TSPO Radioligands for Neuroinflammation: An Overview
Abstract
1. Introduction
2. TSPO Radioligands
2.1. First Generation TSPO Radioligands
2.1.1. Benzodiazepines
2.1.2. Isoquinoline Carboxamides
2.2. Second Generation TSPO Radioligands
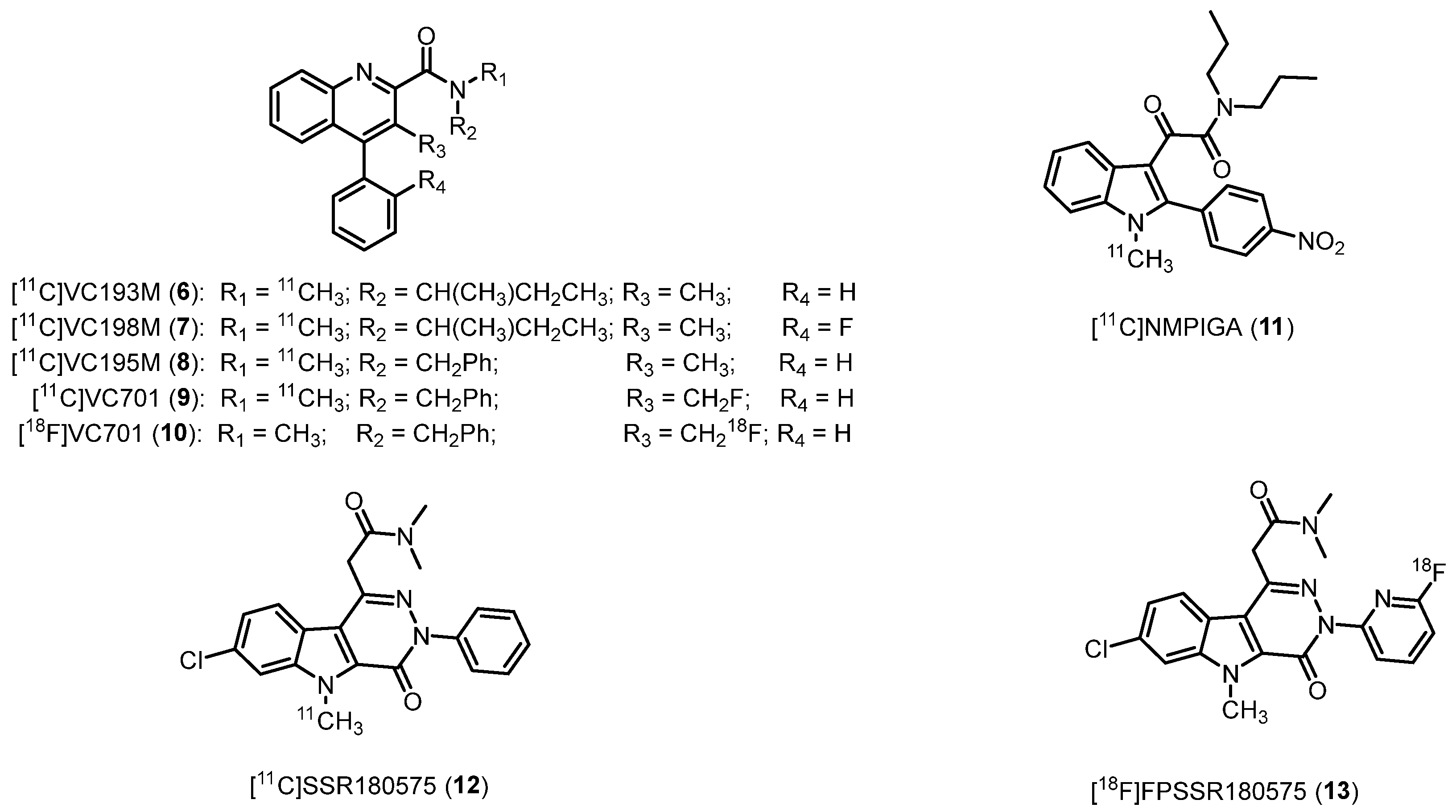
2.2.1. Quinoline-2-carboxamides
2.2.2. 2-Phenylindolylglyoxylamides
2.2.3. Pyridazino[4,5-b]indole-5-acetamides
2.2.4. Phenoxyarylacetamides
2.2.5. Imidazo[1,2-a]pyridines
2.2.6. Pyrazolo[1,5-a]pyrimidines
2.2.7. 2-Aryl-8-Oxodihydropurines
2.2.8. Acetamidobenzoxazolones
2.3. Third Generation TSPO Radioligands
2.3.1. 2,3,4,9-Tetrahydrocarbazole-4-carboxamides
2.3.2. Quinazolines-2-carboxamides
3. Conclusions
Author Contributions
Funding
Institutional Review Board Statement
Informed Consent Statement
Data Availability Statement
Conflicts of Interest
References
- Harry, G.J.; Kraft, A.D. Neuroinflammation and Microglia: Considerations and Approaches for Neurotoxicity Assessment. Expert Opin. Drug Metab. Toxicol. 2008, 4, 1265–1277. [Google Scholar] [CrossRef] [PubMed]
- Bauer, M.E.; Teixeira, A.L. Inflammation in Psychiatric Disorders: What Comes First? Ann. N. Y. Acad. Sci. 2019, 1437, 57–67. [Google Scholar] [CrossRef] [PubMed]
- Guilarte, T.R. TSPO in Diverse CNS Pathologies and Psychiatric Disease: A Critical Review and a Way Forward. Pharmacol. Ther. 2019, 194, 44–58. [Google Scholar] [CrossRef]
- Papadopoulos, V.; Baraldi, M.; Guilarte, T.R.; Knudsen, T.B.; Lacapère, J.J.; Lindemann, P.; Norenberg, M.D.; Nutt, D.; Weizman, A.; Zhang, M.R.; et al. Translocator Protein (18 KDa): New Nomenclature for the Peripheral-Type Benzodiazepine Receptor Based on Its Structure and Molecular Function. Trends Pharmacol. Sci. 2006, 27, 402–409. [Google Scholar] [CrossRef] [PubMed]
- Chen, M.K.; Guilarte, T.R. Translocator Protein 18 KDa (TSPO): Molecular Sensor of Brain Injury and Repair. Pharmacol. Ther. 2008, 118, 1–17. [Google Scholar] [CrossRef] [PubMed]
- Largeau, B.; Dupont, A.C.; Guilloteau, D.; Santiago-Ribeiro, M.J.; Arlicot, N. TSPO PET Imaging: From Microglial Activation to Peripheral Sterile Inflammatory Diseases? Contrast Media Mol. Imaging 2017, 2017, 6592139. [Google Scholar] [CrossRef]
- Veenman, L.; Gavish, M. The Peripheral-Type Benzodiazepine Receptor and the Cardiovascular System. Implications for Drug Development. Pharmacol. Ther. 2006, 110, 503–524. [Google Scholar] [CrossRef]
- Maaser, K.; Grabowski, P.; Oezdem, Y.; Krahn, A.; Heine, B.; Stein, H.; Buhr, H.; Zeitz, M.; Scherübl, H. Up-Regulation of the Peripheral Benzodiazepine Receptor during Human Colorectal Carcinogenesis and Tumor Spread. Clin. Cancer Res. 2005, 11, 1751–1756. [Google Scholar] [CrossRef][Green Version]
- Hauet, T.; Yao, Z.X.; Bose, H.S.; Wall, C.T.; Han, Z.; Li, W.; Hales, D.B.; Miller, W.L.; Culty, M.; Papadopoulos, V. Peripheral-Type Benzodiazepine Receptor-Mediated Action of Steroidogenic Acute Regulatory Protein on Cholesterol Entry into Leydig Cell Mitochondria. Mol. Endocrinol. 2005, 19, 540–554. [Google Scholar] [CrossRef]
- Ritsner, M.; Modai, I.; Gibel, A.; Leschiner, S.; Silver, H.; Tsinovoy, G.; Weizman, A.; Gavish, M. Decreased Platelet Peripheral-Type Benzodiazepine Receptors in Persistently Violent Schizophrenia Patients. J. Psychiatr. Res. 2003, 37, 549–556. [Google Scholar] [CrossRef]
- Jaremko, Ł.; Jaremko, M.; Giller, K.; Becker, S.; Zweckstetter, M. Structure of the Mitochondrial Translocator Protein in Complex with a Diagnostic Ligand. Science 2014, 343, 1363–1366. [Google Scholar] [CrossRef] [PubMed]
- Jaremko, M.; Jaremko, Ł.; Jaipuria, G.; Becker, S.; Zweckstetter, M. Structure of the Mammalian TSPO/PBR Protein. Biochem. Soc. Trans. 2015, 43, 566–571. [Google Scholar] [CrossRef]
- Jaremko, Ł.; Jaremko, M.; Giller, K.; Becker, S.; Zweckstetter, M. Conformational Flexibility in the Transmembrane Protein TSPO. Chem. A Eur. J. 2015, 21, 16555–16563. [Google Scholar] [CrossRef] [PubMed]
- Li, F.; Liu, J.; Zheng, Y.; Garavito, R.M.; Ferguson-Miller, S. Crystal Structures of Translocator Protein (TSPO) and Mutant Mimic of a Human Polymorphism. Science 2015, 347, 555–558. [Google Scholar] [CrossRef] [PubMed]
- Guo, Y.; Kalathur, R.C.; Liu, Q.; Kloss, B.; Bruni, R.; Ginter, C.; Kloppmann, E.; Rost, B.; Hendrickson, W.A. Structure and Activity of Tryptophan-Rich TSPO Proteins. Science 2015, 347, 551–555. [Google Scholar] [CrossRef]
- Nutma, E.; Ceyzériat, K.; Amor, S.; Tsartsalis, S.; Millet, P.; Owen, D.R.; Papadopoulos, V.; Tournier, B.B. Cellular Sources of TSPO Expression in Healthy and Diseased Brain. Eur. J. Nucl. Med. Mol. Imaging 2021, 49, 146–163. [Google Scholar] [CrossRef]
- Wu, X.; Gallo, K.A. The 18-KDa Translocator Protein (TSPO) Disrupts Mammary Epithelial Morphogenesis and Promotes Breast Cancer Cell Migration. PLoS ONE 2013, 8, e71258. [Google Scholar] [CrossRef]
- Liu, Y.; Wang, S.; Yang, W. Inhibiting the Proliferation of Colorectal Cancer Cells by Reducing TSPO/VDAC Expression. Iran. J. Public Health 2023, 52, 1378–1389. [Google Scholar] [CrossRef]
- Ammer, L.M.; Vollmann-Zwerenz, A.; Ruf, V.; Wetzel, C.H.; Riemenschneider, M.J.; Albert, N.L.; Beckhove, P.; Hau, P. The Role of Translocator Protein TSPO in Hallmarks of Glioblastoma. Cancers 2020, 12, 2973. [Google Scholar] [CrossRef]
- Zhang, D.; Man, D.; Lu, J.; Jiang, Y.; Ding, B.; Su, R.; Tong, R.; Chen, J.; Yang, B.; Zheng, S.; et al. Mitochondrial TSPO Promotes Hepatocellular Carcinoma Progression through Ferroptosis Inhibition and Immune Evasion. Adv. Sci. 2023, 10, 2206669. [Google Scholar] [CrossRef]
- Meyer, J.H.; Cervenka, S.; Kim, M.J.; Kreisl, W.C.; Henter, I.D.; Innis, R.B. Neuroinflammation in Psychiatric Disorders: PET Imaging and Promising New Targets. Lancet Psychiatry 2020, 7, 1064–1074. [Google Scholar] [CrossRef] [PubMed]
- Kim, S.J.; Lee, H.Y. In Vivo Molecular Imaging in Preclinical Research. Lab. Anim. Res. 2022, 38, 31. [Google Scholar] [CrossRef]
- Owen, D.R.; Yeo, A.J.; Gunn, R.N.; Song, K.; Wadsworth, G.; Lewis, A.; Rhodes, C.; Pulford, D.J.; Bennacef, I.; Parker, C.A.; et al. An 18-KDa Translocator Protein (TSPO) Polymorphism Explains Differences in Binding Affinity of the PET Radioligand PBR28. J. Cereb. Blood Flow Metab. 2012, 32, 1–5. [Google Scholar] [CrossRef] [PubMed]
- Owen, D.R.; Guo, Q.; Rabiner, E.A.; Gunn, R.N. The Impact of the Rs6971 Polymorphism in TSPO for Quantification and Study Design. Clin. Transl. Imaging 2015, 3, 417–422. [Google Scholar] [CrossRef]
- Zanotti-Fregonara, P.; Zhang, Y.; Jenko, K.J.; Gladding, R.L.; Zoghbi, S.S.; Fujita, M.; Sbardella, G.; Castellano, S.; Taliani, S.; Martini, C.; et al. Synthesis and Evaluation of Translocator 18 KDa Protein (TSPO) Positron Emission Tomography (PET) Radioligands with Low Binding Sensitivity to Human Single Nucleotide Polymorphism Rs6971. ACS Chem. Neurosci. 2014, 5, 963–971. [Google Scholar] [CrossRef] [PubMed]
- Siméon, F.G.; Lee, J.H.; Morse, C.L.; Stukes, I.; Zoghbi, S.S.; Manly, L.S.; Liow, J.S.; Gladding, R.L.; Dick, R.M.; Yan, X.; et al. Synthesis and Screening in Mice of Fluorine-Containing PET Radioligands for TSPO: Discovery of a Promising 18F-Labeled Ligand. J. Med. Chem. 2021, 64, 16731–16745. [Google Scholar] [CrossRef]
