Rapid Growth between 0 and 2 Years Old in Healthy Infants Born at Term and Its Relationship with Later Obesity: A Systematic Review and Meta-Analysis of Evidence
Abstract
1. Introduction
Rapid Growth in Early Childhood
2. Materials and Methods
2.1. Eligibility Criteria
- (a)
- Studies conducted on children up to 18 years of age;
- (b)
- Studies that included data from patients born full-term (37–42 weeks of gestation) without previous pathology and with appropriate weight for gestational age;
- (c)
- Use of rapid postnatal growth as exposure, defined as a change in the standard deviation of weight adjusted for age greater than 0.67 at any time between birth and 2 years;
- (d)
- Analysis of at least one measure of adiposity (BMI, body fat percentage, trunk-to-body fat percentage ratio, fat mass, fat-free mass index, skinfold thickness, waist circumference, waist-to-height ratio, waist-to-hip ratio);
- (e)
- Results presented at ages between 2 and 18 years.
2.2. Selection and Data Extraction
2.3. Risk of Bias
2.4. Data Synthesis and Meta-Analysis
| Author, Year, Country (City) | Study Characteristics | Rapid Growth Period % Rapid Growth | Age of Measurement and Adiposity Measurements | Statistical Method | Covariates | Results Rapid Growth (RG) vs. No Rapid Growth (NG) and/or Slow Growth (SG) | Quality |
|---|---|---|---|---|---|---|---|
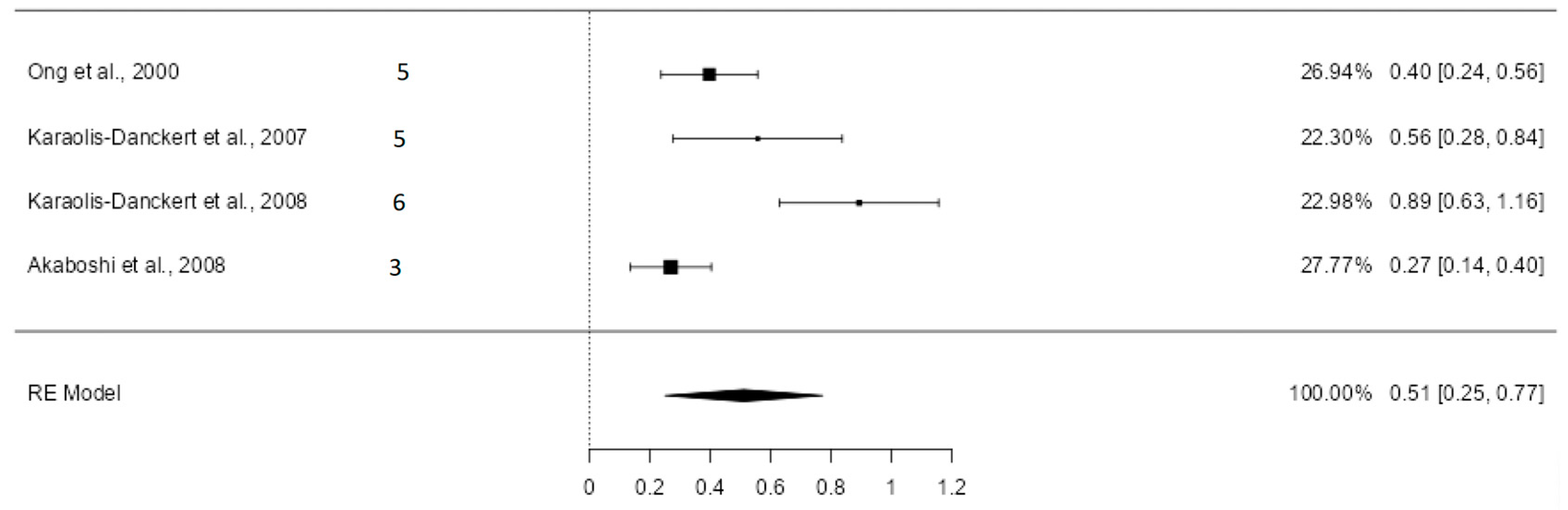
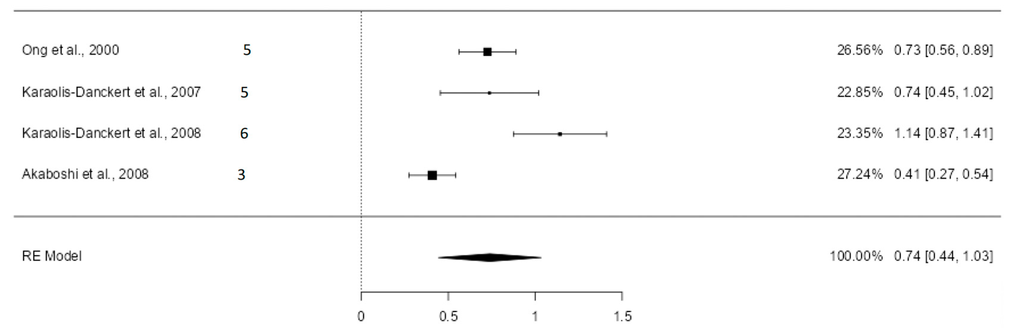
| Ong et al., 2000, United Kingdom (Bristol) [38]. | A prospective cohort study of 848 healthy full-term infants was randomly selected from 10% of the sample of another study (Avon longitudinal study of pregnancy and childhood) from July to December 1992. | 0–24 months 30.7% (N = 260) | 5 years Height SD, weight SD, BMI SD, % body fat (Brook and Siri equation), fat mass, waist circumference. | Mean ± SD or 95% CI of the difference between RG, NG, and SG. p < 0.05 | Breastfeeding or artificial feeding | - SD height: RG 0.47 ± 0.80; NG 0.13 ± 0.89; SG −0.37 ± 0.98. - SD weight: RG 0.87 ± 0.93; NG 0.22 ± 0.87; SG −0.29 ± 0.93. - SD BMI: RG 0.82 ± 1.01; NG 0.19 ± 0.87; SG −0.07 ± 0.86. - % body fat: RG 17.2 (16.6–17.7); NG 15.8 (15.4–16.2); SG 14.7 (14.2–15.2). - Fat mass: RG 3.6 (3.4–3.7); NG 3.0 (2.9–3.1); SG 2.6 (2.5–2.8). - Waist circumference: RG 54.6 (54.2–55.1); NG 52.7 (52.3–53.0); SG 51.3 (50.9–51.8). p for all groups < 0.0005 | High |
| Karaolis- Danckert et al., 2007, Germany (Dortmund) [12]. | Open cohort study (Dortmund Nutritional and Anthropometric Longitudinally Designed Study) with 249 term healthy children with adequate gestational age size recruited since 1985. | 0–24 months 28.5% (N = 71) | 2–5 years Height SD, weight SD, BMI SD, % body fat (Deurenberg equation), tricipital fold SD, subscapular fold SD. Overweight (International Obesity Task Force, 10.04%, N = 25) Excess body fat (% body fat > 85th percentile, 18.47%, N = 46) Rate of change in % body fat and BMI between 2 and 5 years of age. | Mean ± SD or range (p < 0.05) of the difference between children with rapid growth and children without. β coefficients (p < 0.05). | - | - Height SD: RG 0.39 ± 0.98; NG −0.15 ± 0.96 (p < 0.0001). - Weight SD: RG 0.50 ± 0.94; NG −0.20 ± 0.95 (p < 0.0001). - BMI SD: RG 0.41 ± 0.90; NG −0.16 ± 0.99 (p < 0.0001). - % Body fat: RG 18 (15.4, 20.9); NG 16.7 (14.7, 19.4) (p = 0.02). - Triceps skinfold: SD RG 0.34 ± 0.94; NG −0.14 ± 0.99 (p = 0.0006). - Subscapular skinfold: SD RG 0.22 ± 1.08; NG −0.09 ± 0.96 (p = 0.03). - Overweight: RG 16.9% (12/71); NG 7.3% (13/178) (p = 0.02). - Excess body fat: RG 26.8% (19/71); NG 15.2% (27/178) (p = 0.03). - Trajectory of % body fat and BMI SD between 2 and 5 years: β 2.78, p < 0.0001; β 0.81, p < 0.0001. | High |
