Evaluation of the Efficacy of the Addition of a Combination of Pyrimidine Nucleotides and Vitamin B1 and B12 to Standard Treatment in the Management of Painful Radiculopathy and in the Quality of Life of Patients
Abstract
1. Introduction
2. Materials and Methods
2.1. Study Design and Study Population
2.2. Endpoints
2.3. Statistical Methods
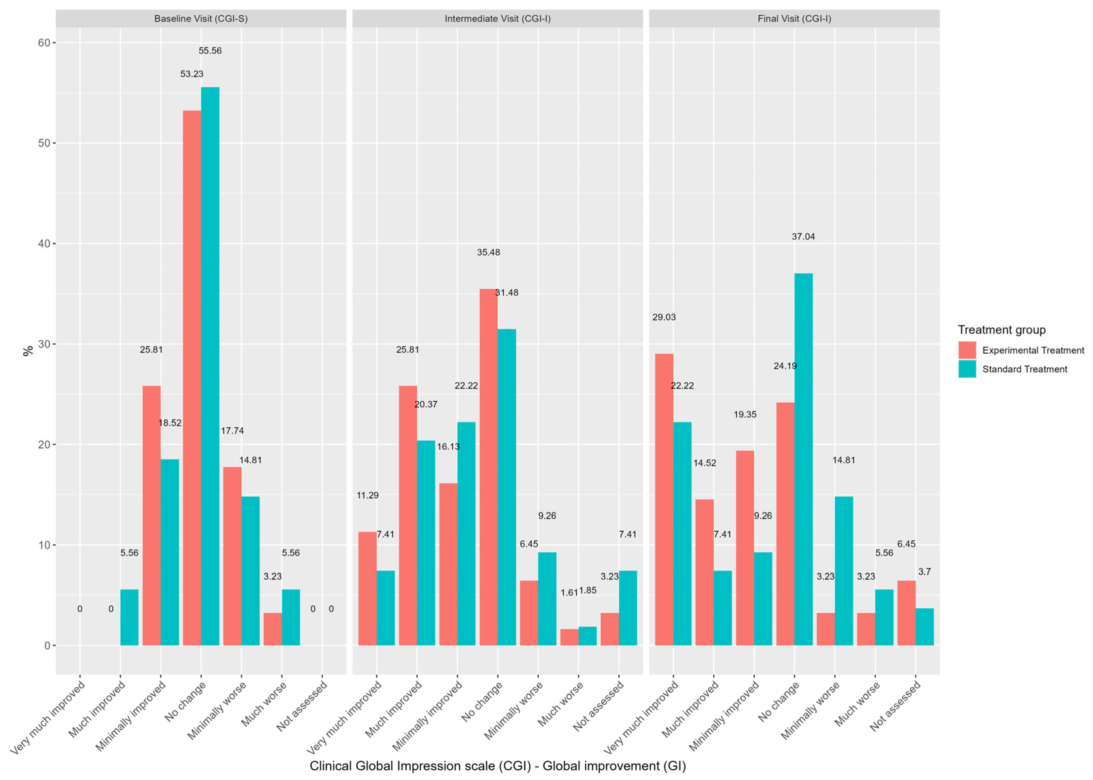
3. Results
3.1. Patient Disposition and Baseline Characteristics
3.2. Primary Endpoint: Pain Reduction (VAS Score)
3.3. Secondary Endpoint: Functional and Clinical Improvement
3.4. Quality of Life (EQ-5D-5L)
3.5. Medication Intake for Pain Management
3.6. Exploratory Endpoints: Physical Activity
4. Discussion
5. Conclusions
Supplementary Materials
Author Contributions
Funding
Institutional Review Board Statement
Informed Consent Statement
Data Availability Statement
Acknowledgments
Conflicts of Interest
Correction Statement
References
- Tawa, N.; Rhoda, A.; Diener, I. Accuracy of clinical neurological examination in diagnosing lumbosacral radiculopathy: A systematic literature review. BMC Musculoskelet. Disord. 2017, 18, 93. [Google Scholar] [CrossRef] [PubMed]
- Woods, B.I.; Hilibrand, A.S. Cervical radiculopathy: Epidemiology, etiology, diagnosis, and treatment. J. Spinal Disord. Tech. 2015, 28, E251–E259. [Google Scholar] [CrossRef] [PubMed]
- Berry, J.A.; Elia, C.; Saini, H.S.; Miulli, D.E. A Review of Lumbar Radiculopathy, Diagnosis, and Treatment. Cureus 2019, 11, e5934. [Google Scholar] [CrossRef] [PubMed]
- Deyo, R.A.; Weinstein, J.N. Low back pain. N. Engl. J. Med. 2001, 344, 363–370. [Google Scholar] [CrossRef]
- Schubert, P.; Kreutzberg, G.W. Axonal transport of adenosine and uridine derivatives and transfer to postsynaptic neurons. Brain Res. 1974, 76, 526–530. [Google Scholar] [CrossRef]
- Negrão, L.; Nunes, P.; Portuguese Group for the Study of Peripheral Neuropathy. Uridine monophosphate, folic acid and vitamin B12 in patients with symptomatic peripheral entrapment neuropathies. Pain Manag. 2016, 6, 25–29. [Google Scholar] [CrossRef]
- Khezri, M.K.; Turkkan, A.; Koc, C.; Salman, B.; Levent, P.; Cakir, A.; Kafa, I.M.; Cansev, M.; Bekar, A. Anti-Apoptotic and Anti-Oxidant Effects of Systemic Uridine Treatment in an Experimental Model of Sciatic Nerve Injury. Turk. Neurosurg. 2021, 31, 373–378. [Google Scholar] [CrossRef]
