Applications of Photoinduced Phenomena in Supramolecularly Arranged Phthalocyanine Derivatives: A Perspective
Abstract
1. Introduction
2. Pcs-Based Supramolecular Assemblies for Sensing Applications
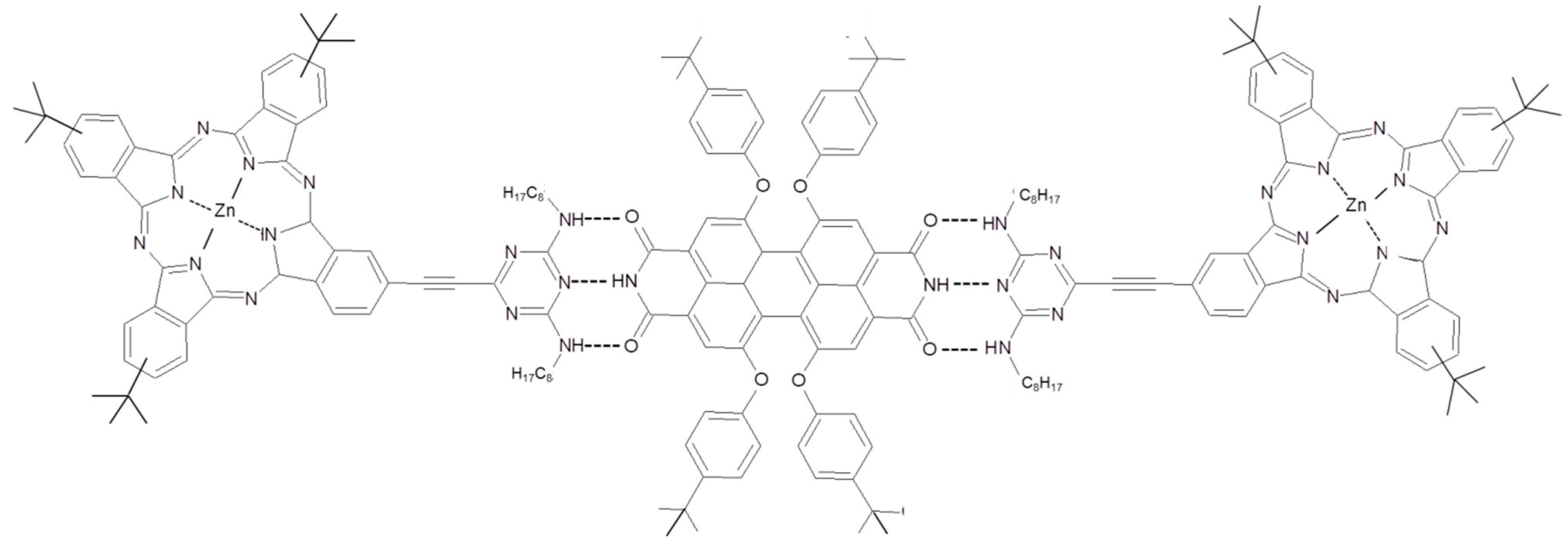
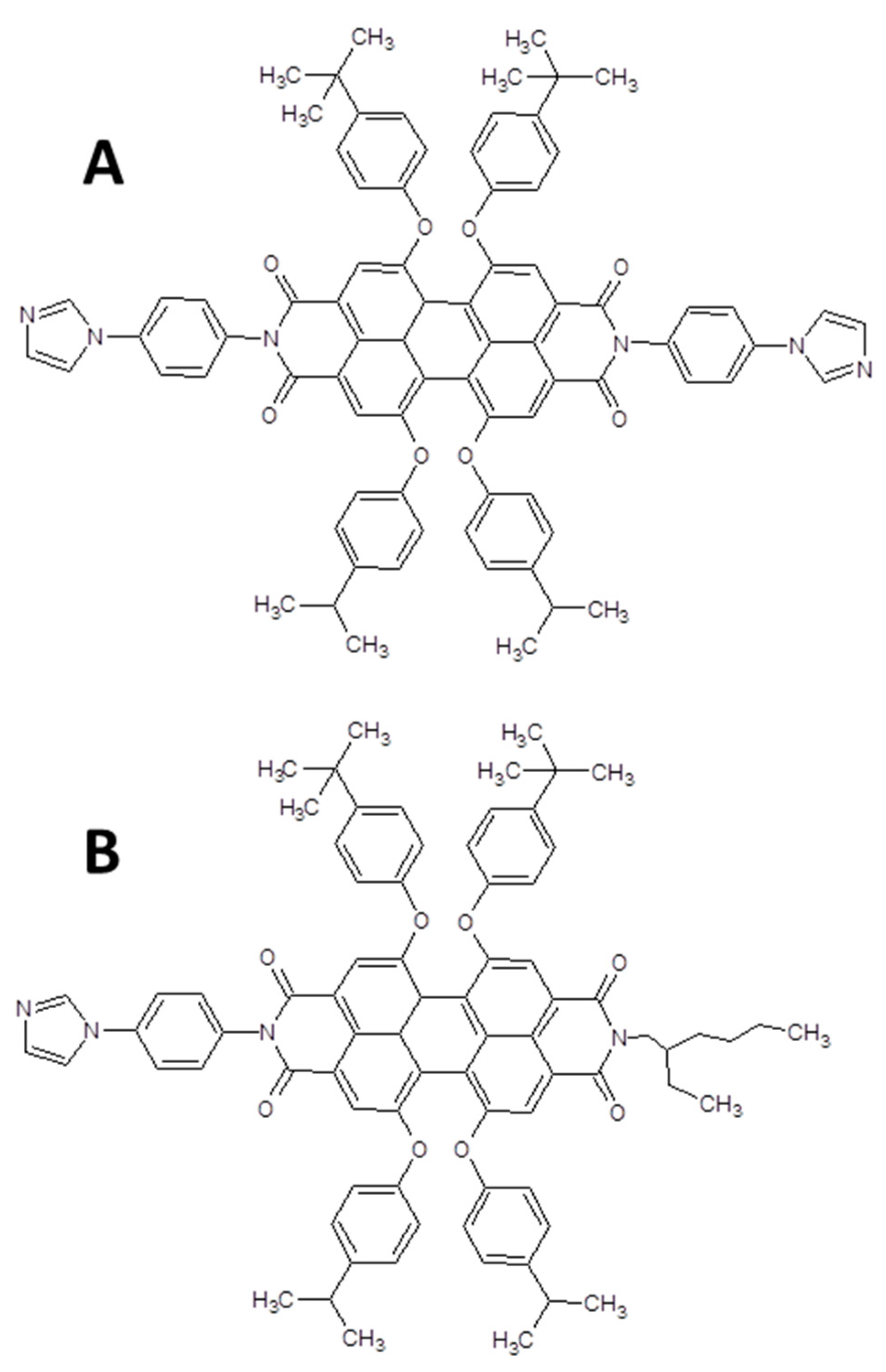
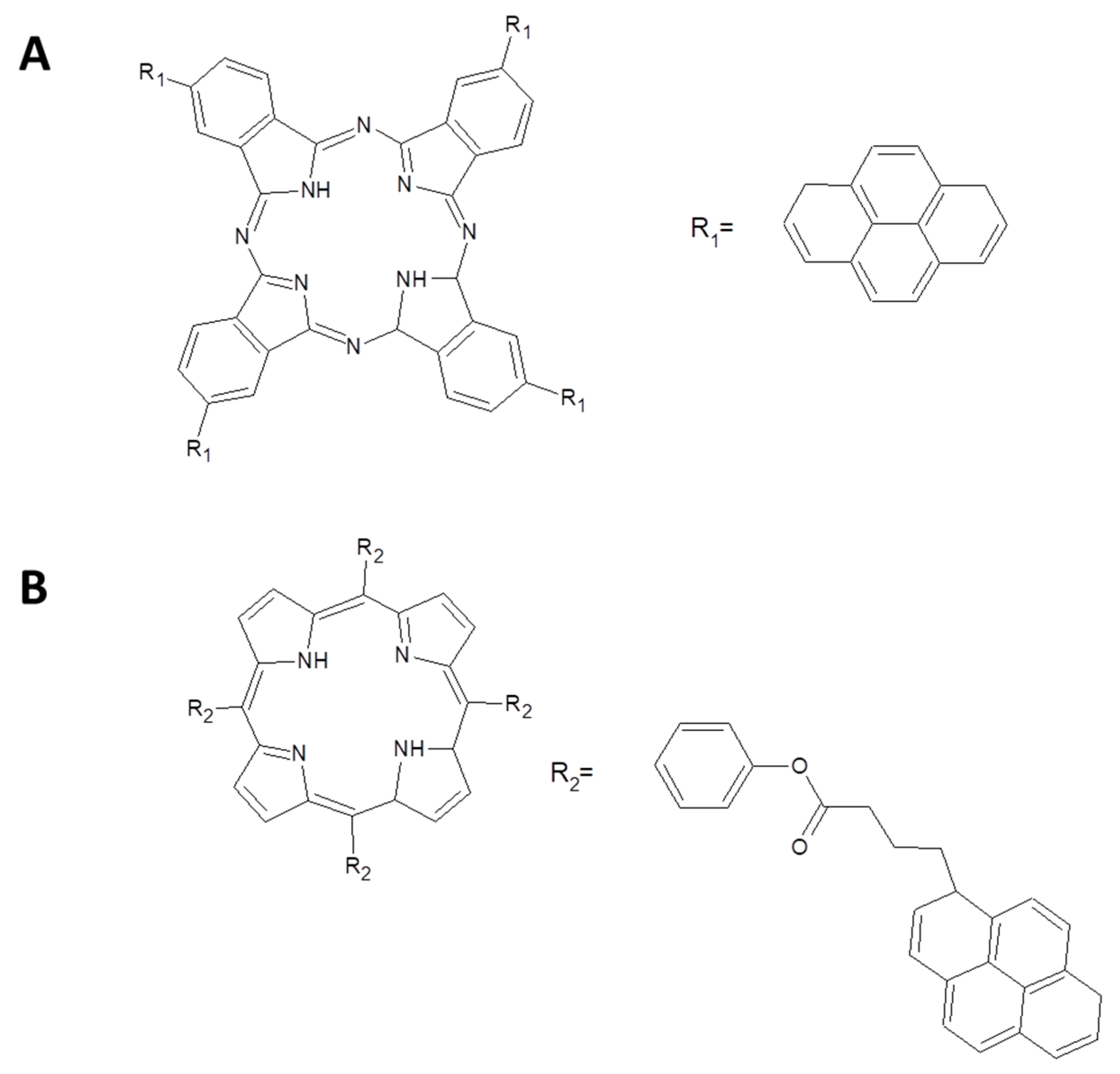
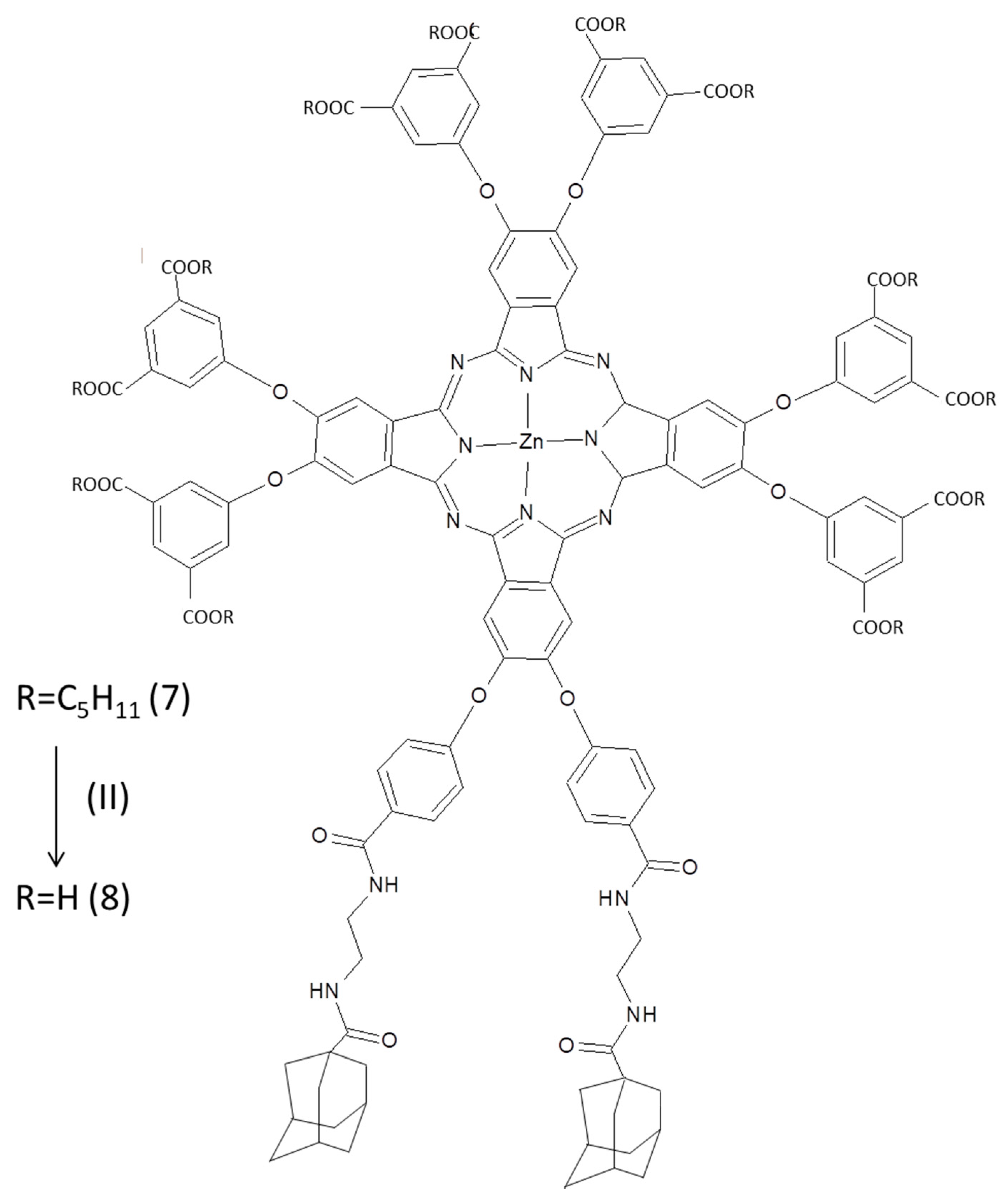
3. Pcs-Based Supramolecular Assemblies for Photovoltaic Applications
4. Pcs-Based Supramolecular Assemblies for Photocatalyst Applications
5. Pcs-Based Supramolecular Assemblies for Photodynamic Therapy (PDT) Applications
6. Conclusions
Funding
Conflicts of Interest
References
- Auyeung, E.; Morris, W.; Mondloch, J.E.; Hupp, J.T.; Farha, O.K.; Mirkin, C.A. Controlling Structure and Porosity in Catalytic Nanoparticle Superlattices with DNA. J. Am. Chem. Soc. 2015, 137, 1658–1662. [Google Scholar] [CrossRef] [PubMed]
- Torsi, L.; Farinola, G.M.; Marinelli, F.; Tanese, M.C.; Omar, O.H.; Valli, L.; Babudri, F.; Palmisano, F.; Zambonin, P.G.; Naso, F. A sensitivity-enhanced field-effect chiral sensor. Nat. Mater. 2008, 7, 412–417. [Google Scholar] [CrossRef] [PubMed]
- Horn, D.; Rieger, J. Organic Nanoparticles in the Aqueous Phase—Theory, Experiment, and Use. Angew. Chem. Int. Ed. 2001, 40, 4330. [Google Scholar] [CrossRef]
- Bettini, S.; Bonfrate, V.; Madaghiele, M.; Salvatore, L.; Syrgiannis, Z.; Giancane, G.; Valli, L. On-Demand Release of Hydrosoluble Drugs from a Paramagnetic Porous Collagen-Based Scaffold. Chem. A Eur. J. 2016, 23, 1338–1345. [Google Scholar] [CrossRef]
- Li, K.; Liu, B. Polymer-encapsulated organic nanoparticles for fluorescence and photoacoustic imaging. Chem. Soc. Rev. 2014, 43, 6570–6597. [Google Scholar] [CrossRef]
- Conoci, S.; Guldi, D.M.; Nardis, S.; Paolesse, R.; Kordatos, K.; Prato, M.; Ricciardi, G.; Vicente, M.G.H.; Zilbermann, I.; Valli, L. Langmuir-Shäfer Transfer of Fullerenes and Porphyrins: Formation, Deposition, and Application of Versatile Films. Chem. A Eur. J. 2004, 10, 6523–6530. [Google Scholar] [CrossRef]
- Anaya-Plaza, E.; Oliva, M.M.; Kunzmann, A.; Romero-Nieto, C.; Costa, R.D.; De La Escosura, A.; Guldi, D.M.; Torres, T. Quaternized Pyridyloxy Phthalocyanines Render Aqueous Electron-Donor Carbon Nanotubes as Unprecedented Supramolecular Materials for Energy Conversion. Adv. Funct. Mater. 2015, 25, 7418–7427. [Google Scholar] [CrossRef]
- Bussetti, G.; Violante, A.; Yivlialin, R.; Cirilli, S.; Bonanni, B.; Chiaradia, P.; Goletti, C.; Tortora, L.; Paolesse, R.; Martinelli, E.; et al. Site-Sensitive Gas Sensing and Analyte Discrimination in Langmuir−Blodgett Porphyrin Films. J. Phys. Chem. C 2011, 115, 8189–8194. [Google Scholar] [CrossRef]
- Kim, H.-J.; Lee, J.-S.; Kim, T.-H.; Lee, T.S.; Kim, J. Highly Emissive Self-assembled Organic Nanoparticles having Dual Color Capacity for Targeted Immunofluorescence Labeling. Adv. Mater. 2008, 20, 1117–1121. [Google Scholar] [CrossRef]
- Royston, E.; Ghosh, A.; Kofinas, P.; Harris, M.T.; Culver, J.N. Self-Assembly of Virus-Structured High Surface Area Nanomaterials and Their Application as Battery Electrodes. Langmuir 2008, 24, 906–912. [Google Scholar] [CrossRef]
- Valli, L.; Giancane, G.; Mazzaglia, A.; Scolaro, L.M.; Conoci, S.; Sortino, S. Photoresponsive multilayer films by assembling cationic amphiphilic cyclodextrins and anionic porphyrins at the air/water interface. J. Mater. Chem. 2007, 17, 1660–1663. [Google Scholar] [CrossRef]
- Nyokong, T. Electronic Spectral and Electrochemical Behavior of Near Infrared Absorbing Metallophthalocyanines. Family Medicine 2009, 135, 45–87. [Google Scholar] [CrossRef]
- Yılmaz, F.; Özer, M.; Kani, I.; Bekaroğlu, Ö. Catalytic Activity of a Thermoregulated, Phase-Separable Pd(II)-perfluoroalkylphthalocyanine Complex in an Organic/Fluorous Biphasic System: Hydrogenation of Olefins. Catal. Lett. 2009, 130, 642–647. [Google Scholar] [CrossRef]
- Blanco-Gómez, A.; Cortón, P.; Barravecchia, L.; Neira, I.; Pazos, E.; Peinador, C.; García, M.D. Controlled binding of organic guests by stimuli-responsive macrocycles. Chem. Soc. Rev. 2020, 49, 3834–3862. [Google Scholar] [CrossRef]
- Ariga, K.; Li, M.; Richards, G.J.; Hill, J.P. Nanoarchitectonics: A conceptual paradigm for design and synthesis of dimension-controlled functional nanomaterials. J. Nanosci. Nanotechnol. 2011, 11, 1–13. [Google Scholar] [CrossRef] [PubMed]
- Đorđević, L.; Marangoni, T.; Liu, M.; De Zorzi, R.; Geremia, S.; Minoia, A.; Lazzaroni, R.; Ishida, Y.; Bonifazi, D. Templating Porphyrin Anisotropy via Magnetically Aligned Carbon Nanotubes. ChemPlusChem 2019, 84, 1270–1278. [Google Scholar] [CrossRef]
- Iglesias, M.G.; Peuntinger, K.; Kahnt, A.; Krausmann, J.; Vázquez, P.; González-Rodríguez, D.; Guldi, D.M.; Torres, T. Supramolecular Assembly of Multicomponent Photoactive Systems via Cooperatively Coupled Equilibria. J. Am. Chem. Soc. 2013, 135, 19311–19318. [Google Scholar] [CrossRef]
- Hunt, J.N.; Feldman, K.E.; Lynd, N.A.; Deek, J.; Campos, L.M.; Spruell, J.M.; Hernandez, B.M.; Kramer, E.J.; Hawker, C.J. Tunable, High Modulus Hydrogels Driven by Ionic Coacervation. Adv. Mater. 2011, 23, 2327–2331. [Google Scholar] [CrossRef]
- Manno, D.; Rella, R.; Troisi, L.; Valli, L. Langmuir-Blodgett films of Cu(II)-tetrakis (3,3-dimethylbutoxycarbonyl) phthalocyanine: A spectrophotometric and TEM analysis of their structure and morphology. Thin Solid Films 1996, 280, 249–255. [Google Scholar] [CrossRef]
- Apetrei, C.; Casilli, S.; De Luca, M.; Valli, L.; Jiang, J.; Rodriguez-Mendez, M.L.; De Saja, J. Spectroelectrochemical characterisation of Langmuir–Schaefer films of heteroleptic phthalocyanine complexes. Potential applications. Colloids Surfaces A: Physicochem. Eng. Asp. 2006, 284, 574–582. [Google Scholar] [CrossRef]
- Bettini, S.; Syrgiannis, Z.; Pagano, R.; Dordevic, L.; Salvatore, L.; Prato, M.; Giancane, G.; Valli, L. Perylene Bisimide Aggregates as Probes for Subnanomolar Discrimination of Aromatic Biogenic Amines. ACS Appl. Mater. Interfaces 2019, 11, 17079–17089. [Google Scholar] [CrossRef] [PubMed]
- Yasu, Y.; Inagaki, A.; Akita, M. Synthesis of trinuclear Pd–Ru–Pd porphyrin complexes with axially ligated Pd centers. Prominent metal-to-ligand charge transfer band in the visible region. J. Organomet. Chem. 2014, 753, 48–54. [Google Scholar] [CrossRef]
- Barin, G.; Frasconi, M.; Dyar, S.M.; Iehl, J.; Buyukcakir, O.; Sarjeant, A.A.; Carmieli, R.; Coskun, A.; Wasielewski, M.R.; Stoddart, J.F. Redox-Controlled Selective Docking in a [2]Catenane Host. J. Am. Chem. Soc. 2013, 135, 2466–2469. [Google Scholar] [CrossRef] [PubMed]
- Pérez-Gutiérrez, E.; Ceron, M.; Santos, P.; Ceballos, P.; Venkatesan, P.; Thamotharan, S.; Bernal-Pinilla, W.; Barbosa-García, O.; Percino, M.J.; Perumal, V.; et al. Film morphology of acrylonitrile materials deposited by a solution process and vacuum evaporation. Supramolecular interactions, optoelectronic properties and an approximation by computational calculations. New J. Chem. 2019, 43, 15513–15524. [Google Scholar] [CrossRef]
