Polyphenols in Cereals: State of the Art of Available Information and Its Potential Use in Epidemiological Studies
Abstract
1. Introduction
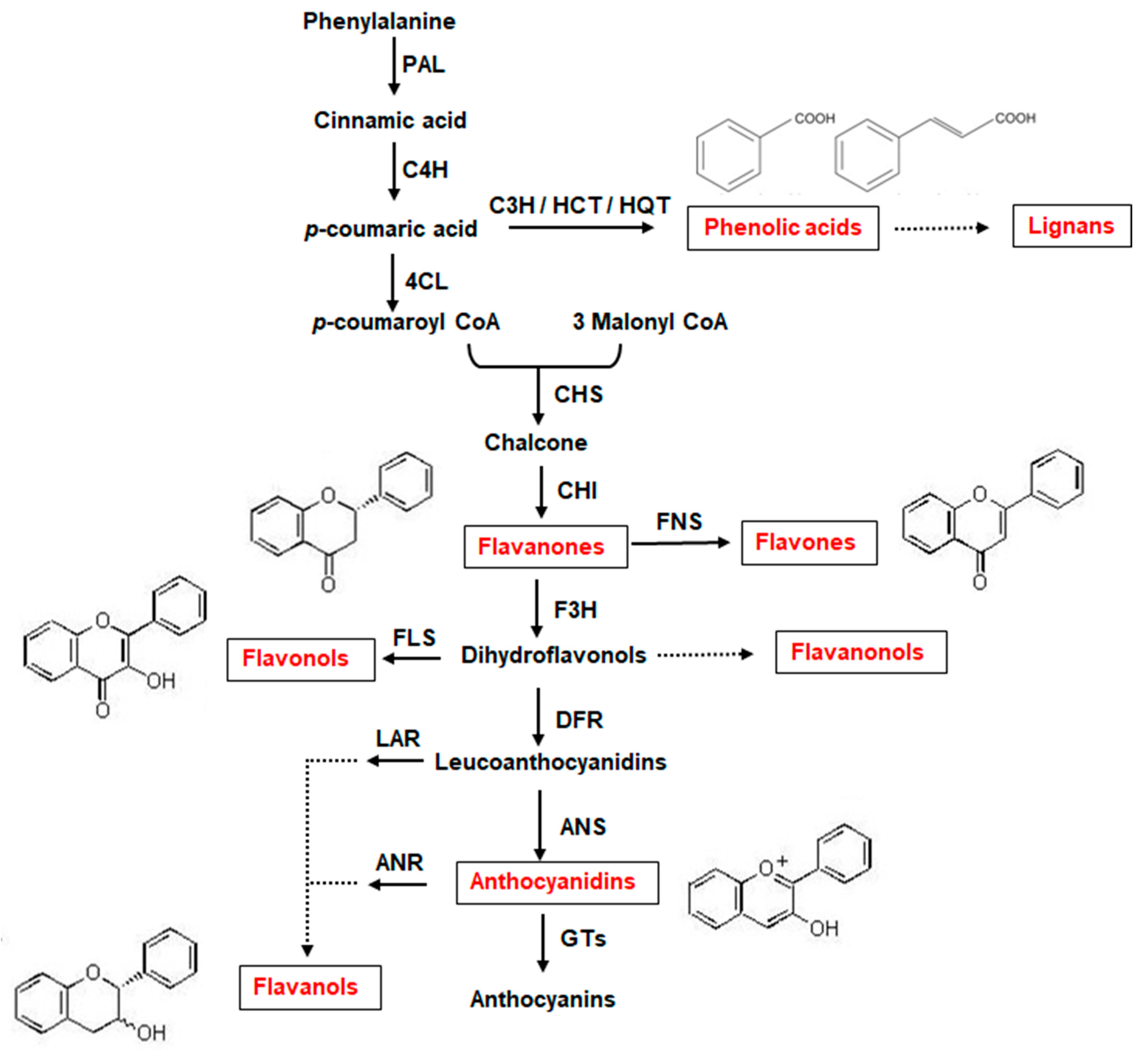
2. Defining Polyphenols: Structure and Properties
3. State of the Art of Available Databases on Polyphenol Contents in Cereals
4. Focus on Pigmented Cereals for Foods and Beverages
5. Estimating Polyphenol Intake from Cereals: Challenges and Opportunities
5.1. Observational Studies on Polyphenol Intake
5.2. Measuring Polyphenol Intake through Dietary Assessment
5.3. Food Consumption Data Sources, Food Categorization and Linkage with Databases on Polyphenol Content
6. Conclusions and Future Perspective
- -
- The inclusion of new consumer trends regarding novel cereal-based products, such as nutrient-rich foods, pigmented cereals, dietary supplements, etc., should be reflected in a higher resolution of food compositional data.
- -
- Information about the food composition of cereal-based products should consider all cereal species, the geographical and agricultural practices, and all peculiar preparation and cooking procedures that could influence the profiles of polyphenols.
- -
- A more frequent update of the scientific literature about the data of cereal composition in the databases could provide research insights on attributes that influence the variability of classic and emerging bioactive compounds of public health importance.
- -
- The use of standardized procedures in analytical methods for food composition databases could allow the obtainment of a reliable database for epidemiological studies.
- -
- Measuring polyphenol intake requires an optimal link between the consumption and occurrence data of individual food sources, considering food preparation and processing. This could be hampered by differences in the level of detail of food databases.
- -
- Dietary assessment tools should be validated for measuring polyphenol intake before use in epidemiologic studies.
- -
- Standardized food categorization systems would reduce the subjectiveness of data matching procedures, thereby improving the robustness of estimates.
- -
- The use of harmonized food consumption data will improve the comparability of results across population groups; targeted dietary data collection in specific geographical areas/sub-groups should complement the existing information.
- -
- The overcoming of the evidenced limitations will certainly be a step towards the formulation of dietary recommendations, which will have a major impact on the health of the population.
Supplementary Materials
Author Contributions
Funding
Conflicts of Interest
References
- Bizzozero-Peroni, B.; Brazo-Sayavera, J.; Martínez-Vizcaíno, V.; Fernández-Rodríguez, R.; López-Gil, J.F.; Díaz-Goñi, V.; Cavero-Redondo, I.; Mesas, A.E. High Adherence to the Mediterranean Diet is Associated with Higher Physical Fitness in Adults: A Systematic Review and Meta-Analysis. Adv. Nutr. 2022, 13, 2195–2206. [Google Scholar] [CrossRef]
- Tammi, R.; Männistö, S.; Maukonen, M.; Kaartinen, N.E. Whole grain intake, diet quality and risk factors of chronic diseases: Results from a population-based study in Finnish adults. Eur. J. Nutr. 2024, 63, 397–408. [Google Scholar] [CrossRef]
- Hu, Y.; Ding, M.; Sampson, L.; Willett, W.C.; Manson, J.E.; Wang, M.; Rosner, B.; Hu, F.B.; Sun, Q. Intake of whole grain foods and risk of type 2 diabetes: Results from three prospective cohort studies. BMJ 2020, 370, 2206. [Google Scholar] [CrossRef] [PubMed]
- WHO. Carbohydrate Intake for Adults and Children: WHO Guideline; License: CCBY-NC-SA3.0IGO; World Health Organization: Geneva, Switzerland, 2023.