- Manhães, M.; Cesar, M.; Justo, R.; Geller, M.; Suchmacher, M.; Cisne, R. The Role of Nucleotides in Glial Cells during Peripheral Nerve Trauma and Compressive Disorders. In Peripheral Nerve Regeneration—From Surgery to New Therapeutic Approaches Including Biomaterials and Cell-Based Therapies Development; IntechOpen: London, UK, 2017; Available online: https://www.intechopen.com/chapters/54772 (accessed on 12 April 2024).
- Burrell, H.R.; Heacock, A.M.; Water, R.D.; Agranoff, B.W. Increased tubulin messenger RNA in the goldfish retina during optic nerve regeneration. Brain Res. 1979, 168, 628–632. [Google Scholar] [CrossRef]
- Dokas, L.A.; Kohsaka, S.; Burrell, H.R.; Agranoff, B.W. Uridine metabolism in the goldfish retina during optic nerve regeneration: Whole retina studies. J. Neurochem. 1981, 36, 1160–1165. [Google Scholar] [CrossRef]
- Wattig, B.; Schalow, G.; Madauss, M.; Heydenreich, F.; Warzok, R.; Cervós-Navarro, J. Acceleration of nerve and muscle regeneration by administration of nucleotides—electroneurophysiological and morphometrical investigations. Acta Histochem. Suppl. 1992, 42, 333–339. [Google Scholar]
- Gella, A.; Martiañez, T.; Lamarca, A.; Gutierrez, C.A. Nucleotide-based Drug Protects Against Glutamate- and MPP+-Induced Neurotoxicity. Neurosci. Med. 2011, 2, 154160. [Google Scholar] [CrossRef]
- Baltrusch, S. The Role of Neurotropic B Vitamins in Nerve Regeneration. Biomed. Res. Int. 2021, 2021, 9968228. [Google Scholar] [CrossRef] [PubMed]
- Becker, K.W.; Kienecker, E.-W.; Dick, P.; Bonke, D. Enhancement of regeneration of the saphenous nerve after treatment with vitamins B1, B6, and B12 after cold lesion in the rabbit. Ann. N. Y. Acad. Sci. 1990, 585, 477–479. [Google Scholar] [CrossRef]
- Al-Saaeed, S.M.; Ali, H.A.; Ali, S.M.; Ali, S.A. Vitamins B therapy in regeneration of peripheral neuropathy associated with lipid profile. J. Phys. Conf. Ser. 2019, 1279, 012016. [Google Scholar] [CrossRef]
- Muhamad, R.; Akrivaki, A.; Papagiannopoulou, G.; Zavridis, P.; Zis, P. The Role of Vitamin B6 in Peripheral Neuropathy: A Systematic Review. Nutrients 2023, 15, 2823. [Google Scholar] [CrossRef]
- Tozaki-Saitoh, H.; Takeda, H.; Inoue, K. The Role of Microglial Purinergic Receptors in Pain Signaling. Molecules 2022, 27, 1919. [Google Scholar] [CrossRef]
- Okada, M.; Nakagawa, T.; Minami, M.; Satoh, M. Analgesic effects of intrathecal administration of P2Y nucleotide receptor agonists UTP and UDP in normal and neuropathic pain model rats. J. Pharmacol. Exp. Ther. 2002, 303, 66–73. [Google Scholar] [CrossRef]
- Guo, Y.; Mao, T.; Fang, Y.; Wang, H.; Yu, J.; Zhu, Y.; Shen, S.; Zhou, M.; Li, H.; Hu, Q. Comprehensive insights into potential roles of purinergic P2 receptors on diseases: Signaling pathways involved and potential therapeutics. J. Adv. Res. 2024, in press. [CrossRef]
