5,8-Quinolinedione Scaffold as a Promising Moiety of Bioactive Agents
Abstract
1. Introduction
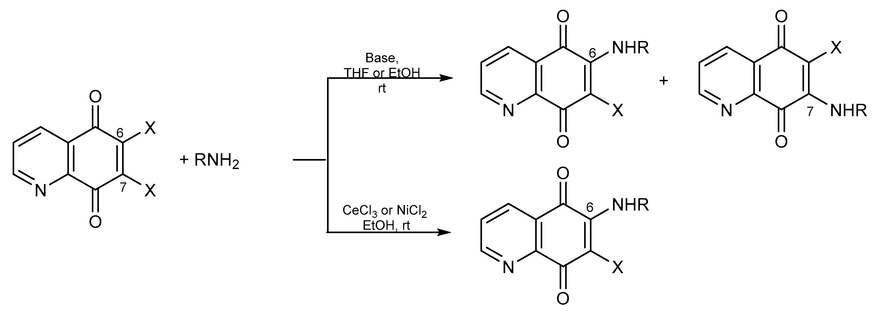
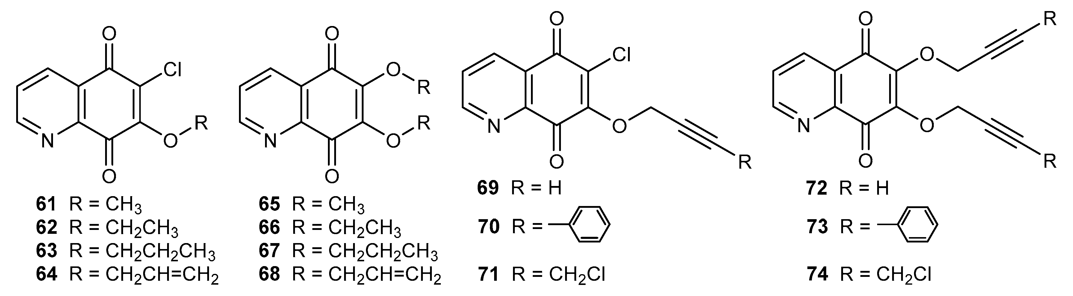
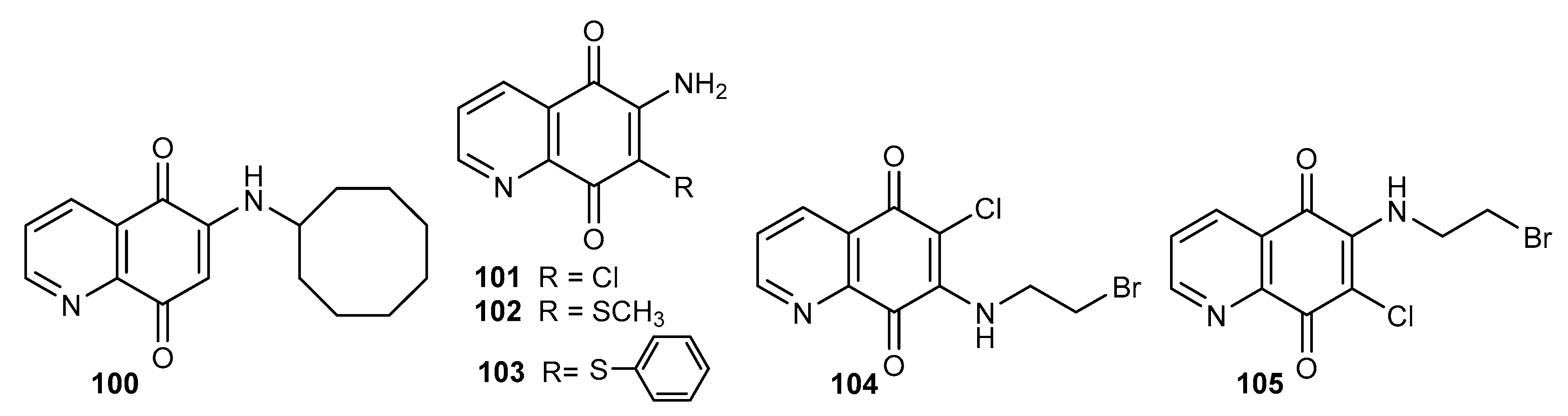
2. Synthesis of 5,8-Quinolinedione Compounds
3. Biological Activity
3.1. Anticancer Activity
3.2. Antimicrobial Activity
3.3. Anti-HIV Activity
4. Conclusions
Author Contributions
Funding
Conflicts of Interest
References
- Nepal, K.K.; Wang, G. Streptomycetes: Surrogate hosts for the genetic manipulation of biosynthetic gene clusters and production of natural products. Biotechnol. Adv. 2019, 37, 1–20. [Google Scholar] [CrossRef] [PubMed]
- Rao, K.V.; Cullen, W.P. Streptonigrin, an antitumor substance. I. Isolation and characterization. Antibiot. Annu. 1959, 7, 950–953. [Google Scholar] [PubMed]
- Kudrina, E.S.; Ol’khovatova, O.L.; Murav’eva, L.I.; Gauze, G.F. Systematic position and variability of the producent of antitumor antibiotic bruneomycin. Antibiotiki (Mocsow) 1966, 11, 400–405. [Google Scholar]
- Societe des Usines Chemiques Rhone-Poulenc. British Patent 8,722,61, 5 July 1961.
- Rao, K.V.; Biemann, K.; Woodward, R.B. The structure of Streptonigrin. J. Am. Chem. Soc. 1963, 85, 2532–2533. [Google Scholar] [CrossRef]
- Chiu, Y.Y.; Lipscomb, W.N. Molecular and crystal structure of Streptonigrin. J. Am. Chem. Soc. 1975, 97, 2525–2530. [Google Scholar] [CrossRef]
- Weinreb, S.M.; Basha, F.Z.; Hibino, S.; Khatri, N.A.; Kim, D.; Pye, W.E.; Wu, T.T. Total synthesis of the antitumor antibiotic streptonigrin. J. Am. Chem. Soc. 1982, 104, 536–544. [Google Scholar] [CrossRef]
- Kende, A.S.; Lorah, D.P.; Boatman, R.J. A new and efficient total synthesis of Streptonigrin. J. Am. Chem. Soc. 1981, 103, 1271–1273. [Google Scholar] [CrossRef]
- Bringmann, G.; Reichert, Y.; Kane, V.V. The total synthesis of streptonigrin and related antitumor antibiotic natural products. Tetrahedron 2004, 60, 3539–3574. [Google Scholar] [CrossRef]
- Balitz, D.M.; Bush, J.A.; Bradner, W.T.; Doyle, T.W.; O’Herron, F.A.; Nettleton, D.E. Isolation of lavendamycin, a new antibiotic from Streptomyces lavendulae. J. Antibiot. (Tokyo) 1982, 35, 259–265. [Google Scholar] [CrossRef]
- Herlt, A.J.; Rickards, R.W.; Wu, J.P. The structure of streptonigrone, and a comment on the biosynthesis of the streptonigrin antibiotics. J. Antibiot. (Tokyo) 1985, 38, 516–518. [Google Scholar] [CrossRef]