- Pigot, C.; Dumur, F. Recent Advances of Hierarchical and Sequential Growth of Macromolecular Organic Structures on Surface. Materials 2019, 12, 662. [Google Scholar] [CrossRef] [PubMed]
- Bertolani, A.; Pirrie, L.; Stefan, L.; Houbenov, N.; Haataja, J.S.; Catalano, L.; Terraneo, G.; Giancane, G.; Valli, L.; Milani, R.; et al. Supramolecular amplification of amyloid self-assembly by iodination. Nat. Commun. 2015, 6, 7574. [Google Scholar] [CrossRef] [PubMed]
- Arrigoni, C.; Schull, G.; Bléger, D.; Douillard, L.; Fiorini-Debuisschert, C.; Mathevet, F.; Kreher, D.; Attias, A.-J.; Charra, F. Structure and Epitaxial Registry on Graphite of a Series of Nanoporous Self-Assembled Molecular Monolayers. J. Phys. Chem. Lett. 2009, 1, 190–194. [Google Scholar] [CrossRef]
- Jana, A.; Ishida, M.; Kwak, K.; Sung, Y.M.; Kim, D.S.; Lynch, V.M.; Lee, D.; Kim, D.; Sessler, J.L. Comparative Electrochemical and Photophysical Studies of Tetrathiafulvalene-Annulated Porphyrins and Their ZnIIComplexes: The Effect of Metalation and Structural Variation. Chem. A Eur. J. 2012, 19, 338–349. [Google Scholar] [CrossRef]
- Volpati, D.; Aléssio, P.; Zanfolim, A.A.; Storti, F.C.; Job, A.E.; Ferreira, M.; Riul, A.; Oliveira, O.N.; Constantino, C.J.L. Exploiting Distinct Molecular Architectures of Ultrathin Films Made with Iron Phthalocyanine for Sensing. J. Phys. Chem. B 2008, 112, 15275–15282. [Google Scholar] [CrossRef]
- Hosseini, A.; Taylor, S.; Accorsi, G.; Armaroli, N.; Reed, C.A.; Boyd, P.D.W. Calix[4]arene-Linked Bisporphyrin Hosts for Fullerenes: Binding Strength, Solvation Effects, and Porphyrin−Fullerene Charge Transfer Bands. J. Am. Chem. Soc. 2006, 128, 15903–15913. [Google Scholar] [CrossRef]
- Yang, M.-X.; Tang, Q.; Wang, Q.; Tao, Z.; Xiao, X.; Huang, Y.; Yang, M. pH-stimulus response dye-cucurbituril sensor for amino acids in aqueous solution. Spectrochim. Acta Part A Mol. Biomol. Spectrosc. 2020, 230, 118076. [Google Scholar] [CrossRef] [PubMed]
- Ming, S.; Feng, Z.; Mo, D.; Wang, Z.; Lin, K.; Lu, B.; Xu, J. Solvent effects on electrosynthesis, morphological and electrochromic properties of a nitrogen analog of PEDOT. Phys. Chem. Chem. Phys. 2016, 18, 5129–5138. [Google Scholar] [CrossRef] [PubMed]
- Kasperski, A.; Nieckarz, D.; Szabelski, P. Structure formation in adsorbed overlayers comprising functional cross-shaped molecules: A Monte Carlo study. Surf. Sci. 2015, 641, 269–277. [Google Scholar] [CrossRef]
- Kam, A.; Aroca, R.; Duff, J.; Tripp, C.P. Evolution of the Molecular Organization in Bis(n-propylimido)perylene Films under Thermal Annealing. Chem. Mater. 1998, 10, 172–176. [Google Scholar] [CrossRef]
- Aléssio, P.; Constantino, C.J.L.; Job, A.E.; Aroca, R.; González, E.R.P. Molecular architecture of thin films fabricated via physical vapor deposition and containing a poly(azo)urethane. J. Nanosci. Nanotechnol. 2010, 10, 3012–3021. [Google Scholar] [CrossRef]
- Bottari, G.; De La Torre, G.; Torres, T. Phthalocyanine–Nanocarbon Ensembles: From Discrete Molecular and Supramolecular Systems to Hybrid Nanomaterials. Accounts Chem. Res. 2015, 48, 900–910. [Google Scholar] [CrossRef]
- Mitsunaga, M.; Ogawa, M.; Kosaka, N.; Rosenblum, L.T.; Choyke, P.L.; Kobayashi, H. Cancer cell–selective in vivo near infrared photoimmunotherapy targeting specific membrane molecules. Nat. Med. 2011, 17, 1685–1691. [Google Scholar] [CrossRef]
- Khoza, P.; Nyokong, T. Photocatalytic behaviour of zinc tetraamino phthalocyanine-silver nanoparticles immobilized on chitosan beads. J. Mol. Catal. A Chem. 2015, 399, 25–32. [Google Scholar] [CrossRef]
- Sgobba, V.; Giancane, G.; Cannoletta, D.; Operamolla, A.; Omar, O.H.; Farinola, G.M.; Guldi, D.M.; Valli, L. Langmuir–Schaefer Films for Aligned Carbon Nanotubes Functionalized with a Conjugate Polymer and Photoelectrochemical Response Enhancement. ACS Appl. Mater. Interfaces 2013, 6, 153–158. [Google Scholar] [CrossRef]
- Tang, H.; Yin, H.; Wang, J.; Yang, N.; Wang, D.; Tang, Z. Molecular Architecture of Cobalt Porphyrin Multilayers on Reduced Graphene Oxide Sheets for High-Performance Oxygen Reduction Reaction. Angew. Chem. Int. Ed. 2013, 52, 5585–5589. [Google Scholar] [CrossRef]
- Anaya-Plaza, E.; Van De Winckel, E.; Mikkilä, J.; Malho, J.-M.; Ikkala, O.; Gulias, O.; Bresolí-Obach, R.; Agut, M.; Nonell, S.; Torres, T.; et al. Photoantimicrobial Biohybrids by Supramolecular Immobilization of Cationic Phthalocyanines onto Cellulose Nanocrystals. Chem. A Eur. J. 2017, 23, 4320–4326. [Google Scholar] [CrossRef] [PubMed]
- Pais, V.F.; Carvalho, E.F.; Tome, J.P.C.; Pischel, U. Supramolecular control of phthalocyanine dye aggregation. Supramol. Chem. 2014, 26, 642–647. [Google Scholar] [CrossRef]
- Li, Z.; Zhang, Y.-M.; Chen, Y.; Liu, Y. A Supramolecular Tubular Nanoreactor. Chem. A Eur. J. 2014, 20, 8566–8570. [Google Scholar] [CrossRef] [PubMed]
- Takezawa, Y.; Shionoya, M. Metal-Mediated DNA Base Pairing: Alternatives to Hydrogen-Bonded Watson–Crick Base Pairs. Accounts Chem. Res. 2012, 45, 2066–2076. [Google Scholar] [CrossRef] [PubMed]
- Weijer, R.; Broekgaarden, M.; Kos, M.; Van Vught, R.; Rauws, E.A.; Breukink, E.; Van Gulik, T.M.; Storm, G.; Heger, M. Enhancing photodynamic therapy of refractory solid cancers: Combining second-generation photosensitizers with multi-targeted liposomal delivery. J. Photochem. Photobiol. C Photochem. Rev. 2015, 23, 103–131. [Google Scholar] [CrossRef]
- Tombe, S.; Chidawanyika, W.; Antunes, E.; Priniotakis, G.; Westbroek, P.; Nyokong, T. Physicochemical behavior of zinc tetrakis (benzylmercapto) phthalocyanine when used to functionalize gold nanoparticles and in electronspun fibers. J. Photochem. Photobiol. A Chem. 2012, 240, 50–58. [Google Scholar] [CrossRef]
- Ke, M.-R.; Yeung, S.-L.; Fong, W.-P.; Ng, D.K.P.; Lo, P.-C. A Phthalocyanine-Peptide Conjugate with High in Vitro Photodynamic Activity and Enhanced in Vivo Tumor-Retention Property. Chem. A Eur. J. 2012, 18, 4225–4233. [Google Scholar] [CrossRef]
- El-Refaey, A.; Shaban, S.Y.; El-Kemary, M.; El-Khouly, M.E. A light harvesting perylene derivative–zinc phthalocyanine complex in water: Spectroscopic and thermodynamic studies. Photochem. Photobiol. Sci. 2017, 16, 861–869. [Google Scholar] [CrossRef]
- Kondo, K.; Akita, M.; Yoshizawa, M. Solubility Switching of Metallophthalocyanines and Their Larger Derivatives upon Encapsulation. Chem. A Eur. J. 2016, 22, 1937–1940. [Google Scholar] [CrossRef]
- Schaming, D.; Allain, C.; Farha, R.; Goldmann, M.; Lobstein, S.; Giraudeau, A.; Hasenknopf, B.; Ruhlmann, L. Synthesis and Photocatalytic Properties of Mixed Polyoxometalate−Porphyrin Copolymers Obtained from Anderson-Type Polyoxomolybdates. Langmuir 2010, 26, 5101–5109. [Google Scholar] [CrossRef]