- Weisman, G.A.; Wang, M.; Kong, Q.; Chorna, N.E.; Neary, J.T.; Sun, G.Y.; González, F.A.; Seye, C.I.; Erb, L. Molecular determinants of P2Y2 nucleotide receptor function: Implications for proliferative and inflammatory pathways in astrocytes. Mol. Neurobiol. 2005, 31, 169–183. [Google Scholar] [CrossRef]
- Chorna, N.E.; Santiago-Pérez, L.I.; Erb, L.; Seye, C.I.; Neary, J.T.; Sun, G.Y.; Weisman, G.A.; González, F.A. P2Y2 receptors activate neuroprotective mechanisms in astrocytic cells. J. Neurochem. 2004, 91, 119–132. [Google Scholar] [CrossRef]
- Seck, L.B.; Basse, A.; Cissé, E.H.; Diedhiou, D.; Touré, K.; Ndiaye, M.; Diop, S.N.; Ndiaye, M.M. Efficacy and tolerance of combination of Cytidine 5’ monophosphate (CMP) and Uridine-5’ Triphosphate Trisodium (UTP) in patients with diabetic neuropathy: Results of a study conducted in Dakar-Senegal. Int. J. Med. Med. Sci. 2015, 5, 284–287. [Google Scholar]
- Jolivalt, C.G.; Mizisin, L.M.; Nelson, A.; Cunha, J.M.; Ramos, K.M.; Bonke, D.; Calcutt, N.A. B vitamins alleviate indices of neuropathic pain in diabetic rats. Eur. J. Pharmacol. 2009, 612, 41–47. [Google Scholar] [CrossRef] [PubMed]
- Negrão, L.; Almeida, P.; Alcino, S.; Duro, H.; Libório, T.; Melo Silva, U.; Figueira, R.; Gonçalves, S.; Neto Parra, L. Effect of the combination of uridine nucleotides, folic acid and vitamin B12 on the clinical expression of peripheral neuropathies. Pain Manag. 2014, 4, 191–196. [Google Scholar] [CrossRef] [PubMed]
- Povedano, M.; Martínez, Y.; Tejado, A.; Arroyo, P.; Tebe, C.; Lorenzo, J.L.; Montero, J. Observational pilot study of patients with carpal tunnel syndrome treated with Nucleo CMP ForteTM. Pain Manag. 2019, 9, 123–129. [Google Scholar] [CrossRef] [PubMed]
- Goldberg, H.; Mibielli, M.A.; Nunes, C.P.; Goldberg, S.W.; Buchman, L.; Mezitis, S.G.; Rzetelna, H.; Oliveira, L.; Geller, M.; Wajnsztajn, F. A double-blind, randomized, comparative study of the use of a combination of uridine triphosphate trisodium, cytidine monophosphate disodium, and hydroxocobalamin, versus isolated treatment with hydroxocobalamin, in patients presenting with compressive neuralgias. J. Pain Res. 2017, 10, 397–404. [Google Scholar]
- Mibielli, M.A.N.; Nunes, C.P.; Goldberg, H.; Buchman, L.; Oliveira, L.; Mezitis, S.G.; Wajnzstajn, F.; Kaufman, R.; Nigri, R.; Cytrynbaum, N.; et al. Nucleotides Cytidine and Uridine Associated with Vitamin B12 vs B-Complex Vitamins in the Treatment of Low Back Pain: The NUBES Study. J. Pain. Res. 2020, 13, 2531–2541. [Google Scholar] [CrossRef]