- Pearce, A.N.; Chia, E.W.; Berridge, M.V.; Clark, G.R.; Harper, J.L.; Larsen, L.; Maas, E.W.; Page, M.J.; Perry, N.B.; Webb, V.L.; et al. Anti-inflammatory thiazine alkaloids isolated from the New Zealand ascidian Aplidium sp.: Inhibitors of the neutrophil respiratory burst in a model of gouty arthritis. J. Nat. Prod. 2007, 70, 936–940. [Google Scholar] [CrossRef] [PubMed]
- Lam, C.F.; Pearce, A.N.; Tan, S.H.; Kaiser, M.; Copp, B.R. Discovery and evaluation of thiazinoquinones as anti-protozoal agents. Mar. Drugs 2013, 11, 3472–3499. [Google Scholar] [CrossRef] [PubMed]
- Bolzán, A.D.; Bianchi, M.S. Genotoxicity of streptonigrin: A review. Mutat. Res. 2001, 488, 25–37. [Google Scholar] [CrossRef]
- Donohoe, T.J.; Jones, C.R.; Kornahrens, A.F.; Barbosa, L.C.A.; Walport, L.J.; Tatton, M.R.; O’Hagan, M.; Rathi, A.H.; Baker, D.B. Total synthesis of the antitumor antibiotic (±)-streptonigrin: First- and second-generation routes for de novo pyridine formation using ring-closing metathesis. J. Org. Chem. 2013, 78, 12338–12350. [Google Scholar] [CrossRef] [PubMed]
- Hassani, M.; Cai, W.; Holley, D.C.; Lineswala, J.P.; Maharjan, B.R.; Ebrahimian, G.R.; Seradj, H.; Stocksdale, M.G.; Mohammadi, F.; Marvin, C.C.; et al. Novel lavendamycin analogues as antitumor agents: Synthesis, in vitro cytotoxicity, structure-metabolism, and computational molecular modeling studies with NAD(P)H:quinone oxidoreductase 1. J. Med. Chem. 2005, 48, 7733–7749. [Google Scholar] [CrossRef] [PubMed]
- Cai, W.; Hassani, M.; Karki, R.; Walter, E.D.; Koelsch, K.H.; Seradj, H.; Lineswala, J.P.; Mirzaei, H.; York, J.S.; Olang, F.; et al. Synthesis, metabolism and in vitro cytotoxicity studies on novel lavendamycin antitumor agents. Bioorg. Med. Chem. 2010, 18, 1899–1909. [Google Scholar] [CrossRef]
- Boger, D.L.; Yasuda, M.; Mitscher, L.A.; Drake, S.D.; Kitos, P.A.; Thompson, S.C. Streptonigrin and lavendamycin partial structures. Probes for the minimum, potent pharmacophore of streptonigrin, lavendamycin, and synthetic quinoline-5,8-diones. J. Med. Chem. 1978, 30, 1918–1928. [Google Scholar] [CrossRef]
- Chan, B.K.; Ciufolini, M.A. Total synthesis of streptonigrone. J. Org. Chem. 2007, 72, 8489–8495. [Google Scholar] [CrossRef]
- Chia, E.W.; Pearce, A.N.; Berridge, M.V.; Larsen, L.; Perry, N.B.; Sansom, C.E.; Godfrey, C.A.; Hanton, L.R.; Lu, G.L.; Walton, M.; et al. Synthesis and anti-inflammatory structure–activity relationships of thiazine-quinoline-quinones: Inhibitors of the neutrophil respiratory burst in a model of acute gouty arthritis. Bioorg. Med. Chem. 2008, 16, 9432–9442. [Google Scholar] [CrossRef]