- Mikkilä, J.; Anaya-Plaza, E.; Liljeström, V.; Castón, J.R.; Torres, T.; De La Escosura, A.; Kostiainen, M.A. Hierarchical Organization of Organic Dyes and Protein Cages into Photoactive Crystals. ACS Nano 2015, 10, 1565–1571. [Google Scholar] [CrossRef] [PubMed]
- Jiang, Y.; Liu, C.; Wang, X.; Wanga, T.; Jiang, J. Fluorescent Phthalocyanine Assembly Distinguishes Chiral Isomers of Different Types of Amino Acids and Sugars. Langmuir 2017, 33, 7239–7247. [Google Scholar] [CrossRef] [PubMed]
- Rella, R.; Serra, A.; Siciliano, P.A.; Tepore, A.; Valli, L.; Zocco, A. NO2 gas detection by Langmuir-Blodgett films of copper phthalocyanine multilayer structures. Supramol. Sci. 1997, 4, 461–464. [Google Scholar] [CrossRef]
- Da Ros, T.; Prato, M.; Carano, M.; Ceroni, P.; Paolucci, F.; Roffia, S.; Valli, L.; Guldi, D. Synthesis, electrochemistry, Langmuir–Blodgett deposition and photophysics of metal-coordinated fullerene–porphyrin dyads. J. Organomet. Chem. 2000, 599, 62–68. [Google Scholar] [CrossRef]
- Zhu, C.; Zhuo, S.; Zheng, H.; Chen, J.; Li, D.; Li, S.; Xu, J.-G. Determination of nucleic acids based on shifting the association equilibrium between tetracarboxy aluminum phthalocyanine and poly-lysine. Spectrochim. Acta Part A Mol. Biomol. Spectrosc. 2005, 61, 743–748. [Google Scholar] [CrossRef]
- Gurrieri, S.; Aliffi, A.; Bellacchio, E.; Lauceri, R.; Purrello, R. Spectroscopic characterization of porphyrin supramolecular aggregates on poly-lysine and their application to quantitative DNA determination. Inorganica Chim. Acta 1999, 286, 121–126. [Google Scholar] [CrossRef]
- Achadu, O.J.; Nyokong, T. Fluorescence “turn-ON” nanosensor for cyanide ion using supramolecular hybrid of graphene quantum dots and cobalt pyrene-derivatized phthalocyanine. Dye. Pigment. 2019, 160, 328–335. [Google Scholar] [CrossRef]
- Giancane, G.; Valli, L. State of art in porphyrin Langmuir–Blodgett films as chemical sensors. Adv. Colloid Interface Sci. 2012, 17–35. [Google Scholar] [CrossRef]
- Giancane, G.; Valli, L.; Sortino, S. Dual-Function Multilayers for the Photodelivery of Nitric Oxide and Singlet Oxygen. ChemPhysChem 2009, 10, 3077–3082. [Google Scholar] [CrossRef]
- Hiroto, S.; Miyake, Y.; Shinokubo, H. Synthesis and Functionalization of Porphyrins through Organometallic Methodologies. Chem. Rev. 2016, 117, 2910–3043. [Google Scholar] [CrossRef]
- De La Escosura, A.; Martínez-Díaz, M.V.; Guldi, D.M.; Torres, T. Stabilization of Charge-Separated States in Phthalocyanine−Fullerene Ensembles through Supramolecular Donor−Acceptor Interactions. J. Am. Chem. Soc. 2006, 128, 4112–4118. [Google Scholar] [CrossRef] [PubMed]
- Guldi, D.M.; Zilbermann, I.; Gouloumis, A.; Vázquez, P.; Torres, T. Metallophthalocyanines: Versatile Electron-Donating Building Blocks for Fullerene Dyads. J. Phys. Chem. B 2004, 108, 18485–18494. [Google Scholar] [CrossRef]
- Hill, I.; Kahn, A.; Soos, Z.; Pascal, J.R. Charge-separation energy in films of π-conjugated organic molecules. Chem. Phys. Lett. 2000, 327, 181–188. [Google Scholar] [CrossRef]
- Tong, B.; Yang, H.; Xiong, W.; Xie, F.; Shi, J.; Zhi, J.; Chan, W.K.; Dong, Y. Controlled Fabrication and Optoelectrical Properties of Metallosupramolecular Films Based on Ruthenium(II) Phthalocyanines and 4,4′-Bipyridine Covalently Anchored on Inorganic Substrates. J. Phys. Chem. B 2013, 117, 5338–5344. [Google Scholar] [CrossRef]
- Lemaur, V.; Steel, M.; Beljonne, D.; Bredas, J.-L.; Cornil, J. Photoinduced Charge Generation and Recombination Dynamics in Model Donor/Acceptor Pairs for Organic Solar Cell Applications: A Full Quantum-Chemical Treatment. J. Am. Chem. Soc. 2005, 127, 6077–6086. [Google Scholar] [CrossRef]
- Modugno, G.; Syrgiannis, Z.; Bonasera, A.; Carraro, M.; Giancane, G.; Valli, L.; Bonchio, M.; Prato, M. The supramolecular design of low-dimensional carbon nano-hybrids encoding a polyoxometalate-bis-pyrene tweezer. Chem. Commun. 2014, 50, 4881–4883. [Google Scholar] [CrossRef]
- Hardin, B.E.; Hoke, E.T.; Armstrong, P.B.; Yum, J.-H.; Comte, P.; Torres, T.; Fréchet, J.M.J.; Nazeeruddin, K.; Grätzel, M.; McGehee, M.D. Increased light harvesting in dye-sensitized solar cells with energy relay dyes. Nat. Photon. 2009, 3, 406–411. [Google Scholar] [CrossRef]
- O’Regan, B.; López-Duarte, I.; Martínez-Díaz, M.V.; Forneli, A.; Albero, J.; Morandeira, A.; Palomares, E.; Torres, T.; Durrant, J.R. Catalysis of Recombination and Its Limitation on Open Circuit Voltage for Dye Sensitized Photovoltaic Cells Using Phthalocyanine Dyes. J. Am. Chem. Soc. 2008, 130, 2906–2907. [Google Scholar] [CrossRef]
- Seitz, W.; Jiménez, Á.J.; Carbonell, E.; Grimm, B.; Rodríguez-Morgade, M.S.; Guldi, D.M.; Torres, T. Synthesis and photophysical properties of a hydrogen-bonded phthalocyanine–perylenediimideassembly. Chem. Commun. 2010, 46, 127–129. [Google Scholar] [CrossRef]
- Rodriguez-Morgade, M.S.; Torres, T.; Atienza-Castellanos, C.; Guldi, D.M. Supramolecular Bis(rutheniumphthalocyanine)−Perylenediimide Ensembles: Simple Complexation as a Powerful Tool toward Long-Lived Radical Ion Pair States. J. Am. Chem. Soc. 2006, 128, 15145–15154. [Google Scholar] [CrossRef]
- Jiménez, Á.J.; Calderón, R.M.K.; Rodríguez-Morgade, M.S.; Guldi, D.M.; Torres, T. Synthesis, characterization and photophysical properties of a melamine-mediated hydrogen-bound phthalocyanine–perylenediimide assembly. Chem. Sci. 2013, 4, 1064–1074. [Google Scholar] [CrossRef]
- Céspedes-Guirao, F.J.; Ohkubo, K.; Fukuzumi, S.; Fernández-Lázaro, F.; Sastre-Santos, Á. Supramolecular Zinc Phthalocyanine-Imidazolyl Perylenediimide Dyad and Triad: Synthesis, Complexation, and Photophysical Studies. Chem. Asian J. 2011, 6, 3110–3121. [Google Scholar] [CrossRef] [PubMed]
- Bettini, S.; Valli, L.; Santino, A.; Martinelli, C.; Farinola, G.M.; Cardone, A.; Sgobba, V.; Giancane, G. Spectroscopic investigations, characterization and chemical sensor application of composite Langmuir–Schäfer films of anthocyanins and oligophenylenevinylene derivatives. Dye. Pigment. 2012, 94, 156–162. [Google Scholar] [CrossRef]
- Bettini, S.; Sawalha, S.; Carbone, L.; Giancane, G.; Prato, M.; Valli, L. Carbon nanodot-based heterostructures for improving the charge separation and the photocurrent generation. Nanoscale 2019, 11, 7414–7423. [Google Scholar] [CrossRef]
- Bettini, S.; Syrgiannis, Z.; Ottolini, M.; Bonfrate, V.; Giancane, G.; Valli, L.; Prato, M. Supramolecular Chiral Discrimination of D-Phenylalanine Amino Acid Based on a Perylene Bisimide Derivative. Front. Bioeng. Biotechnol. 2020, 8, 160. [Google Scholar] [CrossRef]
- Panda, D.K.; Goodson, F.S.; Ray, S.; Saha, S. Dye-sensitized solar cells based on multichromophoric supramolecular light-harvesting materials. Chem. Commun. 2014, 50, 5358–5360. [Google Scholar] [CrossRef]