- Goldberg, H.; Scussel Júnior, A.B.; Cohen, J.C.; Rzetelna, H.; Mezitis, S.G.; Nunes, F.P.; Ozeri, D.; Daher, J.P.L.; Nunes, C.P.; Oliveira, L.; et al. Neural compression-induced neuralgias: Clinical evaluation of the effect of nucleotides associated with vitamin B12. Rev. Bras. Med. 2009, 66, 380–385. [Google Scholar]
- Wewege, M.A.; Bagg, M.K.; Jones, M.D.; Ferraro, M.C.; Cashin, A.G.; Rizzo, R.R.; Leake, H.B.; Hagstrom, A.D.; Sharma, S.; McLachlan, A.J.; et al. Comparative effectiveness and safety of analgesic medicines for adults with acute non-specific low back pain: Systematic review and network meta-analysis. BMJ 2023, 380, e072962. [Google Scholar] [CrossRef]
- Rovira, R.F.; Bermudo, F.M.; Fernández, A.M.C.; Sáez, A.C.; Álvarez, M.D.; Marteache, A.H.; Toledano, F.L.; de Santos, M.R.M.; de Victoria Muñoz, E.M.; Larrañaga, M.R.M.; et al. Informe del Comité Científico de la Agencia Española de Seguridad Alimentaria y Nutrición (AESAN) sobre condiciones de uso de determinadas sustancias distintas de vitaminas, minerales y plantas para ser empleadas en complementos alimenticios − 1. Rev. Comité Científico AESAN 2013, 17, 9–29. [Google Scholar]
- R Core Team. The R Project for Statistical Computing. Available online: https://www.R-project.org/ (accessed on 13 November 2024).
- Kovacs, F.M.; Llobera, J.; Del Real, M.T.G.; Abraira, V.; Gestoso, M.; Fernández, C. Validation of the spanish version of the Roland-Morris questionnaire. Spine 2002, 27, 538–542. [Google Scholar] [CrossRef]
- Busner, J.; Targum, S.D. The clinical global impressions scale: Applying a research tool in clinical practice. Psychiatry 2007, 4, 28–37. [Google Scholar] [PubMed]
- Padhi, A.; Fineberg, N. Clinical Global Impression Scales. In Encyclopedia of Psychopharmacology; Stolerman, I.P., Ed.; Springer: Berlin/Heidelberg, Germany, 2010; p. 303. [Google Scholar]
- Herdman, M.; Gudex, C.; Lloyd, A.; Janssen, M.; Kind, P.; Parkin, D.; Bonsel, G.; Badia, X. Development and preliminary testing of the new five-level version of EQ-5D (EQ-5D-5L). Qual. Life Res. 2011, 20, 1727–1736. [Google Scholar] [CrossRef] [PubMed]
- European Medicines Agency. Guideline on Missing Data in Confirmatory Clinical Trials. Available online: https://www.tga.gov.au/resources/resource/international-scientific-guidelines/guideline-missing-data-confirmatory-clinical-trials (accessed on 13 November 2024).
