Applications of Hybrid Polymers Generated from Living Anionic Ring Opening Polymerization
Abstract
1. Introduction
1.1. Fundamentals/Building Blocks/Architectures
1.2. Monomeric Building Blocks
1.3. Termination
- Non-functional termination;
- Non-functional coupling to effect non-functional doubling of MW;
- Non-functional coupling with block insertion;
- Functional termination to form asymmetric macromers;
- Functional coupling to form symmetric macromers;
- Functional coupling to form branched structures.
1.4. Macromers Commonly Reported in Literature
2. Applications
2.1. Compatibility and Reactivity Introduction
2.2. Gas/Vapor Permeability
2.2.1. Contact Lens/Hydrogel
2.2.2. Controlled Atmospheric Packaging—Modified Atmosphere Packaging
2.3. Membranes
2.4. Surface Properties/Modification
2.4.1. Dyes, Micelles and Particles for Advanced Printing, Reprographics, and Lithography
2.4.2. Coatings Additives—Leveling Agents, Clean Surfaces and Release
2.5. Coatings
2.5.1. Thin Film Silicone Coatings
2.5.2. Thick Film Silicone Coatings
2.6. Cosmetics and Hair Care
2.7. Magneto-Rheological Fluids
2.8. Bulk Macroscale Materials
2.9. Nanoscale Morphology
2.9.1. Photoresist and Contact Printing
2.9.2. Biomimetic Polymers and Bottle-Brush (BB) Architecture
2.9.3. Liquid Crystal Siloxanes
3. Conclusions
Funding
Institutional Review Board Statement
Informed Consent Statement
Data Availability Statement
Conflicts of Interest
References
- Chojnowski, J. Kinetically Controlled Siloxane Ring-Opening Polymerization. J. Inorg. Organomet. Polym. 1991, 1, 299–323. [Google Scholar] [CrossRef]
- Johannson, O. Method of Polymerizing Cyclic Diorganosiloxanes. U.S. Patent 3,002,951, 3 October 1961. [Google Scholar]
- McVannel, D. Method of Polymerizing Cylcotrisiloxanes II. U.S. Patent 3,294,740, 27 December 1966. [Google Scholar]
- Frye, C.L.; Salinger, R.M.; Fearon, G.; Klosowski, J.M.; Deyoung, T. Reactions of Organolithium Reagents with Siloxane Substrates. J. Org. Chem. 1970, 35, 1308–1314. [Google Scholar] [CrossRef]
- Lee, C.; Frye, C.; Johansson, O. Selective Polymerization of Reactive Cyclosiloxanes to Give Non-Equilibrium Molecular Weight Distributions. Monodisperse Siloxane Polymers. Polym. Prepr. 1969, 10, 1361. [Google Scholar]
- Fessler, W.A.; Juliano, P.C. Reactivity of Solvated Lithium N-Butyldimethylsilanolate with Organosiloxane Substrates. Ind. Eng. Chem. Prod. Res. Dev. 1972, 11, 407–410. [Google Scholar] [CrossRef]
- Saam, J.C.; Gordon, D.J.; Lindsey, S. Block Copolymers of Polydimethylsiloxane and Polystyrene. Macromolecules 1970, 3, 1–4. [Google Scholar] [CrossRef]
- Saam, J.C.; Ward, A.H. Method for Preparing Improved Polyalphamethylstyrene-Polydiorganosiloxane Copolymers and Products Thereof. U.S. Patent 4,107,227, 15 August 1978. [Google Scholar]
- Kawakami, Y.; Miki, Y.; Tsuda, T.; Murthy, R.; Yamashita, Y. Silicone Macromers for Graft Polymer Synthesis. Polym. J. 1982, 14, 913–917. [Google Scholar] [CrossRef]
- Anderson, R.; Arkles, B.C.; Larson, G.L. Silicon Compounds: Register and Review, 4th ed.; Petrarch Systems: Bristol, PA, USA, 1987. [Google Scholar]
- Nakano, T.; Tsuchiya, K.; Yoshimatsu, S.; Fuchigami, T. Process for Producing Diorganopolysiloxane. U.S. Patent 5,672,671, 30 September 1997. [Google Scholar]
- Chojnowski, J. Polymerization. In Siloxane Polymers; Clarson, S.J., Semlyen, J.A., Eds.; Prentice Hall: Englewood Cliffs, NJ, USA, 1993; pp. 1–62. [Google Scholar]
- Belorgey, G.; Sauvetin, G. Organosilicon Block and Graft Copolymers. In Silicon Containing Polymers; Jones, R.G., Ed.; Springer: Dordrecht, The Netherlands, 2000; pp. 43–78. [Google Scholar]
- Lohmeijer, B.G.G.; Dubois, G.; Leibfart, F.; Pratt, R.C.; Nederberg, F.; Nelson, A.; Waymouth, R.M.; Wade, C.; Hedrick, J.L. Organocatalytic Living Ring-Opening Polymerization of Cyclic Carbosiloxanes. Org. Lett. 2006, 8, 4683–4686. [Google Scholar] [CrossRef]
- Fuchise, K.; Kobayashi, T.; Sato, K.; Igarashi, M. Organocatalytic Ring-Opening Polymerization of Cyclotrisiloxanes Using Silanols as Initiators for the Precise Synthesis of Asymmetric Linear Polysiloxanes. Polym. Chem. 2020, 11, 7625–7636. [Google Scholar] [CrossRef]
- Hunter, M.J.; Hyde, J.F.; Warrick, E.L.; Fletcher, H.J. Organo-Silicon Polymers. The Cyclic Dimethyl Siloxanes. J. Am. Chem. Soc. 1946, 68, 667–672. [Google Scholar] [CrossRef]
- Piccoli, W.A.; Haberland, G.G.; Merker, R.L. Highly Strained Cyclic Paraffin-Siloxanes. J. Am. Chem. Soc. 1960, 82, 1883–1885. [Google Scholar] [CrossRef]
- Pierce, O.R. New Cyclotrisiloxanes. U.S. Patent 2,979,519, 11 April 1961. [Google Scholar]
- Molenberg, A.; Möller, M.; Soden, W.V. Block Copolymers and Networks from Polybutadiene and Polydiethylsiloxane. Acta Polym. 1998, 49, 45–51. [Google Scholar] [CrossRef]
- Crivello, J.V.; Lee, J.L. Synthesis of Cyclic Siloxanes by the Thermal Depolymerization of Linear Poly(Siloxanes). Chem. Mater. 1989, 1, 445–451. [Google Scholar] [CrossRef]
- Paulasaari, J.K.; Weber, W.P. Preparation of Highly Regular Poly(l-Hydrido-l,3,3,5,5-Pentamethyltrisiloxane) and Its Chemical Modification by Hydrosilylation. Macromolecules 1999, 32, 6574–6577. [Google Scholar] [CrossRef]
- Goff, J.; Arkles, B. Hydrodosiloxanyl Substituted Cyclotrisiloxanes, Preparation Method Thereof, and Polymeric Products Derived Therefrom. U.S. Patent 10,875,968, 29 December, 2020. [Google Scholar]
- Rózga-Wijas, K.; Chojnowski, J.; Zundel, T.; Boileau, S. Controlled Synthesis of Siloxane Copolymers Having an Organosulfur Group by Polymerization of Cyclotrisiloxanes with Mixed Units. Macromolecules 1996, 29, 2711–2720. [Google Scholar] [CrossRef]
- Out, G.; Klok, H.-A.; Möller, M. Hexa-n-Alkylcyclotrisiloxanes-Synthesis, Melting Behaviour and Polymerization Gerhardus. Macromol. Chem. Phys. 1995, 196, 195–210. [Google Scholar] [CrossRef]
- Fortuniak, W.; Chojnowski, J.; Sauvet, G. Controlled Synthesis of Siloxane Polymers and Siloxane-Siloxane Block Copolymers with 3-Chloropropyl Groups Pendant to the Siloxane Chain. Macromol. Chem. Phys. 2001, 202, 2306–2313. [Google Scholar] [CrossRef]
- Lee, M.K.; Meier, D.J. Synthesis and Properties of Diarylsiloxane and (Aryl/Methyl)Siloxane Polymers: 3. New Aryl Substituents. Polymer 1994, 35, 4197–4202. [Google Scholar] [CrossRef]
- Gädda, T.M.; Weber, W.P. Ring-Opening and Polymerization of 1-[2′-(Heptaphenylcyclotetrasiloxanyl)Ethyl]-1,3,3,5, 5-Pentamethylcyclotrisiloxane. J. Polym. Sci. Part A Polym. Chem. 2006, 44, 137–146. [Google Scholar] [CrossRef]
- Oba, T.; Naoki, O. Acryloxypropyl-Containing Cyclotrisiloxane, Production of the Polymer Composition and Polymer Composition. Jap. Patent 2856377B2, 8 October 1993. [Google Scholar]
- Minoru, I.; Norio, S.; Masaharu, T. Organopolysiloxane Having Cyclic Ether Group. Jap. Patent 1077346A, 24 March 1998. [Google Scholar]
- Cai, G.P.; Weber, W.P. Synthesis of Polymethyl(Trimethylsiloxy)Siloxane by Anionic Ring-Opening Polymerization of 1,3,5-Trimethyl-1,3,5-Tris(Trimethylsiloxy)Cyclotrisiloxane. Macromolecules 2000, 33, 6310–6314. [Google Scholar] [CrossRef]
- Suryanarayanan, B.; Peace, B.W.; Mayhan, K.G. Anionic Polymerization of a Series of Five-Membered Cyclocarbosiloxanes. J. Polym. Sci. Part A 1 Polym. Chem. 1974, 12, 1109–1123. [Google Scholar] [CrossRef]
- Bostick, E. Ordered Organopolysiloxanes. U.S. Patent 3,337,497, 22 August 1967. [Google Scholar]
- Pike, R. Process for Producing Cyclic Diorganosiloxanes from Diorganodihalosilanes and Alkali and Alkali Earth Metal Oxides and Carbonates. U.S. Patent 3,110,720, 12 November 1963. [Google Scholar]
- Dobay, D. Process for Preparing Hexaethylcyclotrisiloxane. U.S. Patent 2,769,830, 6 November 1956. [Google Scholar]
- Goff, J.; Arkles, B. Alkyl Ether Substituted Cyclotrisiloxanes and Preparation Method Thereof. U.S. Patent 10,669,294, 2 June 2020. [Google Scholar]
- Chojnowski, J.; Cypryk, M.; Fortuniak, W.; Rozga-Wijas, K.; Scibiorek, M. Controlled Synthesis of Vinylmethylsiloxane-Dimethylsiloxane Gradient, Block and Alternate Copolymers by Anionic ROP of Cyclotrisiloxanes. Polymer 2002, 43, 1993–2001. [Google Scholar] [CrossRef]