- Kreisl, W.C.; Fujita, M.; Fujimura, Y.; Kimura, N.; Jenko, K.J.; Kannan, P.; Hong, J.; Morse, C.L.; Zoghbi, S.S.; Gladding, R.L.; et al. Comparison of [11C]-(R)-PK 11195 and [11C]PBR28, Two Radioligands for Translocator Protein (18 KDa) in Human and Monkey: Implications for Positron Emission Tomographic Imaging of This Inflammation Biomarker. Neuroimage 2010, 49, 2924–2932. [Google Scholar] [CrossRef]
- Fujita, M.; Kobayashi, M.; Ikawa, M.; Gunn, R.N.; Rabiner, E.A.; Owen, D.R.; Zoghbi, S.S.; Haskali, M.B.; Telu, S.; Pike, V.W.; et al. Comparison of Four 11C-Labeled PET Ligands to Quantify Translocator Protein 18 KDa (TSPO) in Human Brain: (R)-PK11195, PBR28, DPA-713, and ER176—Based on Recent Publications That Measured Specific-to-Non-Displaceable Ratios. EJNMMI Res. 2017, 7, 84. [Google Scholar] [CrossRef]
- Camsonne, R.; Crouzel, C.; Comar, D.; Mazière, M.; Prenant, C.; Sastre, J.; Moulin, M.; Syrota, A. Synthesis of N-(11C) Methyl, N-(Methyl-1 Propyl), (Chloro-2 Phenyl)-1 Isoquinoleine Carboxamide-3 (PK 11195): A New Ligand for Peripheral Benzodiazepine Receptors. J. Label. Compd. Radiopharm. 1984, 21, 985–991. [Google Scholar] [CrossRef]
- Wimberley, C.; Lavisse, S.; Hillmer, A.; Hinz, R.; Turkheimer, F.; Zanotti-Fregonara, P. Kinetic Modeling and Parameter Estimation of TSPO PET Imaging in the Human Brain. Eur. J. Nucl. Med. Mol. Imaging 2021, 49, 246–256. [Google Scholar] [CrossRef]
- Yaqub, M.; Van Berckel, B.N.M.; Schuitemaker, A.; Hinz, R.; Turkheimer, F.E.; Tomasi, G.; Lammertsma, A.A.; Boellaard, R. Optimization of Supervised Cluster Analysis for Extracting Reference Tissue Input Curves in (R)-[11C]PK11195 Brain PET Studies. J. Cereb. Blood Flow Metab. 2012, 32, 1600–1608. [Google Scholar] [CrossRef] [PubMed]
- Viviano, M.; Barresi, E.; Siméon, F.G.; Costa, B.; Taliani, S.; Da Settimo, F.; Pike, V.W.; Castellano, S. Essential Principles and Recent Progress in the Development of TSPO PET Ligands for Neuroinflammation Imaging. Curr. Med. Chem. 2022, 29, 4862–4890. [Google Scholar] [CrossRef]
- Werry, E.L.; Bright, F.M.; Piguet, O.; Ittner, L.M.; Halliday, G.M.; Hodges, J.R.; Kiernan, M.C.; Loy, C.T.; Kril, J.J.; Kassiou, M. Recent Developments in TSPO PET Imaging as a Biomarker of Neuroinflammation in Neurodegenerative Disorders. Int. J. Mol. Sci. 2019, 20, 3161. [Google Scholar] [CrossRef] [PubMed]
- Pike, V.W. PET Radiotracers: Crossing the Blood-Brain Barrier and Surviving Metabolism. Trends Pharmacol. Sci. 2009, 30, 431–440. [Google Scholar] [CrossRef]
- Narayanaswami, V.; Dahl, K.; Bernard-Gauthier, V.; Josephson, L.; Cumming, P.; Vasdev, N. Emerging PET Radiotracers and Targets for Imaging of Neuroinflammation in Neurodegenerative Diseases: Outlook Beyond TSPO. Mol. Imaging 2018, 17, 1536012118792317. [Google Scholar] [CrossRef]
- Mintun, M.A.; Raichle, M.E.; Kilbourn, M.R.; Wooten, G.F.; Welch, M.J. A Quantitative Model for the In Vivo Assessment of Drug Binding Sites with Positron Emission Tomography. Ann. Neurol. 1984, 15, 217–227. [Google Scholar] [CrossRef]
- Saxena, P.; Mahmood, T.; Dixit, M.; Gambhir, S.; Ahsan, F. An Exposition of 11C and 18F Radiotracers Synthesis for PET Imaging. Curr. Radiopharm. 2020, 14, 92–100. [Google Scholar] [CrossRef]
- Miller, P.W.; Long, N.J.; Vilar, R.; Gee, A.D. Synthesis Of11C, 18F, 15O, and 13N Radiolabels for Positron Emission Tomography. Angew. Chem. Int. Ed. 2008, 47, 8998–9033. [Google Scholar] [CrossRef] [PubMed]
- Shah, F.; Hume, S.P.; Pike, V.W.; Ashworth, S.; McDermott, J. Synthesis of the Enantiomers of [N-Methyl-11C]PK 11195 and Comparison of Their Behaviours as Radioligands for PK Binding Sites in Rats. Nucl. Med. Biol. 1994, 21, 573–581. [Google Scholar] [CrossRef]
- Junck, L.; Olson, J.M.M.; Ciliax, B.J.; Koeppe, R.A.; Watkins, G.L.; Jewett, D.M.; McKeever, P.E.; Wieland, D.M.; Kilbourn, M.R.; Starosta-Rubinstein, S.; et al. PET Imaging of Human Gliomas with Ligands for the Peripheral Benzodiazepine Binding Site. Ann. Neurol. 1989, 26, 752–758. [Google Scholar] [CrossRef]
- Matarrese, M.; Moresco, R.M.; Cappelli, A.; Anzini, M.; Vomero, S.; Simonelli, P.; Verza, E.; Magni, F.; Sudati, F.; Soloviev, D.; et al. Labeling and Evaluation of N-[11C]Methylated Quinoline-2-Carboxamides as Potential Radioligands for Visualization of Peripheral Benzodiazepine Receptors. J. Med. Chem. 2001, 44, 579–585. [Google Scholar] [CrossRef] [PubMed]
- Cappelli, A.; Matarrese, M.; Moresco, R.M.; Valenti, S.; Anzini, M.; Vomero, S.; Turolla, E.A.; Belloli, S.; Simonelli, P.; Filannino, M.A.; et al. Synthesis, Labeling, and Biological Evaluation of Halogenated 2-Quinolinecarboxamides as Potential Radioligands for the Visualization of Peripheral Benzodiazepine Receptors. Bioorganic Med. Chem. 2006, 14, 4055–4066. [Google Scholar] [CrossRef] [PubMed]
- Pike, V.W.; Taliani, S.; Lohith, T.G.; Owen, D.R.J.; Pugliesi, I.; Da Pozzo, E.; Hong, J.; Zoghbi, S.S.; Gunn, R.N.; Parker, C.A.; et al. Evaluation of Novel N 1-Methyl-2-Phenylindol-3-Ylglyoxylamides as a New Chemotype of 18 KDa Translocator Protein-Selective Ligand Suitable for the Development of Positron Emission Tomography Radioligands. J. Med. Chem. 2011, 54, 366–373. [Google Scholar] [CrossRef] [PubMed][Green Version]
- Ferzaz, B.; Brault, E.; Bourliaud, G.; Robert, J.P.; Poughon, G.; Claustre, Y.; Marguet, F.; Liere, P.; Schumacher, M.; Nowicki, J.P.; et al. SSR180575 (7-Chloro-N,N,5-Trimethyl-4-Oxo-3-Phenyl-3,5-Dihydro-4H-Pyridazino[4,5-b] Indole-1-Acetamide), a Peripheral Benzodiazepine Receptor Ligand, Promotes Neuronal Survival and Repair. J. Pharmacol. Exp. Ther. 2002, 301, 1067–1078. [Google Scholar] [CrossRef]
- Okuyama, S.; Chaki, S.; Yoshikawa, R.; Ogawa, S.I.; Suzuki, Y.; Okubo, T.; Nakazato, A.; Nagamine, M.; Tomisawa, K. Neuropharmacological Profile of Peripheral Benzodiazepine Receptor Agonists, DAA1097 and DAA1106. Life Sci. 1999, 64, 1455–1464. [Google Scholar] [CrossRef]
- Zhang, M.R.; Kida, T.; Noguchi, J.; Furutsuka, K.; Maeda, J.; Suhara, T.; Suzuki, K. [11C]DAA1106: Radiosynthesis and In Vivo Binding to Peripheral Benzodiazepine Receptors in Mouse Brain. Nucl. Med. Biol. 2003, 30, 513–519. [Google Scholar] [CrossRef]
- Venneti, S.; Lopresti, B.J.; Wang, G.; Slagel, S.L.; Mason, N.S.; Mathis, C.A.; Fischer, M.L.; Larsen, N.J.; Mortimer, A.D.; Hastings, T.G.; et al. A Comparison of the High-Affinity Peripheral Benzodiazepine Receptor Ligands DAA1106 and (R)-PK11195 in Rat Models of Neuroinflammation: Implications for PET Imaging of Microglial Activation. J. Neurochem. 2007, 102, 2118–2131. [Google Scholar] [CrossRef]
- Briard, E.; Zoghbi, S.S.; Imaizumi, M.; Gourley, J.P.; Shetty, H.U.; Hong, J.; Cropley, V.; Fujita, M.; Innis, R.B.; Pike, V.W. Synthesis and Evaluation in Monkey of Two Sensitive 11C-Labeled Aryloxyanilide Ligands for Imaging Brain Peripheral Benzodiazepine Receptors In Vivo. J. Med. Chem. 2008, 51, 17–30. [Google Scholar] [CrossRef]
- Kreisl, W.C.; Lyoo, C.H.; McGwier, M.; Snow, J.; Jenko, K.J.; Kimura, N.; Corona, W.; Morse, C.L.; Zoghbi, S.S.; Pike, V.W.; et al. In Vivo Radioligand Binding to Translocator Protein Correlates with Severity of Alzheimer’s Disease. Brain 2013, 136, 2228–2238. [Google Scholar] [CrossRef]
- Imaizumi, M.; Briard, E.; Zoghbi, S.S.; Gourley, J.P.; Hong, J.; Fujimura, Y.; Pike, V.W.; Innis, R.B.; Fujita, M. Brain and Whole-Body Imaging in Nonhuman Primates of [11C]PBR28, a Promising PET Radioligand for Peripheral Benzodiazepine Receptors. Neuroimage 2008, 39, 1289–1298. [Google Scholar] [CrossRef]