- Poutanen, K.S.; Kårlund, A.O.; Gómez-Gallego, C.; Johansson, D.P.; Scheers, N.M.; Marklinder, I.M.; Eriksen, A.K.; Silventoinen, P.C.; Nordlund, E.; Sozer, N.; et al. Grains—A major source of sustainable protein for health. Nutr. Rev. 2022, 80, 1648–1663. [Google Scholar] [CrossRef]
- EC. Short-Term Outlook for EU Agricultural Markets, Spring 2024; European Commission, DG Agriculture and Rural Development: Brussels, Belgium, 2024. [Google Scholar]
- Laskowski, W.; Górska-Warsewicz, H.; Rejman, K.; Czeczotko, M.; Zwolińska, J. How Important are Cereals and Cereal Products in the Average Polish Diet? Nutrients 2019, 11, 679. [Google Scholar] [CrossRef]
- Cappellini, F.; Marinelli, A.; Toccaceli, M.; Tonelli, C.; Petroni, K. Anthocyanins: From Mechanisms of Regulation in Plants to Health Benefits in Foods. Front. Plant Sci. 2021, 12, 748049. [Google Scholar] [CrossRef] [PubMed]
- Marone, D.; Mastrangelo, A.M.; Borrelli, G.M.; Mores, A.; Laidò, G.; Russo, M.A.; Ficco, D.B.M. Specialized metabolites: Physiological and biochemical role in stress resistance, strategies to improve their accumulation, and new applications in crop breeding and management. Plant Physiol. Biochem. 2022, 172, 48–55. [Google Scholar] [CrossRef] [PubMed]
- Vingrys, K.; Mathai, M.L.; Apostolopoulos, V.; Bassett, J.K.; de Courten, M.; Stojanovska, L.; Millar, L.; Giles, G.G.; Milne, R.L.; Hodge, A.M.; et al. Estimated dietary intake of polyphenols from cereal foods and associated lifestyle and demographic factors in the Melbourne Collaborative Cohort Study. Sci. Rep. 2023, 13, 8556. [Google Scholar] [CrossRef]
- Roasa, J.; De Villa, R.; Mine, Y.; Tsao, R. Phenolics of cereal, pulse and oilseed processing by-products and potential effects of solid-state fermentation on their bioaccessibility, bioavailability and health benefits: A review. Trends Food Sci. Technol. 2021, 116, 954–974. [Google Scholar] [CrossRef]
- Kadiri, O.; Fasogbon, B.M.; Onobun, D.O.; Emoshioke, M.; Ukejeh, R.N.; Navi, P. Pigmented Cereals and Millets Bioactive Profile and Food Applications; Bangar, S.P., Maqsood, S., Siroha, A.K., Eds.; The Royal Society of Chemistry: London, UK, 2023; Chapter 13; pp. 339–354. [Google Scholar]
- Fărcaș, A.C.; Socaci, S.A.; Nemeș, S.A.; Pop, O.L.; Coldea, T.E.; Fogarasi, M.; Biriș-Dorhoi, E.S. An update regarding the bioactive compound of cereal by-products: Health benefits and potential applications. Nutrients 2022, 14, 3470. [Google Scholar] [CrossRef]
- Yılmaz, B.; Sırbu, A.; Betül, H.; Başar, A.; Goksen, G.; Chabı, I.B.; Kumagaı, H.; Ozogul, F. Potential roles of cereal bioactive compounds in the prevention and treatment of type 2 diabetes: A review of the current knowledge. Crit. Rev. Food Sci. Nutr. 2023. [Google Scholar] [CrossRef] [PubMed]
- Francavilla, A.; Joye, I.J. Anthocyanins in whole grain cereals and their potential effect on health. Nutrients 2020, 12, 2922. [Google Scholar] [CrossRef] [PubMed]
- European Food Safety Authority. Comprehensive European Food Consumption Database. Available online: https://www.efsa.europa.eu/en/data-report/food-consumption-data (accessed on 19 February 2024).
- FAO/WHO GIFT—Global Individual Food Consumption Data Tool. Available online: https://www.fao.org/gift-individual-food-consumption/data/en (accessed on 20 June 2024).