| Karaolis-Danckert et al., 2008, Germany (Berlin, Munich, Mainz, Düsseldorf, Freiburg) [13]. | Longitudinal Cohort Study from Birth (German Multicenter Allergy Study) with 370 healthy full-term babies with gestational age recruited between January and December 1990 from 6 University Hospitals in 5 German cities (Berlin, Munich, Mainz, Düsseldorf, and Freiburg). | 0–24 months 20% (N = 74) | 2–6 years: Height SD, weight SD, BMI SD, % body fat (Slaughter equation), triceps skinfold SD, subscapular skinfold SD, overweight (International Obesity Task Force, 13.2%, n = 45/341). Rate of change in % body fat and BMI SD between ages 2 and 6 years. | Mean ± SD (p < 0.05) of the difference between children with rapid growth and children without. p of the difference in overweight rates between the two groups. | - Height SD: RG 0.74 ± 0.94; NG −0.13 ± 0.98 (p < 0.0001). - Weight SD: RG 0.85 ± 0.80; NG −0.14 ± 0.88 (p < 0.0001). - BMI SD: RG 0.62 ± 0.84; NG −0.10 ± 0.85 (p < 0.0001). - % body fat: RG 15.5 (13.0, 19.1); NG 13.2 (11.3, 16.2) (p = 0.0002). - Triceps skinfold: SD RG 0.48 ± 1.07; NG 0.12 ± 0.95 (p = 0.02). - Subscapular skinfold: SD RG 0.10 ± 1.20; NG −0.82 ± 1.20 (p < 0.0001). - Overweight: RG 28.2% (20/71); NG 9.3% (25/270) (p < 0.0001). - Trajectory % body fat and BMI SD between ages 2 and 6 years: β 1.83, p = 0.004; β 0.91, p = 0.0003. | High | |
| Akaboshi et al., 2008, Japan (Kumamoto) [39]. | Retrospective cohort study with 1353 healthy children born at term between 1988 and 2000 who were recruited between November 2003 and September 2004. | 0–3/4 months 22.7% (N = 370) | 3 years Height, Weight Overweight (International Obesity Task Strength, 4.73%). | Mean ± SD (p < 0.05) Odds ratios (95% CI, p) of being overweight | Sex, birth weight, BMI, breastfeeding, weight at 6–9 months and at 17–20 months, head and chest circumference at 3–4 months. | - Height SD RG 0.31 ± 0.91; NG 0.07 ± 0.88; SG −0.03 ± 0.84 (p < 0.0001) - Weight SD RG 0.53 ± 1.13; NG 0.14 ± 0.87; SG −0.03 ± 0.84 (p < 0.0001) OR boys (n = 697) 6.767 (2.180–21.007) p 0.0009; OR girls (n = 657) 4.966 (2.388–10.327) p < 0.0001 8.8% of children with RG were overweight, compared to 3.5% of children without. | High |
| Hui et al., 2008, China (Hong Kong) [40]. | Prospective birth cohort study (Hong Kong Children of 1997 Birth Cohort) with 6075 healthy children born at term from April to May 1997, grouped into low, medium, and high birth weight. | 0–3 months 3–12 months Growth rate tertiles 33.33% (N = 2025) | 7 years SD BMI (WHO tables 2006), overweight and obesity (International Obesity Task Force, 15.3% n = 930). | Β coefficients (95% CI), Odds ratios (95% CI) of being overweight by sex and birth weight. | Sex, gestational age, baseline weight (at birth or 3 months), growth rate. | - BMI SD: 0–3 months β 0.50 (0.46–0.53), 3–12 months β 0.33 (0.28–0.37). - Overweight OR: RG 0–3 m girls (N = 899) 1.96 (1.22–3.15), boys (N = 882) 3.98 (2.62–6.05); RG 3–12 m girls (N= 899) 2.54 (1.43–4.53), boys (N = 882) 4.71 (2.86–7.77). | High |