- Hirvonen, J.; Kreisl, W.C.; Fujita, M.; Dustin, I.; Khan, O.; Appel, S.; Zhang, Y.; Morse, C.; Pike, V.W.; Innis, R.B.; et al. Increased In Vivo Expression of an Inflammatory Marker in Temporal Lobe Epilepsy. J. Nucl. Med. 2012, 53, 234–240. [Google Scholar] [CrossRef] [PubMed]
- Wilson, A.A.; Garcia, A.; Parkes, J.; McCormick, P.; Stephenson, K.A.; Houle, S.; Vasdev, N. Radiosynthesis and Initial Evaluation of [18F]-FEPPA for PET Imaging of Peripheral Benzodiazepine Receptors. Nucl. Med. Biol. 2008, 35, 305–314. [Google Scholar] [CrossRef] [PubMed]
- Suridjan, I.; Pollock, B.G.; Verhoeff, N.P.L.G.; Voineskos, A.N.; Chow, T.; Rusjan, P.M.; Lobaugh, N.J.; Houle, S.; Mulsant, B.H.; Mizrahi, R. In-Vivo Imaging of Grey and White Matter Neuroinflammation in Alzheimer’s Disease: A Positron Emission Tomography Study with a Novel Radioligand, “18 F”-FEPPA. Mol. Psychiatry 2015, 20, 1579–1587. [Google Scholar] [CrossRef] [PubMed]
- Li, H.; Sagar, A.P.; Kéri, S. Translocator Protein (18 KDa TSPO) Binding, a Marker of Microglia, Is Reduced in Major Depression during Cognitive-Behavioral Therapy. Prog. Neuro-Psychopharmacol. Biol. Psychiatry 2018, 83, 1–7. [Google Scholar] [CrossRef]
- Sekimata, K.; Hatano, K.; Ogawa, M.; Abe, J.; Magata, Y.; Biggio, G.; Serra, M.; Laquintana, V.; Denora, N.; Latrofa, A.; et al. Radiosynthesis and In Vivo Evaluation of N-[11C]Methylated Imidazopyridineacetamides as PET Tracers for Peripheral Benzodiazepine Receptors. Nucl. Med. Biol. 2008, 35, 327–334. [Google Scholar] [CrossRef]
- Colasanti, A.; Guo, Q.; Muhlert, N.; Giannetti, P.; Onega, M.; Newbould, R.D.; Ciccarelli, O.; Rison, S.; Thomas, C.; Nicholas, R.; et al. In Vivo Assessment of Brain White Matter Inflammation in Multiple Sclerosis with 18F-PBR111 PET. J. Nucl. Med. 2014, 55, 1112–1118. [Google Scholar] [CrossRef]
- James, M.L.; Fulton, R.R.; Henderson, D.J.; Eberl, S.; Meikle, S.R.; Thomson, S.; Allan, R.D.; Dolle, F.; Fulham, M.J.; Kassiou, M. Synthesis and In Vivo Evaluation of a Novel Peripheral Benzodiazepine Receptor PET Radioligand. Bioorganic Med. Chem. 2005, 13, 6188–6194. [Google Scholar] [CrossRef]
- Boutin, H.; Chauveau, F.; Thominiaux, C.; Grégoire, M.C.; James, M.L.; Trebossen, R.; Hantraye, P.; Dollé, F.; Tavitian, B.; Kassiou, M. 11C-DPA-713: A Novel Peripheral Benzodiazepine Receptor PET Ligand for In Vivo Imaging of Neuroinflammation. J. Nucl. Med. 2007, 48, 573–581. [Google Scholar] [CrossRef]
- James, M.L.; Fulton, R.R.; Vercoullie, J.; Henderson, D.J.; Garreau, L.; Chalon, S.; Dolle, F.; Selleri, S.; Guilloteau, D.; Kassiou, M. DPA-714, a New Translocator Protein-Specific Ligand: Synthesis, Radiofluorination, and Pharmacologic Characterization. J. Nucl. Med. 2008, 49, 814–822. [Google Scholar] [CrossRef]
- Golla, S.S.V.; Boellaard, R.; Oikonen, V.; Hoffmann, A.; Van Berckel, B.N.M.; Windhorst, A.D.; Virta, J.; Haaparanta-Solin, M.; Luoto, P.; Savisto, N.; et al. Quantification of [18 F]DPA-714 Binding in the Human Brain: Initial Studies in Healthy Controls and Alzheimer’s Disease Patients. J. Cereb. Blood Flow Metab. 2015, 35, 766–772. [Google Scholar] [CrossRef]
- Hagens, M.H.J.; Golla, S.V.; Wijburg, M.T.; Yaqub, M.; Heijtel, D.; Steenwijk, M.D.; Schober, P.; Brevé, J.J.P.; Schuit, R.C.; Reekie, T.A.; et al. In Vivo Assessment of Neuroinflammation in Progressive Multiple Sclerosis: A Proof of Concept Study with [18F]DPA714 PET. J. Neuroinflamm. 2018, 15, 314. [Google Scholar] [CrossRef]
- Wang, L.; Cheng, R.; Fujinaga, M.; Yang, J.J.; Zhang, Y.; Hatori, A.; Kumata, K.; Yang, J.J.; Vasdev, N.; Du, Y.; et al. A Facile Radiolabeling of [18F]FDPA via Spirocyclic Iodonium Ylides: Preliminary PET Imaging Studies in Preclinical Models of Neuroinflammation. J. Med. Chem. 2017, 60, 5222–5227. [Google Scholar] [CrossRef] [PubMed]
- Keller, T.; Krzyczmonik, A.; Forsback, S.; Picón, F.R.L.; Kirjavainen, A.K.; Takkinen, J.; Rajander, J.; Cacheux, F.; Damont, A.; Dollé, F.; et al. Radiosynthesis and Preclinical Evaluation of [18F]F-DPA, A Novel Pyrazolo[1,5a]Pyrimidine Acetamide TSPO Radioligand, in Healthy Sprague Dawley Rats. Mol. Imaging Biol. 2017, 19, 736–745. [Google Scholar] [CrossRef]
- Zhang, M.R.; Kumata, K.; Maeda, J.; Yanamoto, K.; Hatori, A.; Okada, M.; Higuchi, M.; Obayashi, S.; Suhara, T.; Suzuki, K. 11C-AC-5216: A Novel PET Ligand for Peripheral Benzodiazepine Receptors in the Primate Brain. J. Nucl. Med. 2007, 48, 1853–1861. [Google Scholar] [CrossRef]
- Tiwari, A.K.; Yui, J.; Fujinaga, M.; Kumata, K.; Shimoda, Y.; Yamasaki, T.; Xie, L.; Hatori, A.; Maeda, J.; Nengaki, N.; et al. Characterization of a Novel Acetamidobenzoxazolone-Based PET Ligand for Translocator Protein (18 KDa) Imaging of Neuroinflammation in the Brain. J. Neurochem. 2014, 129, 712–720. [Google Scholar] [CrossRef] [PubMed]
- Tiwari, A.K.; Zhang, Y.; Yamasaki, T.; Kumari, N.; Fujinaga, M.; Mori, W.; Hatori, A.; Nengaki, N.; Mishra, A.K.; Zhang, H.; et al. Radiosynthesis and Evaluation of Acetamidobenzoxazolone Based Radioligand [11C]N′-MPB for Visualization of 18 KDa TSPO in Brain. New J. Chem. 2020, 44, 7912–7922. [Google Scholar] [CrossRef]
- Chau, W.F.; Black, A.M.A.; Clarke, A.; Durrant, C.; Gausemel, I.; Khan, I.; Mantzilas, D.; Oulie, I.; Rogstad, A.; Trigg, W.; et al. Exploration of the Impact of Stereochemistry on the Identification of the Novel Translocator Protein PET Imaging Agent [18F]GE-180. Nucl. Med. Biol. 2015, 42, 711–719. [Google Scholar] [CrossRef]
- Ikawa, M.; Lohith, T.G.; Shrestha, S.; Telu, S.; Zoghbi, S.S.; Castellano, S.; Taliani, S.; Da Settimo, F.; Fujita, M.; Pike, V.W.; et al. 11C-ER176, a Radioligand for 18-KDa Translocator Protein, Has Adequate Sensitivity to Robustly Image All Three Affinity Genotypes in Human Brain. J. Nucl. Med. 2017, 58, 320–325. [Google Scholar] [CrossRef]
- Tiwari, A.K.; Fujinaga, M.; Yui, J.; Yamasaki, T.; Xie, L.; Kumata, K.; Mishra, A.K.; Shimoda, Y.; Hatori, A.; Ji, B.; et al. Synthesis and Evaluation of New 18F-Labelled Acetamidobenzoxazolone-Based Radioligands for Imaging of the Translocator Protein (18 KDa, TSPO) in the Brain. Org. Biomol. Chem. 2014, 12, 9621–9630. [Google Scholar] [CrossRef]
- Mattner, F.; Katsifis, A.; Bourdier, T.; Loc’h, C.; Berghofer, P.; Fookes, C.; Hung, T.T.; Jackson, T.; Henderson, D.; Pham, T.; et al. Synthesis and Pharmacological Evaluation of [18F]PBR316: A Novel PET Ligand Targeting the Translocator Protein 18 KDa (TSPO) with Low Binding Sensitivity to Human Single Nucleotide Polymorphism Rs6971. RSC Med. Chem. 2021, 12, 1207–1221. [Google Scholar] [CrossRef]
- Lee, S.H.; Denora, N.; Laquintana, V.; Mangiatordi, G.F.; Lopedota, A.; Lopalco, A.; Cutrignelli, A.; Franco, M.; Delre, P.; Song, I.H.; et al. Radiosynthesis and Characterization of [18F]BS224: A next-Generation TSPO PET Ligand Insensitive to the Rs6971 Polymorphism. Eur. J. Nucl. Med. Mol. Imaging 2021, 49, 110–124. [Google Scholar] [CrossRef] [PubMed]
- Farges, R.; Joseph-Liauzun, E.; Shire, D.; Caput, D.; Le Fur, G.; Ferrara, P. Site-Directed Mutagenesis of the Peripheral Benzodiazepine Receptor: Identification of Amino Acids Implicated in the Binding Site of Ro5-4864. Mol. Pharmacol. 1994, 46, 1160–1167. [Google Scholar]