- Scarano, A.; Chieppa, M.; Santino, A. Plant Polyphenols-Biofortified Foods as a Novel Tool for the Prevention of Human Gut Diseases. Antioxidants 2020, 9, 1225. [Google Scholar] [CrossRef] [PubMed]
- Borrelli, G.M.; Menga, V.; Giovanniello, V.; Ficco, D.B.M. Antioxidants and Phenolic Acid Composition of Wholemeal and Refined-Flour, and Related Biscuits in Old and Modern Cultivars Belonging to Three Cereal Species. Foods 2023, 12, 2551. [Google Scholar] [CrossRef] [PubMed]
- De la Rosa, L.A.; Moreno-Escamilla, J.O.; Rodrigo-Garcia, J.; Alvarez-Parrilla, E. Phenolic compounds. In Postharvest Physiology and Biochemistry of Fruits and Vegetables; Yahia, E.M., Carrillo-Lopez, A., Eds.; Woodhead Publishing: Sawston, UK, 2019; pp. 253–271. [Google Scholar]
- Wang, Z.; Li, S.; Ge, S.; Lin, S. Review of distribution, extraction methods, and health benefits of bound phenolics in food plants. J. Agric. Food Chem. 2020, 68, 3330–3343. [Google Scholar] [CrossRef] [PubMed]
- Colombo, R.; Ferron, L.; Papetti, A. Colored corn: An up-date on metabolites extraction, health implication, and potential use. Molecules 2021, 26, 199. [Google Scholar] [CrossRef] [PubMed]
- Bhushan, B.; Kumar, S.; Kaur, C.; Devi, V.; Choudhary, D.P.; Singh, A.; Dagla, M.C.; Karjagi, C.; Saleena, L.A.K.; Chandran, D.; et al. Beyond colors: The health benefits of maize anthocyanins. Appl. Food Res. 2024, 4, 100399. [Google Scholar] [CrossRef]
- Mbanjo, E.G.N.; Kretzschmar, T.; Jones, H.; Ereful, N.; Blanchard, C.; Boyd, L.A.; Sreenivasulu, N. The genetic basis and nutritional benefits of pigmented rice grain. Front. Genet. 2020, 11, 473353. [Google Scholar] [CrossRef] [PubMed]
- Saini, P.; Kumar, N.; Kumar, S.; Mwaurah, P.W.; Panghal, A.; Attkan, A.K.; Singh, V.K.; Garg, M.K.; Singh, V. Bioactive compounds, nutritional benefits and food applications of colored wheat: A comprehensive review. Crit. Rev. Food Sci. Nutr. 2021, 61, 3197–3210. [Google Scholar] [CrossRef]
- Plumb, J.; Pigat, S.; Bompola, F.; Cushen, M.; Pinchen, H.; Nørby, E.; Astley, S.; Lyons, J.; Kiely, M.; Finglas, P. eBASIS (Bioactive Substances in Food Information Systems) and Bioactive Intakes: Major Updates of the Bioactive Compound Composition and Beneficial Bioeffects Database and the Development of a Probabilistic Model to Assess Intakes in Europe. Nutrients 2017, 9, 320. [Google Scholar] [CrossRef]
- Pounis, G.; Di Castelnuovo, A.; Bonaccio, M.; Costanzo, S.; Persichillo, M.; Krogh, V.; Donati, M.B.; de Gaetano, G.; Iacoviello, L. Flavonoid and lignan intake in a Mediterranean population: Proposal for a holistic approach in polyphenol dietary analysis, the Moli-sani Study. Eur. J. Clin. Nutr. 2016, 70, 338–345. [Google Scholar] [CrossRef] [PubMed]
- Abdel-Aal, E.-S.M.; Young, J.C.; Rabalski, I. Anthocyanin composition in black, blue, pink, purple, and red cereal grains. J. Agric. Food Chem. 2006, 54, 4696–4704. [Google Scholar] [CrossRef] [PubMed]
- Liu, Q.; Qiu, Y.; Beta, T. Comparison of antioxidant activities of different colored wheat grains and analysis of phenolic compounds. J. Agric. Food Chem. 2010, 58, 9235–9241. [Google Scholar] [CrossRef] [PubMed]
- Ficco, D.B.M.; De Simone, V.; Colecchia, S.A.; Pecorella, I.; Platani, C.; Nigro, F.; Finocchiaro, F.; Papa, R.; De Vita, P. Variability in anthocyanin composition and nutritional properties of blue, purple, and red bread (Triticum aestivum L.) and durum (Triticum turgidum L. ssp. turgidum convar. durum) Wheats. Agric. Food Chem. 2014, 62, 8686–8695. [Google Scholar] [CrossRef] [PubMed]
- Romano, G.; Tufariello, M.; Calabriso, N.; Del Coco, L.; Fanizzi, F.P.; Blanco, A.; Carluccio, M.A.; Grieco, F.; Laddomada, B. Pigmented cereals and legume grains as healthier alternatives for brewing beers. Food Biosci. 2023, 52, 102463. [Google Scholar] [CrossRef]
- Li, Z.; Forester, S.; Jennings-Dobbs, E.; Heber, D. Perspective: A Comprehensive Evaluation of Data Quality in Nutrient Databases. Adv. Nutr. 2023, 14, 379–391. [Google Scholar] [CrossRef]
- Schroeter, H.; Heiss, C.; Spencer, J.P.; Keen, C.L.; Lupton, J.R.; Schmitz, H.H. Recommending flavanols and procyanidins for cardiovascular health: Current knowledge and future needs. Mol. Asp. Med. 2010, 31, 546–557. [Google Scholar] [CrossRef]
- Yeung, A.W.K. Food Composition Databases (FCDBs): A Bibliometric Analysis. Nutrients 2023, 15, 3548. [Google Scholar] [CrossRef] [PubMed]
- Khan, M.K.; Ahmad, K.; Hassan, S.; Imran, M.; Ahmad, N.; Xu, C. Effect of novel technologies on polyphenols during food processing. Innov. Food Sci. Emerg. Technol. 2018, 45, 361–381. [Google Scholar] [CrossRef]
- Polia, F.; Pastor-Belda, M.; Martínez-Blázquez, A.; Horcajada, M.N.; Tomás-Barberán, F.A.; García-Villalba, R. Technological and biotechnological processes to enhance the bioavailability of dietary (poly)phenols in humans. Agric. Food Chem. 2022, 70, 2092–2107. [Google Scholar] [CrossRef]
- Žilić, S.; Dodig, D.; Vančetović, J.; Grcic, N.; Perić, V.; Titan, P.; Maksimović, V.M. Composition of Anthocyanins in Colored Grains and the Relationship of Their Non-Acylated and Acylated Derivatives. Pol. J. Food Nutr. Sci. 2019, 69, 137–146. [Google Scholar] [CrossRef]