- Qi, D.; Zhang, L.; Wan, L.; Zhao, L.; Jiang, J. Design of a Universal Reversible Bidirectional Current Switch Based on the Fullerene–Phthalocyanine Supramolecular System. J. Phys. Chem. A 2012, 116, 6785–6791. [Google Scholar] [CrossRef]
- Ray, A.; Santhosh, K.; Bhattacharya, S. Absorption spectrophotometric, fluorescence, transient absorption and quantum chemical investigations on fullerene/phthalocyanine supramolecular complexes. Spectrochim. Acta Part A Mol. Biomol. Spectrosc. 2011, 78, 1364–1375. [Google Scholar] [CrossRef]
- Ray, A.; Santhosh, K.; Bhattacharya, S. Photophysical and Theoretical Insights on Fullerene/Zincphthalocyanine Supramolecular Interaction in Solution. J. Phys. Chem. B 2012, 116, 11979–11998. [Google Scholar] [CrossRef]
- Ray, A.; Pal, H.; Bhattacharya, S. Photophysical investigations on supramolecular fullerene/phthalocyanine charge transfer interactions in solution. Spectrochim. Acta Part A Mol. Biomol. Spectrosc. 2014, 117, 686–695. [Google Scholar] [CrossRef]
- Nefedova, I.V.; Martynov, A.G.; Averin, A.A.; Kirakosyan, G.A.; Tsivadze, A.Y.; Birin, K.P. New Octopus-like Phthalocyanines as Fullerene Receptors: Synthesis and Photophysical Investigation. Isr. J. Chem. 2015, 56, 181–187. [Google Scholar] [CrossRef]
- Jurow, M.; Varotto, A.; Manichev, V.; Travlou, N.A.; Giannakoudakis, D.A.; Drain, C.M. Self-organized nanostructured materials of alkylated phthalocyanines and underivatized C60 on ITO. RSC Adv. 2013, 3, 21360. [Google Scholar] [CrossRef]
- Varotto, A.; Todaro, L.; Vinodu, M.; Koehne, J.; Liu, G.-Y.; Drain, C.M. Self-organization of a new fluorous porphyrin and C60 films on indium-tin-oxide electrode. Chem. Commun. 2008, 11, 4921–4923. [Google Scholar] [CrossRef] [PubMed]
- Kawashima, Y.; Ohkubo, K.; Blas-Ferrando, V.M.; Sakai, H.; Font-Sanchis, E.; Ortiz, J.; Fernández-Lázaro, F.; Hasobe, T.; Sastre-Santos, Á.; Fukuzumi, S. Near-Infrared Photoelectrochemical Conversion via Photoinduced Charge Separation in Supramolecular Complexes of Anionic Phthalocyanines with Li+@C60. J. Phys. Chem. B 2015, 119, 7690–7697. [Google Scholar] [CrossRef]
- Lederer, M.; Hahn, U.; Strub, J.-M.; Cianferani, S.; Van Dorsselaer, A.; Nierengarten, J.-F.; Torres, T.; Guldi, D.M. Probing Supramolecular Interactions between a Crown Ether Appended Zinc Phthalocyanine and an Ammonium Group Appended to a C60 Derivative. Chem. A Eur. J. 2016, 22, 2051–2059. [Google Scholar] [CrossRef] [PubMed]
- Silvestri, F.; López-Duarte, I.; Seitz, W.; Beverina, L.; Martínez-Díaz, M.V.; Marks, T.J.; Guldi, D.M.; Pagani, G.A.; Torres, T. A squaraine–phthalocyanine ensemble: Towards molecular panchromatic sensitizers in solar cells. Chem. Commun. 2009, 4500–4502. [Google Scholar] [CrossRef] [PubMed]
- Zhang, J.; Li, Y.; Wang, L.; Fujiki, M.; Li, X.; Zhang, Z.; Zhang, W.; Zhou, N.; Zhu, X. Supramolecular self-assembly and photovoltaic property of soluble fluorogallium phthalocyanine. RSC Adv. 2014, 4, 29485–29492. [Google Scholar] [CrossRef]
- Maggini, M.; Scorrano, G.; Prato, M. Addition of azomethine ylides to C60: Synthesis, characterization, and functionalization of fullerene pyrrolidines. J. Am. Chem. Soc. 1993, 115, 9798–9799. [Google Scholar] [CrossRef]
- Koeppe, R.; Sariciftci, N.S.; Troshin, P.A.; Lyubovskaya, R.N. Complexation of pyrrolidinofullerenes and zinc-phthalocyanine in a bilayer organic solar cell structure. Appl. Phys. Lett. 2005, 87, 244102. [Google Scholar] [CrossRef]
- Koeppe, R.; Troshin, P.A.; Fuchsbauer, A.; Lyubovskaya, R.N.; Sariciftci, N.S. Photoluminescence Studies on the Supramolecular Interactions Between a Pyrollidinofullerene and Zinc? Phthalocyanine Used in Organic Solar Cells. Full-Nanotub. Carbon Nanostructures 2006, 14, 441–446. [Google Scholar] [CrossRef]
- Troshin, P.A.; Koeppe, R.; Peregudov, A.S.; Peregudova, S.M.; Egginger, M.; Lyubovskaya, R.N.; Sariciftci, N.S. Supramolecular Association of Pyrrolidinofullerenes Bearing Chelating Pyridyl Groups and Zinc Phthalocyanine for Organic Solar Cells. Chem. Mater. 2007, 19, 5363–5372. [Google Scholar] [CrossRef]
- Rio, Y.; Seitz, W.; Gouloumis, A.; Vázquez, P.; Sessler, J.L.; Guldi, D.M.; Torres, T. A Panchromatic Supramolecular Fullerene-Based Donor-Acceptor Assembly Derived from a Peripherally Substituted Bodipy-Zinc Phthalocyanine Dyad. Chem. A Eur. J. 2010, 16, 1929–1940. [Google Scholar] [CrossRef] [PubMed]
- Chen, X.-F.; El-Khouly, M.E.; Ohkubo, K.; Fukuzumi, S.; Ng, D.K.P. Assemblies of Boron Dipyrromethene/Porphyrin, Phthalocyanine, and C60 Moieties as Artificial Models of Photosynthesis: Synthesis, Supramolecular Interactions, and Photophysical Studies. Chem. A Eur. J. 2018, 24, 3862–3872. [Google Scholar] [CrossRef] [PubMed]
- Suanzes, J.A.; Chaurasia, S.; Calderon, R.M.K.; Guldi, D.M.; Bottari, G.; Torres, T. Phthalocyanine-corannulene conjugates: Synthesis, complexation studies with a pyridyl-functionalized C60 fullerene, and photophysical properties. J. Porphyrins Phthalocyanines 2020, 24, 410–415. [Google Scholar] [CrossRef]
- Das, S.K.; Mahler, A.; Wilson, A.K.; D’Souza, F. High-Potential Perfluorinated Phthalocyanine-Fullerene Dyads for Generation of High-Energy Charge-Separated States: Formation and Photoinduced Electron-Transfer Studies. ChemPhysChem 2014, 15, 2462–2472. [Google Scholar] [CrossRef]
- D’Souza, F.; Maligaspe, E.; Ohkubo, K.; Zandler, M.E.; Subbaiyan, N.K.; Fukuzumi, S. Photosynthetic Reaction Center Mimicry: Low Reorganization Energy Driven Charge Stabilization in Self-Assembled Cofacial Zinc Phthalocyanine Dimer−Fullerene Conjugate. J. Am. Chem. Soc. 2009, 131, 8787–8797. [Google Scholar] [CrossRef]
- D’Souza, F.; Chitta, R.; Gadde, S.; Rogers, L.M.; Karr, P.A.; Zandler, M.E.; Sandanayaka, A.S.D.; Araki, Y.; Ito, O. Photosynthetic Reaction Center Mimicry of a “Special Pair” Dimer Linked to Electron Acceptors by a Supramolecular Approach: Self-Assembled Cofacial Zinc Porphyrin Dimer Complexed with Fullerene(s). Chem. A Eur. J. 2007, 13, 916–922. [Google Scholar] [CrossRef]
- Ballesteros, B.; De La Torre, G.; Torres, T.; Hug, G.L.; Rahman, G.A.; Guldi, D.M. Synthesis and photophysical characterization of a titanium(IV) phthalocyanine–C60 supramolecular dyad. Tetrahedron 2006, 62, 2097–2101. [Google Scholar] [CrossRef]
- Lehmann, M.; DeChant, M.; Holzapfel, M.; Schmiedel, A.; Lambert, C. Fullerene-Filled Liquid-Crystal Stars: A Supramolecular Click Mechanism for the Generation of Tailored Donor-Acceptor Assemblies. Angew. Chem. Int. Ed. 2019, 58, 3610–3615. [Google Scholar] [CrossRef]
- Guldi, D.M.; Gouloumis, A.; Vázquez, P.; Torres, T.; Georgakilas, V.; Prato, M. Nanoscale Organization of a Phthalocyanine−Fullerene System: Remarkable Stabilization of Charges in Photoactive 1-D Nanotubules. J. Am. Chem. Soc. 2005, 127, 5811–5813. [Google Scholar] [CrossRef]
- KC, C.B.; Das, S.K.; Ohkubo, K.; Fukuzumi, S.; D’Souza, F. Ultrafast charge separation in supramolecular tetrapyrrole–graphene hybrids. Chem. Commun. 2012, 48, 11859. [Google Scholar] [CrossRef] [PubMed]