| Larnkjaer et al., 2010, Denmark (Copenhagen) [21]. | Cohort study prospective (Copenhagen Cohort Study on Infant Nutrition and Growth) with 95 healthy children born at term between 1987 and 1988 with adequate size for their gestational age | Change in standard deviation between 0–9 months and 0–3 months 23% (N = 22) | 10 and 17 years Height, weight, BMI, % body fat, % trunk fat, waist-hip ratio, triceps skin fold | β coefficients (p < 0.05) | Sex, birth weight, BMI of parents | - 0–9 months. 17 years: BMI (β 1.223, p = 0.001), % body fat (β 1.388, p 0.028), % trunk fat (β 1.478, p = 0.025), triceps skinfold (β 1.824, p = 0.008). Waist–hip ratio (β 0.016, p = 0.082). No association with % trunk fat between % body fat (p = 0.414). - 0–3 months. 17 years: BMI (β 1.319, p = 0.029), % body fat (β 1.971, p 0.044), % trunk fat (β 2.096, p = 0.041), triceps skinfold (β 2.464, p = 0.023), waist-hip ratio (β 0.033, p = 0.018). No association between RG 3–6 m or 6–9 m. | High |
| Weng, 2013, United Kingdom [41]. | Longitudinal cohort study (Millennium Cohort Study) with 13,513 healthy children born at term. | 0–12 months Derivation Cohort: 42.9% (N = 3268) Validation Cohort: 42.9% (N = 772). | 3 years Overweight (International Obesity Task Strength, 23.4%). | β coefficients (integer score) Odds ratios (95% CI) p < 0.05. | Sex, birth weight, paternal and maternal BMI before pregnancy, smoking during pregnancy (yes/no), breast at some point in the 1st year (yes/no). | OR 4.15 (3.64–4.73, p = 0.001) p = 0.05 β 1.4239 (integer score 19) | High |
| Ejlerskov et al., 2015, Denmark (Copenhagen) [42]. | Prospective Cohort Study (SKOT) with 233 healthy full-term infants selected from the Danish national civil registry between April 2007 and May 2008. | 0–5 months 15.9% (N = 37) | 3 years Overweight (International Obesity Task Force 8.2%, WHO 1.7%), risk of being overweight (age-adjusted BMI SD > 1SD, 19.7%), age-adjusted BMI SD, fat mass index, fat-free mass index, skin folds. | β coefficients (p < 0.05) % of children with RG in the 4th quartile of fat mass index and free fat mass index (p < 0.05) | Parents: height and weight, weight gain during pregnancy, smoking during pregnancy, educational level. Child: gestational age, birth weight, feeding pattern (duration of breastfeeding, age of introduction of solids). | - Height: β 0.7 (n = 153, p < 0.05) - Weight: β 0.78 (n = 155, p < 0.001) - BMI: β 0.64 (n = 152, p < 0.001 ) - Fat mass index: β 0.42 (n = 152, p < 0.001) - Fat-free mass index: β 0.2 (n = 152, p < 0.001) - Fold sum: β 1.43 (n = 147) (p < 0.001) 6 months of exclusive breastfeeding eliminates this association. 48.7% of children with RG are in the 4th quartile of the fat mass index (N = 18), which is a % higher than that of children without (p < 0.031). The RG did not affect the probability of being in the highest quartile of fat-free mass index. | High |
| Wang, et al., 2016, United States [43]. | Prospective cohort study from birth with 1442 children (926 full-term and 516 early-term) | 0–4 months Slow (<−0.67), Normal (−0.67–0.67), Rapid (0.67–1.28), and Extremely Rapid (>1.28) 40.22% (N = 580) | 2–7 Years Overweight or obesity (CDC; 40.22% N = 580) BMI SD. | Mean ± SD β coefficients (95% CI) Odds ratios for overweight or obesity (95% CI) p < 0.05 | Maternal educational level, race, tobacco use during pregnancy, parity, pre-pregnancy BMI, hypertension, diabetes, fetal growth, and breastfeeding. | Full-Term (n = 926) RG and BMI Z-Score (0.97 ± 1.10, β = 0.37 (0.15, 0.59), p < 0.01). OR 1.5 (1.0, 2.4). RG and BMI Z-Score (1.04 ± 1.18, β = 0.39 (0.14, 0.64), p < 0.01). OR 1.6 (1.0, 2.6). Early-Term (N = 516) RG and BMI Z-Score (0.72 ± 1.27, β = 0.34 (0.06, 0.62), p < 0.05). OR 1.7 (1.0, 3.0). RG and BMI Z-Score (1.06 ± 1.15, β = 0.71 (0.45, 0.98), p < 0.001). OR 3.2 (1.9, 5.5) p < 0.001. | Acceptable |