- Zhao, C.L.; Yu, Y.Q.; Chen, Z.J.; Wen, G.S.; Wei, F.G.; Zheng, Q.; Wang, C.D.; Xiao, X.L. Stability-increasing effects of anthocyanin glycosyl acylation. Food Chem. 2017, 214, 119–128. [Google Scholar] [CrossRef] [PubMed]
- Czank, C.; Cassidy, A.; Zhang, Q.; Morrison, D.J.; Preston, T.; Kroon, P.A.; Botting, N.P.; Kay, C.D. Human metabolism and elimination of the anthocyanin, cyanidin-3-glucoside: A (13)C-tracer study. Am. J. Clin. Nutr. 2013, 97, 995–1003. [Google Scholar] [CrossRef] [PubMed]
- Gui, H.; Sun, L.; Liu, R.; Si, X.; Li, D.; Wang, Y.; Shu, C.; Sun, X.; Jiang, Q.; Qiao, Y.; et al. Current knowledge of anthocyanin metabolism in the digestive tract: Absorption, distribution, degradation, and interconversion. Crit. Rev. Food Sci. Nutr. 2022, 63, 5953–5966. [Google Scholar] [CrossRef] [PubMed]
- Zhang, J.; Wang, H.; Ai, C.; Lu, R.; Chen, L.; Xiao, J.; Teng, H. Food matrix-flavonoid interactions and their effect on bioavailability. Crit. Rev. Food Sci. Nutr. 2023, 10, 1–22. [Google Scholar] [CrossRef] [PubMed]
- Swieca, M.; Gawlik-Dziki, U.; Dziki, D.; Baraniak, B.; Czyż, J. The influence of protein-flavonoid interactions on protein digestibility in vitro and the antioxidant quality of breads enriched with onion skin. Food Chem. 2013, 141, 451–458. [Google Scholar] [CrossRef] [PubMed]
- Zilic, S.; Kocadaglı, T.; Vancetovic, J.; Gokmen, V. Effects of baking conditions and dough formulations on phenolic compound stability, antioxidant capacity and color of cookies made from anthocyaninrich corn flour. LWT Food Sci. Technol. 2016, 65, 597–603. [Google Scholar] [CrossRef]
- Eker, M.E.; Aaby, K.; Budic-Leto, I.; Rimac Brnčić, S.; El, S.N.; Karakaya, S.; Simsek, S.; Manach, C.; Wiczkowski, W.; de Pascual-Teresa, S. A review of factors affecting anthocyanin bioavailability: Possible implications for the inter-individual variability. Foods 2019, 9, 2. [Google Scholar] [CrossRef]
- Wu, X.; Beecher, G.R.; Holden, J.M.; Haytowitz, D.B.; Gebhardt, S.E.; Prior, R.L. Concentrations of anthocyanins in common foods in the United States and estimation of normal consumption. J. Agric. Food Chem. 2006, 54, 4069–4075. [Google Scholar] [CrossRef]
- Petroni, K.; Pilu, R.; Tonelli, C. Anthocyanins in corn: A wealth of genes for human health. Planta 2014, 240, 901–911. [Google Scholar] [CrossRef]
- Colombo, F.; Di Lorenzo, C.; Petroni, K.; Silano, M.; Pilu, R.; Falletta, E.; Biella, S.; Restani, P. Pigmented corn varieties as functional ingredients for gluten-free products. Foods 2021, 10, 1770. [Google Scholar] [CrossRef] [PubMed]
- Bech-Larsen, T.; Grunert, K.G. The perceived healthiness of functional foods: A conjoint study of Danish, Finnish and American consumers’ perception of functional. Appetite 2003, 40, 9–14. [Google Scholar] [CrossRef] [PubMed]
- Verbeke, W. Consumer acceptance of functional foods: Socio-demographic, cognitive and attitudinal determinants. Food Qual. Prefer. 2005, 16, 45–57. [Google Scholar] [CrossRef]
- Birol, E.; Meenakshi, J.V.; Oparinde, A.; Perez, S.; Tomlins, K. Developing country consumers’ acceptance of biofortified foods: A synthesis. Food Secur. 2015, 7, 555–568. [Google Scholar] [CrossRef]
- Scuderi, A.; Sturiale, L.; Timpanaro, G. Economic evaluation of innovative investments in agri-food chain. Qual. Access Success. 2018, 19, 482–488. [Google Scholar]
- Timpanaro, G.; Bellia, C.; Foti, V.T.; Scuderi, A. Consumer behaviour of purchasing biofortified food products. Sustainability 2020, 12, 6297. [Google Scholar] [CrossRef]
- Srikaeo, K. Pigmented Cereals and MilletsBioactive Profile and Food Applications; Bangar, S.P., Maqsood, S., Siroha, A.K., Eds.; The Royal Society of Chemistry: London, UK, 2023; Chapter 8; pp. 207–236. [Google Scholar]
- Bassolino, L.; Petroni, K.; Polito, A.; Marinelli, A.; Azzini, E.; Ferrari, M.; Ficco, D.B.M.; Mazzucotelli, E.; Tondelli, A.; Fricano, A.; et al. Does Plant Breeding forAntioxidant-Rich Foods Have an Impact on Human Health? Antioxidants 2022, 11, 794. [Google Scholar] [CrossRef]
- Ito, V.C.; Lacerda, L.G. Black rice (Oryza sativa L.): A review of its historical aspects, chemical composition, nutritional and functional properties, and applications and processing technologies. Food Chem. 2019, 301, 125304. [Google Scholar] [CrossRef]
- Bordiga, M.; Gomez-Alonso, S.; Locatelli, M.; Travaglia, F.; Coïsson, J.D.; Hermosin-Gutierrez, I.; Arlorio, M. Phenolics characterization and antioxidant activity of six different pigmented Oryza sativa L. cultivars grown in Piedmont (Italy). Food Res. Int. 2014, 65, 282–290. [Google Scholar] [CrossRef]
- Ratseewo, J.; Warren, F.J.; Siriamornpun, S. The influence of starch structure and anthocyanin content on the digestibility of Thai pigmented rice. Food Chem. 2019, 298, 124949. [Google Scholar] [CrossRef]
- Hedge, S.; Yenagi, N.B.; Kasturiba, B. Indigenous knowledge of the traditional and qualified ayurveda practitioners on the nutritional significance and use of red rice in medications. Indian. J. Tradit. Knowl. 2013, 12, 506–511. [Google Scholar]