- Cypryk, M.; Delczyk, B.; Juhari, A.; Koynov, K. Controlled Synthesis of Trifluoropropylmethylsiloxane–Dimethylsiloxane Gradient Copolymers by Anionic ROP of Cyclotrisiloxanes. J. Polym. Sci. Part A Polym. Chem. 2009, 47, 1204–1216. [Google Scholar] [CrossRef]
- Maschke, U.; Wagner, T. Initiation by a Monofunctional Lithium Siloxanolate. Makromol. Chem. 1992, 193, 2453–2466. [Google Scholar] [CrossRef]
- Razzano, J.S.; Simpson, V.G. Fluorosilicone Copolymers and Process for the Preparation Thereof. U.S. Patent 3,974,120, 10 August 1976. [Google Scholar]
- Hawkridge, A.M.; Gardella, J.A. Evaluation of Matrix-Assisted Laser Desorption Ionization Mass Spectrometry for Studying the Sec-Butyllithium and n-Butyllithium Initiated Ring-Opening Polymerization of Hexamethylcyclotrisiloxane (D3). Am. Soc. Mass Spectrom. 2003, 14, 95–101. [Google Scholar] [CrossRef][Green Version]
- Bellas, V.; Iatrou, H.; Hadjichristidis, N. Controlled Anionic Polymerization of Hexamethylcyclotrisiloxane. Model Linear and Miktoarm Star Co- and Terpolymers of Dimethylsiloxane with Styrene and Isoprene. Macromolecules 2000, 33, 6993–6997. [Google Scholar] [CrossRef]
- Ninago, M.D.; Satti, A.J.; Ressia, J.A.; Ciolino, A.E.; Villar, M.A.; Valles, E.M. Controlled Synthesis of Poly(Dimethylsiloxane) Homopolymers Using High-Vacuum Anionic Polymerization Techniques. J. Polym. Sci. Part A Polym. Chem. 2009, 47, 4774–4783. [Google Scholar] [CrossRef]
- Molenberg, A.; Siffrin, S.; Möller, M.; Boileau, S.; Teyssié, D. Well Defined Columnar Liquid Crystalline Polydiethylsiloxane. Macromol. Symp. 1996, 102, 199–207. [Google Scholar] [CrossRef]
- Molenberg, A.; Möller, M. Polymerization of Cyclotrisiloxanes by Organolithium Compounds and P2-Et Base. Macromol. Chem. Phys. 1997, 198, 717–726. [Google Scholar] [CrossRef]
- Molenberg, A.; Klok, H.A.; Möller, M.; Boileau, S.; Teyssié, D. Controlled Polymerization of Hexa-n-Alkylcyclotrisiloxanes with Long Alkyl Groups. Macromolecules 1997, 30, 792–794. [Google Scholar] [CrossRef]
- Hempenius, M.A.; Lammertink, R.G.H.; Vancso, G.J. Well-Defined Side-Chain Liquid-Crystalline Polysiloxanes. Macromol. Rapid Commun. 1996, 17, 299–303. [Google Scholar] [CrossRef]
- Sieburth, S.M.N.; Mu, W. Silanol Synthesis: Reaction of Hexaphenylcyclotrisiloxane with Organometallic Reagents. J. Org. Chem. 1993, 58, 7584–7586. [Google Scholar] [CrossRef]
- Arkles, B. Silicone Molecular Weight Standards. In Silicon Compounds: Register and Review, 3rd ed.; Arkles, B., Peterson, W., Jr., Anderson, R., Eds.; Petrarch Systems: Bristol, TN, USA, 1984; p. 234. [Google Scholar]
- Boileau, S. Ring Opening Polymerization of Cyclic Organosilicon Compounds: Recent Progress. Makromol. Chem. Macromol. Symp. 1993, 73, 177–181. [Google Scholar] [CrossRef]
- Bauer, J.; Hsing, N.; Kickelbick, G. Preparation of Functionalized Block Copolymers Based on a Polysiloxane Backbone by Anionic Ring-Opening Polymerization. J. Polym. Sci. Part A Polym. Chem. 2002, 40, 1539–1551. [Google Scholar] [CrossRef]
- Saam, J.C.; Gordon Fearon, F.W. Properties of Polystyrene-Polydimethylsiloxane Block Copolymers. Ind. Eng. Chem. Prod. Res. Dev. 1971, 10, 10–14. [Google Scholar]
- Georgopanos, P.; Lo, T.Y.; Ho, R.M.; Avgeropoulos, A. Synthesis, Molecular Characterization and Self-Assembly of (PS-b-PDMS)n Type Linear (n = 1, 2) and Star (n = 3, 4) Block Copolymers. Polym. Chem. 2017, 8, 843–850. [Google Scholar] [CrossRef]
- Noshay, A.; Matzner, M.; Karoly, G.; Stampa, G.B. Poly(α-Methylstyrene)-Poly (Dimethylsiloxane) Block Copolymers. J. Appl. Polym. Sci. 1973, 17, 619–628. [Google Scholar] [CrossRef]
- Clemens, L.; Kantner, S.; Mazurek, M. Polysiloxane-Grafted Copolymer Release Coating Sheets and Adhesive Tapes. U.S. Patent 4,728,571, 1 March 1988. [Google Scholar]
- Awasthi, A.K.; Kunzler, J.F. Ethylenically Unsaturated Polymerizable Group-Containing Polycarbosiloxane Monomers. U.S. Patent 9,039,174, 26 May 2015. [Google Scholar]
- Cypryk, M.; Kaźmierski, K.; Fortuniak, W.; Chojnowski, J. Microstructure of the Copolymer Chain Generated by Anionic Ring-Opening Polymerization of a Model Cyclotrisiloxane with Mixed Siloxane Units. Macromolecules 2000, 33, 1536–1545. [Google Scholar] [CrossRef]
- Leir, C. Radation-Curable Silicone Elastomers and Prssure Sensitive Adhesives. U.S. Patent 5,237,082, 17 August 1993. [Google Scholar]
- Saho, T. Organosiloxane and Process for Preparing the Same. U.S. Patent 4,992,521, 12 February 1991. [Google Scholar]
- Arkles, B.; Kimble, E. Asymmetric Low Molecular Wright Siloxanes with One Functional Group. U.S. Patent 8,455,599, 4 June 2013. [Google Scholar]
- Goff, J.; Kimble, E.; Arkles, B. Living Polymerization Routes to Siloxane Macromers and Higher Order Silicone Structures. In Progress in Silicones and Silicone-Modified Materials: ACS Symposium Series; American Chemical Society: Washington, DC, USA, 2013; Volume 1154, pp. 59–78. [Google Scholar]
- Goff, J.; Arkles, B.; Sulaiman, S. Modification of Silicone Elastomers Using Silicone Comonomers Containing Hydrophilic Surface Active Endgroups. MRS Proc. 2014, 1626, 518055. [Google Scholar] [CrossRef]
- Arkles, B.; Goff, J. Dual Functional Linear Siloxanes, Step-Growth Polymers Derived Therefrom, and Methods of Preparation Thereof. U.S. Patent 8,952,118, 10 February 2015. [Google Scholar]
- Gädda, T.M.; Nelson, A.K.; Weber, W.P. Selectivity in Anionic and Cationic Ring-Opening Polymerizations of Tetramethyl-1-(3′trifluoromethylphenyl)-1-Phenylcyclotrisiloxane and Tetramethyl-1-[3′,5′-Bis(Trifluoromethyl)Phenyl]-1-Phenylcyclotrisiloxane. J. Polym. Sci. Part A Polym. Chem. 2004, 42, 5235–5243. [Google Scholar] [CrossRef]
- Kazama, H.; Tezuka, Y.; Imai, K. A New Bifunctional Initiator for the Living Polymerization of Hexamethylcyclotrisiloxane. Polym. Bull. 1989, 21, 31–37. [Google Scholar] [CrossRef]
- Ogawa, T.; Suzuki, T. Branched Organopolysiloxanes. U.S. Patent 5,272,225, 21 December 1993. [Google Scholar]
- Novozhilov, O.V.; Pavlichenko, I.V.; Demchenko, N.V.; Buzin, A.I.; Vasilenko, N.G.; Muzafarov, A.M. Multiarm Star-like Polydimethylsiloxanes Based on Dendrimers of the Sixth Generation. Russ. Chem. Bull. 2010, 59, 1909–1917. [Google Scholar] [CrossRef]
- Vasilenko, N.G.; Rebrov, E.A.; Muzafarov, A.M.; Eßwein, B.; Striegel, B.; Möller, M. Preparation of Multi-Arm Star Polymers with Polylithiated Carbosilane Dendrimers. Macromol. Chem. Phys. 1998, 199, 889–895. [Google Scholar] [CrossRef]
- Juliano, P.C. Substantially Transparent Polydimethylsiloxane-Polyalkylmethacrylate Compositions and Methods for Making Same. U.S. Patent 3,663,650, 16 May 1972. [Google Scholar]
- Out, G.J.J.; Turetskii, A.A.; Snijder, M.; Möller, M.; Papkov, V.S. Model Polydiethylsiloxane Networks: 1. Synthesis and Phase Behaviour. Polymer 1995, 36, 3213–3221. [Google Scholar] [CrossRef][Green Version]
- Kimble, E.; Arkles, B. Low Molecular Weight Siloxanes with One Functional Group. U.S. Patent 7,799,888 B2, 21 September 2010. [Google Scholar]
- Elkins, C.L.; Long, T.E. Living Anionic Polymerization of Hexamethylcyclotrisiloxane (D 3) Using Functionalized Initiation. Macromolecules 2004, 37, 6657–6659. [Google Scholar] [CrossRef]
- Babu, J.; Sinai-Zingde, G.; Riffle, J.S. Synthesis of α, ω-Arylamine Functionalized Poly(Dimethylsiloxanes). Polym. Prepr. 1991, 32, 152–153. [Google Scholar] [CrossRef]
- Goff, J.; Sulaiman, S.; Arkles, B.; Lewicki, J.P. Soft Materials with Recoverable Shape Factors from Extreme Distortion States. Adv. Mater. 2016, 28, 2393–2398. [Google Scholar] [CrossRef]
- Okawa, T.; Suzuki, T. Method of Manufacturing Organopolysiloxane Having Terminal Alkenyl Groups. U.S. Patent 4,876,373, 24 October 1989. [Google Scholar]
- Kumar, A.; Eichinger, B.E. Anionic Polymerization of Hexamethylcyclotrisiloxane with Acetylacetone Initiator to Form Telechelic Polymer. Macromolecules 1990, 23, 5358. [Google Scholar] [CrossRef]