| Flores-Barrantes et al., 2020, Spain (Zaragoza, Huesca, Teruel) [30]. | Prospective Cohort Study from Birth (CALINA Study) with 767 healthy full-term children born between March 2009 and February 2010 in Aragón. | 0–6 months 66.3% (N = 179) | 3, 5, and 6 years Age-adjusted BMI Z-Score Age-adjusted weight Z-Score Age-adjusted height Z-Score | p < 0.05 Mediation analysis (type of feeding in the first 120 days): β coefficients (95% CI) | Child: Birth weight, gestational age Parents: educational level of both parents, paternal and maternal pre-pregnancy BMI, parents’ origin (Spanish or immigrant), tobacco use during pregnancy. | Trajectory of BMI Z-Score by age from birth to 6 years was greater in children with RG (p = 0.001). There was no association with the trajectory of height-for-age Z-Score (p = 0.89) or weight-for-age Z-Score (p = 0.16). At 6 years, BMI Z-Score for age (n = 767). β 0.784 (0.579–0.990). The type of feeding did not mediate this association. | High |
| Petrov et al., 2020, United States (Arizona, Texas) [22]. | Secondary analysis of data from a clinical trial involving obese Mexican women recruited in the third trimester of pregnancy, with 126 healthy full-term infants with appropriate size for gestational age. | 0-6 months 35.7% (N = 45) | 36 months Overweight (CDC, 42.3%, N = 41/96) | Chi-square test (p < 0.05) Odds ratios (95% CI) | Mothers: Height and weight before pregnancy, parity, educational level, weight gain during pregnancy, tobacco use before pregnancy, assigned group in the trial. Child: Birth weight, sleep patterns. | N = 96 Chi-square test = 4.05, p = 0.04 OR = 2.35 (1.02–5.42) | High |
| Q. Lin et al., 2021, China (Shanghai) [44]. | Birth Cohort Study (The Shanghai Sleep Birth Cohort Study) with 262 pregnant women were recruited at Renji Hospital from May 2012 to July 2023, along with their healthy full-term born children. | 0–3 months 62% (N = 137) | 4 years Weight, BMI, waist circumference, biceps circumference, subcutaneous fat. | β coefficients (95% CI) | Family income, gestational age, maternal BMI before pregnancy and paternal, RN weight in the first 3 days, energy intake at 6 months. 4 food scales, outdoor time, social media time, and sleep time. | Rapid Growth (RG): Weight β 0.90 (0.37–1.44), BMI β 0.93 (0.49–1.37), waist circumference β 1.90 (0.68–3.12), biceps circumference β 1.05 (0.62–1.48), subcutaneous fat β 2.57 (1.13–4.01). No relationship with waist-to-height ratio β 0.01 (0.00–0.02). Trajectory of Change in Weight-for-Age Z-Score: Weight β 0.83 (0.30–1.36), BMI β 0.82 (0.38–1.26), waist circumference β 1.70 (0.47–2.92), biceps circumference β 0.92 (0.50–1.35), subcutaneous fat β 2.25 (0.81–3.69). No relationship with waist-to-height ratio β 0.01 (0.00–0.02). | High |
| Fujita et al., 2021, Japan [45]. | Retrospective cohort study (the Japan Kids Body-composition Study (JKB Study) with 423 adolescents born full-term. | 0–18 months 33.17% (boys, n = 68) and 38.53% (girls, n = 84) | 13–14 years BMI, waist circumference, fat mass index, % body fat | Mean of least squares standard error (p < 0.05) | Gestational age, sedentarism, rapid growth, maternal age in pregnancy, the appearance of pubic hair and puberal development, and birth weight adjusted by gestational age. | Boys: BMI RG 19.7 ± 0.4; NG 18.2 ± 0.4 (p < 0.01). Waist circumference RG 70.3 ± 1.2; NG 66.0 ± 1.1 (p < 0.01). Fat mass index RG 3.1 ± 0.2; NG 2.4 ± 0.2 (p < 0.01). Body Fat Percentage RG 15.2 ± 0.8; NG 12.9 ± 0.7 (p < 0.01). Girls: BMI RG 20.8 ± 0.4; NG 19.8 ± 0.4 (p = 0.01). Waist circumference RG 70.5 ± 1.0; NG 68.3 ± 0.9 (p = 0.02). Fat mass index RG 5.3 ± 0.2; NG 4.7 ± 0.2 (p = 0.01). Body fat percentage RG 24.5 ± 0.7; NG 22.9 ± 0.7 (p = 0.03). | High |