- Chauveau, F.; Becker, G.; Boutin, H. Have (R)-[11C]PK11195 Challengers Fulfilled the Promise? A Scoping Review of Clinical TSPO PET Studies. Eur. J. Nucl. Med. Mol. Imaging 2021, 49, 201–220. [Google Scholar] [CrossRef] [PubMed]
- Cagnin, A.; Brooks, D.J.; Kennedy, A.M.; Gunn, R.N.; Myers, R.; Turkheimer, F.E.; Jones, T.; Banati, R.B. In-Vivo Measurement of Activated Microglia in Dementia. Lancet 2001, 358, 461–467. [Google Scholar] [CrossRef] [PubMed]
- Parbo, P.; Ismail, R.; Hansen, K.V.; Amidi, A.; Mårup, F.H.; Gottrup, H.; Brændgaard, H.; Eriksson, B.O.; Eskildsen, S.F.; Lund, T.E.; et al. Brain Inflammation Accompanies Amyloid in the Majority of Mild Cognitive Impairment Cases Due to Alzheimer’s Disease. Brain 2017, 140, 2002–2011. [Google Scholar] [CrossRef] [PubMed]
- Parbo, P.; Ismail, R.; Sommerauer, M.; Stokholm, M.G.; Hansen, A.K.; Hansen, K.V.; Amidi, A.; Schaldemose, J.L.; Gottrup, H.; Brændgaard, H.; et al. Does Inflammation Precede Tau Aggregation in Early Alzheimer’s Disease? A PET Study. Neurobiol. Dis. 2018, 117, 211–216. [Google Scholar] [CrossRef]
- Ismail, R.; Parbo, P.; Madsen, L.S.; Hansen, A.K.; Hansen, K.V.; Schaldemose, J.L.; Kjeldsen, P.L.; Stokholm, M.G.; Gottrup, H.; Eskildsen, S.F.; et al. The Relationships between Neuroinflammation, Beta-Amyloid and Tau Deposition in Alzheimer’s Disease: A Longitudinal PET Study. J. Neuroinflamm. 2020, 17, 151. [Google Scholar] [CrossRef]
- Parbo, P.; Madsen, L.S.; Ismail, R.; Zetterberg, H.; Blennow, K.; Eskildsen, S.F.; Vorup-Jensen, T.; Brooks, D.J. Low Plasma Neurofilament Light Levels Associated with Raised Cortical Microglial Activation Suggest Inflammation Acts to Protect Prodromal Alzheimer’s Disease. Alzheimer’s Res. Ther. 2020, 12, 3. [Google Scholar] [CrossRef]
- Victor, W.P. Considerations in the Development of Reversibly Binding PET Radioligands for Brain Imaging. Curr. Med. Chem. 2016, 23, 1818–1869. [Google Scholar] [CrossRef]
- Chauveau, F.; Boutin, H.; Van Camp, N.; Dollé, F.; Tavitian, B. Nuclear Imaging of Neuroinflammation: A Comprehensive Review of [11C]PK11195 Challengers. Eur. J. Nucl. Med. Mol. Imaging 2008, 35, 2304–2319. [Google Scholar] [CrossRef]
- Schuitemaker, A.; van Berckel, B.N.M.; Kropholler, M.A.; Veltman, D.J.; Scheltens, P.; Jonker, C.; Lammertsma, A.A.; Boellaard, R. SPM Analysis of Parametric (R)-[11C]PK11195 Binding Images: Plasma Input versus Reference Tissue Parametric Methods. Neuroimage 2007, 35, 1473–1479. [Google Scholar] [CrossRef] [PubMed]
- Parente, A.; Feltes, P.K.; Garcia, D.V.; Sijbesma, J.W.A.; Jeckel, C.M.M.; Dierckx, R.A.J.O.; De Vries, E.F.J.; Doorduin, J. Pharmacokinetic Analysis of 11C-PBR28 in the Rat Model of Herpes Encephalitis: Comparison with (R)-11C-PK11195. J. Nucl. Med. 2016, 57, 785–791. [Google Scholar] [CrossRef] [PubMed]
- Owen, D.R.J.; Gunn, R.N.; Rabiner, E.A.; Bennacef, I.; Fujita, M.; Kreisl, W.C.; Innis, R.B.; Pike, V.W.; Reynolds, R.; Matthews, P.M.; et al. Mixed-Affinity Binding in Humans with 18-KDa Translocator Protein Ligands. J. Nucl. Med. 2011, 52, 24–32. [Google Scholar] [CrossRef]
- Pascali, C.; Luthra, S.K.; Pike, V.W.; Price, G.W.; Ahier, R.G.; Hume, S.P.; Myers, R.; Manjil, L.; Cremer, J.E. The Radiosynthesis of [18F]PK 14105 as an Alternative Radioligand for Peripheral Type Benzodiazepine Binding Sites. Int. J. Radiat. Appl. Instrum. Part A Appl. Radiat. Isot. 1990, 41, 477–482. [Google Scholar] [CrossRef]
- Gildersleeve, D.L.; Van Dort, M.E.; Johnson, J.W.; Sherman, P.S.; Wieland, D.M. Synthesis and Evaluation of [123I]-Iodo-PK11195 for Mapping Peripheral-Type Benzodiazepine Receptors (Ω3) in Heart. Nucl. Med. Biol. 1996, 23, 23–28. [Google Scholar] [CrossRef]
- Cappelli, A.; Anzini, M.; Vomero, S.; De Benedetti, P.G.; Menziani, M.C.; Giorgi, G.; Manzoni, C. Mapping the Peripheral Benzodiazepine Receptor Binding Site by Conformationally Restrained Derivatives of 1-(2-Chlorophenyl)-N-Methyl-N-(1- Methylpropyl)-3-Isoquinolinecarboxamide (PK11195). J. Med. Chem. 1997, 40, 2910–2921. [Google Scholar] [CrossRef] [PubMed]
- Belloli, S.; Moresco, R.M.; Matarrese, M.; Biella, G.; Sanvito, F.; Simonelli, P.; Turolla, E.; Olivieri, S.; Cappelli, A.; Vomero, S.; et al. Evaluation of Three Quinoline-Carboxamide Derivatives as Potential Radioligands for the In Vivo Pet Imaging of Neurodegeneration. Neurochem. Int. 2004, 44, 433–440. [Google Scholar] [CrossRef]
- Di Grigoli, G.; Monterisi, C.; Belloli, S.; Masiello, V.; Politi, L.S.; Valenti, S.; Paolino, M.; Anzini, M.; Matarrese, M.; Cappelli, A.; et al. Radiosynthesis and Preliminary Biological Evaluation of [18F]VC701, a Radioligand for Translocator Protein. Mol. Imaging 2015, 14, 7290-2015. [Google Scholar] [CrossRef] [PubMed]
- Belloli, S.; Zanotti, L.; Murtaj, V.; Mazzon, C.; Di Grigoli, G.; Monterisi, C.; Masiello, V.; Iaccarino, L.; Cappelli, A.; Poliani, P.L.; et al. 18 F-VC701-PET and MRI in the In Vivo Neuroinflammation Assessment of a Mouse Model of Multiple Sclerosis. J. Neuroinflamm. 2018, 15, 33. [Google Scholar] [CrossRef]
- Kozikowski, A.P.; Ma, D.; Brewer, J.; Sun, S.; Costa, E.; Romeo, E.; Guidotti, A. Chemistry, Binding Affinities, and Behavioral Properties of a New Class of “Antineophobic” Mitochondrial DBI Receptor Complex (MDRC) Ligands. J. Med. Chem. 1993, 36, 2908–2920. [Google Scholar] [CrossRef]
- Primofiore, G.; Da Settimo, F.; Taliani, S.; Simorini, F.; Patrizi, M.P.; Novellino, E.; Greco, G.; Abignente, E.; Costa, B.; Chelli, B.; et al. N,N-Dialkyl-2-Phenylindol-3-Ylglyoxylamides. A New Class of Potent and Selective Ligands at the Peripheral Renzodiazepine Receptor. J. Med. Chem. 2004, 47, 1852–1855. [Google Scholar] [CrossRef] [PubMed]
- Da Settimo, F.; Simorini, F.; Taliani, S.; La Motta, C.; Marini, A.M.; Salerno, S.; Bellandi, M.; Novellino, E.; Greco, G.; Cosimelli, B.; et al. Anxiolytic-like Effects of N,N-Dialkyl-2-Phenylindol-3-Ylglyoxylamides by Modulation of Translocator Protein Promoting Neurosteroid Biosynthesis. J. Med. Chem. 2008, 51, 5798–5806. [Google Scholar] [CrossRef]
- Barresi, E.; Bruno, A.; Taliani, S.; Cosconati, S.; Da Pozzo, E.; Salerno, S.; Simorini, F.; Daniele, S.; Giacomelli, C.; Marini, A.M.; et al. Deepening the Topology of the Translocator Protein Binding Site by Novel N,N-Dialkyl-2-Arylindol-3-Ylglyoxylamides. J. Med. Chem. 2015, 58, 6081–6092. [Google Scholar] [CrossRef] [PubMed]
- Thominiaux, C.; Damont, A.; Kuhnast, B.; Demphel, S.; Le Helleix, S.; Boisnard, S.; Rivron, L.; Chauveau, F.; Boutin, H.; Van Camp, N.; et al. Radiosynthesis of 7-Chloro-N,N-Dimethyl-5-[11C]Methyl-4-Oxo-3- Phenyl-3,5-Dihydro-4H-Pyridazino[4,5-b]Indole-1-Acetamide, [11C] SSR180575, a Novel Radioligand for Imaging the TSPO (Peripheral Benzodiazepine Receptor) with PET. J. Label. Compd. Radiopharm. 2010, 53, 767–773. [Google Scholar] [CrossRef]
- Chauveau, F.; Boutin, H.; Van Camp, N.; Thominiaux, C.; Hantraye, P.; Rivron, L.; Marguet, F.; Castel, M.N.; Rooney, T.; Benavides, J.; et al. In Vivo Imaging of Neuroinflammation in the Rodent Brain with [ 11C]SSR180575, a Novel Indoleacetamide Radioligand of the Translocator Protein (18 KDa). Eur. J. Nucl. Med. Mol. Imaging 2011, 38, 509–514. [Google Scholar] [CrossRef]
- Cheung, Y.Y.; Nickels, M.L.; Tang, D.; Buck, J.R.; Manning, H.C. Facile Synthesis of SSR180575 and Discovery of 7-Chloro-N,N,5-Trimethyl-4-Oxo-3(6-[18F]Fluoropyridin-2-Yl)-3,5-Dihydro-4H-Pyridazino[4,5-b]Indole-1-Acetamide, a Potent Pyridazinoindole Ligand for PET Imaging of TSPO in Cancer. Bioorganic Med. Chem. Lett. 2014, 24, 4466–4471. [Google Scholar] [CrossRef] [PubMed][Green Version]