- Mibielli, A.M.; Pereira Nunes, C.; Scussel, A., Jr.; Suchmacher Neto, M.; Oliveira, L.; Geller, M. Symptomatic improvement in an acute, non-traumatic spine pain model with a combination of uridine triphosphate, cytidine monophosphate, and hydroxocobalamin. Pain Stud. Treat. 2014, 2, 6–10. [Google Scholar] [CrossRef]
- RStudio Team. RStudio: Integrated Development for R. Available online: http://www.rstudio.com/ (accessed on 13 November 2024).
- Raja, S.N.; Carr, D.B.; Cohen, M.; Finnerup, N.B.; Flor, H.; Gibson, S.; Keefe, F.J.; Mogil, J.S.; Ringkamp, M.; Sluka, K.A.; et al. The revised International Association for the Study of Pain definition of pain: Concepts, challenges, and compromises. Pain 2020, 161, 1976–1982. [Google Scholar] [CrossRef] [PubMed]




| Demographics | Experimental Group (n = 62) n (%) | Control Group (n = 54) n (%) | Total (n = 116) n (%) |
|---|---|---|---|
| Gender, n (% *) | |||
| Male | 31 (50%) | 30 (55.56%) | 61 (52.59%) |
| Female | 31 (50%) | 24 (44.44%) | 55 (47.41%) |
| Race, n (% *) | |||
| Caucasian | 61 (98.39%) | 50 (92.59%) | 111 (95.69%) |
| Asian | 0 (0.00%) | 1 (1.85%) | 1 (0.86%) |
| Other | 1 (1.61%) | 3 (5.56%) | 4 (3.45%) |
| Age | |||
| Mean (SD) | 50.74 (14.04) | 53.17 (12.86) | 51.87 (13.5) |
| Median (P25, P75) | 49.5 (42, 60) | 56 (43, 62) | 53 (42, 62) |
| Height | |||
| Mean (SD) | 169.68 (11.14) | 167.85 (11.18) | 168.83 (11.15) |
| Median (P25, P75) | 171 (160, 178) | 167 (160.25, 178) | 170 (160, 178) |
| Weight | |||
| Mean (SD) | 81.35 (17.26) | 81.35 (17.26) | 79.47 (17.01) |
| Median (P25, P75) | 80.5 (65.45, 93.5) | 75.2 (65.25, 85.22) | 78 (65.07, 92) |
| BMI | |||
| Mean (SD) | 28.21 (5.25) | 27.35 (4.72) | 27.81 (5.01) |
| Median (P25, P75) | 27.84 (24.76, 30.81) | 26.75 (24.38, 29.84) | 27.04 (24.54, 30.65) |
| Time since diagnosis (days) | |||
| Mean (SD) | 239.92 (671.03) | 324.65 (944.14) | 279.36 (807.13) |
| Median (P25, P75) | 76 (21, 139.75) | 81.5 (21.5, 140) | 77.5 (21, 140.25) |
| Opiate treatment, n (% *) | |||
| Yes | 28 (45.16%) | 23 (42.59%) | 51 (43.97%) |
| No | 34 (54.84%) | 31 (57.41%) | 65 (56.03%) |
| Difficulty or pain in mobility, n (% *) | |||
| Yes | 56 (90.32%) | 47 (87.04%) | 103 (88.79%) |
| No | 6 (9.68%) | 6 (11.11%) | 12 (10.34%) |
| Not assessed | 0 (0.00%) | 1 (1.85%) | 1 (0.86%) |
| Spontaneous pain, n (% *) | |||
| Yes | 47 (75.81%) | 35 (64.81%) | 82 (70.69%) |
| No | 14 (22.58%) | 17 (31.48%) | 31 (26.72%) |
| Not assessed | 1 (1.61%) | 1 (1.85%) | 2 (1.72%) |
| Not available | 0 (0.00%) | 1 (1.85%) | 1 (0.86%) |
| Referred pain, n (% *) | |||
| Yes | 60 (96.77%) | 49 (90.74%) | 109 (93.97%) |
| No | 2 (3.23%) | 4 (7.41%) | 6 (5.17%) |
| Not assessed | 0 (0.00%) | 1 (1.85%) | 1 (0.86%) |
| Peripheral neurological involvement, n (% *) | |||
| Yes | 39 (62.9%) | 31 (57.41%) | 70 (60.34%) |
| No | 22 (35.48%) | 22 (40.74%) | 44 (37.93%) |