| Taylor et al. 2023, New Zealand (Dunedin) [46]. | Secondary analysis of data from a randomized controlled trial in the first years of life with 341 full-term babies >2500 g | 0–24 months (gaps of 6 or 12 months) 0.7–24.3% | 11 years Obesity (WHO; 18.5%). | Positive RG predictive value for obesity at age 11. | Sex, ethnicity, level of deprivation, maternal education, assigned group. | Percentage of children with RG who were obese at 11 years: 0–6 months: 31.4%, 6–12 months: 22%, 12–18 months: 23.5%, 18–24 months: 33.3%, 0–12 months: 23.9%, 6–18 months: 17.6%, 12–24 months: 27.6%. | High |
3. Results
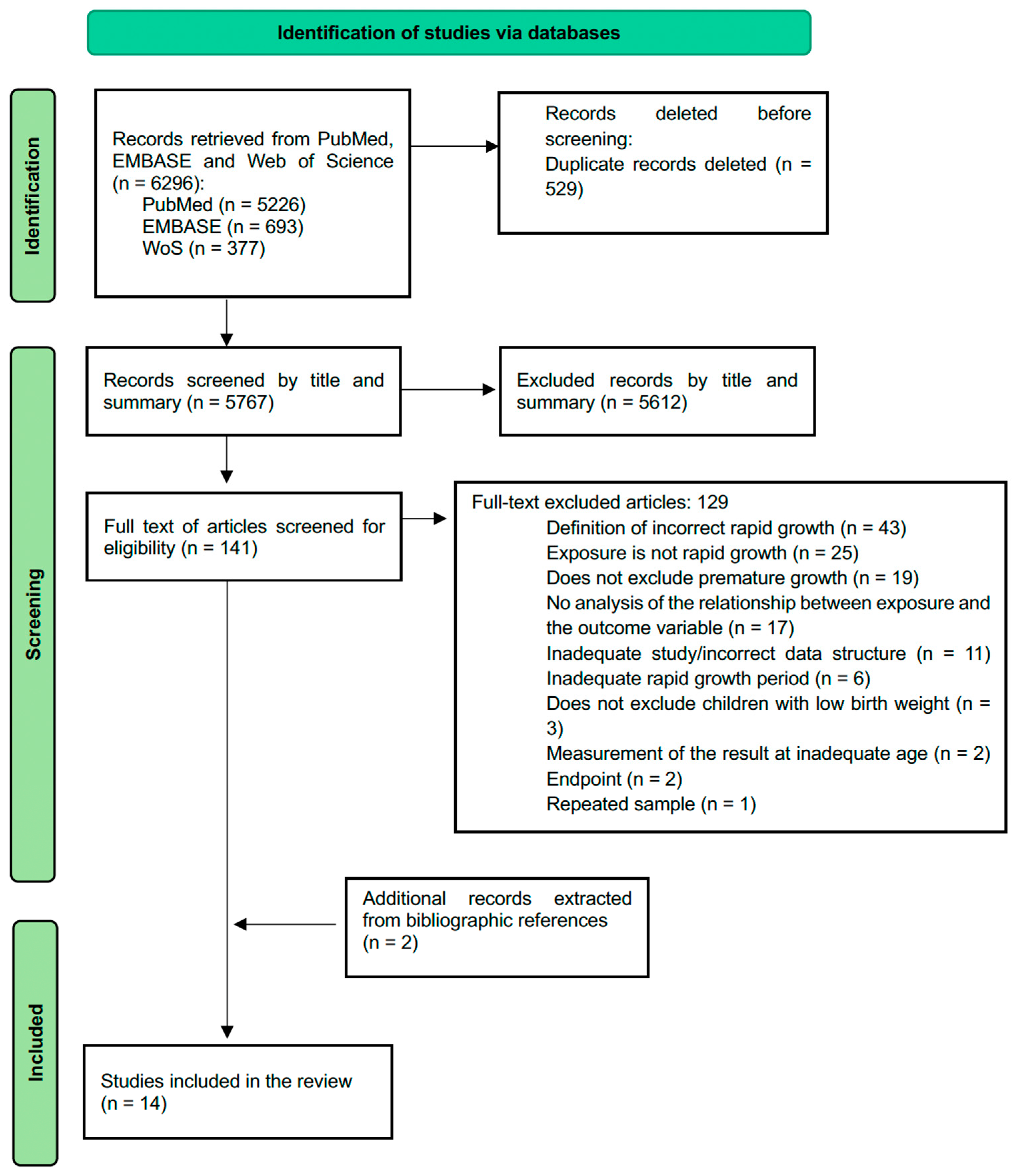
3.1. Selection of Studies
3.2. Characteristics of the Studies
3.3. Risk of Bias
3.4. Results of Individual Studies
3.5. Synthesis of Meta-Analysis Results and Sensitivity Analysis
3.5.1. Standardized Mean Differences of the Standard Deviation of Height
3.5.2. Standardized Mean Differences of the Standard Deviation of Weight
3.5.3. Standardized Mean Differences of the Standard Deviation of BMI
3.5.4. Logarithmic Odds Ratios for Developing Overweight
4. Discussion
4.1. Height, Weight, and Body Mass Index
4.2. Risk of Overweight/Obesity
4.3. Adiposity Measurements
4.4. Period and Duration of Postnatal Rapid Growth
4.5. Covariates
5. Strengths
6. Limitations
7. Conclusions
Supplementary Materials
Author Contributions
Funding
Institutional Review Board Statement
Informed Consent Statement
Data Availability Statement
Conflicts of Interest
References
- Organización Panamericana de la Salud. Prevención de la Obesidad. Available online: https://www3.paho.org/hq/dmdocuments/2015/Obesity-Plan-Of-Action-Child-Spa-2015.pdf (accessed on 21 April 2024).
- Lobstein, T.; Powis, J.; Jackson-Leach, R. World Obesity Atlas 2024. London. 2024. Available online: https://data.worldobesity.org/publications/?cat=22 (accessed on 21 April 2024).
- Lobstein, T.; Rigby, N.; Jackson-Leach, R. International Obesity Task Force EU Platform Briefing Paper; European Association for the Study of Obesity: Brussels, Belgium, 2005. [Google Scholar]
- Division of Nutrition, Physical Activity, and Obesity NC for CDP and HP. Child and Teen BMI. 2022. Available online: https://www.cdc.gov/dnpao-data-trends-maps/about/index.html (accessed on 21 April 2024).
- Organización Mundial de la Salud. Obesidad y Sobrepeso. 2024. Available online: https://www.who.int/es/news-room/fact-sheets/detail/obesity-and-overweight (accessed on 21 April 2024).
- Pandita, A.; Sharma, D.; Pandita, D.; Pawar, S.; Tariq, M.; Kaul, A. Childhood obesity: Prevention is better than cure. Diabetes Metab. Syndr. Obes. 2016, 9, 83–89. [Google Scholar] [CrossRef] [PubMed]
- Ong, K.; Loos, R. Rapid infancy weight gain and subsequent obesity: Systematic reviews and hopeful suggestions. Acta Paediatr. 2006, 95, 904–908. [Google Scholar] [CrossRef] [PubMed]
- Zheng, M.; Lamb, K.E.; Grimes, C.; Laws, R.; Bolton, K.; Ong, K.K.; Campbell, K. Rapid weight gain during infancy and subsequent adiposity: A systematic review and meta-analysis of evidence. Obes. Rev. 2018, 19, 321–332. [Google Scholar] [CrossRef] [PubMed]
- Moreno Villares, J.M. Los mil primeros días de vida y la prevención de la enfermedad en el adulto. Nutr. Hosp. 2016, 33, 8–11. [Google Scholar] [CrossRef]
- Reyes, R.B.; Carrocera, L.A.F. Programación metabólica fetal. Perinatol. Reprod. Hum. 2015, 29, 99–105. [Google Scholar] [CrossRef][Green Version]
- Halilagic, A.; Moschonis, G. The Effect of Growth Rate during Infancy on the Risk of Developing Obesity in Childhood: A Systematic Literature Review. Nutrients 2021, 13, 3449. [Google Scholar] [CrossRef]