- Yasuno, F.; Ota, M.; Kosaka, J.; Ito, H.; Higuchi, M.; Doronbekov, T.K.; Nozaki, S.; Fujimura, Y.; Koeda, M.; Asada, T.; et al. Increased Binding of Peripheral Benzodiazepine Receptor in Alzheimer’s Disease Measured by Positron Emission Tomography with [11C]DAA1106. Biol. Psychiatry 2008, 64, 835–841. [Google Scholar] [CrossRef]
- Takano, A.; Arakawa, R.; Ito, H.; Tateno, A.; Takahashi, H.; Matsumoto, R.; Okubo, Y.; Suhara, T. Peripheral Benzodiazepine Receptors in Patients with Chronic Schizophrenia: A PET Study with [11C]DAA1106. Int. J. Neuropsychopharmacol. 2010, 13, 943–950. [Google Scholar] [CrossRef]
- Brody, A.L.; Gehlbach, D.; Garcia, L.Y.; Enoki, R.; Hoh, C.; Vera, D.; Kotta, K.K.; London, E.D.; Okita, K.; Nurmi, E.L.; et al. Effect of Overnight Smoking Abstinence on a Marker for Microglial Activation: A [11C]DAA1106 Positron Emission Tomography Study. Psychopharmacology 2018, 235, 3525–3534. [Google Scholar] [CrossRef]
- Zhang, M.R.; Maeda, J.; Furutsuka, K.; Yoshida, Y.; Ogawa, M.; Suhara, T.; Suzuki, K. [18F]FMDAA1106 and [18F]FEDAA1106: Two Positron-Emitter Labeled Ligands for Peripheral Benzodiazepine Receptor (PBR). Bioorganic Med. Chem. Lett. 2003, 13, 201–204. [Google Scholar] [CrossRef]
- Kumata, K.; Zhang, Y.; Fujinaga, M.; Ohkubo, T.; Mori, W.; Yamasaki, T.; Hanyu, M.; Xie, L.; Hatori, A.; Zhang, M.R. [18 F]DAA1106: Automated Radiosynthesis Using Spirocyclic Iodonium Ylide and Preclinical Evaluation for Positron Emission Tomography Imaging of Translocator Protein (18 KDa). Bioorganic Med. Chem. 2018, 26, 4817–4822. [Google Scholar] [CrossRef]
- Zhang, M.R.; Maeda, J.; Ogawa, M.; Noguchi, J.; Ito, T.; Yoshida, Y.; Okauchi, T.; Obayashi, S.; Suhara, T.; Suzuki, K. Development of a New Radioligand, N-(5-Fluoro-2-Phenoxyphenyl)-N-(2-[ 18F]Fluoroethyl-5-Methoxybenzyl)Acetamide, for PET Imaging of Peripheral Benzodiazepine Receptor in Primate Brain. J. Med. Chem. 2004, 47, 2228–2235. [Google Scholar] [CrossRef] [PubMed]
- Varrone, A.; Mattsson, P.; Forsberg, A.; Takano, A.; Nag, S.; Gulyàs, B.; Borg, J.; Boellaard, R.; Al-Tawil, N.; Eriksdotter, M.; et al. In Vivo Imaging of the 18-KDa Translocator Protein (TSPO) with [18F]FEDAA1106 and PET Does Not Show Increased Binding in Alzheimer’s Disease Patients. Eur. J. Nucl. Med. Mol. Imaging 2013, 40, 921–931. [Google Scholar] [CrossRef] [PubMed]
- Briard, E.; Zoghbi, S.S.; Siméon, F.G.; Imaizumi, M.; Gourley, J.P.; Shetty, H.U.; Lu, S.; Fujita, M.; Innis, R.B.; Pike, V.W. Single-Step High-Yield Radiosynthesis and Evaluation of a Sensitive 18F-Labeled Ligand for Imaging Brain Peripheral Benzodiazepine Receptors with PET. J. Med. Chem. 2009, 52, 688–699. [Google Scholar] [CrossRef] [PubMed]
- Simmons, D.A.; James, M.L.; Belichenko, N.P.; Semaan, S.; Condon, C.; Kuan, J.; Shuhendler, A.J.; Miao, Z.; Chin, F.T.; Longo, F.M. TSPO-PET Imaging Using [18F]PBR06 Is a Potential Translatable Biomarker for Treatment Response in Huntington’s Disease: Preclinical Evidence with the P75NTR Ligand LM11A-31. Hum. Mol. Genet. 2018, 27, 2893–2912. [Google Scholar] [CrossRef] [PubMed]
- Lartey, F.M.; Ahn, G.O.; Ali, R.; Rosenblum, S.; Miao, Z.; Arksey, N.; Shen, B.; Colomer, M.V.; Rafat, M.; Liu, H.; et al. The Relationship Between Serial [18 F]PBR06 PET Imaging of Microglial Activation and Motor Function Following Stroke in Mice. Mol. Imaging Biol. 2014, 16, 821–829. [Google Scholar] [CrossRef]
- Kim, S.W.; Wiers, C.E.; Tyler, R.; Shokri-Kojori, E.; Jang, Y.J.; Zehra, A.; Freeman, C.; Ramirez, V.; Lindgren, E.; Miller, G.; et al. Influence of Alcoholism and Cholesterol on TSPO Binding in Brain: PET [ 11 C]PBR28 Studies in Humans and Rodents. Neuropsychopharmacology 2018, 43, 1832–1839. [Google Scholar] [CrossRef]
- Fujita, M.; Imaizumi, M.; Zoghbi, S.S.; Fujimura, Y.; Farris, A.G.; Suhara, T.; Hong, J.; Pike, V.W.; Innis, R.B. Kinetic Analysis in Healthy Humans of a Novel Positron Emission Tomography Radioligand to Image the Peripheral Benzodiazepine Receptor, a Potential Biomarker for Inflammation. Neuroimage 2008, 40, 43–52. [Google Scholar] [CrossRef]
- Ibrahim, W.; An, J.; Yang, Y.; Cosgrove, K.P.; Matuskey, D. Does Seasonal Variation Affect the Neuroimmune System? A Retrospective [11C]PBR28 PET Study in Healthy Individuals. Neurosci. Lett. 2024, 828, 137766. [Google Scholar] [CrossRef]
- Moon, B.S.; Kim, B.S.; Park, C.; Jung, J.H.; Lee, Y.W.; Lee, H.Y.; Chi, D.Y.; Lee, B.C.; Kim, S.E. Fluoromethyl-PBR28 as a Potential Radiotracer for TSPO: Preclinical Comparison with [11C]PBR28 in a Rat Model of Neuroinflammation. Bioconjug. Chem. 2014, 25, 442–450. [Google Scholar] [CrossRef]
- Kim, G.R.; Paeng, J.C.; Jung, J.H.; Moon, B.S.; Lopalco, A.; Denora, N.; Lee, B.C.; Kim, S.E. Assessment of TSPO in a Rat Experimental Autoimmune Myocarditis Model: A Comparison Study between [18F] Fluoromethyl-PBR28 and [18F]CB251. Int. J. Mol. Sci. 2018, 19, 276. [Google Scholar] [CrossRef] [PubMed]
- Rusjan, P.M.; Wilson, A.A.; Bloomfield, P.M.; Vitcu, I.; Meyer, J.H.; Houle, S.; Mizrahi, R. Quantitation of Translocator Protein Binding in Human Brain with the Novel Radioligand 18 F-FEPPA and Positron Emission Tomography; SAGE Publications: London, UK, 2011; Volume 31, pp. 1807–1816. [Google Scholar]
- Mizrahi, R.; Rusjan, P.M.; Kennedy, J.; Pollock, B.; Mulsant, B.; Suridjan, I.; De Luca, V.; Wilson, A.A.; Houle, S. Translocator Protein (18 KDa) Polymorphism (Rs6971) Explains In-Vivo Brain Binding Affinity of the PET Radioligand [ 18F]-FEPPA. J. Cereb. Blood Flow Metab. 2012, 32, 968–972. [Google Scholar] [CrossRef] [PubMed]
- Setiawan, E.; Wilson, A.A.; Mizrahi, R.; Rusjan, P.M.; Miler, L.; Rajkowska, G.; Suridjan, I.; Kennedy, J.L.; Rekkas, P.V.; Houle, S.; et al. Role of Translocator Protein Density, a Marker of Neuroinflammation, in the Brain during Major Depressive Episodes. JAMA Psychiatry 2015, 72, 268–275. [Google Scholar] [CrossRef]
- Langer, S.Z.; Arbilla, S.; Benavides, J.; Scatton, B. Zolpidem and Alpidem: Two Imidazopyridines with Selectivity for Omega 1- and Omega 3-Receptor Subtypes. Adv. Biochem. Psychopharmacol. 1990, 46, 61–72. [Google Scholar]
- Boutin, H.; Chauveau, F.; Thominiaux, C.; Kuhnast, B.; Grégoire, M.C.; Jan, S.; Trebossen, R.; Dollé, F.; Tavitian, B.; Mattner, F.; et al. In Vivo Imaging of Brain Lesions with [11C]CLINME, a New PET Radioligand of Peripheral Benzodiazepine Receptors. Glia 2007, 55, 1459–1468. [Google Scholar] [CrossRef] [PubMed]
- Mattner, F.; Mardon, K.; Katsifis, A. Pharmacological Evaluation of [123I]-CLINDE: A Radioiodinated Imidazopyridine-3-Acetamide for the Study of Peripheral Benzodiazepine Binding Sites (PBBS). Eur. J. Nucl. Med. Mol. Imaging 2008, 35, 779–789. [Google Scholar] [CrossRef]
- Mattner, F.; Bandin, D.L.; Staykova, M.; Berghofer, P.; Gregoire, M.C.; Ballantyne, P.; Quinlivan, M.; Fordham, S.; Pham, T.; Willenborg, D.O.; et al. Evaluation of [123I]-CLINDE as a Potent SPECT Radiotracer to Assess the Degree of Astroglia Activation in Cuprizone-Induced Neuroinflammation. Eur. J. Nucl. Med. Mol. Imaging 2011, 38, 1516–1528. [Google Scholar] [CrossRef]