- Suh, M.E.; Kang, M.J.; Yoo, H.W.; Park, S.Y.; Lee, C.O. Synthesis and cytotoxicity of 2-methyl-1-substituted-imidazo [4,5-g]quinoline-4,9-dione and 7,8-dihydro-10H-[1,4]oxazino[3′,4′:2,3]imidazo[4,5-g]quinoline-5,12-dione derivatives. Bioorg. Med. Chem. 2000, 8, 2079–2083. [Google Scholar] [CrossRef]
- McBride, T.J.; Oleson, J.J.; Woolf, D. The activity of streptonigrin against the Rauscher murine leukemia virus in vivo. Cancer Res. 1966, 26, 727–732. [Google Scholar]
- Parkinson, E.; Bair, J.S.; Cismesia, M.; Hergenrother, P.J. Efficient NQO1 substrates are potent and selective anticancer agents. ACS Chem. Biol. 2013, 8, 2173–2183. [Google Scholar] [CrossRef] [PubMed]
- Kim, Y.S.; Park, S.Y.; Lee, H.J.; Suh, M.E.; Schollmeyer, D.; Lee, C.O. Synthesis and cytotoxicity of 6,11-dihydro-pyrido- and 6,11-dihydro-benzo[2,3-b]phenazine-6,11-dione derivatives. Bioorg. Med. Chem. 2003, 11, 1709–1714. [Google Scholar] [CrossRef]
- Kende, A.S.; Naegely, P.C. Total synthesis of the streptonigrin quinone carbon framework. Tetrahedron Lett. 1978, 19, 4775–4778. [Google Scholar] [CrossRef]
- Mulchin, B.J.; Newton, C.G.; Baty, J.W.; Grasso, C.H.; Martin, W.J.; Walton, M.C.; Dangerfield, E.M.; Plunkett, C.H.; Berridge, M.V.; Harper, J.L.; et al. The anti-cancer, anti-inflammatory and tuberculostatic activities of a series of 6,7-substituted-5,8-quinolinequinones. Bioorg. Med. Chem. 2010, 19, 3238–3251. [Google Scholar] [CrossRef] [PubMed]
- Kadela-Tomanek, M.; Pawełczak, B.; Jastrzębska, M.; Bębenek, E.; Chrobak, E.; Latocha, M.; Kusz, J.; Książek, M.; Boryczka, S. Structural, vibrational and quantum chemical investigations for 6,7-dichloro-2-methyl-5,8-quinolinedione. Cytotoxic and molecular docking studies. J. Mol. Struct. 2018, 1168, 73–83. [Google Scholar] [CrossRef]
- Kadela-Tomanek, M.; Bębenek, E.; Chrobak, E.; Latocha, M.; Boryczka, S. Alkoxy and enediyne derivatives containing 1,4-benzoquinone subunits-synthesis and antitumor activity. Molecules 2017, 22, 447. [Google Scholar] [CrossRef]
- Mizuno, N. Streptonigrin. In Mechanism of Action of Antieukaryotic and Antiviral Compounds; Springer: Berlin/Heidelberg, Germany, 1979; Volume 5, pp. 372–384. [Google Scholar]
- Shaikh, I.A.; Johnson, F.; Grollman, A.P. Streptonigrin. 1. Structure–activity relationships among simple bicyclic analogs. Rate dependence of DNA degradation on quinone reduction potential. J. Med. Chem. 1986, 298, 1329–1340. [Google Scholar] [CrossRef]