- Fuchise, K.; Igarashi, M.; Sato, K.; Shimada, S. Organocatalytic Controlled/Living Ring-Opening Polymerization of Cyclotrisiloxanes Initiated by Water with Strong Organic Base Catalysts. Chem. Sci. 2018, 9, 2879–2891. [Google Scholar] [CrossRef]
- Peters, M.A.; Belu, A.M.; Linton, R.W.; Dupray, L.; Meyer, T.J.; DeSimone, J.M. Termination of Living Anionic Polymerizations Using Chlorosilane Derivatives: A General Synthetic Methodology for the Synthesis of End-Functionalized Polymers. J. Am. Chem. Soc. 1995, 117, 3380–3388. [Google Scholar] [CrossRef]
- Belu, A.M.; DeSimone, J.M.; Linton, R.W.; Lange, G.W.; Friedman, R.M. Evaluation of Matrix-Assisted Laser Desorption Ionization Mass Spectrometry for Polymer Characterization. J. Am. Soc. Mass Spectrom. 1996, 7, 11–24. [Google Scholar] [CrossRef]
- Arkles, B.C.; Kimble, E.; Goff, J. Reactive Silicones: Forging New Polymer Links; Gelest Inc.: Morrisville, PA, USA, 2016. [Google Scholar]
- Vilner, S.; Clapp, L.; Schwartz, R. Colorants for Metalorganic Compounds and Their Application in Electronic Display Technology. U.S. Patent 9,234,101, 12 January 2016. [Google Scholar]
- Sommer, S.; Ekin, A.; Webster, D.C.; Stafslien, S.J.; Daniels, J.; VanderWal, L.J.; Thompson, S.E.M.; Callow, M.E.; Callow, J.A. A Preliminary Study on the Properties and Fouling-Release Performance of Siloxane-Polyurethane Coatings Prepared from Poly(Dimethylsiloxane) (PDMS) Macromers. Biofouling 2010, 26, 961–972. [Google Scholar] [CrossRef] [PubMed]
- Wu, D.; Spulber, M.; Itel, F.; Chami, M.; Pfohl, T.; Palivan, C.G.; Meier, W. Effect of Molecular Parameters on the Architecture and Membrane Properties of 3D Assemblies of Amphiphilic Copolymers. Macromolecules 2014, 47, 5060–5069. [Google Scholar] [CrossRef]
- Viville, P.; Lazzaroni, R.; Dubois, P.; Kotzev, A.; Geerts, Y.; Borcia, G.; Pireaux, J.J. Impact of Silicone-Based Block Copolymer Surfactants on the Surface and Bulk Microscopic Organization of a Biodegradable Polymer, Poly(ε-Caprolactone). Biomacromolecules 2003, 4, 696–703. [Google Scholar] [CrossRef]
- Reynolds, V.G.; Mukherjee, S.; Xie, R.; Levi, A.E.; Atassi, A.; Uchiyama, T.; Wang, H.; Chabinyc, M.L.; Bates, C.M. Super-Soft Solvent-Free Bottlebrush Elastomers for Touch Sensing. Mater. Horizons 2020, 7, 181–187. [Google Scholar] [CrossRef]
- Tao, P.; Li, Y.; Siegel, R.W.; Schadler, L.S. Transparent Luminescent Silicone Nanocomposites Filled with Bimodal PDMS-Brush-Grafted CdSe Quantum Dots. J. Mater. Chem. C 2013, 1, 86–94. [Google Scholar] [CrossRef]
- Bai, H.; Weimer, M. Self-Lubricating Medical Articles. U.S. Patent Appl. 2020/0093969, 26 March 2020. [Google Scholar]
- Arkles, B.; Goff, J. Positive Tactile Interaction Coatings. Paint Coat. Ind. 2017, 33, 30–36. [Google Scholar]
- Zhou, Q.; Chen, F.; Liu, Y.; Li, J. Preparation and Stability Study of Carboxyl Terminated Silicone Oil Modified Silicone-Oil-Based Ferrofluid. J. Magn. 2019, 24, 49–56. [Google Scholar] [CrossRef]
- Hayama, K.; Narazaki, K.; Kawaguchi, S. Polymer for Hair-Care Products. U.S. Patent 5,166,276, 24 November 1992. [Google Scholar]
- Hayama, K.; Narazaki, K.; Kawaguchi, S. Hair-Care Products Containing Copolymers Formed from Unsaturated Hydrophilic Monomers and Unsaturated Monomers and Unsaturated Monomers Having a Polysiloxane Group. U.S. Patent 5,480,634, 2 January 1996. [Google Scholar]
- Gao, S.; Liu, B.; Peng, J.; Zhu, K.; Zhao, Y.; Li, X.; Yuan, X. Icephobic Durability of Branched PDMS Slippage Coatings Co-Cross-Linked by Functionalized POSS. ACS Appl. Mater. Interfaces 2019, 11, 4654–4666. [Google Scholar] [CrossRef]
- Alli, A.; Zanini, D.; Ford, J.; Mahadevan, S.; Canavan, K.; Turner, D. Process for Making Ophthalmic Lenses. U.S. Patent 8,414,804, 9 April 2013. [Google Scholar]
- Swarup, S.; Xu, S.; Vanier, R.; Endlish, E.; Simpson, D. Acrylic Polymers, Curable Film Forming Compositions Prepared Therefrom, and Method of Mitigating Dirt Build-Up on a Substrate. U.S. Patent 9,120,916, 1 September 2015. [Google Scholar]
- Soane, D.S.; Berg, M.C.; Suddaby, N.A.; Lim, K.J.; Mowers, W.A. Ultraphobic Coating Compositions and Methods of Use. U.S. Patent Appl. 2011/0084421, 14 April 2011. [Google Scholar]
- Daniel, W.F.M.; Burdyńska, J.; Vatankhah-Varnoosfaderani, M.; Matyjaszewski, K.; Paturej, J.; Rubinstein, M.; Dobrynin, A.V.; Sheiko, S.S. Solvent-Free, Supersoft and Superelastic Bottlebrush Melts and Networks. Nat. Mater. 2016, 15, 183–189. [Google Scholar] [CrossRef]
- Nian, S.; Lian, H.; Gong, Z.; Zhernenkov, M.; Qin, J.; Cai, L.-H. Molecular Architecture Directs Linear-Bottlebrush-Linear Triblock Copolymers to Self-Assemble to Soft Reprocessable Elastomers. ACS Macro Lett. 2019, 8, 1528–1534. [Google Scholar] [CrossRef]
- Portal, J.; Schultze, X.; Taupin, S. Dispersion of Polymer Particles in a Non-Aqueous Medium and Cosmetic Use Thereof. U.S. Patent 10,973,753, 13 April 2017. [Google Scholar]
- Akers, C.E., Jr.; Franey, T.E.; Sun, J.; Butler, C. Polymeric Dispersants Used for Aqueous Pigmented Inks for Ink-Jet Printing. U.S. Patent 6,652,634 B1, 25 November 2003. [Google Scholar]
- Tsutsumi, T.; Sawada, M. Aqueous Ink for Inkjet Printing. U.S. Patent 5,852,074, 22 December 1998. [Google Scholar]
- Broad, R.; Gibson, I. Method of Making a Contact Lens. U.S. Patent 9,057,821 B2, 16 June 2006. [Google Scholar]
- Vanderlaan, D.; Turner, D.; Hargiss, M.; Maiden, A.; Love, R.; Ford, J.; Molock, F.; Steffen, R.; Hill, G.; Alli, A.; et al. Soft Contact Lenses. U.S. Patent 6,943,203, 13 September 2005. [Google Scholar]
- Azaam, A.; Vanderlaan, D.; Ford, J.; Joslin, S. Silicone Hydrogels Formed from Zero Diluent Reactive Mixtures. U.S. Patent 10,017,596 B2, 10 July 2018. [Google Scholar]
- Martinez, M.R.; Cong, Y.; Sheiko, S.S.; Matyjaszewski, K. A Thermodynamic Roadmap for the Grafting-through Polymerization of PDMS11MA. ACS Macro Lett. 2020, 9, 1303–1309. [Google Scholar] [CrossRef]
- Cao, Z.; Daniel, W.F.M.; Vatankhah-Varnosfaderani, M.; Sheiko, S.S.; Dobrynin, A.V. Dynamics of Bottlebrush Networks. Macromolecules 2016, 49, 8009–8017. [Google Scholar] [CrossRef]
- Pan, Y.; Maddox, A.; Min, T.; Gonzaga, F.; Goff, J.; Arkles, B. Surface-Triggered Tandem Coupling Reactions of Cyclic Azasilanes. Chem. Asian J. 2017, 12, 1198–1203. [Google Scholar] [CrossRef] [PubMed]
- Vatankhah-Varnosfaderani, M.; Keith, A.N.; Cong, Y.; Liang, H.; Rosenthal, M.; Sztucki, M.; Clair, C.; Magonov, S.; Ivanov, D.A.; Dobrynin, A.V.; et al. Chameleon-like Elastomers with Molecularly Encoded Strain-Adaptive Stiffening and Coloration. Science 2018, 359, 1509–1513. [Google Scholar] [CrossRef]
- Ready, T.E.; Thomas, J.; Choi, S.; Boudjouk, P. New Technologies for the Analysis of Marine Coatings. In New Developments in Coatings Technology ACS Symposium Series; American Chemical Society: Washington, DC, USA, 2007; pp. 69–90. [Google Scholar]
- Rosenberg Read, M.; Dahling, M.; Seim, M.; Oeberg Hed, K. Antifouling Composition. Eur. Patent Appl. 3,489,310 A1, 29 May 2019. [Google Scholar]
- Keith, A.N.; Vatankhah-Varnosfaderani, M.; Clair, C.; Fahimipour, F.; Dashtimoghadam, E.; Lallam, A.; Sztucki, M.; Ivanov, D.A.; Liang, H.; Dobrynin, A.V.; et al. Bottlebrush Bridge between Soft Gels and Firm Tissues. ACS Cent. Sci. 2020, 6, 413–419. [Google Scholar] [CrossRef] [PubMed]
- Jacobs, M.; Liang, H.; Dashtimoghadam, E.; Morgan, B.J.; Sheiko, S.S.; Dobrynin, A.V. Nonlinear Elasticity and Swelling of Comb and Bottlebrush Networks. Macromolecules 2019, 52, 5095–5101. [Google Scholar] [CrossRef]
- Biedermann, M.; Blümke, M.; Wegener, M.; Krüger, H. Improved Actuation Strain of PDMS-Based DEA Materials Chemically Modified with Softening Agents. Electroact. Polym. Actuators Devices 2015, 9430, 94301G. [Google Scholar]
- Goff, J.; Arkles, B. Silicone Elastomers with Intrinsic Control of Surface Hydrophilicity. Soc. Biomater. 2013, 24. Available online: http://biomaterials-org.securec7.ezhostingserver.com/abstracts/data/papers/2013/0243-000796.pdf (accessed on 2 April 2021).