- Ohshima, M.; Moriguchi, T.; Enmi, J.-I.; Kawashima, H.; Koshino, K.; Zeniya, T.; Tsuji, M.; Iida, H. [123I]CLINDE SPECT as a Neuroinflammation Imaging Approach in a Rat Model of Stroke. Exp. Neurol. 2024, 378, 114843. [Google Scholar] [CrossRef]
- Fookes, C.J.R.; Pham, T.Q.; Mattner, F.; Greguric, I.; Loc’h, C.; Liu, X.; Berghofer, P.; Shepherd, R.; Gregoire, M.C.; Katsifis, A. Synthesis and Biological Evaluation of Substituted [18F] Imidazo[1,2-a]Pyridines and [18F]Pyrazolo[1,5-a]Pyrimidines for the Study of the Peripheral Benzodiazepine Receptor Using Positron Emission Tomography. J. Med. Chem. 2008, 51, 3700–3712. [Google Scholar] [CrossRef]
- Callaghan, P.D.; Wimberley, C.A.; Rahardjo, G.L.; Berghofer, P.J.; Pham, T.Q.; Jackson, T.; Zahra, D.; Bourdier, T.; Wyatt, N.; Greguric, I.; et al. Comparison of In Vivo Binding Properties of the 18-KDa Translocator Protein (TSPO) Ligands [18F]PBR102 and [18F]PBR111 in a Model of Excitotoxin-Induced Neuroinflammation. Eur. J. Nucl. Med. Mol. Imaging 2015, 42, 138–151. [Google Scholar] [CrossRef]
- Guo, Q.; Colasanti, A.; Owen, D.R.; Onega, M.; Kamalakaran, A.; Bennacef, I.; Matthews, P.M.; Rabiner, E.A.; Turkheimer, F.E.; Gunn, R.N. Quantification of the Specific Translocator Protein Signal of 18F-PBR111 in Healthy Humans: A Genetic Polymorphism Effect on In Vivo Binding. J. Nucl. Med. 2013, 54, 1915–1923. [Google Scholar] [CrossRef] [PubMed]
- Van Camp, N.; Boisgard, R.; Kuhnast, B.; Thézé, B.; Viel, T.; Grégoire, M.C.; Chauveau, F.; Boutin, H.; Katsifis, A.; Dollé, F.; et al. In Vivo Imaging of Neuroinflammation: A Comparative Study between [18F]PBR111, [11C]CLINME and [11C]PK11195 in an Acute Rodent Model. Eur. J. Nucl. Med. Mol. Imaging 2010, 37, 962–972. [Google Scholar] [CrossRef] [PubMed]
- Hatano, K.; Sekimata, K.; Yamada, T.; Abe, J.; Ito, K.; Ogawa, M.; Magata, Y.; Toyohara, J.; Ishiwata, K.; Biggio, G.; et al. Radiosynthesis and In Vivo Evaluation of Two Imidazopyridineacetamides, [11C]CB184 and [11C]CB190, as a PET Tracer for 18 KDa Translocator Protein: Direct Comparison with [11C](R)-PK11195. Ann. Nucl. Med. 2015, 29, 325–335. [Google Scholar] [CrossRef] [PubMed]
- Toyohara, J.; Sakata, M.; Hatano, K.; Yanai, S.; Endo, S.; Ishibashi, K.; Wagatsuma, K.; Ishii, K.; Ishiwata, K. Preclinical and First-in-Man Studies of [11C]CB184 for Imaging the 18-KDa Translocator Protein by Positron Emission Tomography. Ann. Nucl. Med. 2016, 30, 534–543. [Google Scholar] [CrossRef] [PubMed]
- Chauveau, F.; Van Camp, N.; Dollé, F.; Kuhnast, B.; Hinnen, F.; Damont, A.; Boutin, H.; James, M.; Kassiou, M.; Tavitian, B. Comparative Evaluation of the Translocator Protein Radioligands 11C-DPA-713, 18F-DPA-714, and 11C-PK11195 in a Rat Model of Acute Neuroinflammation. J. Nucl. Med. 2009, 50, 468–476. [Google Scholar] [CrossRef]
- Peyronneau, M.A.; Saba, W.; Goutal, S.; Damont, A.; Dollé, F.; Kassiou, M.; Bottlaender, M.; Valette, H. Metabolism and Quantification of [18F]DPA-714, a New TSPO Positron Emission Tomography Radioligand. Drug Metab. Dispos. 2013, 41, 122–131. [Google Scholar] [CrossRef]
- Lavisse, S.; Inoue, K.; Jan, C.; Peyronneau, M.A.; Petit, F.; Goutal, S.; Dauguet, J.; Guillermier, M.; Dollé, F.; Rbah-Vidal, L.; et al. [18F]DPA-714 PET Imaging of Translocator Protein TSPO (18 KDa) in the Normal and Excitotoxically-Lesioned Nonhuman Primate Brain. Eur. J. Nucl. Med. Mol. Imaging 2015, 42, 478–494. [Google Scholar] [CrossRef]
- Foray, C.; Valtorta, S.; Barca, C.; Winkeler, A.; Roll, W.; Müther, M.; Wagner, S.; Gardner, M.L.; Hermann, S.; Schäfers, M.; et al. Imaging Temozolomide-Induced Changes in the Myeloid Glioma Microenvironment. Theranostics 2021, 11, 2020–2033. [Google Scholar] [CrossRef]
- Niu, N.; Xing, H.; Wang, X.; Ding, J.; Hao, Z.; Ren, C.; Ba, J.; Zheng, L.; Fu, C.; Zhao, H.; et al. Comparative [18F]FDG and [18F]DPA714 PET Imaging and Time-Dependent Changes of Brown Adipose Tissue in Tumour-Bearing Mice. Adipocyte 2020, 9, 542–549. [Google Scholar] [CrossRef]
- Zhang, M.; Meng, H.; Zhou, Q.; Chunyu, H.; He, L.; Meng, H.; Wang, H.; Wang, Y.; Sun, C.; Xi, Y.; et al. Microglial Activation Imaging Using 18F-DPA-714 PET/MRI for Detecting Autoimmune Encephalitis. Radiology 2024, 310, e230397. [Google Scholar] [CrossRef]
- Keller, T.; López-Picón, F.R.; Krzyczmonik, A.; Forsback, S.; Kirjavainen, A.K.; Takkinen, J.S.; Alzghool, O.; Rajander, J.; Teperi, S.; Cacheux, F.; et al. [18 F]F-DPA for the Detection of Activated Microglia in a Mouse Model of Alzheimer’s Disease. Nucl. Med. Biol. 2018, 67, 1–9. [Google Scholar] [CrossRef] [PubMed]
- Keller, T.; López-Picón, F.R.; Krzyczmonik, A.; Forsback, S.; Takkinen, J.S.; Rajander, J.; Teperi, S.; Dollé, F.; Rinne, J.O.; Haaparanta-Solin, M.; et al. Comparison of High and Low Molar Activity TSPO Tracer [18F]F-DPA in a Mouse Model of Alzheimer’s Disease. J. Cereb. Blood Flow Metab. 2020, 40, 1012–1020. [Google Scholar] [CrossRef] [PubMed]
- Tuominen, S.; Keller, T.; Petruk, N.; López-Picón, F.; Eichin, D.; Löyttyniemi, E.; Verhassel, A.; Rajander, J.; Sandholm, J.; Tuomela, J.; et al. Evaluation of [18F]F-DPA as a Target for TSPO in Head and Neck Cancer under Normal Conditions and after Radiotherapy. Eur. J. Nucl. Med. Mol. Imaging 2021, 48, 1312–1326. [Google Scholar] [CrossRef]
- Damont, A.; Médran-Navarrete, V.; Cacheux, F.; Kuhnast, B.; Pottier, G.; Bernards, N.; Marguet, F.; Puech, F.; Boisgard, R.; Dollé, F. Novel Pyrazolo[1,5-a]Pyrimidines as Translocator Protein 18 KDa (TSPO) Ligands: Synthesis, in Vitro Biological Evaluation, [18F]-Labeling, and In Vivo Neuroinflammation PET Images. J. Med. Chem. 2015, 58, 7449–7464. [Google Scholar] [CrossRef] [PubMed]
- Tang, D.; McKinley, E.T.; Hight, M.R.; Uddin, M.I.; Harp, J.M.; Fu, A.; Nickels, M.L.; Buck, J.R.; Manning, H.C. Synthesis and Structure-Activity Relationships of 5,6,7-Substituted Pyrazolopyrimidines: Discovery of a Novel TSPO PET Ligand for Cancer Imaging. J. Med. Chem. 2013, 56, 3429–3433. [Google Scholar] [CrossRef] [PubMed]
- Tang, D.; Nickels, M.L.; Tantawy, M.N.; Buck, J.R.; Manning, H.C. Preclinical Imaging Evaluation of Novel TSPO-PET Ligand 2-(5,7-Diethyl-2-(4-(2-[18F]Fluoroethoxy)Phenyl)Pyrazolo[1,5-a]Pyrimidin-3-Yl)-N,N-Diethylacetamide ([18F]VUIIS1008) in Glioma. Mol. Imaging Biol. 2014, 16, 813–820. [Google Scholar] [CrossRef][Green Version]
- Tang, D.; Fujinaga, M.; Hatori, A.; Zhang, Y.; Yamasaki, T.; Xie, L.; Mori, W.; Kumata, K.; Liu, J.; Manning, H.C.; et al. Evaluation of the Novel TSPO Radiotracer 2-(7-Butyl-2-(4-(2-([18F]Fluoroethoxy)Phenyl)-5-Methylpyrazolo[1,5-a]Pyrimidin-3-Yl)-N,N-Diethylacetamide in a Preclinical Model of Neuroinflammation. Eur. J. Med. Chem. 2018, 150, 1–8. [Google Scholar] [CrossRef]
- Tang, D.; Li, J.; Nickels, M.L.; Huang, G.; Cohen, A.S.; Manning, H.C. Preclinical Evaluation of a Novel TSPO PET Ligand 2-(7-Butyl-2-(4-(2-[ 18 F]Fluoroethoxy)Phenyl)-5-Methylpyrazolo[1,5-a]Pyrimidin-3-Yl)-N,N-Diethylacetamide (18 F-VUIIS1018A) to Image Glioma. Mol. Imaging Biol. 2019, 21, 113–121. [Google Scholar] [CrossRef]
- Murata, T.; Masumoto, K.; Kondo, K.; Furukawa, K.; Oka, M. 2-Aryl-8-Oxodihydropurinderivater, Process for Preparing Same Medical Compositions Containing the Same and Intermediates Thereof. WO1999028320A1. 1999. Available online: https://patents.google.com/patent/WO1999028320A1/en?oq=+WO+Patent+9928320 (accessed on 2 September 2024).