- El-Khouly, M.E.; Fukuzumi, S. Light harvesting a gold porphyrin–zinc phthalocyanine supramolecular donor–acceptor dyad. Photochem. Photobiol. Sci. 2016, 15, 1340–1346. [Google Scholar] [CrossRef] [PubMed]
- Kojima, T.; Honda, T.; Ohkubo, K.; Shiro, M.; Kusukawa, T.; Fukuda, T.; Kobayashi, N.; Fukuzumi, S. A Discrete Supramolecular Conglomerate Composed of Two Saddle-Distorted Zinc(II)-Phthalocyanine Complexes and a Doubly Protonated Porphyrin with Saddle Distortion Undergoing Efficient Photoinduced Electron Transfer. Angew. Chem. Int. Ed. 2008, 47, 6712–6716. [Google Scholar] [CrossRef] [PubMed]
- Maligaspe, E.; Kumpulainen, T.; Lemmetyinen, H.; Tkachenko, N.V.; Subbaiyan, N.K.; Zandler, M.E.; D’Souza, F. Ultrafast Singlet−Singlet Energy Transfer in Self-Assembled via Metal−Ligand Axial Coordination of Free-Base Porphyrin−Zinc Phthalocyanine and Free-Base Porphyrin−Zinc Naphthalocyanine Dyads. J. Phys. Chem. A 2010, 114, 268–277. [Google Scholar] [CrossRef] [PubMed]
- Menting, R.; Lau, J.T.F.; Xu, H.; Ng, D.K.P.; Röder, B.; Ermilov, E.A. Formation and photoinduced processes of a self-assembled subphthalocyanine–porphyrin–phthalocyanine supramolecular complex. Chem. Commun. 2012, 48, 4597. [Google Scholar] [CrossRef] [PubMed]
- Menting, R.; Ng, D.K.P.; Ermilov, E.A.; Röder, B. Sequential energy and charge transfer processes in mixed host–guest complexes of subphthalocyanine, porphyrin and phthalocyanine chromophores. Phys. Chem. Chem. Phys. 2012, 14, 14573. [Google Scholar] [CrossRef]
- Subbaiyan, N.K.; D’Souza, F. Light-to-electron converting panchromatic supramolecular solar cells of phthalocyanine–porphyrin heterodimers adsorbed onto nanocrystalline SnO2 electrodes. Chem. Commun. 2012, 48, 3641. [Google Scholar] [CrossRef]
- Spänig, F.; López-Duarte, I.; Fischer, M.K.R.; Martínez-Díaz, M.V.; Bäuerle, P.; Torres, T.; Guldi, D.M. Charge and energy transfer processes in ruthenium(II) phthalocyanine based electron donor–acceptor materials—Implications for solar cell performance. J. Mater. Chem. 2011, 21, 1395–1403. [Google Scholar] [CrossRef]
- Kawata, T.; Chino, Y.; Kobayashi, N.; Kimura, M. Increased Light-Harvesting in Dye-Sensitized Solar Cells through Förster Resonance Energy Transfer within Supramolecular Dyad Systems. Langmuir 2018, 34, 7294–7300. [Google Scholar] [CrossRef]
- Bartelmess, J.; Ehli, C.; Cid, J.-J.; Iglesias, M.G.; Vázquez, P.; Torres, T.; Guldi, D.M. Screening interactions of zinc phthalocyanine–PPV oligomers with single wall carbon nanotubes—a comparative study. J. Mater. Chem. 2011, 21, 8014. [Google Scholar] [CrossRef]
- Kobashi, K.; Sekiguchi, A.; Yamada, T.; Muroga, S.; Okazaki, T. Dispersions of High-Quality Carbon Nanotubes with Narrow Aggregate Size Distributions by Viscous Liquid for Conducting Polymer Composites. ACS Appl. Nano Mater. 2020, 3, 1391–1399. [Google Scholar] [CrossRef]
- Lucas, A.; Zakri, C.; Maugey, M.; Pasquali, M.; Van Der Schoot, P.; Poulin, P. Kinetics of Nanotube and Microfiber Scission under Sonication. J. Phys. Chem. C 2009, 113, 20599–20605. [Google Scholar] [CrossRef]
- Das, S.K.; Subbaiyan, N.K.; D’Souza, F.; Sandanayaka, A.S.D.; Wakahara, T.; Ito, O. Formation and photoinduced properties of zinc porphyrin-SWCNT and zinc phthalocyanine-SWCNT nanohybrids using diameter sorted nanotubes assembled via metal-ligand coordination and π–π stacking. J. Porphyrins Phthalocyanines 2011, 15, 1033–1043. [Google Scholar] [CrossRef]
- Hahn, U.; Engmann, S.; Oelsner, C.; Ehli, C.; Guldi, D.M.; Torres, T. Immobilizing Water-Soluble Dendritic Electron Donors and Electron Acceptors—Phthalocyanines and Perylenediimides—Qnto Single Wall Carbon Nanotubes. J. Am. Chem. Soc. 2010, 132, 6392–6401. [Google Scholar] [CrossRef] [PubMed]
- D’Souza, F.; Chitta, R.; Sandanayaka, A.S.D.; Subbaiyan, N.K.; D’Souza, L.; Araki, Y.; Ito, O. Supramolecular Carbon Nanotube-Fullerene Donor−Acceptor Hybrids for Photoinduced Electron Transfer. J. Am. Chem. Soc. 2007, 129, 15865–15871. [Google Scholar] [CrossRef] [PubMed]
- López-Duarte, I.; Dieu, L.; Dolamic, I.; Martinez-Diaz, M.V.; Torres, T.; Calzaferri, G.; Brühwiler, D. On the Significance of the Anchoring Group in the Design of Antenna Materials Based on Phthalocyanine Stopcocks and Zeolite, L. Chem. A Eur. J. 2010, 17, 1855–1862. [Google Scholar] [CrossRef]
- Buccolieri, A.; Bettini, S.; Salvatore, L.; Baldassarre, F.; Ciccarella, G.; Giancane, G. Sub-nanomolar detection of biogenic amines by SERS effect induced by hairy Janus silver nanoparticles. Sensors Actuators B Chem. 2018, 267, 265–271. [Google Scholar] [CrossRef]
- Bettini, S.; Pagano, R.; Valli, L.; Giancane, G. Enhancement of Open Circuit Voltage of a ZnO-Based Dye-Sensitized Solar Cell by Means of Piezotronic Effect. Chem. Asian J. 2016, 11, 1240–1245. [Google Scholar] [CrossRef]
- Ray, A.; Bhattacharya, S. Chemical physics behind phthalocyanine–gold nanoparticle interaction and its effect over supramolecular interaction between PC70BM and phthalocyanine in solution. Chem. Phys. Lett. 2015, 639, 183–188. [Google Scholar] [CrossRef]
- Bettini, S.; Pagano, R.; Semeraro, P.; Ottolini, M.; Salvatore, L.; Marzo, F.; Lovergine, N.; Giancane, G.; Valli, L. SiO2-Coated ZnO Nanoflakes Decorated with Ag Nanoparticles for Photocatalytic Water Oxidation. Chem. A Eur. J. 2019, 25, 14123–14132. [Google Scholar] [CrossRef]
- Pagano, R.; Quarta, A.; Pal, S.; Licciulli, A.; Valli, L.; Bettini, S. Enhanced Solar-Driven Applications of ZnO@Ag Patchy Nanoparticles. J. Phys. Chem. C 2017, 121, 27199–27206. [Google Scholar] [CrossRef]
- Alencar, W.S.; Crespilho, F.N.; Martins, M.V.A.; Zucolotto, V.; Oliveira, J.O.N.; Silva, W.C. Synergistic interaction between gold nanoparticles and nickel phthalocyanine in layer-by-layer (LbL) films: Evidence of constitutional dynamic chemistry (CDC). Phys. Chem. Chem. Phys. 2009, 11, 5086–5091. [Google Scholar] [CrossRef] [PubMed]
- Alencar, W.S.; Crespilho, F.N.; Santos, M.; Zucolotto, V.; Oliveira, O.N.; Silva, W.C. Influence of Film Architecture on the Charge-Transfer Reactions of Metallophthalocyanine Layer-by-Layer Films. J. Phys. Chem. C 2007, 111, 12817–12821. [Google Scholar] [CrossRef]
- Abe, T.; Nagai, K.; Kaneko, M.; Okubo, T.; Sekimoto, K.; Tajiri, A.; Norimatsu, T. A Novel and Efficient System of a Visible-Light-Responsive Organic Photoelectrocatalyst Working in a Water Phase. ChemPhysChem 2004, 5, 716–720. [Google Scholar] [CrossRef] [PubMed]
- Abe, T.; Nagai, K.; Kabutomori, S.; Kaneko, M.; Tajiri, A.; Norimatsu, T. An Organic Photoelectrode Working in the Water Phase: Visible-Light-Induced Dioxygen Evolution by a Perylene Derivative/Cobalt Phthalocyanine Bilayer. Angew. Chem. Int. Ed. 2006, 45, 2778–2781. [Google Scholar] [CrossRef]