- Arkles, B.; Goff, J.D. Method for Producing Silicone Step-Growth Elastomers from Dual Functional Siloxanes. U.S. Patent 9,145,474, 29 September 2015. [Google Scholar]
- Arkles, B.C.; Goff, J. Elastomers with Exceptional Elongation. U.S. Patent Appl. 2016/0319080, 3 November 2016. [Google Scholar]
- Arkles, B.; Goff, J.; Sulaiman, S.; Sikorsky, A. Ultra-High Elongation Silicone Elastomers. Rubber World 2016, 254, 29. [Google Scholar]
- Goff, J.; Sulaiman, S.; Philips, A.; Detwiler, M.; Arkles, B. Soft Tissue Compliant Silicones for Medical Devices. Rubber World 2018, 258, 22–26. [Google Scholar]
- Gaylord, N. Method for Correcting Visual Defects, Compositions and Articles of Manufacture Useful Therein. U.S. Patent 4,120,570, 17 October 1978. [Google Scholar]
- Gaylord, N. Oxygen-Permeable Contact Lens Composition, Methods and Article of Manufacture. U.S. Patent 3,808,178, 30 April 1974. [Google Scholar]
- Schaeffer, J.; Beiting, J. Contact Lens Pioneers. Rev. Optom. 2007, 144, 76. [Google Scholar]
- Spinelli, H.; Anton, W.; Seidner, L.; Coleman, H.; Ali, M.; Weintraub, L.; White, P. Silicone-Containing Polymers, Oxygen Permeable Hydrophilic Contact Lenses and Methods for Making These Lenses and Treating Patients with Visual Impairment. U.S. Patent 5,314,960, 24 May 1994. [Google Scholar]
- Nicolson, P.C.; Vogt, J. Soft Contact Lens Polymers: An Evolution. Biomaterials 2001, 22, 3273–3283. [Google Scholar] [CrossRef]
- Arkles, B.; Redinger, P. Silicones in Biomedical Applications. In Biocompatible Polymers, Metals, and Composites; Technomic: Lancaster, PA, USA, 1983; pp. 749–768. [Google Scholar]
- Vanderlaan, D.; Nunez, I.; Hargiss, M.; Alton, M.; Williams, S. Soft Contact Lenses. U.S. Patent 5,998,498, 7 December 1999. [Google Scholar]
- Nicolson, P.; Baron, R.; Chabreckek, P.; Court, J.; Domschke, A.; Griesser, H.; Ho, A.; Hopken, J.; Laycock, B.; Liu, Q.; et al. Extended Wear Opthalmic Lens. U.S. Patent 5,965,631, 12 October 1999. [Google Scholar]
- Ueyama, H.; Ikawa, S.; Iwata, J. Hydrophilic Polysiloxane Macromonomer, and Product and Use of the Same. U.S. Patent 8,129,442, 6 March 2012. [Google Scholar]
- Iwata, J.; Hoki, T.; Ikawa, S. Long Wearable Soft Contact Lens. U.S. Patent 6,867,245, 15 March 2005. [Google Scholar]
- Awasthi, A.K.; Stanbro, K.; Kunzler, J.F. Linhardt, J. Ethylenically Unsaturated Polymerizable Group-Containing Polycarbosiloxane Monomers. U.S. Patent 8,420,711, 16 April 2013. [Google Scholar]
- Awasthi, A.K.; Meng, F.R.; Künzler, J.F.; Linhardt, J.G.; Papagelis, P.; Oltean, G.; Myers, S.A. Ethylenically Unsaturated Polycarbosiloxanes for Novel Silicone Hydrogels: Synthesis, End-Group Analysis, Contact Lens Formulations, and Structure-Property Correlations. Polym. Adv. Technol. 2013, 24, 557–567. [Google Scholar] [CrossRef]
- Hagiwara, M. One-Terminal Reactive Organopolysiloxane Having a Polyalkyleneoxide Group at the Omega-Terminal and a Method for the Preparation Thereof. U.S. Patent 8,404,882, 26 March 2013. [Google Scholar]
- Qian, X.; Chang, F.; Matsuzawa, Y.; Shankar, V. Soft SIlicone Medical Devices with Durable Lubricious Coatings Thereon. U.S. Patent 10,324,233, 18 June 2019. [Google Scholar]
- Hu, C.; Pham, D.; Lowery, M. Soft Silicone Materials for Ophthalmic Applications. U.S. Patent 8,8530,590, 10 September 2013. [Google Scholar]
- Grubbs, R.; Sandstedt, C. Method for Modifying Power of Light Adjustable Lens. U.S. Patent 9,950,482, 24 April 2018. [Google Scholar]
- Daimatsu, K.; Anno, Y.; Sugimoto, H.; Nakaishi, E.; Inomata, K.; Ikeda, T.; Yokoi, K. Preparation, Morphology, and Physical Properties of Transparent PSt Hybrid Materials Containing Silicone Macromonomer Kazuki. J. Appl. Polym. Sci. 2008, 108, 362–369. [Google Scholar] [CrossRef]
- Kerry, J.P.; O’Grady, M.N.; Hogan, S.A. Past, Current and Potential Utilisation of Active and Intelligent Packaging Systems for Meat and Muscle-Based Products: A Review. Meat Sci. 2006, 74, 113–130. [Google Scholar] [CrossRef]
- Clarke, R. Packaging of Respiring Biological Materials. U.S. Patent 8,092,848 B2, 10 January 2012. [Google Scholar]
- Masuda, T.; Isobe, E.; Higashimura, T.; Takada, K. Poly[1-(Trimethylsilyl)-1-Propyne]: A New High Polymer Synthesized with Transition-Metal Catalysts and Characterized by Extremely High Gas Permeability. J. Am. Chem. Soc. 1983, 105, 7473–7474. [Google Scholar] [CrossRef]
- Volkov, V.V. Free Volume Structure and Transport Properties of Glassy Polymers—Materials for Separating Membranes. Polym. J. 1991, 23, 457–466. [Google Scholar] [CrossRef]
- Liang, L.; Dickson, J.M.; Zhu, Z.; Jiang, J.; Brook, M.A. Removal of 1,2-Dichloroethane from Aqueous Solutions with Novel Composite Polydimethylsiloxane Pervaporation Membranes. J. Appl. Polym. Sci. 2005, 98, 1477–1491. [Google Scholar] [CrossRef]
- Uragami, T.; Sumida, I.; Miyata, T.; Shiraiwa, T.; Tamura, H.; Yajima, T. Pervaporation Characteristics in Removal of Benzene from Water through Polystyrene-Poly (Dimethylsiloxane) IPN Membranes. Mater. Sci. Appl. 2011, 2, 169–179. [Google Scholar] [CrossRef]
- Miyata, T.; Takagi, T.; Kadota, T.; Uragami, T. Characteristics of Permeation and Separation for Aqueous Ethanol Solutions through Methyl Methacrylate-dimethylsiloxane Graft Copolymer Membranes. Macromol. Chem. Phys. 1995, 196, 1211–1220. [Google Scholar] [CrossRef]
- Uragami, T.; Yamada, H.; Miyata, T. Removal of Dilute Volatile Organic Compounds in Water through Graft Copolymer Membranes Consisting of Poly(Alkylmethacrylate) and Poly(Dimethylsiloxane) by Pervaporation and Their Membrane Morphology. J. Memb. Sci. 2001, 187, 255–269. [Google Scholar] [CrossRef]
- Uragami, T.; Matsuoka, Y.; Miyata, T. Permeation and Separation Characteristics in Removal of Dilute Volatile Organic Compounds from Aqueous Solutions through Copolymer Membranes Consisted of Poly(Styrene) and Poly(Dimethylsiloxane) Containing a Hydrophobic Ionic Liquid by Pervaporation. J. Memb. Sci. 2016, 506, 109–118. [Google Scholar] [CrossRef]
- Uragami, T.; Fukuyama, E.; Miyata, T. Selective Removal of Dilute Benzene from Water by Poly(Methyl Methacrylate)-Graft-Poly(Dimethylsiloxane) Membranes Containing Hydrophobic Ionic Liquid by Pervaporation. J. Membr. Sci. 2016, 510, 131–140. [Google Scholar] [CrossRef]
- Sun, J.; Beach, B. Chemically Prepared Toner and Process Therefor. U.S. Patent 6,991,884 B2, 31 January 2006. [Google Scholar]
- Dawkins, J.; Taylor, G. Micelle Formation by AB Block Copolymers of Polystyrene and Poly(Dimethylsiloxane) in N-alkanes. Chem. Macromol. Chem. Phys. 1979, 180, 1737–1741. [Google Scholar] [CrossRef]
- Gobelt, B.; Nagelsdiek, R.; Omeis, J.; Piestert, F. Method for Producing Dispersant Additives. U.S. Patent 9,573,103, 21 February 2017. [Google Scholar]
- Haubennestel, K.; Bubat, A.; Frank, A. Levelling Agents for Surface Coatings. U.S. Patent 6,710,127, 23 March 2004. [Google Scholar]
- Gobelt, B.; Bubat, A.; Frank, A.; Haubennestel, K. Use of Polyacrylate-Modified Polysiloxanes as Levelling Agents in Coating Compositions. U.S. Patent 7,230,051, 12 June 2007. [Google Scholar]
- Van Der Sluis, M.; Hof, W.; Engelbrecht, L.; Onelin, S. Slip and Leveling Agent. U.S. Patent 7,915,343, 29 March 2011. [Google Scholar]
- Nagel, C.; Heekeren, M.; Frank, A. New Silicone Structures. Eur. Coat. J. 2010, 4, 32–34. [Google Scholar]
- BYK-3550 Technical Data Sheet. September 2015. Available online: http://www.uni-trading.com/sub/support/tds.msds/additive/BYK/BYK_etc/TDS/BYK-3550%20TDS(EN).pdf (accessed on 2 April 2021).