- Valarmathi, R.; Raveendran, M.; Robin, S.; Senthil, N. Unraveling the nutritional and therapeutic properties of ‘Kavuni’ a traditional rice variety of Tamil Nadu. J. Plant Biochem. Biotechnol. 2015, 24, 305–315. [Google Scholar] [CrossRef]
- Kapoor, P.; Tiwari, A.; Sharma, S.; Tiwari, V.; Sheoran, B.; Ali, U.; Garg, M. Effect of anthocyanins on gut health markers, Firmicutes-Bacteroidetes ratio and short-chain fatty acids: A systematic review via meta-analysis. Sci. Rep. 2023, 13, 1729. [Google Scholar] [CrossRef]
- Spessoto, F.A.; Fonteles, N.T.; Pizato, S.; Vega-Herrera, S.S.; Paredes-Mur, J.S.; Cortez-Vega1, W.R. Determination of anthocyanins content and antioxidant activity of beer from Chicha Morada obtained of the purple corn (Zea mays L.). J. Bioenergy Food Sci. 2020, 7, e3042020. [Google Scholar]
- Salvador-Reyes, R.; Pedrosa Silva Clerici, M.T. Peruvian Andean maize: General characteristics, nutritional properties, bioactive compounds, and culinary uses. Food Res. Int. 2020, 130, 108934. [Google Scholar] [CrossRef] [PubMed]
- Sánchez-Madrigal, M.Á.; Quintero-Ramos, A.; Martínez-Bustos, F.; Meléndez-Pizarro, C.O.; Ruiz-Gutiérrez, M.G. Effect of different calcium sources on the antioxidant stability of tortilla chips from extruded and nixtamalized blue corn (Zea mays L.) flours. Food Sci. Technol. 2014, 34, 143–149. [Google Scholar] [CrossRef]
- Vázquez-Carrillo, M.G.; Aparicio-Eusebio, L.A.; Salinas-Moreno, Y.; Buendía-Gonzalez, M.O.; Santiago-Ramos, D. Nutraceutical, physicochemical, and sensory properties of blue corn polvorones, a traditional flour-based confectionery. Plant Foods Hum. Nutr. 2018, 73, 321–327. [Google Scholar] [CrossRef]
- Cassani, E.; Puglisi, D.; Cantaluppi, E.; Landoni, M.; Giupponi, L.; Giorgi, A.; Pilu, R. Genetic studies regarding the control of seed pigmentation of an ancient European pointed maize (Zea mays L.) rich in phlobaphenes: The “Nero Spinoso” from the Camonica valley. Genet. Resour. Crop Evol. 2017, 64, 761–773. [Google Scholar] [CrossRef]
- Lago, C.; Landoni, M.; Cassani, E.; Cantaluppi, E.; Doria, E.; Nielsen, E.; Giorgi, A.; Pilu, R. Study and characterization of an ancient European flint white maize rich in anthocyanins: Millo Corvo from Galicia. PLoS ONE 2015, 10, e0126521. [Google Scholar]
- Sangiorgio, S.; Colombo, F.; Ghidoli, M.; Giupponi, L.; Ferro, G.; Ferro, C.G.; Cassani, E.; Landoni, M.; Pilu, R. The ancient varieties of mountain maize: The inheritance of the pointed character and its effect on the natural drying process. Agronomy 2021, 11, 2295. [Google Scholar] [CrossRef]
- Lago, C.; Cassani, E.; Zanzi, C.; Lanodni, M.; Trovato, R.; Pilu, R. Development and study of a maize cultivar rich in anthocyanins: Coloured polenta, a new functional food. Plant Breed. 2014, 133, 210–217. [Google Scholar] [CrossRef]
- Piazza, S.; Bani, C.; Colombo, F.; Mercogliano, F.; Pozzoli, C.; Martinelli, G.; Petroni, K.; Pilu, S.R.; Sonzogni, E.; Fumagalli, M.; et al. Pigmented corn as a gluten-free source of polyphenols with anti-inflammatory and antioxidant properties in CaCo-2 cells. Food Res. Int. 2024, 191, 114640. [Google Scholar] [CrossRef]
- Mutlu, C.; Arslan-Tontul, S.; Candal, C.; Kilic, O.; Erbas, M. Physicochemical, thermal, and sensory properties of blue corn (Zea mays L.). J. Food Sci. 2018, 83, 53–59. [Google Scholar] [CrossRef]
- Giordano, D.; Locatelli, M.; Travaglia, F.; Bordiga, M.; Reyneri, A.; Coïsson, J.D.; Blandino, M. Bioactive compound and antioxidant activity distribution in roller milled and pearled fractions of conventional and pigmented wheat varieties. Food Chem. 2017, 233, 483–491. [Google Scholar] [CrossRef] [PubMed]
- Ficco, D.B.M.; De Simone, V.; De Leonardis, A.M.; Giovanniello, V.; Del Nobile, M.A.; Padalino, L.; Lecce, L.; Borrelli, G.M.; De Vita, P. Use of purple durum wheat to produce naturally functional fresh and dry pasta. Food Chem. 2016, 205, 187–195. [Google Scholar] [CrossRef] [PubMed]
- Francavilla, A.; Joye, I.J. Anthocyanin content of crackers and bread made with purple and blue wheat varieties. Molecules 2022, 27, 7180. [Google Scholar] [CrossRef] [PubMed]
- Zanoletti, M.; Abbasi-Parizad, P.; Lavelli, V.; Cecchini, C.; Menesatti, P.; Marti, A.; Pagani, M.A. Debranning of purple wheat: Recovery of anthocyanin-rich fractions and their use in pasta production. LWT-Food Sci. Technol. 2017, 75, 663–669. [Google Scholar] [CrossRef]
- Ficco, D.B.M.; Borrelli, G.M.; Giovanniello, V.; Platani, C.; De Vita, P. Production of anthocyanin-enriched flours of durum and soft pigmented wheats by air-classification, as a potential ingredient for functional bread. J. Cereal Sci. 2018, 79, 118–126. [Google Scholar] [CrossRef]
- Ladhari, A.; Corrado, G.; Rouphael, Y.; Carella, F.; Nappo, G.R.; Di Marino, C.; De Marco, A.; Palatucci, D. Chemical, functional, and technological features of grains, brans, and semolina from purple and red durum wheat landraces. Foods 2022, 11, 1545. [Google Scholar] [CrossRef]