- Maeda, J.; Zhang, M.R.; Okauchi, T.; Ji, B.; Ono, M.; Hattori, S.; Kumata, K.; Iwata, N.; Saido, T.C.; Trojanowski, J.Q.; et al. In Vivo Positron Emission Tomographic Imaging of Glial Responses to Amyloid-β and Tau Pathologies in Mouse Models of Alzheimer’s Disease and Related Disorders. J. Neurosci. 2011, 31, 4720–4730. [Google Scholar] [CrossRef]
- Yanamoto, K.; Yamasaki, T.; Kumata, K.; Yui, J.; Odawara, C.; Kawamura, K.; Hatori, A.; Inoue, O.; Yamaguchi, M.; Suzuki, K.; et al. Evaluation of N-Benzyl-N-[11C]Methyl-2-(7-Methyl-8-Oxo-2-Phenyl- 7,8-Dihydro-9H-Purin-9-Yl)Acetamide ([11C]DAC) as a Novel Translocator Protein (18 KDa) Radioligand in Kainic Acid-Lesioned Rat. Synapse 2009, 63, 961–971. [Google Scholar] [CrossRef]
- Yui, J.; Hatori, A.; Yanamoto, K.; Takei, M.; Nengaki, N.; Kumata, K.; Kawamura, K.; Yamasaki, T.; Suzuki, K.; Zhang, M.R. Imaging of the Translocator Protein (18 KDa) in Rat Brain after Ischemia Using [11C]DAC with Ultra-High Specific Activity. Synapse 2010, 64, 488–493. [Google Scholar] [CrossRef] [PubMed]
- Yui, J.; Hatori, A.; Kawamura, K.; Yanamoto, K.; Yamasaki, T.; Ogawa, M.; Yoshida, Y.; Kumata, K.; Fujinaga, M.; Nengaki, N.; et al. Visualization of Early Infarction in Rat Brain after Ischemia Using a Translocator Protein (18 kDa) PET Ligand [11C]DAC with Ultra-High Specific Activity. Neuroimage 2011, 54, 123–130. [Google Scholar] [CrossRef]
- Yanamoto, K.; Kumata, K.; Yamasaki, T.; Odawara, C.; Kawamura, K.; Yui, J.; Hatori, A.; Suzuki, K.; Zhang, M.R. [18F]FEAC and [18F]FEDAC: Two Novel Positron Emission Tomography Ligands for Peripheral-Type Benzodiazepine Receptor in the Brain. Bioorganic Med. Chem. Lett. 2009, 19, 1707–1710. [Google Scholar] [CrossRef]
- Lee, J.; Jung, J.H.; Lee, B.C.; Lee, S.Y. Design and Synthesis of Phenoxypyridyl Acetamide or Aryl-Oxodihydropurine Derivatives for the Development of Novel Pet Ligands Targeting the Translocator Protein 18 KDa (TSPO). Bull. Korean Chem. Soc. 2016, 37, 1874–1877. [Google Scholar] [CrossRef]
- Yui, J.; Maeda, J.; Kumata, K.; Kawamura, K.; Yanamoto, K.; Hatori, A.; Yamasaki, T.; Nengaki, N.; Higuchi, M.; Zhang, M.R. 18F-FEAC and 18F-FEDAC: PET of the Monkey Brain and Imaging of Translocator Protein (18 KDa) in the Infarcted Rat Brain. J. Nucl. Med. 2010, 51, 1301–1309. [Google Scholar] [CrossRef]
- Chung, S.J.; Yoon, H.J.; Youn, H.; Kim, M.J.; Lee, Y.S.; Jeong, J.M.; Chung, J.K.; Kang, K.W.; Xie, L.; Zhang, M.R.; et al. 18 F-FEDAC as a Targeting Agent for Activated Macrophages in DBA/1 Mice with Collagen-Induced Arthritis: Comparison with 18 F-FDG. J. Nucl. Med. 2018, 59, 839–845. [Google Scholar] [CrossRef]
- Fukaya, T.; Kodo, T.; Ishiyama, T.; Kakuyama, H.; Nishikawa, H.; Baba, S.; Masumoto, S. Design, Synthesis and Structure-Activity Relationships of Novel Benzoxazolone Derivatives as 18 KDa Translocator Protein (TSPO) Ligands. Bioorganic Med. Chem. 2012, 20, 5568–5582. [Google Scholar] [CrossRef] [PubMed]
- Fukaya, T.; Ishiyama, T.; Baba, S.; Masumoto, S. Identification of a Novel Benzoxazolone Derivative as a Selective, Orally Active 18 KDa Translocator Protein (TSPO) Ligand. J. Med. Chem. 2013, 56, 8191–8195. [Google Scholar] [CrossRef]
- Fujinaga, M.; Luo, R.; Kumata, K.; Zhang, Y.; Hatori, A.; Yamasaki, T.; Xie, L.; Mori, W.; Kurihara, Y.; Ogawa, M.; et al. Development of a 18F-Labeled Radiotracer with Improved Brain Kinetics for Positron Emission Tomography Imaging of Translocator Protein (18 KDa) in Ischemic Brain and Glioma. J. Med. Chem. 2017, 60, 4047–4061. [Google Scholar] [CrossRef]
- Srivastava, P.; Kaul, A.; Ojha, H.; Kumar, P.; Tiwari, A.K. Design, Synthesis and Biological Evaluation of Methyl-2-(2-(5-Bromo Benzoxazolone)Acetamido)-3-(1H-Indol-3-Yl)Propanoate: TSPO Ligand for SPECT. RSC Adv. 2016, 6, 114491–114499. [Google Scholar] [CrossRef]
- Okubo, T.; Yoshikawa, R.; Chaki, S.; Okuyama, S.; Nakazato, A. Design, Synthesis, and Structure-Activity Relationships of Novel Tetracyclic Compounds as Peripheral Benzodiazepine Receptor Ligands. Bioorganic Med. Chem. 2004, 12, 3569–3580. [Google Scholar] [CrossRef] [PubMed]
- Wadsworth, H.; Jones, P.A.; Chau, W.F.; Durrant, C.; Fouladi, N.; Passmore, J.; O’Shea, D.; Wynn, D.; Morisson-Iveson, V.; Ewan, A.; et al. GE-180: A Novel Fluorine-18 Labelled PET Tracer for Imaging Translocator Protein 18 KDa (TSPO). Bioorganic Med. Chem. Lett. 2012, 22, 1308–1313. [Google Scholar] [CrossRef]
- Dickens, A.M.; Vainio, S.; Marjamäki, P.; Johansson, J.; Lehtiniemi, P.; Rokka, J.; Rinne, J.; Solin, O.; Haaparanta-Solin, M.; Jones, P.A.; et al. Detection of Microglial Activation in an Acute Model of Neuroinflammation Using PET and Radiotracers 11C-(R)-PK11195 and 18F-GE-180. J. Nucl. Med. 2014, 55, 466–472. [Google Scholar] [CrossRef]
- Liu, B.; Le, K.X.; Park, M.A.; Wang, S.; Belanger, A.P.; Dubey, S.; Frost, J.L.; Holton, P.; Reiser, V.; Jones, P.A.; et al. In Vivo Detection of Age-and Disease-Related Increases in Neuroinflammation By18F-GE180 TSPO MicroPET Imaging in Wild-Type and Alzheimer’s Transgenic Mice. J. Neurosci. 2015, 35, 15716–15730. [Google Scholar] [CrossRef] [PubMed]
- Feeney, C.; Scott, G.; Raffel, J.; Roberts, S.; Coello, C.; Jolly, A.; Searle, G.; Goldstone, A.P.; Brooks, D.J.; Nicholas, R.S.; et al. Kinetic Analysis of the Translocator Protein Positron Emission Tomography Ligand [18F]GE-180 in the Human Brain. Eur. J. Nucl. Med. Mol. Imaging 2016, 43, 2201–2210. [Google Scholar] [CrossRef] [PubMed]
- Unterrainer, M.; Mahler, C.; Vomacka, L.; Lindner, S.; Havla, J.; Brendel, M.; Böning, G.; Ertl-Wagner, B.; Kümpfel, T.; Milenkovic, V.M.; et al. TSPO PET with [18F]GE-180 Sensitively Detects Focal Neuroinflammation in Patients with Relapsing–Remitting Multiple Sclerosis. Eur. J. Nucl. Med. Mol. Imaging 2018, 45, 1423–1431. [Google Scholar] [CrossRef]
- Unterrainer, M.; Fleischmann, D.F.; Diekmann, C.; Vomacka, L.; Lindner, S.; Vettermann, F.; Brendel, M.; Wenter, V.; Ertl-Wagner, B.; Herms, J.; et al. Comparison of 18 F-GE-180 and Dynamic 18 F-FET PET in High Grade Glioma: A Double-Tracer Pilot Study. Eur. J. Nucl. Med. Mol. Imaging 2019, 46, 580–590. [Google Scholar] [CrossRef]
- Zanotti-Fregonara, P.; Pascual, B.; Rizzo, G.; Yu, M.; Pal, N.; Beers, D.; Carter, R.; Appel, S.H.; Atassi, N.; Masdeu, J.C. Head-to-Head Comparison of 11C-PBR28 and 18F-GE180 for Quantification of the Translocator Protein in the Human Brain. J. Nucl. Med. 2018, 59, 1260–1266. [Google Scholar] [CrossRef]
