS) for Human lung cancer therapy. Biomed. Phys. Eng. Express 2016, 2, 035015. [Google Scholar] [CrossRef]
- Polesca, C.; Coimbra, J.; Souza, V.; Sousa, R. Structure and Applications of Pectin in Food, Biomedical, and Pharmaceutical Industry: A Review. Coatings 2021, 11, 922. [Google Scholar] [CrossRef]
- Robledo, V.; Castro, L. Pectin-Extraction, Purification, Characterization and Applications; IntechOpen: London, UK, 2020. [Google Scholar] [CrossRef]
- Carrion, C.C.; Nasrollahzadeh, M.; Sajjadi, M.; Jaleh, B.; Soufi, G.J.; Iravani, S. Lignin, lipid, protein, hyaluronic acid, starch, cellulose, gum, pectin, alginate and chitosan-based nanomaterials for cancer nanotherapy: Challenges and opportunities. Int J. Biol. Macromol. 2021, 178, 193–228. [Google Scholar] [CrossRef]
- Li, Y.; Li, N.; Jiang, W.; Ma, G.; Zangeneh, M.M. In situ decorated Au NPs on pectin-modified Fe3O4 NPs as a novel magnetic nanocomposite (Fe3O4/Pectin/Au) for catalytic reduction of nitroarenes and investigation of its anti-human lung cancer activities. Int. J. Biol. Macromol. 2020, 163, 2162–2171. [Google Scholar] [CrossRef]
- Chang, L.; Chang, R.; Shen, J.; Wang, Y.; Song, H.; Kang, X.; Zhao, Y.; Guo, S.; Qin, J. Self-healing pectin/cellulose hydrogel loaded with limonin as TMEM16A inhibitor for lung adenocarcinoma treatment. Int. J. Biol. Macromol. 2022, 219, 754–766. [Google Scholar] [CrossRef] [PubMed]
- Hira, I.; Kumar, A.; Kumari, R.; Saini, A.K.; Saini, R.V. Pectin-guar gum-zinc oxide nanocomposite enhances human lymphocytes cytotoxicity towards lung and breast carcinomas. Mater. Sci. Eng. C Mater. Biol. Appl. 2018, 90, 494–503. [Google Scholar] [CrossRef] [PubMed]
- Sugahara, K.; Mikami, T.; Uyama, T.; Mizuguchi, S.; Nomura, K.; Kitagawa, H. Recent advances in the structural biology of chondroitin sulfate and dermatan sulfate. Curr. Opin. Struct. Biol. 2003, 13, 612–620. [Google Scholar] [CrossRef] [PubMed]
- Chen, X.; Yin, T.; Zhang, B.; Sun, B.; Chen, J.; Xiao, T.; Wang, B.; Li, M.; Yang, J.; Fan, X. Inhibitory effects of brusatol delivered using glycosaminoglycan-placental chondroitin sulfate A-modified nanoparticles on the proliferation, migration and invasion of cancer cells. Int. J. Mol. Med. 2020, 46, 817–827. [Google Scholar] [CrossRef] [PubMed]
- Abd Elwakil, M.M.; Mabrouk, M.T.; Helmy, M.W.; Abdelfattah, E.A.; Khiste, S.K.; Elkhodairy, K.A.; Elzoghby, A.O. Inhalable lactoferrin-chondroitin nanocomposites for combined delivery of doxorubicin and ellagic acid to lung carcinoma. Nanomedicine 2018, 13, 2015–2035. [Google Scholar] [CrossRef]
- Lin, Y.J.; Liu, Y.S.; Yeh, H.H.; Cheng, T.L.; Wang, L.F. Self-assembled poly(ε-caprolactone)-g-chondroitin sulfate copolymers as an intracellular doxorubicin delivery carrier against lung cancer cells. Int. J. Nanomed. 2012, 7, 4169–4183. [Google Scholar] [CrossRef][Green Version]
- Garg, S.; Garg, A.; Enaganti, S.; Yadav, A. Chondroitin Sulphate Decorated Polymeric Nanoparticles: An Effective Carrier for Enhancement of Lung Cancer Targeting Capabilities of Anticancer Drug. Curr. Nanomed. 2019, 9, 243–261. [Google Scholar] [CrossRef]
- Ak, G. Covalently coupling doxorubicin to polymeric nanoparticles as potential inhaler therapy: In vitro studies. Pharm. Dev. Technol. 2021, 26, 890–898. [Google Scholar] [CrossRef]