- Rahimi, A.R.; Murphy, M.; Upadhyay, V.; Faiyaz, K.; Battocchi, D.; Webster, D.C. Amphiphilically Modified Self-Stratified Siloxane-Glycidyl Carbamate Coatings for Anti-Icing Applications. J. Coat. Technol. Res. 2020, 18, 83–97. [Google Scholar] [CrossRef]
- Kozakiewicz, J. Polysiloxaneurethanes: New Polymers for Potential Coating Applications. Prog. Org. Coat. 1996, 27, 123–131. [Google Scholar] [CrossRef]
- Bolich, R.; Torgerson, P. Hair Conditioning and Styling Compositions. U.S. Patent 5,618,524, 8 April 1997. [Google Scholar]
- Arkles, B.; Cameron, R.; Larson, G.L. Silicones Derived from 2-Propenyl Functional Cyclic Terpenes and Methods of Preparation. U.S. Patent 8,653,294, 18 February 2014. [Google Scholar]
- Arkles, B.C.; Goff, J.D.; Min, T.; Pan, Y.; Abel-Roberman, T. Silicon-Based Cannabadiol Derivatives and Compositions Thereof. U.S. Patent 10,933, 008 March 2021. [Google Scholar]
- Mefford, O.T.; Vadala, M.L.; Goff, J.D.; Carroll, M.R.J.; Mejia-Ariza, R.; Caba, B.L.; Pierre, T.G.S.; Woodward, R.C.; Davis, R.M.; Riffle, J.S. Stability of Polydimethylsiloxane-Magnetite Nanoparticle Dispersions against Flocculation: Interparticle Interactions of Polydisperse Materials. Langmuir 2008, 24, 5060–5069. [Google Scholar] [CrossRef] [PubMed]
- Miles, W.C.; Goff, J.D.; Huffstetler, P.P.; Mefford, O.T.; Riffle, J.S.; Davis, R.M. The Design of Well-Defined PDMS-Magnetite Complexes. Polymer 2010, 51, 482–491. [Google Scholar] [CrossRef]
- Wilson, K.S.; Goff, J.D.; Riffle, J.S.; Harris, L.A.; St Pierre, T.G. Polydimethylsiloxane-Magnetite Nanoparticle Complexes and Dispersions in Polysiloxane Carrier Fluids. Polym. Adv. Technol. 2005, 16, 200–211. [Google Scholar] [CrossRef]
- Goff, J.D. Synthesis and Characterization of Novel Polyethers and Polydimethylsiloxanes for Use in Biomaterials. Ph.D. Thesis, Virginia Tech, Blacksburg, VA, USA, 2009. [Google Scholar]
- Riffle, J.S.; Thompson Mefford, O.; Carroll, M.R.J.; Vadala, M.L.; Goff, J.D.; Mejia-Ariza, R.; Saunders, M.; Woodward, R.C.; St Pierre, T.G.; Davis, R.M. Size Analysis of PDMS-Magnetite Nanoparticle Complexes: Experiment and Theory. Chem. Mater. 2008, 20, 2185–2191. [Google Scholar]
- Mefford, O.T.; Woodward, R.C.; Goff, J.D.; Vadala, T.P.; St. Pierre, T.G.; Dailey, J.P.; Riffle, J.S. Field-Induced Motion of Ferrofluids through Immiscible Viscous Media: Testbed for Restorative Treatment of Retinal Detachment. J. Magn. Magn. Mater. 2007, 311, 347–353. [Google Scholar] [CrossRef]
- Ganachaud, F. (Institut National des Sciences Appliquees de Lyon, France). Private communication, 2017.
- Hadjichistidis, N.; Iatrou, H.; Pispas, S.; Pitsikalis, M. Anionic Polymerization: High Vacuum Techniques. J. Polym. Sci. Part A Polym. Chem. 2000, 38, 3211–3234. [Google Scholar] [CrossRef]
- Varshney, S.K.; Khanna, D.N. Hexamethyl Cyclotrisiloxane–Styrene Block Copolymers and Their Chemical Composition. J. Appl. Polym. Sci. 1980, 25, 2501–2511. [Google Scholar] [CrossRef]
- Dems, A.; Strobin, G. Synthesis and Properties of Well-Defined Multiblock Copolymers: Polystyrene-block-polydimethylsiloxane. Die Makromol. Chem. Macromol. Chem. Phys. 1991, 2537, 2521–2537. [Google Scholar] [CrossRef]
- Chu, H. Morphologies of Strongly Segregated Diblock Copolymers. Polymer. 1995, 36, 1569–1575. [Google Scholar] [CrossRef]
- Borah, D.; Cummins, C.; Rasappa, S.; Senthamaraikannan, R.; Salaun, M.; Zelsmann, M.; Liontos, G.; Ntetsikas, K.; Avgeropoulos, A.; Morris, M.A. Nanopatterning via Self-Assembly of a Lamellar-Forming Polystyrene-Block-Poly(Dimethylsiloxane) Diblock Copolymer on Topographical Substrates Fabricated by Nanoimprint Lithography. Nanomaterials 2018, 8, 32. [Google Scholar] [CrossRef] [PubMed]
- Park, J.J.; Kim, H.H.; Kim, K.M.; Baek, S.K.; Lee, S.J.; Kim, J.H.; Choi, J.S. Method of Forming a Fine Pattern by Using Block Copolymers. U.S. Patent 9,437,452, 6 September 2016. [Google Scholar]
- Jung, Y.S.; Ross, C.A. Orientation-Controlled Self-Assembled Nanolithography Using a Polystyrene-Polydimethylsiloxane Block Copolymer. Nano Lett. 2007, 7, 2046–2050. [Google Scholar] [CrossRef]
- Jacoby, M. Block Copolymers for Lithography. Chem. Eng. News 2014, 92, 8–12. [Google Scholar] [CrossRef]
- Andersen, T.H.; Tougaard, S.; Larsen, N.B.; Almdal, K.; Johannsen, I. Surface Morphology of PS-PDMS Diblock Copolymer Films. J. Electron. Spectros. Relat. Phenom. 2001, 121, 93–110. [Google Scholar] [CrossRef]
- Choi, P.; Fu, P.F.; Guo, L.J. Siloxane Copolymers for Nanoimprint Lithography. Adv. Funct. Mater. 2007, 17, 65–70. [Google Scholar] [CrossRef]
- Bates, C.M.; Seshimo, T.; Maher, M.J.; Durand, W.J.; Cushen, J.D.; Dean, L.M.; Blachut, G.; Ellison, C.J.; Willson, C.G. Polarity-Switching Top Coats Enable Copolymer Domains. Science 2012, 338, 775–779. [Google Scholar] [CrossRef]
- Maher, M.J.; Bates, C.M.; Blachut, G.; Sirard, S.; Self, J.L.; Carlson, M.C.; Dean, L.M.; Cushen, J.D.; Durand, W.J.; Hayes, C.O.; et al. Interfacial Design for Block Copolymer Thin Films. Chem. Mater. 2014, 26, 1471–1479. [Google Scholar] [CrossRef]
- Luo, Y.; Montarnal, D.; Kim, S.; Shi, W.; Barteau, K.P.; Pester, C.W.; Hustad, P.D.; Christianson, M.D.; Fredrickson, G.H.; Kramer, E.J.; et al. Poly(Dimethylsiloxane-b-Methyl Methacrylate): A Promising Candidate for Sub-10 Nm Patterning. Macromolecules 2015, 48, 3422–3430. [Google Scholar] [CrossRef]
- Miller, P.J.; Matyjaszewski, K. Atom Transfer Radical Polymerization of (Meth)Acrylates from Poly(Dimethylsiloxane) Macroinitiators. Macromolecules 1999, 32, 8760–8767. [Google Scholar] [CrossRef]