| Not assessed | 1 (1.61%) | 1 (1.85%) | 2 (1.72%) |
| Sensory neurological involvement, n (% *) | |||
| Yes | 30 (48.39%) | 29 (53.7%) | 59 (50.86%) |
| No | 32 (51.61%) | 23 (42.59%) | 55 (47.41%) |
| Not assessed | 0 (0.00%) | 2 (3.7%) | 2 (1.72%) |
| Motor neurological involvement, n (% *) | |||
| Yes | 14 (22.58%) | 12 (22.22%) | 26 (22.41%) |
| No | 48 (77.42%) | 40 (74.07%) | 88 (75.86%) |
| Not assessed | 0 (0.00%) | 2 (3.7%) | 2 (1.72%) |
| Presence of joint reflexes, n (% *) | |||
| Yes | 53 (85.48%) | 43 (79.63%) | 96 (82.76%) |
| No | 8 (12.9%) | 9 (16.67%) | 17 (14.66%) |
| Not assessed | 1 (1.61%) | 2 (3.7%) | 3 (2.59%) |
| Presence of skin sensitivity, n (% *) | |||
| Yes | 40 (64.52%) | 32 (59.26%) | 72 (62.07%) |
| No | 22 (35.48%) | 21 (38.89%) | 43 (37.07%) |
| Not assessed | 0 (0.00%) | 1 (1.85%) | 1 (0.86%) |
| Trophic disorders, n (%*) | |||
| Yes | 0 (0.00%) | 1 (1.85%) | 1 (0.86%) |
| No | 61 (98.39%) | 52 (96.3%) | 113 (97.41%) |
| Not assessed | 0 (0.00%) | 1 (1.85%) | 1 (0.86%) |
| Not available | 1 (1.61%) | 0 (0.00%) | 1 (0.86%) |
| Impaired muscle strength, n (% *) | |||
| Yes | 12 (19.35%) | 9 (16.67%) | 21 (18.1%) |
| No | 50 (80.65%) | 44 (81.48%) | 94 (81.03%) |
| Not assessed | 0 (0.00%) | 1 (1.85%) | 1 (0.86%) |
| CGI-S, n (% *) | |||
| Borderline ill | 0 (0.00%) | 3 (5.56%) | 3 (2.59%) |
| Mildly ill | 16 (25.81%) | 10 (18.52%) | 26 (22.41%) |
| Moderately ill | 33 (53.23%) | 30 (55.56%) | 63 (54.31%) |
| Markedly ill | 11 (17.74%) | 8 (14.81%) | 19 (16.38%) |
| Severely ill | 2 (3.23%) | 3 (5.56%) | 5 (4.31%) |
| EQ-5D-5L Test | Day | Scale | Control Treatment n (%) | Experimental Treatment n (%) |
|---|---|---|---|---|
| Mobility | Baseline Visit | I have no problems in walking about (1) | 10 (18.52%) | 13 (20.97%) |
| I have slight problems in walking about (2) | 19 (35.19%) | 21 (33.87%) | ||
| I have moderate problems in walking about (3) | 17 (31.48%) | 17 (27.42%) | ||
| I have severe problems in walking about (4) | 7 (12.96%) | 11 (17.74%) | ||
| I am unable to walk about (5) | 1 (1.85%) | 0 (0.00%) | ||
| Mode | 2 | 2 | ||
| Final Visit | I have no problems in walking about (1) | 17 (31.48%) | 24 (38.71%) | |
| I have slight problems in walking about (2) | 17 (31.48%) | 15 (24.19%) | ||
| I have moderate problems in walking about (3) | 15 (27.78%) | 13 (20.97%) | ||
| I have severe problems in walking about (4) | 4 (7.41%) | 7 (11.29%) | ||
| No answer | 1 (1.85%) | 3 (4.84%) | ||
| Mode | 2 | 1 | ||
| Self-care | Baseline Visit | I have no problems washing or dressing myself (1) | 19 (35.19%) | 23 (37.1%) |
| I have slight problems washing or dressing myself (2) | 15 (27.78%) | 16 (25.81%) | ||
| I have moderate problems washing or dressing myself (3) | 16 (29.63%) | 19 (30.65%) | ||
| I have severe problems washing or dressing myself (4) | 2 (3.7%) | 4 (6.45%) | ||
| I am unable to wash or dress myself (5) | 2 (3.7%) | 0 (0.00%) | ||