- Wang, H.; Zhao, L.; Liu, X.; Xu, J.; Hou, W.; Wang, J.; He, E.; Zhang, R.; Zhang, H. Novel hydrogen bonding composite based on copper phthalocyanine/perylene diimide derivatives p-n heterojunction with improved photocatalytic activity. Dye. Pigment. 2017, 137, 322–328. [Google Scholar] [CrossRef]
- Zheng, S.; Lu, J.; Shi, J.; Duan, X. Two-dimensional confined electron donor–acceptor co-intercalated inorganic/organic nanocomposites: An effective photocatalyst for dye degradation. RSC Adv. 2017, 7, 2789–2795. [Google Scholar] [CrossRef]
- Zhang, S.; Sakai, R.; Abe, T.; Iyoda, T.; Norimatsu, T.; Nagai, K. Photoelectrochemical and Photocatalytic Properties of Biphasic Organic p- and n-Type Semiconductor Nanoparticles Fabricated by a Reprecipitation Process. ACS Appl. Mater. Interfaces 2011, 3, 1902–1909. [Google Scholar] [CrossRef]
- Arunachalam, P.; Zhang, S.; Abe, T.; Komura, M.; Iyoda, T.; Nagai, K. Weak visible light (∼mW/cm2) organophotocatalysis for mineralization of amine, thiol and aldehyde by biphasic cobalt phthalocyanine/fullerene nanocomposites prepared by wet process. Appl. Catal. B Environ. 2016, 193, 240–247. [Google Scholar] [CrossRef]
- Regulska, E.; Karpińska, J.; Echegoyen, L.; Rivera-Nazario, D.M.; Plonska-Brzezinska, M.E. Enhanced Photocatalytic Performance of Porphyrin/Phthalocyanine and Bis (4-pyridyl)pyrrolidinofullerene modified Titania. ChemistrySelect 2017, 2, 2462–2470. [Google Scholar] [CrossRef]
- Ma, X.; Luo, M.; Yan, L.; Tang, N.; Li, J. Preparation of a magnetically recyclable visible-light-driven photocatalyst based on phthalocyanine and its visible light catalytic degradation of methyl orange and p-nitrophenol. New J. Chem. 2019, 43, 9589–9595. [Google Scholar] [CrossRef]
- Zvyagina, A.I.; Ezhov, A.A.; Meshkov, I.N.; Ivanov, V.K.; König, B.; Gorbunova, Y.G.; Arslanov, V.V.; Kalinina, M.A.; Birin, K.P.; König, B.; et al. Plasmon-enhanced light absorption at organic-coated interfaces: Collectivity matters. J. Mater. Chem. C 2018, 6, 1413–1420. [Google Scholar] [CrossRef]
- Mele, G.; Annese, C.; D’Accolti, L.; De Riccardis, A.; Fusco, C.; Palmisano, L.; Scarlino, A.; Vasapollo, G. Photoreduction of Carbon Dioxide to Formic Acid in Aqueous Suspension: A Comparison between Phthalocyanine/TiO2 and Porphyrin/TiO2 Catalysed Processes. Molecules 2014, 20, 396–415. [Google Scholar] [CrossRef] [PubMed]
- Liu, Q.; Wang, J.; Liu, N.; Li, R.; Peng, T. Photosensitization of zinc phthalocyanine bearing 15-crown-5 ether moieties on carbon nitride for H2 production: Effect of co-existing alkali metal ions. J. Power Sources 2018, 396, 57–63. [Google Scholar] [CrossRef]
- Prajapati, P.K.; Singh, H.; Yadav, R.; Sinha, A.K.; Szunerits, S.; Boukherroub, R.; Jain, S.L. Core-shell Ni/NiO grafted cobalt (II) complex: An efficient inorganic nanocomposite for photocatalytic reduction of CO2 under visible light irradiation. Appl. Surf. Sci. 2019, 370–381. [Google Scholar] [CrossRef]
- Giancane, G.; Syrgiannis, Z.; Bettini, S.; Valli, L.; Guerra, F.; Fraix, A.; Bucci, C.; Sortino, S.; Prato, M.; Sortino, S. Singlet oxygen photo-production by perylene bisimide derivative Langmuir-Schaefer films for photodynamic therapy applications. J. Colloid Interface Sci. 2019, 553, 390–401. [Google Scholar] [CrossRef]
- Sternberg, E.D.; Dolphin, D.; Brückner, C. Porphyrin-based photosensitizers for use in photodynamic therapy. Tetrahedron 1998, 54, 4151–4202. [Google Scholar] [CrossRef]
- Kwiatkowski, S.; Knap, B.; Przystupski, D.; Saczko, J.; Kędzierska, E.; Knap-Czop, K.; Kotlińska, J.; Michel, O.; Kotowski, K.; Kulbacka, J. Photodynamic therapy–mechanisms, photosensitizers and combinations. Biomed. Pharmacother. 2018, 106, 1098–1107. [Google Scholar] [CrossRef]
- Voskuhl, J.; Kauscher, U.; Gruener, M.; Frisch, H.; Wibbeling, B.; Strassert, C.A.; Ravoo, B.J. A soft supramolecular carrier with enhanced singlet oxygen photosensitizing properties. Soft Matter 2013, 9, 2453. [Google Scholar] [CrossRef]
- Kandoth, N.; Vittorino, E.; Sciortino, M.T.; Parisi, T.; Colao, I.; Mazzaglia, A.; Sortino, S. A Cyclodextrin-Based Nanoassembly with Bimodal Photodynamic Action. Chem. A Eur. J. 2011, 18, 1684–1690. [Google Scholar] [CrossRef]
- Mazzaglia, A.; Valerio, A.; Micali, N.; Villari, V.; Quaglia, F.; Castriciano, M.A.; Monsu′scolaro, L.; Giuffrè, M.; Siracusano, G.; Sciortino, M.T. Effective cell uptake of nanoassemblies of a fluorescent amphiphilic cyclodextrin and an anionic porphyrin. Chem. Commun. 2011, 47, 9140. [Google Scholar] [CrossRef] [PubMed]
- Uhlenheuer, D.A.; Wasserberg, D.; Haase, C.; Nguyen, H.D.; Schenkel, J.H.; Huskens, J.; Ravoo, B.J.; Jonkheijm, P.; Brunsveld, L. Directed Supramolecular Surface Assembly of SNAP-tag Fusion Proteins. Chem. A Eur. J. 2012, 18, 6788–6794. [Google Scholar] [CrossRef] [PubMed]
- Voskuhl, J.; Fenske, T.; Stuart, M.C.A.; Wibbeling, B.; Schmuck, C.; Ravoo, B.J. Molecular Recognition of Vesicles: Host-Guest Interactions Combined with Specific Dimerization of Zwitterions. Chem. A Eur. J. 2010, 16, 8300–8306. [Google Scholar] [CrossRef] [PubMed]
- Ogunsipe, A.; Chen, J.-Y.; Nyokong, T. Photophysical and photochemical studies of zinc(ii) phthalocyanine derivatives?effects of substituents and solvents. New J. Chem. 2004, 28, 822. [Google Scholar] [CrossRef]
- Ogunsipe, A.; Maree, D.; Nyokong, T. Solvent effects on the photochemical and fluorescence properties of zinc phthalocyanine derivatives. J. Mol. Struct. 2003, 650, 131–140. [Google Scholar] [CrossRef]
- Galstyan, A.; Kauscher, U.; Block, D.; Ravoo, B.J.; Strassert, C.A. Silicon(IV) Phthalocyanine-Decorated Cyclodextrin Vesicles as a Self-Assembled Phototherapeutic Agent against MRSA. ACS Appl. Mater. Interfaces 2016, 8, 12631–12637. [Google Scholar] [CrossRef]
- Voskuhl, J.; Stuart, M.C.A.; Ravoo, B.J. Sugar-Decorated Sugar Vesicles: Lectin-Carbohydrate Recognition at the Surface of Cyclodextrin Vesicles. Chem. A Eur. J. 2010, 16, 2790–2796. [Google Scholar] [CrossRef]
- Lau, J.T.F.; Lo, P.-C.; Tsang, Y.-M.; Fong, W.-P.; Ng, D.K.P. Unsymmetrical ?-cyclodextrin-conjugated silicon(iv) phthalocyanines as highly potent photosensitisers for photodynamic therapy. Chem. Commun. 2011, 47, 9657. [Google Scholar] [CrossRef]
- Jori, G.; Fabris, C.; Soncin, M.; Ferro, S.; Coppellotti, O.; Dei, D.; Fantetti, L.; Chiti, G.; Roncucci, G. Photodynamic therapy in the treatment of microbial infections: Basic principles and perspective applications. Lasers Surg. Med. 2006, 38, 468–481. [Google Scholar] [CrossRef]
- Falvey, P.; Lim, C.W.; Darcy, R.; Revermann, T.; Karst, U.; Giesbers, M.; Marcelis, A.T.M.; Lazar, A.; Coleman, A.W.; Reinhoudt, D.N.; et al. Bilayer Vesicles of Amphiphilic Cyclodextrins: Host Membranes That Recognize Guest Molecules. Chem. A Eur. J. 2005, 11, 1171–1180. [Google Scholar] [CrossRef]
- Kandoth, N.; Kirejev, V.; Monti, S.; Gref, R.; Ericson, M.; Sortino, S. Two-Photon Fluorescence Imaging and Bimodal Phototherapy of Epidermal Cancer Cells with Biocompatible Self-Assembled Polymer Nanoparticles. Biomacromolecules 2014, 15, 1768–1776. [Google Scholar] [CrossRef] [PubMed]