- Keul, H.; Müller, A.J.; Höcker, H. Preparation of Polymers with Polycarbonate Sequences and Their Depolymerization; An Example of Thermodynamic Recycling. In Makromolekulare Chemie. Macromolecular Symposia; Hüthig & Wepf Verlag: Basel, Switzerland, 1993; Volume 67, pp. 289–298. [Google Scholar]
- Shefelbine, T.A.; Vigild, M.E.; Matsen, M.W.; Hajduk, D.A.; Hillmyer, M.A.; Cussler, E.L.; Bates, F.S. Core-Shell Gyroid Morphology in a Poly(Isoprene-Block-Styrene-Block- Dimethylsiloxane) Triblock Copolymer. J. Am. Chem. Soc. 1999, 121, 8457–8465. [Google Scholar] [CrossRef]
- Politakos, N.; Ntoukas, E.; Avgeropoulos, A.; Krikorian, V.; Pate, B.D.; Thomas, E.L.; Hill, R.M. Strongly Segregated Cubic Microdomain Morphology Consistent with the Double Gyroid Phase in High Molecular Weight Diblock Copolymers of Polystyrene and Poly(Dimethylsiloxane). J. Polym. Sci. Part B Polym. Phys. 2009, 47, 2419–2427. [Google Scholar] [CrossRef]
- Lo, T.Y.; Chao, C.C.; Ho, R.M.; Georgopanos, P.; Avgeropoulos, A.; Thomas, E.L. Phase Transitions of Polystyrene-b-Poly(Dimethylsiloxane) in Solvents of Varying Selectivity. Macromolecules 2013, 46, 7513–7524. [Google Scholar] [CrossRef]
- Lu, K.Y.; Lo, T.Y.; Georgopanos, P.; Avgeropoulos, A.; Shi, A.C.; Ho, R.M. Orienting Silicon-Containing Block Copolymer Films with Perpendicular Cylinders via Entropy and Surface Plasma Treatment. Macromolecules 2017, 50, 9403–9410. [Google Scholar] [CrossRef]
- Feng, X.; Zhuo, M.; Guo, H.; Thomas, E.L. Visualizing the Double-Gyroid Twin. Proc. Natl. Acad. Sci. USA 2021, 118, 1–6. [Google Scholar] [CrossRef] [PubMed]
- Beatty, C.L.; Pechan, J.M.; Froix, M.F.; Hinman, D.D. Liquid Crystalline Type Order in Polydiethylsiloxane. Macromolecules 1975, 8, 547–551. [Google Scholar] [CrossRef]
- Zhang, L.; Yao, W.; Gao, Y.; Zhang, C.; Yang, H. Polysiloxane-Based Side Chain Liquid Crystal Polymers: From Synthesis to Structure–Phase Transition Behavior Relationships. Polymers 2018, 10, 794. [Google Scholar] [CrossRef] [PubMed]


































| Cyclic Siloxane Macromer Monomers | |||||
|---|---|---|---|---|---|
| Class | Structure | MW | B.P. | CAS# | References |
| Primary | |||||
| Hexamethylcyclotrisiloxane | ![]() | 222.46 | 134° | 541-05-9 | Hyde [16] |
| Hexaphenylcyclotrisiloxane | ![]() | 594.89 | 300°/1 | 512-63-0 | Bostick [32] |
| Trivinyltrimethylcyclotrisiloxane | ![]() | 258.50 | 80°/20 | 3901-77-7 | Pike [33] |
| Tris(3,3,3-trifluoropropyl)trimethylcyclotrisiloxane | ![]() | 468.55 | 95°/3 | 2374-14-3 | Pierce [18] |
| 2,2,5,5-tetramethyl-2,5-disila-1-oxacyclopentane | ![]() | 160.36 | 124° | 7418-20-4 | Piccolli [17] |
| Minor | |||||
| Hexaethylcyclotrisiloxane | ![]() | 306.82 | 117°/10 | 2031-79-0 | Dobay [34] |
| Vinylpentamethylcyclotrisiloxane | ![]() | 234.47 | 56°/23 | 18395-32-9 | Rózga-Wijas [23] |
| Tris(tetramethylsiloxanylethyl)trimethylcyclotrisiloxane | ![]() | 661.47 | 175°–185°/2 | 2378614-30-1 | Goff [22] |
| 1,3,5-[Tris(methoxyethoxyethoxypropyltetramethyldisiloxanyl)ethyl]-1,3,5-trimethylcyclotrisiloxane | ![]() | 1142.10 | 2378623-20-0 | Goff [35] | |
| Non-Functional Initiators | |||
|---|---|---|---|
| Class | Structure | Comments | References |
| Organolithium | |||
| n-Butyl lithium | ![]() | Most common initiator; stable and economic | Chojnowski [36] Cypryk [37] Maschke [38] Nakano [11] Razzano [39] |
| s-Butyl lithium | ![]() | Less initial back-biting than n-butyl but less stable; used for substituted aryl-cyclic trisiloxane; used for higher alkylcyclo-trisiloxanes | Hawkridge [40] Bellas [41] Ninago [42] Lee [26] Molenberg [43,44,45] |
| t-Butyl lithium | ![]() | Hempenius [46] Sieburth [47] | |
| Phenyl lithium | ![]() | Initiator for PDMS MW standard | Arkles [48] |
| Trimethylsilylmethyl lithium | ![]() | For diMeSiO-ViMeSiO block polymers | Boileau [49] Bauer [50] |
| Macroanions | |||
| Polybutadienyl lithium | ![]() | Molenberg [19] | |
| Polystyryl lithium | ![]() | Formation of block and star polymers—varied block size for nanopatterning | Saam [7,51] Bellas [44] Georgopanos [52] |
| Poly a-methylstyryl lithium | ![]() | Saam [8] Noshay [53] | |
| Lithium Silanolate—Monoanion | |||
| Trimethylsilanol lithium salt | ![]() | Formed from D4 + Methyllithium; initiates tetramethyldisila-oxacyclopentane polymerization | Clemens [54] Kawakami [9] Awasthi [55] |
| n-Butyldimethylsilanol lithium salt | ![]() | Formed from D4 + n-Butyllithium | Fessler [6] Bostick [32] Cypryk [56] Leir [57] |
| Fluoroalkyldimethylsilanol lithium salt | ![]() | Formed in situ from silanol and n-Butyllithium | Saho [58] |
| Methoxypropyldimethylsilanol lithium salt | ![]() | Arkles [59] Goff [60] | |
| Methoxyethoxyethoxypropyldimethylsilanol lithium salt | ![]() | Hydrophilic silicone macromers for contact lenses | Goff [61] Arkles [62] |
| Methoxyethoxyethoxyethoxypropyldimethylsilanol lithium salt | ![]() | Hydrophilic additive for silicone elastomers | Goff [61] Arkles [62] |
| Tetrahydrofurfuryloxpropyldimethylsilanol lithium salt | ![]() | Hydrophilic additive for implantable silicones | Goff [61] Arkles [62] |
| Lithium Silanolate—Multiple Anions | |||
| Diphenylsilanediol, dilithium salt | ![]() | Initiator for pentamethylcyclo trisiloxane; initiator for trifluoropropyltrimethylcyclotrisiloxane | Paulasaari [21] Cypryk [37] |
| Tetramethyldisiloxane-1,3 diol dilithium salt | ![]() | Gadda [63] | |
| 1,3-diphenyl-1,3-dimethylsiloxanediol, dilithium salt | ![]() | Bostick [32] | |
| Bis(p-hydroxydimethylsilyl)phenyl ether, dilithium salt | ![]() | Used to form telechelic vinyl-terminated polymers | Kazama [64] |
| Branched siloxanes, multiple lithium salts | Branched vinyl-terminated siloxanes | Ogawa [65] | |
| Branched carbosilanes, multiple lithium salts | Used to form multi-arm and dendrimer-like structures | Novozhilov [66] Vasilenko [67] | |