- Sinha, S.; Sonali; Garg, V.; Thapa, S.; Singh, S.; Chauhan, M.; Dutt, R.; Singh, R.P. Empagliflozin containing chitosan-alginate nanoparticles in orodispersible film: Preparation, characterization, pharmacokinetic evaluation and its in-vitro anticancer activity. Drug Dev. Ind. Pharm. 2022, 48, 279–291. [Google Scholar] [CrossRef]
- Singh, N.; Sachdev, A.; Gopinath, P. Polysaccharide Functionalized Single Walled Carbon Nanotubes as Nanocarriers for Delivery of Curcumin in Lung Cancer Cells. J. Nanosci. Nanotechnol. 2018, 18, 1534–1541. [Google Scholar] [CrossRef]
- Alsmadi, M.M.; Obaidat, R.M.; Alnaief, M.; Albiss, B.A.; Hailat, N. Development, In Vitro Characterization, and In Vivo Toxicity Evaluation of Chitosan-Alginate Nanoporous Carriers Loaded with Cisplatin for Lung Cancer Treatment. AAPS PharmSciTech 2020, 21, 191. [Google Scholar] [CrossRef] [PubMed]
- Dasgupta, Y.; Golovine, K.; Nieborowska-Skorska, M.; Luo, L.; Matlawska-Wasowska, K.; Mullighan, C.G.; Skorski, T. Drugging DNA repair to target T-ALL cells. Leuk. Lymphoma 2018, 59, 1746–1749. [Google Scholar] [CrossRef] [PubMed]
- Xu, D.; Chi, G.; Xu, D. WITHDRAWN: Transcriptional regulation of miR-483-3p mediated by IL-6/STAT3 axis promoted epithelial-mesenchymal transition and tumor stemness in glioma. Aging 2021, 12, 1–12. [Google Scholar] [CrossRef] [PubMed]
- Cai, Y.; Karmakar, B.; Salem, M.A.; Alzahrani, A.Y.; Bani-Fwaz, M.Z.; Oyouni, A.A.A.; Al-Amer, O.; Batiha, G.E. Ag NPs supported chitosan-agarose modified Fe3O4 nanocomposite catalyzed synthesis of indazolo[2,1-b]phthalazines and anticancer studies against liver and lung cancer cells. Int. J. Biol. Macromol. 2022, 208, 20–28. [Google Scholar] [CrossRef]
- Zhang, W.; Xu, W.; Lan, Y.; He, X.; Liu, K.; Liang, Y. Antitumor effect of hyaluronic-acid-modified chitosan nanoparticles loaded with siRNA for targeted therapy for non-small cell lung cancer. Int. J. Nanomed. 2019, 14, 5287–5301. [Google Scholar] [CrossRef]
- Almutairi, F.M.; Abd-Rabou, A.A.; Mohamed, M.S. Raloxifene-encapsulated hyaluronic acid-decorated chitosan nanoparticles selectively induce apoptosis in lung cancer cells. Bioorganic Med. Chem. 2019, 27, 1629–1638. [Google Scholar] [CrossRef]
- Lee, R.; Choi, Y.J.; Jeong, M.S.; Park, Y.I.; Motoyama, K.; Kim, M.W.; Kwon, S.H.; Choi, J.H. Hyaluronic Acid-Decorated Glycol Chitosan Nanoparticles for pH-Sensitive Controlled Release of Doxorubicin and Celecoxib in Nonsmall Cell Lung Cancer. Bioconjugate Chem. 2020, 31, 923–932. [Google Scholar] [CrossRef]




| Polysaccharide Type | Structure | Advantages |
|---|---|---|
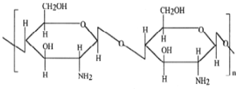
| Chitosan | ![]() | Facilitating mucoadhesion [31], Biodegradability [32], Low toxicity [32], Biocompatibility [33], Easy to prepare [34], pH-responsiveness [35]. |
| Hyaluronic acid | ![]() | Biocompatibility [36], Biodegradability [37], No immunogenicity [38], Non-toxic [39], Strong affinity for cancer cell receptors such as CD44 [40]. |
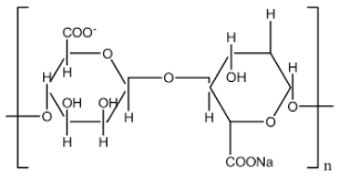
| Sodium Alginate | ![]() | Ease of preparation, Biocompatibility, Biodegradability, Non-toxicity, Physicochemical versatility for the insertion of targeted moieties. |
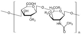
| Chondroitin | ![]() | Cell adhesion [41], Biodegradation [42], Bioavailability [43], Viscoelasticity [44]. |
| Pectin | ![]() | Easy availability [45], Biodegradability [46], Economic [47], Safe [48]. |