- Gidwani, B.; Vyas, A. Synthesis, characterization and application of Epichlorohydrin-β-cyclodextrin polymer. Colloids Surfaces B Biointerfaces 2014, 114, 130–137. [Google Scholar] [CrossRef] [PubMed]
- Othman, M.; Bouchemal, K.; Couvreur, P.; Desmaële, D.; Morvan, E.; Pouget, T.; Gref, R.; Patrick, C. A comprehensive study of the spontaneous formation of nanoassemblies in water by a “lock-and-key” interaction between two associative polymers. J. Colloid Interface Sci. 2011, 354, 517–527. [Google Scholar] [CrossRef] [PubMed]
- Fraix, A.; Kandoth, N.; Manet, I.; Cardile, V.; Graziano, A.C.E.; Gref, R.; Sortino, S. An engineered nanoplatform for bimodal anticancer phototherapy with dual-color fluorescence detection of sensitizers. Chem. Commun. 2013, 49, 4459. [Google Scholar] [CrossRef] [PubMed]
- Howe, L.; Zhang, J.Z. Ultrafast Studies of Excited-State Dynamics of Phthalocyanine and Zinc Phthalocyanine Tetrasulfonate in Solution. J. Phys. Chem. A 1997, 101, 3207–3213. [Google Scholar] [CrossRef]
- Fraix, A.; Gref, R.; Sortino, S. A multi-photoresponsive supramolecular hydrogel with dual-color fluorescence and dual-modal photodynamic action. J. Mater. Chem. B 2014, 2, 3443–3449. [Google Scholar] [CrossRef]
- Edgar, C.D.; Gray, D.G. Smooth model cellulose I surfaces from nanocrystal suspensions. Cellulose 2003, 10, 299–306. [Google Scholar] [CrossRef]
- Carpenter, B.L.; Feese, E.; Sadeghifar, H.; Argyropoulos, D.S.; Ghiladi, R.A. Porphyrin-Cellulose Nanocrystals: A Photobactericidal Material that Exhibits Broad Spectrum Antimicrobial Activity†. Photochem. Photobiol. 2012, 88, 527–536. [Google Scholar] [CrossRef]
- Drogat, N.; Granet, R.; Sol, V.; Le Morvan, C.; Bégaud-Grimaud, G.; Lallouet, F.; Krausz, P. Cellulose nanocrystals: A new chlorin carrier designed for photodynamic therapy: Synthesis, characterization and potent anti-tumoural activity. Photodiagnosis Photodyn. Ther. 2011, 8, 157. [Google Scholar] [CrossRef]
- Liu, Z.; Wang, D.; Sun, X.; Sun, Q.; Wu, Y.; Xu, Y. Construction and Characterization of Phthalocyanine-Loaded Particles of Curdlan and Their Photosensitivity. Int. J. Mol. Sci. 2018, 19, 3323. [Google Scholar] [CrossRef]
- Yoshiba, K.; Okamoto, S.; Dobashi, T.; Oku, H.; Christensen, B.E.; Sato, T. Effects of carboxylation of the side chains on the order-disorder transition in aqueous solution of schizophyllan, a triple helical polysaccharide. Carbohydr. Polym. 2017, 168, 79–85. [Google Scholar] [CrossRef]
- Ma, Y.; Nolte, R.J.; Cornelissen, J.J. Virus-based nanocarriers for drug delivery. Adv. Drug Deliv. Rev. 2012, 64, 811–825. [Google Scholar] [CrossRef] [PubMed]
- Luque, D.; De La Escosura, A.; Snijder, J.; Brasch, M.; Burnley, R.J.; Koay, M.S.T.; Carrascosa, J.L.; Wuite, G.J.; Roos, W.H.; Heck, A.J.R.; et al. Self-assembly and characterization of small and monodisperse dye nanospheres in a protein cage. Chem. Sci. 2014, 5, 575–581. [Google Scholar] [CrossRef]
- Brasch, M.; De La Escosura, A.; Ma, Y.; Uetrecht, C.; Heck, A.J.R.; Torres, T.; Cornelissen, J.J.L.M. Encapsulation of Phthalocyanine Supramolecular Stacks into Virus-like Particles. J. Am. Chem. Soc. 2011, 133, 6878–6881. [Google Scholar] [CrossRef]
- Stephanopoulos, N.; Carrico, Z.M.; Francis, M.B. Nanoscale Integration of Sensitizing Chromophores and Porphyrins with Bacteriophage MS2. Angew. Chem. Int. Ed. 2009, 48, 9498–9502. [Google Scholar] [CrossRef] [PubMed]
- Prasuhn, D.E.; Kuzelka, J.; Strable, E.; Udit, A.K.; Cho, S.-H.; Lander, G.C.; Quispe, J.D.; Diers, J.R.; Bocian, D.F.; Potter, C.; et al. Polyvalent Display of Heme on Hepatitis B Virus Capsid Protein through Coordination to Hexahistidine Tags. Chem. Boil. 2008, 15, 513–519. [Google Scholar] [CrossRef] [PubMed][Green Version]
- Endo, M.; Fujitsuka, M.; Majima, T. Porphyrin Light-Harvesting Arrays Constructed in the Recombinant Tobacco Mosaic Virus Scaffold. Chem. A Eur. J. 2007, 13, 8660–8666. [Google Scholar] [CrossRef]
- Heck, A.J.R. Native mass spectrometry: A bridge between interactomics and structural biology. Nat. Methods 2008, 5, 927–933. [Google Scholar] [CrossRef]
- Nyokong, T. Effects of substituents on the photochemical and photophysical properties of main group metal phthalocyanines. Co-ord. Chem. Rev. 2007, 251, 1707–1722. [Google Scholar] [CrossRef]
- Zeng, Q.; Wen, H.; Wen, Q.; Chen, X.; Wang, Y.; Xuan, W.; Liang, J.; Wan, S. Cucumber mosaic virus as drug delivery vehicle for doxorubicin. Biomaterials 2013, 34, 4632–4642. [Google Scholar] [CrossRef]
- Nishiyama, N.; Jang, W.D.; Kataoka, K. Supramolecular nanocarriers integrated with dendrimers encapsulating photosensitizers for effective photodynamic therapy and photochemical gene delivery. New J. Chem. 2007, 31, 1074–1082. [Google Scholar] [CrossRef]
- Nishiyama, N.; Nakagishi, Y.; Morimoto, Y.; Lai, P.-S.; Miyazaki, K.; Urano, K.; Horie, S.; Kumagai, M.; Fukushima, S.; Cheng, Y.; et al. Enhanced photodynamic cancer treatment by supramolecular nanocarriers charged with dendrimer phthalocyanine. J. Control. Release 2009, 133, 245–251. [Google Scholar] [CrossRef] [PubMed]
- Jang, W.-D.; Nakagishi, Y.; Nishiyama, N.; Kawauchi, S.; Morimoto, Y.; Kikuchi, M.; Kataoka, K. Polyion complex micelles for photodynamic therapy: Incorporation of dendritic photosensitizer excitable at long wavelength relevant to improved tissue-penetrating property. J. Control. Release 2006, 113, 73–79. [Google Scholar] [CrossRef] [PubMed]
- Li, Y.; Jang, W.-D.; Nishiyama, N.; Kishimura, A.; Kawauchi, S.; Morimoto, Y.; Miake, S.; Yamashita, T.; Kikuchi, M.; Aida, T.; et al. Dendrimer Generation Effects on Photodynamic Efficacy of Dendrimer Porphyrins and Dendrimer-Loaded Supramolecular Nanocarriers. Chem. Mater. 2007, 19, 5557–5562. [Google Scholar] [CrossRef]
- Jang, W.-D.; Nishiyama, N.; Zhang, G.-D.; Harada, A.; Jiang, D.-L.; Kawauchi, S.; Morimoto, Y.; Kikuchi, M.; Koyama, H.; Aida, T.; et al. Supramolecular Nanocarrier of Anionic Dendrimer Porphyrins with Cationic Block Copolymers Modified with Polyethylene Glycol to Enhance Intracellular Photodynamic Efficacy. Angew. Chem. Int. Ed. 2005, 44, 419–423. [Google Scholar] [CrossRef]
- Lu, X.; Zhu, W.; Chen, T.; Peng, Q.; Yu, C.; Yang, M. Exploration of photophysical and photochemical properties of Zinc phthalocyanine-loaded SDC/TPGS mixed micelles. Chem. Phys. Lett. 2019, 735, 136737. [Google Scholar] [CrossRef]
- Lapshina, M.A.; Ustyugov, A.; Baulin, V.; Terentiev, A.; Tsivadze, A.; Goldshleger, N.F. Crown- and phosphoryl-containing metal phthalocyanines in solutions of poly(N-vinylpyrrolidone): Supramolecular organization, accumulation in cells, photo-induced generation of reactive oxygen species, and cytotoxicity. J. Photochem. Photobiol. B Boil. 2020, 202, 111722. [Google Scholar] [CrossRef]