| Other | |||
| Dilithiobenzophenone | ![]() | Siloxane methacrylate copolymers | Juliano [68] |
| Dilithiofluorenone | ![]() | Color change when D3 polymerization initiated | Juliano [68] |
| Functional Initiators | |||
| Class | Structure | Comments | References |
| Organo Lithium | |||
| Allyl lithium | ![]() | Functionalized polydiethylsiloxane | Out [69] |
| t-Butyldimethylsiloxypropyl lithium | ![]() | Deprotected to form hydroxyl termination | Arkles [70] Arkles [59] |
| N-Benzyl-N-methylaminopropyl lithium | ![]() | Can be deprotected to provide N-methylaminopropyl termination | Elkins [71] |
| Bis(trimethylsilyl)aminophenyl lithium | ![]() | Deprotected to form aminophenyl termination | Babu [72] |
| Lithium Silanolate | |||
| Vinyldimethylsilanol lithium salt | ![]() | Goff [73] Okawa [73,74] Arkles [62] | |
| Vinylbutylmethylsilanol lithium salt | ![]() | Arkles [62] | |
| Hydridobutylmethylsilanol lithium salt | ![]() | Arkles [62] | |
| 1-Hexenyl, 4-Hydroxyl-octamethyltetrasiloxane lithium salt | ![]() | Okawa [74] | |
| Other | |||
| Lithium anion of Na pentanedionate | ![]() | Forms Na AcAc-terminated polymer, but not stable after neutralization | Kumar [75] |
| 1,5,7-Triazabicyclo [4.4.0] dec-5-ene | ![]() | Used in the polymerization of monodisperse silanol-terminated siloxanes | Lohmeijer [14] |
| 1,3-Trimethylene-n-propylguanidine | ![]() | Used in combination with water and silanols | Fuchise [15,76] |
| Asymmetric Monofunctional Siloxanes | ||||||
|---|---|---|---|---|---|---|
| Code * | Description | Molecular Weight, Mn | Viscosity, cSt | Density | Refractive Index | Reference |
![]() | ||||||
| MCR-A11 | monoAMINOPROPYL TERMINATED POLYDIMETHYLSILOXANE | 800–1000 | 8–12 | 0.82 | 1.411 | [79,80,81] |
| MCR-A12 | monoAMINOPROPYL TERMINATED POLYDIMETHYLSILOXANE | 2000 | 18–25 | 0.97 | 1.411 | [79,81] |
![]() | ||||||
| MCR-W15 | monoACRYLAMIDOPROPYL TERMINATED POLYDIMTHYLSILOXANE | 1000–1500 | 50–75 | 0.96 | 1.418 | [79] |
![]() | ||||||
| MCR-C12 | monoCARBINOL TERMINATED POLYDIMETHYLSILOXANE | 1000 | 15–20 | 0.96 | 1.409 | [79,82] |
| MCR-C18 | monoCARBINOL TERMINATED POLYDIMETHYLSILOXANE | 5000 | 80–90 | 0.97 | 1.405 | [79,82,83,84] |
| MCR-C22 | monoCARBINOL TERMINATED POLYDIMETHYLSILOXANE | 10,000 | 250 | 0.98 | 1.404 | [79,81,82,85] |
![]() | ||||||
| MCR-C61 | monoDICARBINOL TERMINATED POLYDIMETHYLSILOXANE | 1000 | 50–60 | 0.97 | 1.417 | [79,86] |
| MCR-C62 | monoDICARBINOL TERMINATED POLYDIMETHYLSILOXANE | 5000 | 100–125 | 0.97 | 1.409 | [79,86,87] |
![]() | ||||||
| MCR-B12 | monoCARBOXYDECYL TERMINATED POLYDIMETHYLSILOXANE | 1500 | 20 | 0.94 | 1.415 | [79,88] |
![]() | ||||||
| MCR-E11 | Mono(2,3-EPOXY)PROPYLETHER TERMINATED POLYDIMETHYLSILOXANE | 1000 | 10–15 | 0.96 | 1.410 | [79,89,90] |
| MCR-E21 | Mono(2,3-EPOXY)PROPYLETHER TERMINATED POLYDIMETHYLSILOXANE | 5000 | 120 | 0.97 | 1.408 | [79] |
![]() | ||||||
| MCR-H07 | MonoHYDRIDE TERMINATED POLYDIMETHYLSILOXANE | 800–900 | 5–8 | 0.96 | 1.404 | [60,79] |
| MCR-H11 | MonoHYDRIDE TERMINATED POLYDIMETHYLSILOXANE | 900–1100 | 8–12 | 0.96 | 1.407 | [60,79,91] |
| MCR-H21 | MonoHYDRIDE TERMINATED POLYDIMETHYLSILOXANE | 4500–5000 | 80–120 | 0.96 | 1.411 | [79] |
| MCR-H22 | MonoHYDRIDE TERMINATED POLYDIMETHYLSILOXANE | 10,000 | 160–220 | 0.98 | 1.411 | [79] |
![]() | ||||||
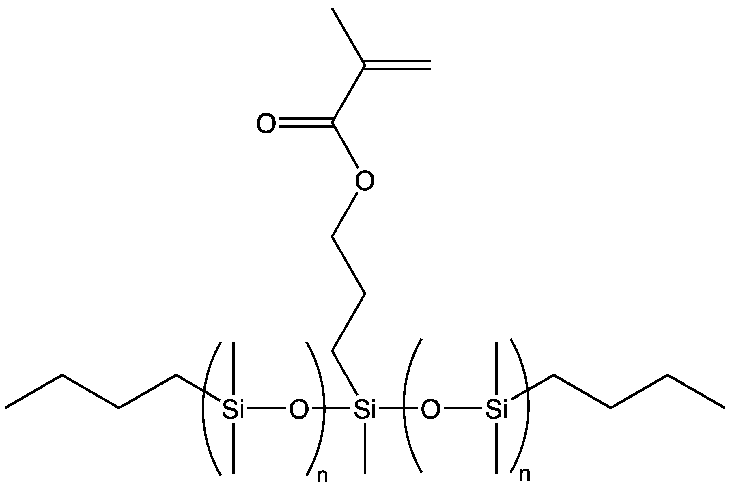
| MCR-M07 | MonoMETHACRYLOXYPROPYL TERMINATED POLYDIMETHYLSILOXANE | 600–800 | 6–9 | 0.96 | 1.416 | [60,79,92,93,94,95,96,97] |
| MCR-M11 | MonoMETHACRYLOXYPROPYL TERMINATED POLYDIMETHYLSILOXANE | 800–1000 | 10–11 | 0.96 | 1.411 | [60,70,79,92,93,95,96,97,98,99,100,101,102,103,104,105,106,107,108] |
| MCR-M17 | MonoMETHACRYLOXYPROPYL TERMINATED POLYDIMETHYLSILOXANE | 5000 | 70–80 | 0.97 | 1.406 | [54,70,79,89,90,93,95,96,97,108,109,110] |
| MCR-M22 | MonoMETHACRYLOXYPROPYL TERMINATED POLYDIMETHYLSILOXANE | 10,000 | 150–200 | 0.97 | 1.405 | [54,79,93,94,96,97] |
![]() | ||||||
| MCR-MXe11 | MonoMETHACRYLOXYETHOXY-PROPYL TERMINATED POLYDIMETHYLSILOXANE | 900–1000 | 9–10 | 0.95 | 1.415 | None? |
![]() | ||||||
| MCR-MXt11 | MonoMETHACRYLOXYPROPYL, MonoMETHOXYPROPYL TERMINATED POLYDIMETHYLSILOXANE | 800–1000 | 8–12 | 0.96 | 1.430 | [60,70] |
![]() | ||||||
| MFR-M15 | MonoMETHACRYLOXYPROPYL TERMINATED POLYTRIFLUOROPROPYLMETHYLSILOXANE | 800–1000 | 50–70 | 1.09 | 1.398 | [59,60,70,79,93,100] |
![]() | ||||||
| MCR-ST11 | MonoSTYRYL TERMINATED POLYDIMETHYLSILOXANE | 800–1000 | 8–15 | 0.95 | 1.429 | [99,102] |
![]() | ||||||
| MCR-V21 | MonoVINYL TERMINATED POLYDIMETHYLSILOXANE | 5500–6500 | 80–120 | 0.97 | 1.403 | [79,91,111] |
| MCR-V25 | MonoVINYL TERMINATED POLYDIMETHYLSILOXANE | 15,000–20,000 | 400–600 | 0.97 | 1.403 | [79] |
| MCR-V41 | MonoVINYL TERMINATED POLYDIMETHYLSILOXANE | 55,000–65,000 | 8000–12,000 | 0.98 | 1.404 | [79] |
![]() | ||||||
| MCR-XT11 | MonoTRIETHOXYSILYLETHYL TERMINATED POLYDIMETHYLSILOXANE | 500–1000 | 16–24 | 0.97 | 1.412 | [79] |
| Symmetric Monofunctional Siloxanes | ||||||
![]() | ||||||
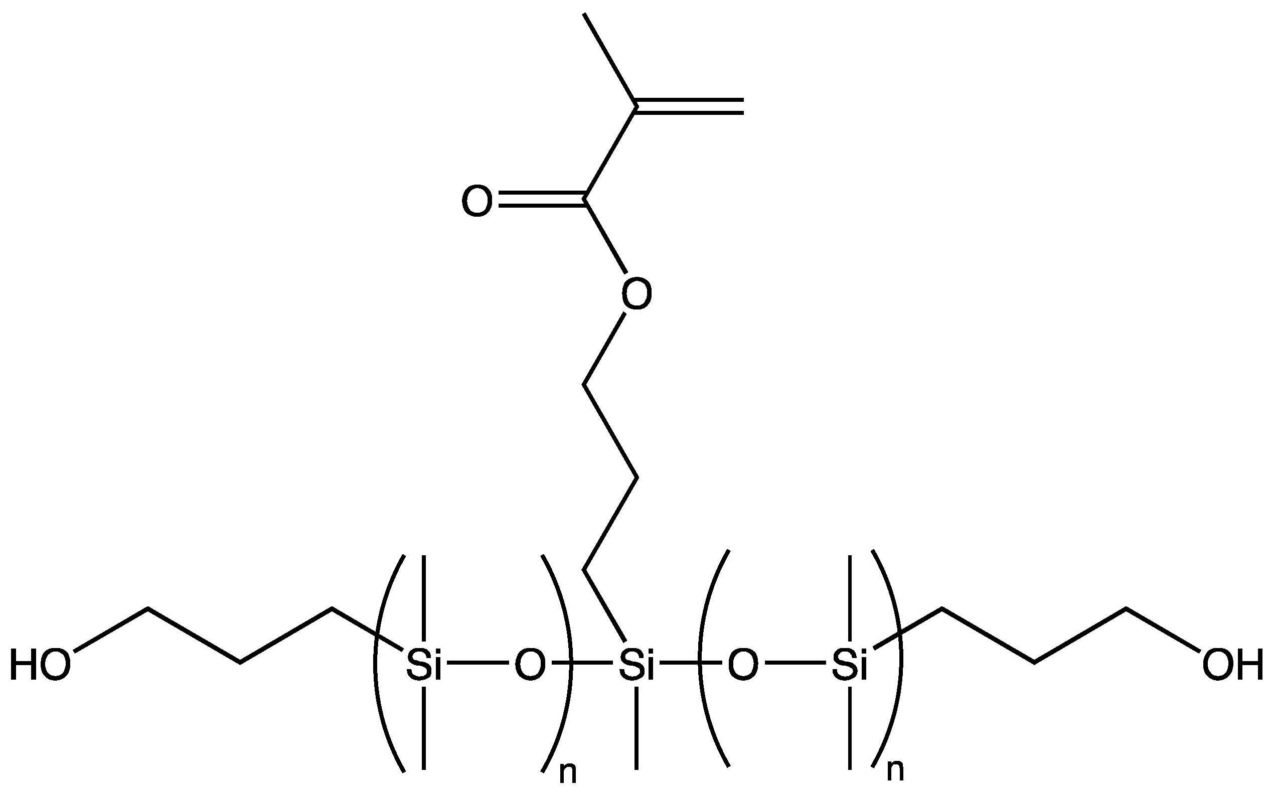
| MCS-C13 | MonoCARBINOL FUNCTIONAL POLYDIMETHYLSILOXANE, symmetric | 550–650 | 35–40 | 1.02 | 1.446 | [79] |
![]() | ||||||
| MCS-E15 | Mono(2,3-EPOXY)PROPYL ETHER FUNCTIONAL POLYDIMETHYLSILOXANE, symmetric | 800–900 | 45–55 | 1.09 | 1.398 | [59,70,79] |
![]() | ||||||
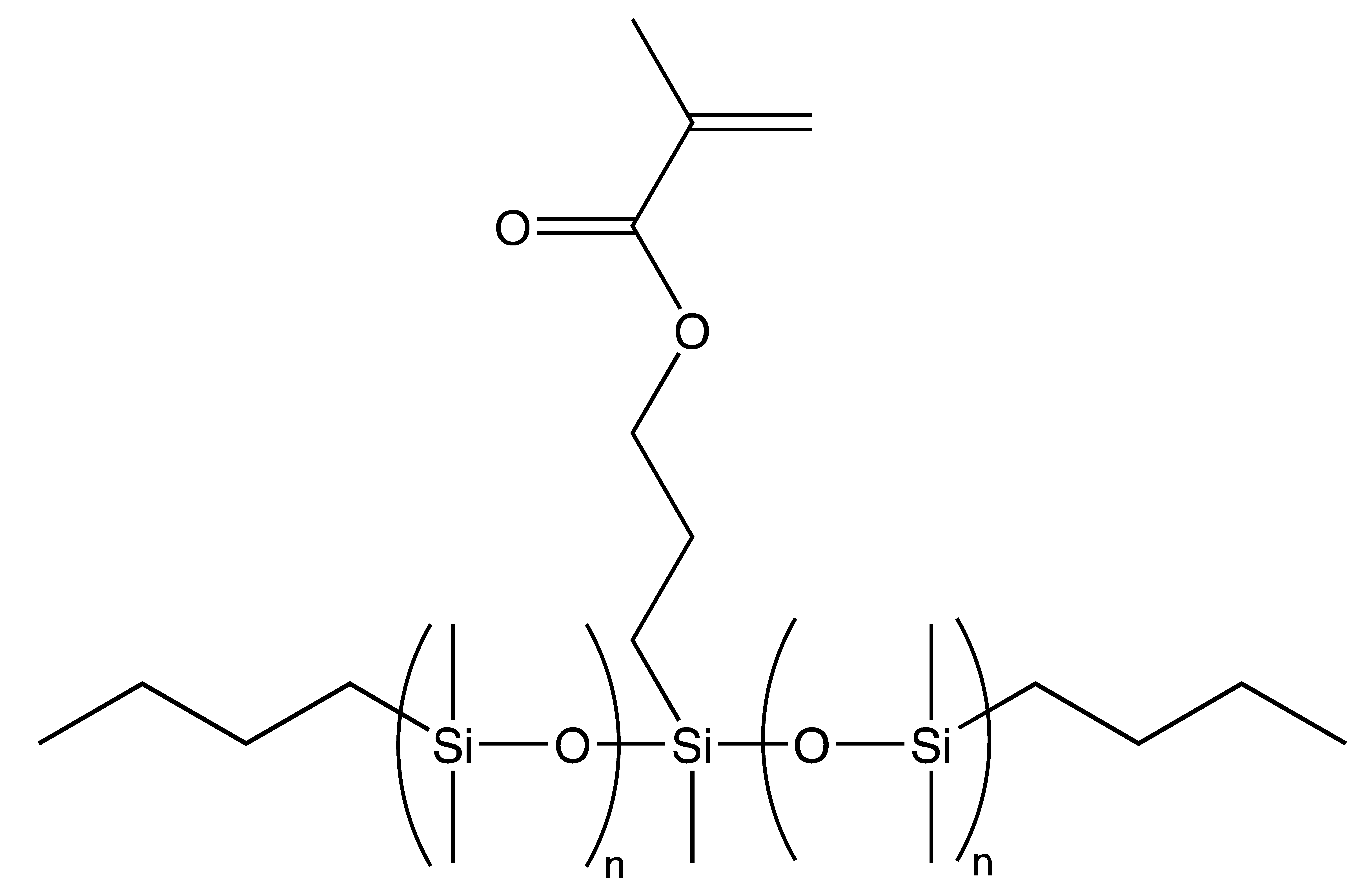
| MCS-M11 | MonoMETHACRYLOXYPROPYL FUNCTIONAL POLYDIMETHYLSILOXANE, symmetric | 800–1000 | 7–9 | 0.93 | 1.417 | [59,60,70,79,93] |
![]() | ||||||
| MCS-MXt11 | MonoMETHACRYLOXYPROPYL FUNCTIONAL POLYDIMETHYLSILOXANE, METHOXYPROPYL TERMINATED, symmetric | 900–1100 | 8–12 | 0.96 | 1.43 | [60,79] |
![]() | ||||||