| Mode | 1 | 1 | ||
| Final Visit | I have no problems washing or dressing myself (1) | 21 (38.89%) | 32 (51.61%) | |
| I have slight problems washing or dressing myself (2) | 14 (25.93%) | 16 (25.81%) | ||
| I have moderate problems washing or dressing myself (3) | 16 (29.63%) | 6 (9.68%) | ||
| I have severe problems washing or dressing myself (4) | 1 (1.85%) | 5 (8.06%) | ||
| I am unable to wash or dress myself (5) | 1 (1.85%) | 0 (0.00%) | ||
| No answer | 1 (1.85%) | 3 (4.84%) | ||
| Mode | 1 | 1 | ||
| Usual activities | Baseline Visit | I have no problems doing my usual activities (1) | 7 (12.96%) | 4 (6.45%) |
| I have slight problems doing my usual activities (2) | 13 (24.07%) | 16 (25.81%) | ||
| I have moderate problems doing my usual activities (3) | 22 (40.74%) | 26 (41.94%) | ||
| I have severe problems doing my usual activities (4) | 8 (14.81%) | 14 (22.58%) | ||
| I am unable to do my usual activities (5) | 4 (7.41%) | 1 (1.61%) | ||
| No answer | 0 (0.00%) | 1 (1.61%) | ||
| Mode | 3 | 3 | ||
| Final Visit | I have no problems doing my usual activities (1) | 10 (18.52%) | 12 (19.35%) | |
| I have slight problems doing my usual activities (2) | 19 (35.19%) | 26 (41.94%) | ||
| I have moderate problems doing my usual activities (3) | 18 (33.33%) | 10 (16.13%) | ||
| I have severe problems doing my usual activities (4) | 2 (3.7%) | 8 (12.9%) | ||
| I am unable to do my usual activities (5) | 4 (7.41%) | 3 (4.84%) | ||
| No answer | 1 (1.85%) | 3 (4.84%) | ||
| Mode | 2 | 2 | ||
| Pain/discomfort | Baseline Visit | I have no pain or discomfort (1) | 1 (1.85%) | 0 (0.00%) |
| I have slight pain or discomfort (2) | 8 (14.81%) | 12 (19.35%) | ||
| I have moderate pain or discomfort (3) | 18 (33.33%) | 25 (40.32%) | ||
| I have severe pain or discomfort (4) | 21 (38.89%) | 23 (37.1%) | ||
| I have extreme pain or discomfort (5) | 6 (11.11%) | 2 (3.23%) | ||
| Mode | 4 | 3 | ||
| Final Visit | I have no pain or discomfort (1) | 4 (7.41%) | 7 (11.29%) | |
| I have slight pain or discomfort (2) | 15 (27.78%) | 21 (33.87%) | ||
| I have moderate pain or discomfort (3) | 18 (33.33%) | 16 (25.81%) | ||
| I have severe pain or discomfort (4) | 9 (16.67%) | 14 (22.58%) | ||
| I have extreme pain or discomfort (5) | 6 (11.11%) | 1 (1.61%) | ||
| No answer | 2 (3.7%) | 3 (4.84%) | ||
| Mode | 3 | 2 | ||
| Anxiety/depression | Baseline Visit | I am not anxious or depressed (1) | 17 (31.48%) | 23 (37.1%) |
| I am slightly anxious or depressed (2) | 11 (20.37%) | 17 (27.42%) | ||
| I am moderately anxious or depressed (3) | 14 (25.93%) | 9 (14.52%) | ||
| I am severely anxious or depressed (4) | 10 (18.52%) | 7 (11.29%) | ||
| I am extremely anxious or depressed (5) | 2 (3.7%) | 6 (9.68%) | ||
| Mode | 1 | 1 | ||
| Final Visit | I am not anxious or depressed (1) | 20 (37.04%) | 27 (43.55%) | |
| I am slightly anxious or depressed (2) | 14 (25.93%) | 14 (22.58%) | ||