- Karaolis-Danckert, N.; Günther, A.L.B.; Kroke, A.; Hornberg, C.; Buyken, A.E. How early dietary factors modify the effect of rapid weight gain in infancy on subsequent body-composition development in term children whose birth weight was appropriate for gestational age. Am. J. Clin. Nutr. 2007, 86, 1700–1708. [Google Scholar] [CrossRef] [PubMed]
- Karaolis-Danckert, N.; Buyken, A.E.; Kulig, M.; Kroke, A.; Forster, J.; Kamin, W.; Schuster, A.; Hornberg, C.; Keil, T.; Bergmann, R.L.; et al. How pre- and postnatal risk factors modify the effect of rapid weight gain in infancy and early childhood on subsequent fat mass development: Results from the Multicenter Allergy Study 90. Am. J. Clin. Nutr. 2008, 87, 1356–1364. [Google Scholar] [CrossRef] [PubMed]
- Dubois, L.; Feng, C.; Bédard, B.; Yu, Y.; Luo, Z.-C.; Marc, I.; Fraser, W.D. Breast-feeding, rapid growth in the first year of life and excess weight at the age of 2 years: The 3D Cohort Study. Public Health Nutr. 2022, 25, 3455–3465. [Google Scholar] [CrossRef]
- Felder, J.N.; Epel, E.; Coccia, M.; Cordeiro, A.; Laraia, B.; Adler, N.; Coleman-Phox, K.; Bush, N.R. Prenatal Maternal Objective and Subjective Stress Exposures and Rapid Infant Weight Gain. J. Pediatr. 2020, 222, 45–51. [Google Scholar] [CrossRef]
- Pesch, M.H.; Pont, C.M.; Lumeng, J.C.; McCaffery, H.; Tan, C.C. Mother and Infant Predictors of Rapid Infant Weight Gain. Clin. Pediatr. 2019, 58, 1515–1521. [Google Scholar] [CrossRef] [PubMed]
- Lindholm, A.; Bergman, S.; Alm, B.; Bremander, A.; Dahlgren, J.; Roswall, J.; Staland-Nyman, C.; Almquist-Tangen, G. Nutrition- and feeding practice-related risk factors for rapid weight gain during the first year of life: A population-based birth cohort study. BMC Pediatr. 2020, 20, 507. [Google Scholar] [CrossRef] [PubMed]
- Hails, K.A.; Whipps, M.D.M.; Gross, R.S.; Bogen, D.L.; Morris, P.A.; Mendelsohn, A.L.; Shaw, D.S. Breastfeeding and Responsive Parenting as Predictors of Infant Weight Change in the First Year. J. Pediatr. Psychol. 2021, 46, 768–778. [Google Scholar] [CrossRef] [PubMed]
- Ramírez-Vélez, R. Programación Fetal in utero y su impacto en la salud del adulto. Endocrinol. Nutr. 2012, 59, 383–393. [Google Scholar] [CrossRef]
- Karaolis-Danckert, N.; Buyken, A.E.; Bolzenius, K.; De Faria, C.P.; Lentze, M.J.; Kroke, A. Rapid growth among term children whose birth weight was appropriate for gestational age has a longer lasting effect on body fat percentage than on body mass index. Am. J. Clin. Nutr. 2006, 84, 1449–1455. [Google Scholar] [CrossRef]
- Larnkjær, A.; Schack-Nielsen, L.; Mølgaard, C.; Ingstrup, H.K.; Holst, J.J.; Michaelsen, K.F. Effect of growth in infancy on body composition, insulin resistance, and concentration of appetite hormones in adolescence. Am. J. Clin. Nutr. 2010, 91, 1675–1683. [Google Scholar] [CrossRef]
- Petrov, M.E.; Whisner, C.M.; McCormick, D.; Todd, M.; Reyna, L.; Reifsnider, E. Sleep-wake patterns in newborns are associated with infant rapid weight gain and incident adiposity in toddlerhood. Pediatr. Obes 2021, 16, e12726. [Google Scholar] [CrossRef]
- Davanzo, R.; Romagnoli, C.; Corsello, G. Position Statement on Breastfeeding from the Italian Pediatric Societies. Ital. J. Pediatr 2015, 41, 80. [Google Scholar] [CrossRef]
- Meek, J.Y.; Noble, L. Policy Statement: Breastfeeding and the Use of Human Milk. Pediatrics 2022, 150, e2022057988. [Google Scholar] [CrossRef]
- Organización Mundial de la Salud. Alimentación del Lactante y del Niño Pequeño. 2023. Available online: https://www.who.int/es/news-room/fact-sheets/detail/infant-and-young-child-feeding (accessed on 30 April 2024).