| MCS-V212 | MonoVINYL TERMINATED POLYDIMETHYLSILOXANE, symmetric | 1200–1400 | 16–24 | 0.97 | 1.419 | [79] |
![]() | ||||||
| MCS-VF14 | monoVINYL FUNCTIONAL POLYDIMETHYLSILOXANE, TETRAHYDROFURFURYLOXYPROPYL TERMINATED—symmetric | 1000–1200 | 30–40 | 0.976 | 1.4141 | [61,79,87,112] |
![]() | ||||||
| MCS-VXt15 | MonoVINYL FUNCTIONAL POLYDIMETHYLSILOXANE, METHOXY(DIETHYLENEOXIDE)PROPYL TERMINATED, symmetric | 1000–1200 | 40–60 | 0.96 | 1.42 | [61,79,87,112] |
| Heterobifunctional Siloxanes | ||||||
|---|---|---|---|---|---|---|
| Code | Description | Molecular Weight, Mn | Viscosity, cSt | Density | Refractive Index | Reference |
![]() | ||||||
| DMS-HV15 | monoVINYL-monoHYDRIDE terminated POLYDIMETHYLSILOXANE | 2000–3000 | 40–60 | 0.96 | 1.404 | [62,73,79,113,114] |
| DMS-HV22 | monoVINYL-monoHYDRIDE terminated POLYDIMETHYLSILOXANE | 10,000 | 150–250 | 0.97 | 1.403 | [62,73,79,113,114,115,116] |
| DMS-HV31 | monoVINYL-monoHYDRIDE terminated POLYDIMETHYLSILOXANE | 25,000 | 600–1000 | 0.97 | 1.403 | [62,73,79,114] |
![]() | ||||||
| PMM-HV12 | α-monoVINYL,monoPHENYL-ω-monoHYDRIDE terminated POLYDIMETHYLSILOXANE | 2000 | 20 | 0.97 | 1.414 | [62,79] |
| Siloxane Macromer | Comonomer | Reactivity Ratio (r1:r2) * |
|---|---|---|
| MCR-M11 | Methylmethacrylate | nm **:1.60 |
| MCR-M22 | nm **:2.10 | |
| MCR-M11 | Styrene | 0.26:1.07 |
| MCR-M11 | Acrylonitrile | 5.40:0.89 |
| Siloxane Macromer—Methacrylate Functional | Macromer Solubility in Hydrogel Monomers | Water Solubility in Macromer (ppm) | |
|---|---|---|---|
| Dimethylacrylamide (DMA) | Hydroxyethylmethacrylate (HEMA) | ||
| MCR-M11 (asymmetric) | 4% | 1% | 2000 |
| MCS-M11 (symmetric) | 8% | 2% | 3500 |
| MFR-M15 (fluorinated asymmetric) | 100% (miscible) | 2% | 9000 |
| MFS-M15 (fluorinated symmetric) | 100% (miscible) | 3% | 10,000 |
| MCS-MXt11 (methoxy-tipped, symmetric) | 100% (miscible) | 100% (miscible) | 10,000 |
| Technology Generation | Proprietary Name | Material | Manufacturer | Launch Date | Water Content (%) | Dk | O2 Transport Enhancer | Hydrophilic Component * | Refs. |
|---|---|---|---|---|---|---|---|---|---|
| 1 | PureVision | Balafilcon A | Bausch & Lomb | 1998 | 36 | 91 | TRIS, Difunctional siloxane | NVP amino acid monomer | |
| Focus Night & Day | Lotrfilcon A | CIBA Vision | 1999 | 24 | 140 | TRIS, Difunctional fluorosiloxane | DMA | Nicolson [124] | |
| AirOptix | Lotrafilcon B | CIBA Vision | 1999 | 33 | 110 | TRIS, Difunctional fluorosiloxane | DMA | Nicolson [124] | |
| 2 | Biofinity | Cofilcon A | Cooper vision | 2007 | 48 | 128 | Monofunctional siloxane macromer | VMA | Ueyama [125] Iwata [126] |
| Acuvue OASYS | Senfilcon A | JJVC | 2004 | 38 | 103 | SiGMA monomer, monofunctional siloxane macromer (MCR-M11) | DMA, HEMA, PVP | Vanderlaan [101,123] | |
| PremuiO | Amofilcon A | Menicon | 2007 | 40 | 129 | Difunctional fluorosiloxane macromer | DMA | ||
| Acuvue Advance | Gayfilcon A | JJVC | 2004 | 47 | 60 | SiGMA monomer, monofunctional siloxane macromer (MCR-M11) | DMA, HEMA, PVP | Vanderlaan [101,123] | |
| 3 | 1-DAY Acuvue TruEYE | Narfilcon A | JJVC | 2008 | 46 | 100 | SiGMA monomer, monofunctional siloxane macromers (OH-mPDMS, MCR-M11) | DMA, HEMA, PVP | Vanderlaan [101,123] |
| Clariti 1-DAY | Somofilcon | Cooper vision | 2014 | 56 | 60 | Monofunctional siloxane macromer, difunctional siloxane | HEMA | Broad [100] | |
| Avaira | Enfilcon | Cooper vision | 2011 | 46 | 100 | Difunctional fluorosiloxane | VMA | ||
| Ultra | Samfilcon A | Bausch & Lomb | 2014 | 46 | 114 | TRIS, Difunctional siloxane, monofunctional carbosiloxane macromer | Unknown | Awasti [55,127] | |
| DAILIES TOTAL1 | Delfilcon A | Alcon | 2013 | 33 | 140 | Unknown | DMPC, DMA | ||
| MyDay | Stenfilcon A | Cooper vision | 2013 | 54 | 80 | Difunctional PEG-PDMS copolymer, monofunctional siloxane macromer | VMA | ||
| Acuvue Vita | Senfilcon C | JJVC | 2016 | 41 | 103 | SiGMA monomer, monofunctional siloxane macromer (MCR-M11) | DMA, HEMA, PVP |
| Control | A | B | C | |
|---|---|---|---|---|
| Description | Blend | Block Polymer | Pendant/Side-Chain | |
| Silicone Component | Silicone Fluid | Telechelic Carbinol | Dicarbinol Terminated Asymmetric Macromer | |
| Abrasion Test Failure, cycles | <100 | <100 | <100 | 4200 |
| Coefficient of Friction | 0.61 | 0.12 | 0.74 | 0.16 |
| Contact Angle, water before abrasion | 56° | 83° | 72° | 82° |
| Contact Angle, water after abrasion | 55° | 55° | 72° | 80° |
Publisher’s Note: MDPI stays neutral with regard to jurisdictional claims in published maps and institutional affiliations. |
© 2021 by the authors. Licensee MDPI, Basel, Switzerland. This article is an open access article distributed under the terms and conditions of the Creative Commons Attribution (CC BY) license (https://creativecommons.org/licenses/by/4.0/).
Share and Cite
Goff, J.; Sulaiman, S.; Arkles, B. Applications of Hybrid Polymers Generated from Living Anionic Ring Opening Polymerization. Molecules 2021, 26, 2755. https://doi.org/10.3390/molecules26092755
Goff J, Sulaiman S, Arkles B. Applications of Hybrid Polymers Generated from Living Anionic Ring Opening Polymerization. Molecules. 2021; 26(9):2755. https://doi.org/10.3390/molecules26092755
Chicago/Turabian StyleGoff, Jonathan, Santy Sulaiman, and Barry Arkles. 2021. "Applications of Hybrid Polymers Generated from Living Anionic Ring Opening Polymerization" Molecules 26, no. 9: 2755. https://doi.org/10.3390/molecules26092755
APA StyleGoff, J., Sulaiman, S., & Arkles, B. (2021). Applications of Hybrid Polymers Generated from Living Anionic Ring Opening Polymerization. Molecules, 26(9), 2755. https://doi.org/10.3390/molecules26092755

































