| I am moderately anxious or depressed (3) | 11 (20.37%) | 10 (16.13%) | ||
| I am severely anxious or depressed (4) | 2 (3.7%) | 6 (9.68%) | ||
| I am extremely anxious or depressed (5) | 5 (9.26%) | 1 (1.61%) | ||
| No answer | 2 (3.7%) | 4 (6.45%) | ||
| Mode | 1 | 1 | ||
| Total | 54 (100%) | 62 (100%) | ||
Disclaimer/Publisher’s Note: The statements, opinions and data contained in all publications are solely those of the individual author(s) and contributor(s) and not of MDPI and/or the editor(s). MDPI and/or the editor(s) disclaim responsibility for any injury to people or property resulting from any ideas, methods, instructions or products referred to in the content. |
© 2024 by the authors. Licensee MDPI, Basel, Switzerland. This article is an open access article distributed under the terms and conditions of the Creative Commons Attribution (CC BY) license (https://creativecommons.org/licenses/by/4.0/).
Share and Cite
Monfort, J.; Carrión-Barberà, I.; Tío, L.; Marante, J.; López Vázquez, A.; Bas, T.; Fernandez-Fuente-Burson, L.; Caracuel, M.A.; Oliveros-Cid, A.; Gallart, V.; et al. Evaluation of the Efficacy of the Addition of a Combination of Pyrimidine Nucleotides and Vitamin B1 and B12 to Standard Treatment in the Management of Painful Radiculopathy and in the Quality of Life of Patients. Nutrients 2024, 16, 4187. https://doi.org/10.3390/nu16234187
Monfort J, Carrión-Barberà I, Tío L, Marante J, López Vázquez A, Bas T, Fernandez-Fuente-Burson L, Caracuel MA, Oliveros-Cid A, Gallart V, et al. Evaluation of the Efficacy of the Addition of a Combination of Pyrimidine Nucleotides and Vitamin B1 and B12 to Standard Treatment in the Management of Painful Radiculopathy and in the Quality of Life of Patients. Nutrients. 2024; 16(23):4187. https://doi.org/10.3390/nu16234187
Chicago/Turabian StyleMonfort, Jordi, Irene Carrión-Barberà, Laura Tío, Javier Marante, Alicia López Vázquez, Teresa Bas, Lola Fernandez-Fuente-Burson, Miguel A. Caracuel, Antonio Oliveros-Cid, Virginia Gallart, and et al. 2024. "Evaluation of the Efficacy of the Addition of a Combination of Pyrimidine Nucleotides and Vitamin B1 and B12 to Standard Treatment in the Management of Painful Radiculopathy and in the Quality of Life of Patients" Nutrients 16, no. 23: 4187. https://doi.org/10.3390/nu16234187
APA StyleMonfort, J., Carrión-Barberà, I., Tío, L., Marante, J., López Vázquez, A., Bas, T., Fernandez-Fuente-Burson, L., Caracuel, M. A., Oliveros-Cid, A., Gallart, V., Romera-López, C., Román, J. A., Abejón, D., Roca Ruíz, L. J., Gurt, A., Ojeda, F., Grima, P., & Aldonza, R. (2024). Evaluation of the Efficacy of the Addition of a Combination of Pyrimidine Nucleotides and Vitamin B1 and B12 to Standard Treatment in the Management of Painful Radiculopathy and in the Quality of Life of Patients. Nutrients, 16(23), 4187. https://doi.org/10.3390/nu16234187