- Cheng, H.-B.; Li, X.; Kwon, N.; Fang, Y.; Baek, G.; Yoon, J. Photoswitchable phthalocyanine-assembled nanoparticles for controlled “double-lock” photodynamic therapy. Chem. Commun. 2019, 55, 12316–12319. [Google Scholar] [CrossRef]
- Cheng, H.-B.; Zhang, Y.-M.; Xu, C.; Liu, Y. Photoresponsive Supramolecular Complexes as Efficient DNA Regulator. Sci. Rep. 2014, 4, 1–6. [Google Scholar] [CrossRef]
- Chen, X.-W.; Ke, M.-R.; Li, X.-S.; Lan, W.-L.; Zhang, M.-F.; Huang, J.-D. Synthesis, Supramolecular Behavior, and in Vitro Photodynamic Activities of Novel Zinc(II) Phthalocyanines “Side-strapped” with Crown Ether Bridges. Chem. Asian J. 2013, 8, 3063–3070. [Google Scholar] [CrossRef]
- Bilgiçli, A.T.; Bilgiçli, H.G.; Günsel, A.; Pişkin, H.; Tüzün, B.; Yarasir, M.N.; Zengin, M. The new ball-type zinc phthalocyanine with S S bridge; Synthesis, computational and photophysicochemical properties. J. Photochem. Photobiol. A Chem. 2020, 389, 112287. [Google Scholar] [CrossRef]
- Engelkamp, H. Self-Assembly of Disk-Shaped Molecules to Coiled-Coil Aggregates with Tunable Helicity. Science 1999, 284, 785–788. [Google Scholar] [CrossRef] [PubMed]
- Li, D.; Wang, X.-Z.; Yang, L.-F.; Li, S.-C.; Hu, Q.-Y.; Li, X.; Zheng, B.-Y.; Ke, M.-R.; Huang, J.-D. Size-Tunable Targeting-Triggered Nanophotosensitizers Based on Self-Assembly of a Phthalocyanine–Biotin Conjugate for Photodynamic Therapy. ACS Appl. Mater. Interfaces 2019, 11, 36435–36443. [Google Scholar] [CrossRef] [PubMed]
- Li, X.; Kim, C.-Y.; Lee, S.; Lee, D.; Chung, H.-M.; Kim, G.; Heo, S.-H.; Hong, K.-S.; Yoon, J.; Kim, C. Nanostructured Phthalocyanine Assemblies with Protein-Driven Switchable Photoactivities for Biophotonic Imaging and Therapy. J. Am. Chem. Soc. 2017, 139, 10880–10886. [Google Scholar] [CrossRef]
- Ren, W.X.; Han, J.; Uhm, S.; Jang, Y.J.; Kang, C.; Kim, J.-H.; Kim, J.S. Recent development of biotin conjugation in biological imaging, sensing, and target delivery. Chem. Commun. 2015, 51, 10403–10418. [Google Scholar] [CrossRef]
- Chen, X.; Wu, S.; Ma, N.; Chen, J.; Guo, Q.; Han, X.; Chen, K.; Yang, H.; Huang, Y.; Peng, Y.; et al. A polyfluoroalkyl substituted phthalocyanine based supramolecular light switch for photothermal and photodynamic antibacterial activity against Escherichia coli. Chem. Commun. 2018, 54, 13279–13282. [Google Scholar] [CrossRef]
- Nwahara, N.; Nkhahle, R.; Ngoy, B.P.; Mack, J.; Nyokong, T. Synthesis and photophysical properties of BODIPY-decorated graphene quantum dot–phthalocyanine conjugates. New J. Chem. 2018, 42, 6051–6061. [Google Scholar] [CrossRef]
- Dong, J.; Wang, K.; Sun, L.; Sun, B.; Yang, M.; Chen, H.; Wang, Y.; Sun, J.; Dong, L. Application of graphene quantum dots for simultaneous fluorescence imaging and tumor-targeted drug delivery. Sensors Actuators B Chem. 2018, 256, 616–623. [Google Scholar] [CrossRef]
- Qu, D.; Zheng, M.; Du, P.; Zhou, Y.; Zhang, L.; Li, D.; Tan, H.; Zhao, Z.; Xie, Z.; Sun, Z. Highly luminescent S, N co-doped graphene quantum dots with broad visible absorption bands for visible light photocatalysts. Nanoscale 2013, 5, 12272–12277. [Google Scholar] [CrossRef]
- Sahoo, A.K.; Kanchi, S.; Mandal, T.; Dasgupta, C.; Maiti, P.K. Translocation of Bioactive Molecules through Carbon Nanotubes Embedded in the Lipid Membrane. ACS Appl. Mater. Interfaces 2018, 10, 6168–6179. [Google Scholar] [CrossRef]
- Fomo, G.; Achadu, O.J.; Nyokong, T. One-pot synthesis of graphene quantum dots–phthalocyanines supramolecular hybrid and the investigation of their photophysical properties. J. Mater. Sci. 2017, 53, 538–548. [Google Scholar] [CrossRef]
- Guo, Z.; Feng, Y.; Zhu, D.; He, S.; Liu, H.; Shi, X.; Sun, J.; Qu, M. Light-Switchable Single-Walled Carbon Nanotubes Based on Host-Guest Chemistry. Adv. Funct. Mater. 2013, 23, 5010–5018. [Google Scholar] [CrossRef]
- Moon, H.K.; Lee, S.H.; Choi, H.C. In Vivo Near-Infrared Mediated Tumor Destruction by Photothermal Effect of Carbon Nanotubes. ACS Nano 2009, 3, 3707–3713. [Google Scholar] [CrossRef] [PubMed]
- Liang, R.; You, S.; Ma, L.; Li, C.; Tian, R.; Wei, M.; Yan, D.; Yin, M.; Yang, W.; Evans, D.G.; et al. A supramolecular nanovehicle toward systematic, targeted cancer and tumor therapy. Chem. Sci. 2015, 6, 5511–5518. [Google Scholar] [CrossRef]
- Bettini, S.; Giancane, G.; Pagano, R.; Bonfrate, V.; Salvatore, L.; Madaghiele, M.; Buccolieri, A.; Manno, D.; Serra, A.; Maruccio, G.; et al. A simple approach to synthetize folic acid decorated magnetite@SiO2 nanostructures for hyperthermia applications. J. Mater. Chem. B 2017, 5, 7547–7556. [Google Scholar] [CrossRef]
- Zhou, H.; Jiao, P.; Yang, L.; Li, X.; Yan, B. Enhancing Cell Recognition by Scrutinizing Cell Surfaces with a Nanoparticle Array. J. Am. Chem. Soc. 2011, 133, 680–682. [Google Scholar] [CrossRef]
- Li, X.; Yu, S.; Lee, D.; Kim, G.; Lee, B.; Cho, Y.; Zheng, B.-Y.; Ke, M.-R.; Huang, J.-D.; Nam, K.T.; et al. Facile Supramolecular Approach to Nucleic-Acid-Driven Activatable Nanotheranostics That Overcome Drawbacks of Photodynamic Therapy. ACS Nano 2017, 12, 681–688. [Google Scholar] [CrossRef]




































| Foreign Substances | Maximum Concentration (ng mL−1) | Relative Error Caused (%) |
|---|---|---|
| Ba2+(Cl−) | 500 | −4.1 |
| Mn2+(Cl−) | 200 | −2.2 |
| Fe3+(Cl−) | 200 | −5.0 |
| Mg2+(Cl−) | 100 | −3.1 |
| Zn2+(Cl−) | 50 | −4.8 |
| Cd2+(Cl−) | 50 | −4.1 |
| Ca2+(Cl−) | 50 | −4.2 |
| Hg2+(Cl−) | 30 | −3.9 |
| Co2+(Cl−) | 15 | −4.5 |
| dl-α-Aminopropionic acid | 8000 | +4.8 |
| l-Phenylalanine | 2000 | −4.5 |
| Glysine | 2000 | −4.6 |
| l-Lyrosine | 2000 | +3.4 |
| l-Arginine | 2000 | −4.9 |
| γ-IgG | 500 | −3.6 |
| HAS | 200 | +4.9 |
| BSA | 200 | −4.8 |
| CTAB | 400 | −5.0 |
| SDBS | 400 | −1.7 |
| Triton X-100 | 400 | −0.2 |
© 2020 by the authors. Licensee MDPI, Basel, Switzerland. This article is an open access article distributed under the terms and conditions of the Creative Commons Attribution (CC BY) license (http://creativecommons.org/licenses/by/4.0/).
Share and Cite
Bettini, S.; Valli, L.; Giancane, G. Applications of Photoinduced Phenomena in Supramolecularly Arranged Phthalocyanine Derivatives: A Perspective. Molecules 2020, 25, 3742. https://doi.org/10.3390/molecules25163742
Bettini S, Valli L, Giancane G. Applications of Photoinduced Phenomena in Supramolecularly Arranged Phthalocyanine Derivatives: A Perspective. Molecules. 2020; 25(16):3742. https://doi.org/10.3390/molecules25163742
Chicago/Turabian StyleBettini, Simona, Ludovico Valli, and Gabriele Giancane. 2020. "Applications of Photoinduced Phenomena in Supramolecularly Arranged Phthalocyanine Derivatives: A Perspective" Molecules 25, no. 16: 3742. https://doi.org/10.3390/molecules25163742
APA StyleBettini, S., Valli, L., & Giancane, G. (2020). Applications of Photoinduced Phenomena in Supramolecularly Arranged Phthalocyanine Derivatives: A Perspective. Molecules, 25(16), 3742. https://doi.org/10.3390/molecules25163742