- Barret, R.; Daudon, M. Oxidation of phenols to quinones by bis(trifluoroacetoxy)iodobenzene. Tetrahedron Lett. 1990, 31, 4871–4872. [Google Scholar] [CrossRef]
- Morin, C.; Besset, T.; Moutet, J.; Fayolle, M.; Brückner, M.; Limosin, D.; Becker, K.; Davioud-Charvet, E. The aza-analogues of 1,4-naphthoquinones are potent substrates and inhibitors of plasmodial thioredoxin and glutathione reductases and of human erythrocyte glutathione reductase. Org. Biomol. Chem. 2008, 6, 2731–2742. [Google Scholar] [CrossRef]
- Amarasekara, A.S. A new synthesis of quinoline-5,8-quinone. Synth. Commun. 1999, 29, 3063–3066. [Google Scholar] [CrossRef]
- Cameron, D.W.; Deutscher, K.R.; Feutrill, G.I. Nucleophilic alkenes. IX. Addition of 1,1-dimethoxyethene to azanaphthoquinones: Synthesis of bostrycoidin and 8-O-methylbostrycoidin. Aust. J. Chem. 1982, 35, 1439–1450. [Google Scholar] [CrossRef]
- Wada, Y.; Harayama, Y.; Kamimura, D.; Yoshida, M.; Shibata, T.; Fujiwara, K.; Morimoto, K.; Fujioka, H.; Kita, Y. The synthetic and biological studies of discorhabdins and related compounds. Org. Biomol. Chem. 2011, 9, 4959–4976. [Google Scholar] [CrossRef] [PubMed]
- Cossy, J.; Belotti, D. Efficient synthesis of substituted quinoline-5,8-quinones from 8-hydroxyquinolines by photooxygenation. Tetrahedron Lett. 2001, 42, 4329–4331. [Google Scholar] [CrossRef]
- Ling, Y.; Yang, Q.X.; Teng, Y.N.; Chen, S.; Gao, W.J.; Guo, J.; Hsu, P.L.; Liu, Y.; Morris-Natschke, S.L.; Hung, C.C.; et al. Development of novel amino-quinoline-5,8-dione derivatives as NAD(P)H:quinone oxidoreductase 1 (NQO1) inhibitors with potent antiproliferative activities. Eur. J. Med. Chem. 2018, 154, 199–209. [Google Scholar] [CrossRef]
- Pan, L.; Zheng, Q.; Chen, Y.; Yang, R.; Yang, Y.; Li, Z.; Meng, X. Design, synthesis and biological evaluation of novel naphthoquinone derivatives as IDO1 inhibitors. Eur. J. Med. Chem. 2018, 157, 423–436. [Google Scholar] [CrossRef]
- Meng, T.; Qin, Q.P.; Chen, Z.L.; Zou, H.H.; Wang, K.; Liang, F.P. Discovery of high in vitro and in vivo antitumor activities of organometallic ruthenium(II)-arene complexes with 5,7-dihalogenated-2-methyl-8-quinolinol. Dalton Trans. 2019, 48, 5352–5360. [Google Scholar] [CrossRef]
- Santoso, K.T.; Menorca, A.; Cheung, C.Y.; Cook, G.M.; Stocker, B.L.; Timmer, M.S.M. The synthesis and evaluation of quinolinequinones as anti-mycobacterial agents. Bioorg. Med. Chem. 2019, 27, 3532–3545. [Google Scholar] [CrossRef]