- Zanotti-Fregonara, P.; Pascual, B.; Rostomily, R.C.; Rizzo, G.; Veronese, M.; Masdeu, J.C.; Turkheimer, F. Anatomy of 18F-GE180, a Failed Radioligand for the TSPO Protein. Eur. J. Nucl. Med. Mol. Imaging 2020, 47, 2233–2236. [Google Scholar] [CrossRef]
- Ramakrishnan, N.K.; Hird, M.; Thompson, S.; Williamson, D.J.; Qiao, L.; Owen, D.R.; Brooks, A.F.; Scott, P.J.H.; Bacallado, S.; O’Brien, J.T.; et al. Preclinical Evaluation of (S)-[18F]GE387, a Novel 18-KDa Translocator Protein (TSPO) PET Radioligand with Low Binding Sensitivity to Human Polymorphism Rs6971. Eur. J. Nucl. Med. Mol. Imaging 2021, 49, 125–136. [Google Scholar] [CrossRef]
- Qiao, L.; Fisher, E.; McMurray, L.; Milicevic Sephton, S.; Hird, M.; Kuzhuppilly-Ramakrishnan, N.; Williamson, D.J.; Zhou, X.; Werry, E.; Kassiou, M.; et al. Radiosynthesis of (R,S)-[18F]GE387: A Potential PET Radiotracer for Imaging Translocator Protein 18 KDa (TSPO) with Low Binding Sensitivity to the Human Gene Polymorphism Rs6971. ChemMedChem 2019, 14, 982–993. [Google Scholar] [CrossRef] [PubMed]
- Castellano, S.; Taliani, S.; Milite, C.; Pugliesi, I.; Da Pozzo, E.; Rizzetto, E.; Bendinelli, S.; Costa, B.; Cosconati, S.; Greco, G.; et al. Synthesis and Biological Evaluation of 4-Phenylquinazoline-2-Carboxamides Designed as a Novel Class of Potent Ligands of the Translocator Protein. J. Med. Chem. 2012, 55, 4506–4510. [Google Scholar] [CrossRef] [PubMed]
- Castellano, S.; Taliani, S.; Viviano, M.; Milite, C.; Da Pozzo, E.; Costa, B.; Barresi, E.; Bruno, A.; Cosconati, S.; Marinelli, L.; et al. Structure-Activity Relationship Refinement and Further Assessment of 4-Phenylquinazoline-2-Carboxamide Translocator Protein Ligands as Antiproliferative Agents in Human Glioblastoma Tumors. J. Med. Chem. 2014, 57, 2413–2428. [Google Scholar] [CrossRef] [PubMed]
- Li, K.P.; Cai, H. An Improved HPLC Separation Method for TSPO Radioligand [11C]ER176 Clinical Production. J. Label. Compd. Radiopharm. 2024, 67, 273–276. [Google Scholar] [CrossRef]
- Zanotti-Fregonara, P.; Pascual, B.; Veronese, M.; Yu, M.; Beers, D.; Appel, S.H.; Masdeu, J.C. Head-to-Head Comparison of 11C-PBR28 and 11C-ER176 for Quantification of the Translocator Protein in the Human Brain. Eur. J. Nucl. Med. Mol. Imaging 2019, 46, 1822–1829. [Google Scholar] [CrossRef]
- Lee, J.H.; Siméon, F.G.; Liow, J.S.; Morse, C.L.; Gladding, R.L.; Santamaria, J.A.M.; Henter, I.D.; Zoghbi, S.S.; Pike, V.W.; Innis, R.B. In Vivo Evaluation of 6 Analogs of 11C-ER176 as Candidate 18F-Labeled Radioligands for 18-KDa Translocator Protein. J. Nucl. Med. 2022, 63, 1252–1258. [Google Scholar] [CrossRef]
- Tiwari, A.K.; Ji, B.; Yui, J.; Fujinaga, M.; Yamasaki, T.; Xie, L.; Luo, R.; Shimoda, Y.; Kumata, K.; Zhang, Y.; et al. [18F]FEBMP: Positron Emission Tomography Imaging of TSPO in a Model of Neuroinflammation in Rats, and in Vitro Autoradiograms of the Human Brain. Theranostics 2015, 5, 961–969. [Google Scholar] [CrossRef]








| Generation | Chemical Class | Representative Compounds | Ki (nM) | PET Imaging Study in Human Pathologies | Refs |
|---|---|---|---|---|---|
| 1st | Isoquinoline carboxamides | [11C]-(R)-PK11195 (1) [11C]-(S)-PK11195 (1) | 9.0 19 | MCI, AD, PDD, MSA, PSP, CBD, FTD | [27,39] |
| Benzodiazepines | [11C]Ro5-4864 (2) | 6.0 | HG | [40] | |
| 2nd | Quinoline-2-carboxamides | [11C]VC195 (8) | 2.1 | - | [41] |
| [11C]VC701 (9) | 0.11 | - | [42] | ||
| 2-Phenylindolylglyoxylamides | [11C]NMPIGA (11) | 5.7 | - | [43] | |
| Pyridazino[4,5-b]indole-5-acetamides | [11C]SSR180575 (12) | 0.83 | - | [44] | |
| Phenoxyarylacetamides | [11C]DAA1106 (14) | 0.043 | MCI and AD | [45,46,47] | |
| Phenoxypyridinylacetamides | [11C]PBR28 (19) | 0.68 | MS, TLE, MCI, AD, PCA, HD and ALS | [48,49,50,51] | |
| [18F]FEPPA (21) | 0.07 | AD, MDD, OCD and PD | [52,53,54] | ||
| Imidazo[1,2-a]pyridines | [11C]CB148 (24) | 0.20 | - | [55] | |
| [18F]PBR111 (25) | 3.7 | healthy | [56] | ||
| Pyrazolo[1,5-a]pyrimidines | [11C]DPA713 (27) | 4.7 | TLE, PD and AD | [57,58] | |
| [18F]DPA714 (28) | 7.0 | AD and MS | [59,60,61] | ||
| [18F]FDPA (29) | 1.7 | - | [62,63] | ||
| 2-Aryl-8-oxodihydropurines | [11C]AC5216 (34) | 0.2 | healthy | [64] | |
| Acetamidobenzoxazolones | [11C]MBMP (38) | 0.28 | Ischemic brain | [65] | |
| [11C]N’-MPB (40) | 4.9 | - | [66] | ||
| 3rd | Tetrahydrocarbazole-4-carboxamides | [18F]GE180 (43) | 0.87 | RRMS | [67] |
| Quinazolines-2-carboxamides | [11C]ER176 (45) | 3.1 | healthy | [25,68] | |
| Other ligands | [18F]FEBMP (48) | 6.6 | - | [69] | |
| [18F]PBR316 (49) | 6.0 | - | [70] | ||
| [18F]BS224 (50) | 0.51 | - | [71] |
Disclaimer/Publisher’s Note: The statements, opinions and data contained in all publications are solely those of the individual author(s) and contributor(s) and not of MDPI and/or the editor(s). MDPI and/or the editor(s) disclaim responsibility for any injury to people or property resulting from any ideas, methods, instructions or products referred to in the content. |
© 2024 by the authors. Licensee MDPI, Basel, Switzerland. This article is an open access article distributed under the terms and conditions of the Creative Commons Attribution (CC BY) license (https://creativecommons.org/licenses/by/4.0/).
Share and Cite
Salerno, S.; Viviano, M.; Baglini, E.; Poggetti, V.; Giorgini, D.; Castagnoli, J.; Barresi, E.; Castellano, S.; Da Settimo, F.; Taliani, S. TSPO Radioligands for Neuroinflammation: An Overview. Molecules 2024, 29, 4212. https://doi.org/10.3390/molecules29174212
Salerno S, Viviano M, Baglini E, Poggetti V, Giorgini D, Castagnoli J, Barresi E, Castellano S, Da Settimo F, Taliani S. TSPO Radioligands for Neuroinflammation: An Overview. Molecules. 2024; 29(17):4212. https://doi.org/10.3390/molecules29174212
Chicago/Turabian StyleSalerno, Silvia, Monica Viviano, Emma Baglini, Valeria Poggetti, Doralice Giorgini, Jacopo Castagnoli, Elisabetta Barresi, Sabrina Castellano, Federico Da Settimo, and Sabrina Taliani. 2024. "TSPO Radioligands for Neuroinflammation: An Overview" Molecules 29, no. 17: 4212. https://doi.org/10.3390/molecules29174212
APA StyleSalerno, S., Viviano, M., Baglini, E., Poggetti, V., Giorgini, D., Castagnoli, J., Barresi, E., Castellano, S., Da Settimo, F., & Taliani, S. (2024). TSPO Radioligands for Neuroinflammation: An Overview. Molecules, 29(17), 4212. https://doi.org/10.3390/molecules29174212