- Yan, J.; Liu, L.; Zhu, Y.; Huang, G.; Wang, P.P. The association between breastfeeding and childhood obesity: A meta-analysis. BMC Public Health. 2014, 14, 1267. [Google Scholar] [CrossRef]
- Wood, C.T.; Witt, W.P.; Skinner, A.C.; Yin, H.S.; Rothman, R.L.; Sanders, L.M.; Delamater, A.M.; Flower, K.B.; Kay, M.C.; Perrin, E.M. Effects of Breastfeeding, Formula Feeding, and Complementary Feeding on Rapid Weight Gain in the First Year of Life. Acad. Pediatr. 2021, 21, 288–296. [Google Scholar] [CrossRef] [PubMed]
- Bell, K.A.; Wagner, C.L.; Feldman, H.A.; Shypailo, R.J.; Belfort, M.B. Associations of infant feeding with trajectories of body composition and growth. Am. J. Clin. Nutr. 2017, 106, 491–498. [Google Scholar] [CrossRef]
- Iguacel, I.; Monje, L.; Cabero, M.J.; Aznar, L.A.M.; Samper, M.P.; Rodríguez-Palmero, M.; Rivero, M.; Rodríguez, G. Feeding patterns and growth trajectories in breast-fed and formula-fed infants during the introduction of complementary food. Nutr. Hosp. 2019, 36, 777–785. [Google Scholar] [CrossRef] [PubMed]
- Flores-Barrantes, P.; Iguacel, I.; Iglesia-Altaba, I.; Moreno, L.A.; Rodríguez, G. Rapid Weight Gain, Infant Feeding Practices, and Subsequent Body Mass Index Trajectories: The CALINA Study. Nutrients 2020, 12, 3178. [Google Scholar] [CrossRef] [PubMed]
- Yang, S.; Mei, H.; Mei, H.; Yang, Y.; Li, N.; Tan, Y.; Zhang, Y.; Zhang, D.; Zhang, Y.; Peng, A.; et al. Risks of maternal prepregnancy overweight/obesity, excessive gestational weight gain, and bottle-feeding in infancy rapid weight gain: Evidence from a cohort study in China. Sci. China Life Sci. 2019, 62, 1580–1589. [Google Scholar] [CrossRef]
- Baird, J.; Fisher, D.; Lucas, P.; Kleijnen, J.; Roberts, H.; Law, C. Being big or growing fast: Systematic review of size and growth in infancy and later obesity. BMJ 2005, 331, 929–931. [Google Scholar] [CrossRef]
- Andrea, S.B.; Hooker, E.R.; Messer, L.C.; Tandy, T.; Boone-Heinonen, J. Does the association between early life growth and later obesity differ by race/ethnicity or socioeconomic status? A systematic review. Ann. Epidemiol. 2017, 27, 583–592.e5. [Google Scholar] [CrossRef] [PubMed]
- Chen, Y.; Wang, Y.; Chen, Z.; Xin, Q.; Yu, X.; Ma, D. The effects of rapid growth on body mass index and percent body fat: A meta-analysis. Clin. Nutr. 2020, 39, 3262–3272. [Google Scholar] [CrossRef] [PubMed]
- Page, M.J.; McKenzie, J.E.; Bossuyt, P.M.; Boutron, I.; Hoffmann, T.C.; Mulrow, C.D.; Shamseer, L.; Tetzlaff, J.M.; Akl, E.A.; Brennan, S.E.; et al. The PRISMA 2020 statement: An updated guideline for reporting systemactic reviews. BMJ 2021, 372, n71. [Google Scholar] [CrossRef]
- Moola, S.; Munn, Z.; Tufunaru, C.; Aromataris, E.; Sears, K.; Sfetc, R.; Currie, M.; Lisy, K.; Quershi, R.; Mattis, P.; et al. Systematic reviews of etiology and risk. JBI Man. Evid. Synth. 2024. [Google Scholar] [CrossRef]
- Borenstein, M.; Hedges, L.V.; Higgins, J.P.; Rothstein, H.R. Identifying and quantifyng heterogeneity. In Introduction to Meta-Analysis; Jonh Wiley & Sons, Ltd.: Hoboken, NJ, USA, 2009; pp. 107–125. [Google Scholar]
- Ong, K.K.L.; Ahmed, M.L.; Dunger, D.B.; Emmett, P.M.; Preece, M.A. Association between postnatal catch-up growth and obesity in childhood: Prospective cohort study. Br. Med. J. 2000, 320, 967–971. [Google Scholar] [CrossRef]
- Akaboshi, I.; Haraguchi, Y.; Mizumoto, Y.; Kitano, A.; Kan, H. Taller stature after postnatal rapid weight gain in early infancy predicts overweight status at age 3. Acta Paediatr. 2008, 97, 1460–1464. [Google Scholar] [CrossRef] [PubMed]
- Hui, L.L.; Schooling, C.M.; Leung, S.S.L.; Mak, K.H.; Ho, L.M.; Lam, T.H.; Leung, G.M. Birth weight, infant growth, and childhood body mass index: Hong Kong’s children of 1997 birth cohort. Arch. Pediatr. Adolesc. Med. 2008, 162, 212–218. [Google Scholar] [CrossRef] [PubMed]
- Weng, S.F.; Redsell, S.A.; Nathan, D.; Swift, J.A.; Yang, M.; Glazebrook, C. Estimating Overweight Risk in Childhood From Predictors During Infancy. Pediatrics 2013, 132, e414–e421. [Google Scholar] [CrossRef]
- Ejlerskov, K.T.; Christensen, L.B.; Ritz, C.; Jensen, S.M.; Molgaard, C.; Michaelsen, K.F. The impact of early growth patterns and infant feeding on body composition at 3 years of age. Br. J. Nutr. 2015, 114, 316–327. [Google Scholar] [CrossRef] [PubMed]
- Wang, G.; Johnson, S.; Gong, Y.; Polk, S.; Divall, S.; Radovick, S.; Moon, M.; Paige, D.; Hong, X.; Caruso, D.; et al. Weight Gain in Infancy and Overweight or Obesity in Childhood across the Gestational Spectrum: A Prospective Birth Cohort Study. Sci. Rep. 2016, 6, 29867. [Google Scholar] [CrossRef] [PubMed]
- Lin, Q.; Jiang, Y.; Wang, G.; Sun, W.; Dong, S.; Deng, Y.; Meng, M.; Zhu, Q.; Mei, H.; Zhou, Y.; et al. Combined effects of weight change trajectories and eating behaviors on childhood adiposity status: A birth cohort study. Appetite 2021, 162, 10574. [Google Scholar] [CrossRef]
- Fujita, Y.; Kouda, K.; Ohara, K.; Nakamura, H.; Nakama, C.; Nishiyama, T.; Iki, M. Infant weight gain and DXA-measured adolescent adiposity: Data from the Japan Kids Body-composition Study. J. Physiol. Anthropol. 2021, 40, 10. [Google Scholar] [CrossRef]