- Cheng, Y.; An, L.K.; Wu, N.; Wang, X.D.; Bu, X.Z.; Huang, Z.S.; Gu, L.Q. Synthesis, cytotoxic activities and structure–activity relationships of topoisomerase I inhibitors: Indolizinoquinoline-5,12-dione derivatives. Bioorg. Med. Chem. 2008, 16, 4617–4625. [Google Scholar] [CrossRef]
- Egu, A.; Okoro, U.C.; Efeturi, O. New aryl derivatives of quinolinedione and related heterocyclic compounds. J. Heterocycl. Chem. 2017, 54, 1572–1577. [Google Scholar] [CrossRef]
- Li, Z.; Zhou, J.; Gan, Y.; Yin, Y.; Zhang, W.; Yang, J.; Tang, Y.; Dai, Y. Synthesis of a novel platinum(II) complex with 6,7-dichloro-5,8-quinolinedione and the study of its antitumor mechanism in testicular seminoma. J. Inorg. Biochem. 2019, 197, 110701–110709. [Google Scholar] [CrossRef] [PubMed]
- Ezema, B.E.; Ezema, C.G.; Ayogu, J.I.; Ugwu, D.I.; Onoabedje, E.A. Synthesis of aza derivatives of isomers of angular and complex phenothiazine rings. Orient J. Chem. 2015, 31, 379–385. [Google Scholar] [CrossRef][Green Version]
- Yoon, E.Y.; Choi, H.Y.; Shin, K.J.; Yoo, K.H.; Chi, D.Y.; Kim, D.J. The regioselectivity in the reaction of 6,7-dihaloquinoline-5,8-diones with amine nucleophiles in various solvents. Tetrahedron Lett. 2000, 41, 7475–7480. [Google Scholar] [CrossRef]
- Jastrzębska, M.; Boryczka, S.; Kadela, M.; Wrzalik, R.; Kusz, J.; Nowak, M. Synthesis, crystal structure and infrared spectra of new 6- and 7-propylamine-5,8-quinolinediones. J. Mol. Struct. 2014, 1067, 160–168. [Google Scholar] [CrossRef]
- Lazo, J.S.; Aslan, D.C.; Southwick, E.C.; Cooley, K.A.; Ducruet, A.P.; Joo, B.; Vogt, A.; Wipf, P. Discovery and biological evaluation of a new family of potent inhibitors of the dual specificity protein phosphatase Cdc25. J. Med. Chem. 2001, 44, 4042–4049. [Google Scholar] [CrossRef] [PubMed]
- Kadela-Tomanek, M.; Jastrzębska, M.; Bębenek, E.; Chrobak, E.; Latocha, M.; Kusz, J.; Tarnawska, D.; Boryczka, S. New acetylenic amine derivatives of 5,8-quinolinediones: Synthesis, crystal structure and antiproliferative activity. Crystal 2017, 7, 15. [Google Scholar] [CrossRef]
- Pratt, Y.T. Quinolinequinones. VI. reactions with aromatic amines. J. Org. Chem. 1962, 271, 3905–3910. [Google Scholar] [CrossRef]
- Ryu, C.K.; Jeong, H.J.; Lee, S.K.; You, H.J.; Choi, K.U.; Shim, J.Y.; Heo, Y.H.; Lee, C.O. Effects of 6-arylamino-5,8-quinolinediones and 6-chloro-7-arylamino-5,8-isoquinolinediones on NAD(P)H: Quinone oxidoreductase (NQO1) activity and their cytotoxic potential. Arch. Pharm. Res. 2001, 24, 390–396. [Google Scholar] [CrossRef]