- Chiva-Blanch, G.; Magraner, E.; Condines, X.; Valderas-Martínez, P.; Roth, I.; Arranz, S.; Casas, R.; Navarro, M.; Hervas, A.; Sisó, A.; et al. Effects of alcohol and polyphenols from beer on atherosclerotic biomarkers in high cardiovascular risk men: A randomized feeding trial. Nutr. Metab. Cardiovasc. Dis. 2015, 25, 36–45. [Google Scholar] [CrossRef]
- Parizad, P.A.; Capraro, J.; Scarafoni, A.; Bonomi, F.; Blandino, M.; Marengo, M.; Giordano, D.; Carpen, A.; Iametti, S. The bio-functional properties of pigmented cereals may involve synergies among different bioactive species. Plant Foods Hum. Nutr. 2019, 74, 128–134. [Google Scholar] [CrossRef] [PubMed]
- Tomay, F.; Marinelli, A.; Leoni, V.; Caccia, C.; Matros, A.; Mock, H.P.; Tonelli, C.; Petroni, K. Purple corn extract induces long-lasting reprogramming and M2 phenotypic switch of adipose tissue macrophages in obese mice. J. Transl. Med. 2019, 17, 237. [Google Scholar] [CrossRef] [PubMed]
- Magni, G.; Marinelli, A.; Riccio, D.; Lecca, D.; Tonelli, C.; Abbracchio, M.P.; Petroni, K.; Ceruti, S. Purple corn extract as anti-allodynic treatment for trigeminal pain: Role of microglia. Front. Cell. Neurosci. 2018, 12, 378. [Google Scholar] [CrossRef] [PubMed]
- Liso, M.; Sila, A.; Verna, G.; Scarano, A.; Donghia, R.; Castellana, F.; Cavalcanti, E.; Pesole, P.L.; Sommella, E.M.; Lippolis, A.; et al. Nutritional regimes enriched with antioxidants as an efficient adjuvant for IBD Patients under Infliximab Administration, a Pilot Study. Antioxidants 2022, 11, 138. [Google Scholar] [CrossRef] [PubMed]
- Vacca, M.; Sommella, E.M.; Liso, M.; Verna, G.; Scarano, A.; Sila, A.; Curlo, M.; Mastronardi, M.; Petroni, K.; Tonelli, C.; et al. Anthocyanins from purple corn affect gut microbiota and metabolome in IBD patients under Infliximab infusion: The SiCURA pilot study. Food Sci. Hum. Wellness 2024, 1–15. [Google Scholar] [CrossRef]
- Zamora-Ros, R.; Touillaud, M.; Rothwell, J.A.; Romieu, I.; Scalbert, A. Measuring exposure to the polyphenol metabolome in observational epidemiologic studies: Current tools and applications and their limits. Am. J. Clin. Nutr. 2014, 100, 11–26. [Google Scholar] [CrossRef] [PubMed]
- Zamora-Ros, R.; Knaze, V.; Rothwell, J.A.; Hémon, B.; Moskal, A.; Overvad, K.; Tjønneland, A.; Kyrø, C.; Fagherazzi, G.; Boutron-Ruault, M.C.; et al. Dietary polyphenol intake in Europe: The European prospective investigation into cancer and nutrition (EPIC) study. Eur. J. Nutr. 2016, 55, 1359–1375. [Google Scholar] [CrossRef] [PubMed]
- Ovaskainen, M.L.; Törrönen, R.; Koponen, J.M.; Sinkko, H.; Hellström, J.; Reinivuo, H.; Mattila, P. Dietary intake and major food sources of polyphenols in Finnish adults. J. Nutr. 2008, 138, 562–566. [Google Scholar] [CrossRef] [PubMed]
- Pérez-Jiménez, J.; Fezeu, L.; Touvier, M.; Arnault, N.; Manach, C.; Hercberg, S.; Galan, P.; Scalbert, A. Dietary intake of 337 polyphenols in French adults. Am. J. Clin. Nutr. 2011, 93, 1220–1228. [Google Scholar] [CrossRef]
- Grosso, G.; Stepaniak, U.; Topor-Madry, R.; Szafraniec, K.; Pająk, A. Estimated dietary intake and major food sources of polyphenols in the Polish arm of the HAPIEE study. Nutrition 2014, 30, 1398–1403. [Google Scholar] [CrossRef]
- Lanuza, F.; Zamora-Ros, R.; Rostgaard-Hansen, A.L.; Tjønneland, A.; Landberg, R.; Halkjær, Y.; Andres-Lacueva, C. Descriptive analysis of dietary (poly)phenol intake in the subcohort MAX from DCH-NG: “Diet, Cancer and Health—Next Generations cohort”. Eur. J. Nutr. 2023, 62, 337–350. [Google Scholar] [CrossRef] [PubMed]
- Vingrys, K.; Mathai, M.L.; McAinch, A.J.; Basset, J.K.; de Courten, M.; Stojanovska, L.; Millar, L.; Giles, G.G.; Hodge, A.M.; Apostolopoulos, V. Intake of polyphenols from cereal foods and colorectal cancer risk in the Melbourne Collaborative Cohort Study. Cancer Med. 2023, 12, 19188–19202. [Google Scholar] [CrossRef] [PubMed]
- Illner, A.-K.; Freisling, H.; Boeing, H.; Huybrechts, I.; Crispim, S.P.; Slimani, N. Review and evaluation of innovative technologies for measuring diet in nutritional epidemiology. Int. J. Epidemiol. 2012, 41, 1187–1203. [Google Scholar] [CrossRef] [PubMed]
- European Food Safety Authority. Guidance on the EU Menu methodology. EFSA J. 2014, 12, 3944. [Google Scholar] [CrossRef]
- Xu, Y.; Le Sayec, M.; Roberts, C.; Hein, S.; Rodriguez-Mateos, A.; Gibson, R. Dietary assessment methods to estimate (Poly)phenol intake in epidemiological studies: A systematic review. Adv. Nutr. 2021, 12, 1781–1801. [Google Scholar] [CrossRef] [PubMed]
- Xu, Y.; Li, Y.; Hu, J.; Gibson, R.; Rodriguez-Mateos, A. Development of a novel (poly)phenol-rich diet score and its association with urinary (poly)phenol metabolites. Food Funct. 2023, 14, 9635–9649. [Google Scholar] [CrossRef] [PubMed]
- European Food Safety Authority. The Food Classification and Description System FoodEx2 (Revision 2); EFSA Supporting Publication EN-804; EFSA: Parma, Italy, 2015; 90p.
- CREA-Consiglio per la Ricerca in Agricoltura e L’analisi Dell’economia Agraria—Centro di Ricerca Alimenti e Nutrizione; Turrini, A.; Le Donne, C.; Piccinelli, R. Italian National Dietary Survey on Adult Population from 10 up to 74 Years Old—IV SCAI ADULT; EFSA Supporting Publication 19:EN-7559; EFSA: Parma, Italy, 2022; 39p.