| Polysaccharide Type | Nanomaterial | Loaded Agents | Therapeutic Effects | References |
|---|---|---|---|---|
| Chitosan | Poly(d,l-lactide-co-glycolide)–chitosan composite particles Multi-walled carbon nanotubes coated with chitosan | Paclitaxel and Topotecan Methotrexate | Synergism, Enhanced cell death. Selective in killing cancer cells. | [54,55] |
| Hyaluronic acid | Hyaluronic acid-modified selenium nanoparticles Hyaluronic acid-modified zirconium phosphate nanoparticles | Paclitaxel Paclitaxel | Impede migration, Reproduction, cell invasion of A549. The CD44 receptor mediates cellular uptake. | [66] |
| Alginate | Sodium alginate colloidal silica nanoparticles | Doxorubicin | A549 cells took up DOX more than twice as much from the DOX-biohybrid as from free DOX. | [49] |
| Chondroitin | Pectin/cellulose hydrogel | Limonin | Inhibited proliferation promoted apoptosis. | [49] |
| Pectin | Biohybrid drug carrier of colloidal silica nanoparticles | Doxorubicin | A549 cells took up DOX more than two times as much from DOX-biohybrid as from free DOX. | [49] |
| Polysaccharide Type | Nanomaterial | Loaded Agents | Therapeutic Effects | References |
|---|---|---|---|---|
| Alginate and chitosan | PEG diacid-linked alginate/chitosan nanoparticles | Doxorubicin | Dose-dependent toxicity. | [95] |
| Hyaluronic acid and chitosan | Hyaluronic acid (HA)- modified chitosan nanoparticles | Cyanine 3 (Cy3)-labelled siRNA | Slowed down cell division markedly reduced the transcription factors BCL2. | [96] |
| Chitosan and agarose | Silver/chitosan-Agar nanocomposite | Fe3O4 | Antioxidant potential dose-dependent toxicity. | [97] |
Publisher’s Note: MDPI stays neutral with regard to jurisdictional claims in published maps and institutional affiliations. |
© 2022 by the authors. Licensee MDPI, Basel, Switzerland. This article is an open access article distributed under the terms and conditions of the Creative Commons Attribution (CC BY) license (https://creativecommons.org/licenses/by/4.0/).
Share and Cite
Bhat, A.A.; Gupta, G.; Alharbi, K.S.; Afzal, O.; Altamimi, A.S.A.; Almalki, W.H.; Kazmi, I.; Al-Abbasi, F.A.; Alzarea, S.I.; Chellappan, D.K.; et al. Polysaccharide-Based Nanomedicines Targeting Lung Cancer. Pharmaceutics 2022, 14, 2788. https://doi.org/10.3390/pharmaceutics14122788
Bhat AA, Gupta G, Alharbi KS, Afzal O, Altamimi ASA, Almalki WH, Kazmi I, Al-Abbasi FA, Alzarea SI, Chellappan DK, et al. Polysaccharide-Based Nanomedicines Targeting Lung Cancer. Pharmaceutics. 2022; 14(12):2788. https://doi.org/10.3390/pharmaceutics14122788
Chicago/Turabian StyleBhat, Asif Ahmad, Gaurav Gupta, Khalid Saad Alharbi, Obaid Afzal, Abdulmalik S. A. Altamimi, Waleed Hassan Almalki, Imran Kazmi, Fahad A. Al-Abbasi, Sami I. Alzarea, Dinesh Kumar Chellappan, and et al. 2022. "Polysaccharide-Based Nanomedicines Targeting Lung Cancer" Pharmaceutics 14, no. 12: 2788. https://doi.org/10.3390/pharmaceutics14122788
APA StyleBhat, A. A., Gupta, G., Alharbi, K. S., Afzal, O., Altamimi, A. S. A., Almalki, W. H., Kazmi, I., Al-Abbasi, F. A., Alzarea, S. I., Chellappan, D. K., Singh, S. K., MacLoughlin, R., Oliver, B. G., & Dua, K. (2022). Polysaccharide-Based Nanomedicines Targeting Lung Cancer. Pharmaceutics, 14(12), 2788. https://doi.org/10.3390/pharmaceutics14122788