- Kadela-Tomanek, M.; Jastrzębska, M.; Pawełczak, B.; Bębenek, E.; Chrobak, E.; Latocha, M.; Książek, M.; Kusz, J.; Boryczka, S. Alkynyloxy derivatives of 5,8-quinolinedione: Synthesis, in vitro cytotoxicity studies and computational molecular modeling with NAD(P)H:Quinone oxidoreductase 1. Eur. J. Med. Chem. 2017, 126, 969–982. [Google Scholar] [CrossRef]
- Kadela, M.; Jastrzębska, M.; Bębenek, E.; Chrobak, E.; Latocha, M.; Kusz, J.; Książek, M.; Boryczka, S. Synthesis, structure and cytotoxic activity of mono- and dialkoxy derivatives of 5,8-quinolinedione. Molecules 2016, 21, 156. [Google Scholar] [CrossRef]
- Ryu, C.K.; Sun, Y.J.; Shim, J.Y.; You, H.J.; Choi, K.U.; Lee, H. Synthesis and antifungal activity of 6,7-bis-[S-(aryl)thio]-5,8-quinolinediones. Arch. Pharm. Res. 2002, 25, 795–800. [Google Scholar] [CrossRef] [PubMed]
- Bray, F.; Ferlay, J.; Soerjomataram, I.; Siegel, R.; Torre, L.; Jemal, A. Global cancer statistics 2018: GLOBOCAN estimates of incidence and mortality worldwide for 36 cancers in 185 countries. CA Cancer J. Clin. 2018, 68, 394–424. [Google Scholar] [CrossRef] [PubMed]
- Ryu, C.K.; Kang, H.Y.; Yi, Y.J.; Lee, C.O. Cytotoxic activities of 6-arylamino-7-halo-5,8-quinolinediones against human tumor cell lines. Arch. Pharm. Res. 2000, 23, 42–45. [Google Scholar] [CrossRef] [PubMed]
- Ryu, C.K.; Lee, I.K.; Jung, S.H.; Lee, C.O. Synthesis and cytotoxic activities of 6-chloro-7-arylamino-5,8-isoquinolinediones. Bioorg. Med. Chem. Lett. 1999, 9, 1075–1080. [Google Scholar] [CrossRef]
- Timosenko, E.; Hadjinicolaou, A.V.; Cerundolo, V. Modulation of cancer-specific immune responses by amino acid degrading enzymes. Immunotherapy 2017, 9, 83–97. [Google Scholar] [CrossRef]
- Munn, D.H.; Mellor, A.L. Indoleamine 2,3 dioxygenase and metabolic control of immune responses. Trends Immunol. 2013, 34, 137–143. [Google Scholar] [CrossRef]
- Brochez, L.; Chevolet, I.; Kruse, V. The rationale of indoleamine 2,3-dioxygenase inhibition for cancer therapy. Eur. J. Cancer 2017, 76, 167–182. [Google Scholar] [CrossRef]
- Galaktionov, K.; Lee, A.K.; Eckstein, J.; Draetta, G.; Meckler, J.; Loda, M.; Beach, D. CDC25 phosphatases as potential human oncogenes. Science 1995, 269, 1575–1577. [Google Scholar] [CrossRef]
- Tamura, K.; Southwick, E.C.; Kerns, J.; Rosi, K.; Carr, B.I.; Wilcox, C.; Lazo, J.S. Cdc25 inhibition and cell cycle arrest by a synthetic thioalkyl vitamin K analogue. Cancer Res. 2000, 60, 1317–1325. [Google Scholar]