- Del Bo’, C.; Bernardi, S.; Marino, M.; Porrini, M.; Tucci, M.; Guglielmetti, S.; Cherubini, A.; Carrieri, B.; Kirkup, B.; Kroon, P.; et al. Systematic Review on Polyphenol Intake and Health Outcomes: Is there Sufficient Evidence to Define a Health-Promoting Polyphenol-Rich Dietary Pattern? Nutrients 2019, 11, 1355. [Google Scholar] [CrossRef] [PubMed]
- Adom, K.K.; Liu, R.H. Antioxidant activity of grains. J. Agric. Food Chem. 2002, 50, 6182–6187. [Google Scholar] [CrossRef] [PubMed]
- Asenstorfer, R.E.; Wang, Y.; Mares, D.J. Chemical structure of flavonoid compounds in wheat (Triticum aestivum L.) flour that contribute to the yellow colour of Asian alkaline noodles. J. Cereal Sci. 2006, 43, 108–119. [Google Scholar] [CrossRef]
- Beta, T.; Rooney, L.W.; Marovatsanga, L.T.; Taylor, J.R.N. Phenolic compounds and kernel characteristics of Zimbabwean sorghums. J. Sci. Food Agric. 1999, 79, 1003–1010. [Google Scholar] [CrossRef]
- Chen, Y.; Ross, A.B.; Aman, P.; Kamal-Eldin, A. Alkylresorcinols as markers of whole grain wheat and rye in cereal products. J. Agric. Food Chem. 2004, 52, 8242–8246. [Google Scholar] [CrossRef] [PubMed]
- Dimberg, L.H.; Molteberg, E.L.; Solheim, R.; Frohlich, W. Variation in oat groats due to variety, storage and heat treatment. I. Phenolic compounds. J. Cereal Sci. 1996, 24, 263–272. [Google Scholar] [CrossRef]
- Dykes, l.; Seitz, L.M.; Rooney, W.L.; Rooney, L.W. Flavonoid composition of red sorghum genotypes. Food Chem. 2009, 116, 313–317. [Google Scholar] [CrossRef]
- Emmons, C.L.; Peterson, D.M.; Paul, G.L. Antioxidant capacity of oat (Avena sativa L.) extracts. 2. In vitro antioxidant activity and contents of phenolic and tocol antioxidants. J. Agric. Food Chem. 1999, 47, 4894–4898. [Google Scholar] [CrossRef] [PubMed]
- Gohil, S.; Petterson, D.; Salomonsson, A.-C.; Aman, P. Analysis of alkyl- and alkenylresorcinols in Triticale, wheat and rye. J. Sci. Food Agric. 1988, 45, 43–52. [Google Scholar] [CrossRef]
- Holtekjølen, A.K.; Kinitz, C.; Knutsen, S.H. Flavanol and bound phenolic acid contents in different barley varieties. J. Agric. Food Chemistry 2006, 54, 2253–2260. [Google Scholar] [CrossRef] [PubMed]
- Hosseinian, F.S.; Li, W. and Beta, T. Measurement of anthocyanins and other phytochemicals in purple wheat. Food Chem. 2008, 109, 916–924. [Google Scholar] [CrossRef] [PubMed]
- Kato, H.; Ohta, T.; Tsugita, T.; Hosaka, Y. Effect of parboiling on texture and flavor components of cooked rice. J. Agric. Food Chem. 1983, 31, 818–823. [Google Scholar] [CrossRef]
- Kuhnle, G.G.C.; Dell’Aquila, C.; Aspinall, S.M.; Runswick, S.A.; Mulligan, A.A.; Bingham, S.A. Phytoestrogen content of cereals and cereal-based foods consumed in the UK. Nutr. Cancer 2009, 61, 302–309. [Google Scholar] [CrossRef] [PubMed]
- Landberg, R.; Kamal-Eldin, A.; Andersson, R.; Aman, P. Alkylresorcinol content and homologue composition in durum wheat (Triticum dururm) kernels and pasta products. J. Agric. Food Chem. 2006, 54, 3012–3014. [Google Scholar] [CrossRef]
- Lempereur, I.; Surget, A.; Rouau, X. Variability in dehydroferulic acid composition of durum wheat (Triticum durum Desf.) and distribution in milling fractions. J. Cereal Sci. 1998, 28, 251–258. [Google Scholar] [CrossRef]
- Lempereur, I.; Rouau, X.; Abecassis, J. Genetic and agronomic variation in arabinoxylan and ferulic acid contents of durum wheat (Triticum durum L.) grain and its milling fractions. J. Cereal Sci. 1997, 25, 103–110. [Google Scholar] [CrossRef]
- Madigan, D.; McMurrough, I. Determination of proanthocyanidins and catechins in beer and barley by high-performance liquid chromatography with dual-electrode electrochemical detection. Analyst 1994, 119, 863–868. [Google Scholar] [CrossRef]
- Mattila, P.; Pihlava, J.-M.; Hellstrom, J. Contents of phenolic acids, alkyl- and alkenylresorcinols, and avenanthramides in commercial grain products. J. Agric. Food Chem. 2005, 53, 8290–8295. [Google Scholar] [CrossRef]
- Milder, I.E.J.; Arts, I.C.W.; Van de Putte, B.; Venema, D.P.; Hollman, P.C.H. Lignan contents of Dutch plant foods: A database including lariciresinol, pinoresinol, secoisolariciresinol and matairesinol. Br. J. Nutr. 2005, 93, 393–402. [Google Scholar] [CrossRef]
- Mullin, W.J.; Emery, P.H. Determination of alkylresorcinols in cereal-based foods. J. Agric. Food Chem. 1992, 40, 2127–2130. [Google Scholar] [CrossRef]
- Penalvo, J.L.; Adlercreutz, H.; Uehara, M.; Ristimaki, A.; Watanabe, S. Lignan content of selected foods from Japan. J. Agric. Food Chem. 2008, 56, 401–409. [Google Scholar] [CrossRef]
- Peyron, S.; Surget, A.; Mabile, F.; Autran, J.C.; Rouau, X.; Abecassis, J. Evaluation of tissue dissociation of durum wheat grain (Triticum durum Desf.) generated by the milling process. J. Cereal Sci. 2002, 36, 199–208. [Google Scholar] [CrossRef]
- Ross, A.B.; Shepherd, M.J.; Schupphaus, M.; Sinclair, V.; Alfaro, B.; Kamal-Eldin, A.; Aman, P. Alkylresorcinols in cereals and cereal products. J. Agric. Food Chem. 2003, 51, 4111–4118. [Google Scholar] [CrossRef]
- Sosulski, F.; Krygier, K.; Hogge, L. Free, esterified, and insoluble-bound phenolic acids. 3. Composition of phenolic acids in cereal and potato flours. J. Agric. Food Chem. 1982, 30, 337–340. [Google Scholar] [CrossRef]
- Thompson, L.U.; Boucher, B.A.; Liu, Z.; Cotterchio, M.; Kreiger, N. Phytoestrogen content of foods consumed in Canada, including isoflavones, lignans, and coumestan. Nutr. Cancer 2006, 54, 184–201. [Google Scholar] [CrossRef] [PubMed]
- Weidner, S.; Amarowicz, R.; Karamac, M.; Dabrowski, G. Phenolic acids in caryopses of two cultivars of wheat, rye and triticale that display different resistance to pre-harvest sprouting. Eur. Food Res. Technol. 1999, 210, 109–113. [Google Scholar] [CrossRef]