- Taylor, R.W.; Haszard, J.J.; Meredith-Jones, K.A.; Heath, A.-L.M.; Galland, B.C.; Gray, A.R.; Fortune, S.; Sullivan, T.; Adebowale, T.; Taylor, B.J. Rapid infant weight gain or point-in-time weight status: Which is the best predictor of later obesity and body composition? Obesity 2023, 31, 2583–2592. [Google Scholar] [CrossRef]
- Zheng, M.; Hesketh, K.D.; Vuillermin, P.; Dodd, J.; Wen, L.M.; Baur, L.A.; Taylor, R.; Byrne, R.; Mihrshahi, S.; Burgner, D.; et al. Understanding the pathways between prenatal and postnatal factors and overweight outcomes in early childhood: A pooled analysis of seven cohorts. Int. J. Obes. 2023, 47, 574–582. [Google Scholar] [CrossRef]
- Druet, C.; Stettler, N.; Sharp, S.; Simmons, R.K.; Cooper, C.; Davey Smith, G.; Ekelund, U.; Lévy-Marchal, C.; Jarvelin, M.-R.; Kuh, D.; et al. Prediction of childhood obesity by infancy weight gain: An individual-level meta-analysis. Paediatr. Perinat. Epidemiol. 2012, 26, 19–26. [Google Scholar] [CrossRef] [PubMed]
- Rallis, D.; Balomenou, F.; Tzoufi, M.; Giapros, V. A systematic review indicates an association between birth weight and body fat in childhood. Acta Paediatr. 2021, 110, 2023–2039. [Google Scholar] [CrossRef]
- Ong, K.K. Catch-up growth in small for gestational age babies: Good or bad? Curr. Opin. Endocrinol. Diabetes Obes. 2007, 14, 30–34. [Google Scholar] [CrossRef] [PubMed]
- Cho, W.K.; Suh, B.K. Catch-up growth and catch-up fat in children born small for gestational age. Korean J. Pediatr. 2016, 59, 1. [Google Scholar] [CrossRef] [PubMed]
- Yang, Z.; Huffman, S.L. Nutrition in pregnancy and early childhood and associations with obesity in developing countries. Matern. Child. Nutr. 2013, 9 (Suppl. 1), 105. [Google Scholar] [CrossRef]
- Cooke, R.; Goulet, O.; Huysentruyt, K.; Joosten, K.; Khadilkar, A.V.; Mao, M.; Meyer, R.; Prentice, A.M.; Singhal, A. Catch-Up Growth in Infants and Young Children With Faltering Growth: Expert Opinion to Guide General Clinicians. J. Pediatr. Gastroenterol. Nutr. 2023, 77, 7–15. [Google Scholar] [CrossRef]





| Number | Term | Limit |
|---|---|---|
| 1.1 | “Infant, newborn” OR “Infant” OR “Child, preschool” OR “Child” OR “Adolescent” | MeSH Terms |
| 1.2 | “Infants” OR “Newborn*” OR “Neonate *” OR “Preschool *” OR “Child*” OR “Infancy” | Title/Abstract |
| 2.1 | “Obesity” OR “Pediatric Obesity” OR “Obesity, abdominal” OR “Overweight” OR “Adiposity” OR “Adipose Tissue” OR “Body Fat Distribution” OR “Waist Circumference” OR “Body Mass Index” OR “Skinfold Thickness” | MeSH Terms |
| 2.2 | “Obes *” OR “Overweight” OR “Adipos *” OR “Fat” OR “Fatty” OR “Waist Circumference” OR “Body Mass Index” OR “Quetelet index” OR “BMI” OR “Skinfold thickness *” | Title/Abstract |
| 3 | “Weight” OR “Catch-up” OR “Rapid Weight Gain” OR “RWG” OR “Rapid Growth” | Title/Abstract |
| 4.1 | “Infant, newborn” OR “Infant” | MeSH Terms |
| 4.2 | “Infants” OR “Newborn *” OR “Neonate *” OR “Infancy” | Title/Abstract |
| 5 | 1.1 OR 1.2 | |
| 6 | 2.1 OR 2.2 | |
| 7 | 4.1 OR 4.2 | |
| 8 | 3 AND 5 AND 6 AND 7 | Filters: Humans, Child: birth-18 years |
Disclaimer/Publisher’s Note: The statements, opinions and data contained in all publications are solely those of the individual author(s) and contributor(s) and not of MDPI and/or the editor(s). MDPI and/or the editor(s) disclaim responsibility for any injury to people or property resulting from any ideas, methods, instructions or products referred to in the content. |
© 2024 by the authors. Licensee MDPI, Basel, Switzerland. This article is an open access article distributed under the terms and conditions of the Creative Commons Attribution (CC BY) license (https://creativecommons.org/licenses/by/4.0/).
Share and Cite
Doñate Carramiñana, L.; Guillén Sebastián, C.; Iglesia Altaba, I.; Nagore Gonzalez, C.; Alvarez Sauras, M.L.; García Enguita, S.; Rodriguez Martinez, G. Rapid Growth between 0 and 2 Years Old in Healthy Infants Born at Term and Its Relationship with Later Obesity: A Systematic Review and Meta-Analysis of Evidence. Nutrients 2024, 16, 2939. https://doi.org/10.3390/nu16172939
Doñate Carramiñana L, Guillén Sebastián C, Iglesia Altaba I, Nagore Gonzalez C, Alvarez Sauras ML, García Enguita S, Rodriguez Martinez G. Rapid Growth between 0 and 2 Years Old in Healthy Infants Born at Term and Its Relationship with Later Obesity: A Systematic Review and Meta-Analysis of Evidence. Nutrients. 2024; 16(17):2939. https://doi.org/10.3390/nu16172939
Chicago/Turabian StyleDoñate Carramiñana, Luz, Cristina Guillén Sebastián, Iris Iglesia Altaba, Carlos Nagore Gonzalez, Maria Luisa Alvarez Sauras, Sheila García Enguita, and Gerardo Rodriguez Martinez. 2024. "Rapid Growth between 0 and 2 Years Old in Healthy Infants Born at Term and Its Relationship with Later Obesity: A Systematic Review and Meta-Analysis of Evidence" Nutrients 16, no. 17: 2939. https://doi.org/10.3390/nu16172939
APA StyleDoñate Carramiñana, L., Guillén Sebastián, C., Iglesia Altaba, I., Nagore Gonzalez, C., Alvarez Sauras, M. L., García Enguita, S., & Rodriguez Martinez, G. (2024). Rapid Growth between 0 and 2 Years Old in Healthy Infants Born at Term and Its Relationship with Later Obesity: A Systematic Review and Meta-Analysis of Evidence. Nutrients, 16(17), 2939. https://doi.org/10.3390/nu16172939