| Cereals and Cereal Products | Polyphenol Class | FoodEx2 b Code | FoodEx2 b Code Description | FoodEx2 b Hierarchy Level | Polyphenol Data Source | Number of Surveys in CFCD c (n Countries Covered) |
|---|---|---|---|---|---|---|
| Cereal grains and flour | ||||||
| Wheat (Triticum aestivum L. ssp. aestivum), wholegrain flour | Flavones, hydroxycinnamic acids, lignans anthocyanidins | A004B | Wheat wholemeal flour | L5 | Phenol-Explorer ePlantLIBRA/eBASIS §/USDA Database 3.1 | 27 (14) |
| Wheat (Triticum aestivum L. ssp. aestivum), bran | Isoflavones, lignans | A004P | Wheat bran | L4 | ePlantLIBRA/eBASIS § | 42 (18) |
| Wheat (Triticum aestivum L. ssp. aestivum), refined flour | Flavones, hydroxybenzoic acids, hydroxycinnamic acids, lignans | A003Y | Wheat flour white | L5 | Phenol-Explorer | 53 (25) |
| Hard wheat (Triticum durum Desf.), wholegrain flour | Hydroxybenzoic acids, hydroxycinnamic acids isoflavones, lignans | A004C | Wheat flour, durum | L5 | Phenol-Explorer ePlantLIBRA/eBASIS § | 10 (5) |
| Hard wheat (Triticum durum Desf.), semolina | Hydroxycinnamic acids, lignans | A004F | Wheat semolina | L4 | Phenol-Explorer | 54 (24) |
| Maize (Zea mays L.), wholegrain | Anthocyanins, hydroxybenzoic acids, hydroxycinnamic acids, lignans | A000T | Maize grain | L5 | Phenol-Explorer ePlantLIBRA/eBASIS § | 26 (12) |
| Maize (Zea mays L.), refined flour | Hydroxybenzoic acids, hydroxycinnamic acids, hydroxyphenylacetic acids | A002Q | Maize flour | L5 | Phenol-Explorer | 47 (24) |
| Barley (Hordeum vulgare L. ssp. vulgare), wholegrain flour | Flavanols, lignans, isoflavones, flavan-3-ols | A002L | Barley flour | L4 | Phenol-Explorer ePlantLIBRA/eBASIS § USDA Database 3.1 | 12 (6) |
| Oat (Avena sativa L.), wholegrain flour | Hydroxycinnamic acids, lignans isoflavones | A002Y | Oat flour | L4 | Phenol-Explorer ePlantLIBRA/eBASIS § | 16 (11) |
| Oat (Avena sativa L.), refined flour | Hydroxybenzoic acids, hydroxycinnamic acids, hydroxyphenylacetic acids | A002Y | Oat flour | L4 | Phenol-Explorer | 16 (11) |
| Rice (Oryza sativa L.) wholegrain | Hydroxycinnamic acids, isoflavones, lignans, flavan-3-ols | A001D | Rice grain | L5 | Phenol-Explorer ePlantLIBRA/eBASIS § USDA Database 3.1 | 74 (27) |
| Rice (Oryza sativa L.) parboiled/refined | Hydroxybenzoic acids, hydroxycinnamic acids | A003D; A003E | Rice grain, polished; Rice grain, parboiled | L6; L6 | Phenol-Explorer | 48 (21); 6 (5) |
| Rye (Secale cereale L.), wholegrain flour | Hydroxybenzoic acids, hydroxycinnamic acids, lignans | A003M | Rye flour, wholemeal | L5 | Phenol-Explorer ePlantLIBRA/eBASIS § | 19 (8) |
| Rye (Secale cereale L.), refined flour | Hydroxybenzoic acids, hydroxycinnamic acids, hydroxybenzaldehydes | A003K | Rye flour, refined | L5 | Phenol-Explorer | 6 (1) |
| Sorghum (Sorghum bicolor L.), wholegrain | Flavanols (proanthocyanidins) Flavones, lignans, cinnamic acid derivatives flavanones | A001L | Sorghum grain | L5 | Phenol-Explorer ePlantLIBRA/eBASIS § USDA Database 3.1 | 0 |
| Bread | ||||||
| Bread, wheat, wholegrain flour | Lignans | A005E | Wheat bread and rolls, brown or wholemeal | L5 | Phenol-Explorer | 71 (26) |
| Bread, wheat, refined flour | Lignans | A004Y | Wheat bread and rolls, white (refined flour) | L5 | Phenol-Explorer | 74 (27) |
| Bread, rye, wholegrain flour | Lignans, phenolic acids | A005H | Rye bread and rolls, wholemeal | L5 | Phenol-Explorer | 47 (20) |
| Breakfast cereals | ||||||
| Breakfast cereals, bran | Lignans | A00ED | Wheat bran rolled flakes | L6 | Phenol-Explorer | 25 (13) |
| Breakfast cereals, corn | Lignans | A00DD | Processed maize-based flakes | L5 | Phenol-Explorer | 71 (27) |
| Breakfast cereals, muesli | Lignans | A00EJ; A00EK; A00EL | Muesli and similar mixed breakfast cereals; muesli plain; mixed breakfast cereals | L3; L4; L4 | Phenol-Explorer | 37 (19); 36 (18); 50 (22) |
| Breakfast cereals, oat, wholemeal | Lignans | A00DL | Oat rolled grains, wholemeal | L6 | Phenol-Explorer | 9 (6) |
| Pasta | ||||||
| Pasta, wholegrain Macaroni, cooked | Lignans | A04LC | Pasta wholemeal | L5 | Phenol-Explorer | 39 (18) |
| Flavan-3-ols | A007P; A007X; A008A | Dried durum pasta; fresh stuffed durum pasta; dried stuffed durum pasta | L6; L6; L6 | USDA Database 3.1 | 41 (21); 4 (3); 3 (2) | |
Disclaimer/Publisher’s Note: The statements, opinions and data contained in all publications are solely those of the individual author(s) and contributor(s) and not of MDPI and/or the editor(s). MDPI and/or the editor(s) disclaim responsibility for any injury to people or property resulting from any ideas, methods, instructions or products referred to in the content. |
© 2024 by the authors. Licensee MDPI, Basel, Switzerland. This article is an open access article distributed under the terms and conditions of the Creative Commons Attribution (CC BY) license (https://creativecommons.org/licenses/by/4.0/).
Share and Cite
Ficco, D.B.M.; Petroni, K.; Mistura, L.; D’Addezio, L. Polyphenols in Cereals: State of the Art of Available Information and Its Potential Use in Epidemiological Studies. Nutrients 2024, 16, 2155. https://doi.org/10.3390/nu16132155
Ficco DBM, Petroni K, Mistura L, D’Addezio L. Polyphenols in Cereals: State of the Art of Available Information and Its Potential Use in Epidemiological Studies. Nutrients. 2024; 16(13):2155. https://doi.org/10.3390/nu16132155
Chicago/Turabian StyleFicco, Donatella Bianca Maria, Katia Petroni, Lorenza Mistura, and Laura D’Addezio. 2024. "Polyphenols in Cereals: State of the Art of Available Information and Its Potential Use in Epidemiological Studies" Nutrients 16, no. 13: 2155. https://doi.org/10.3390/nu16132155
APA StyleFicco, D. B. M., Petroni, K., Mistura, L., & D’Addezio, L. (2024). Polyphenols in Cereals: State of the Art of Available Information and Its Potential Use in Epidemiological Studies. Nutrients, 16(13), 2155. https://doi.org/10.3390/nu16132155