- Hsu, T.H.; Chen, C.; Lee, P.T.; Chiu, S.J.; Liu, H.F.; Tsai, C.C.; Chao, J.I. 7-Chloro-6-piperidin-1-yl-quinoline-5,8-dione (PT-262), a novel synthetic compound induces lung carcinoma cell death associated with inhibiting ERK and Cdc25 phosphorylation via a p53-independent pathway. Cancer Chemother. Pharmacol. 2008, 62, 799–808. [Google Scholar] [CrossRef]
- Sawhney, R.S.; Cookson, M.M.; Omar, Y.; Hauser, J.; Brattain, M.G. Integrin alpha2-mediated ERK and calpain activation play a critical role in cell adhesion and motility via focal adhesion kinase signaling: Identification of a novel signaling pathway. J. Biol. Chem. 2006, 281, 8497–8510. [Google Scholar] [CrossRef] [PubMed]
- Liu, L.T.; Yuan, T.T.; Liu, H.H.; Chen, S.F.; Wu, Y.T. Synthesis and biological evaluation of substituted 6-alkynyl-4-anilinoquinazoline derivatives as potent EGFR inhibitors. Bioorg. Med. Chem. Lett. 2007, 17, 6373–6377. [Google Scholar] [CrossRef] [PubMed]
- Bouhfid, R.; Essassi, E.M. Synthesis of 6-chloro-2-(propargyloxy)quinoline-4-carboxylic acid and propargyl 6-chloro-2-(propargyloxy)quinoline-4-carboxylate. Molbank 2006, 2006, M486. [Google Scholar] [CrossRef]
- Yin, H.Y.; Kong, F.; Wang, S.; Yao, Z.J. Assembly of pentacyclic pyrido[4,3,2-mn]acridin-8-ones via a domino reaction initiated by Au(I)-catalyzed 6-endo-dig cycloisomerization of N-propargylaminoquinones. Tetrahedron Lett. 2012, 53, 7078–7082. [Google Scholar] [CrossRef]
- Bringmann, G.; Reichert, M.; Hemberger, Y. The absolute configuration of streptonigrin. Tetrahedron 2008, 64, 515–528. [Google Scholar] [CrossRef]
- Wakaki, S.; Maruma, H.; Tomioka, K.; Shimizu, G.; Kato, E.; Kamada, H.; Kudo, S.; Fujimoto, Y. Isolation of new fractions of antitumor mitomycins. Antibiot. Chemother. 1958, 8, 228–240. [Google Scholar]
- Herr, R.R.; Bergy, M.E.; Eble, T.E.; Jahnke, H.K. Porfiromycin, a new antibiotic. II. Isolation and characterization. Antimicrob. Agents Ann. 1960, 39, 14968–14975. [Google Scholar]
- Zang, H.; Gates, K.S. DNA binding and alkylation by the “left half” of azinomycin B. Biochemistry 2000, 39, 14968–14975. [Google Scholar] [CrossRef]
- Dvorakova, K.; Payne, C.M.; Tome, M.E.; Briehl, M.M.; McClure, T.; Dorr, R.T. Induction of oxidative stress and apoptosis in myeloma cells by the aziridine-containing agent imexon. Biochem. Pharmacol. 2000, 60, 749–758. [Google Scholar] [CrossRef]
- Yoo, K.H.; Yoon, E.Y.; Park, Y.Y.; Park, S.W.; Lee, C.O.; Lee, W.K.; Chi, D.Y.; Kim, D.J. Synthesis and SAR of aziridinylquinoline-5,8-diones as agents against malignant tumor cells. Bull. Korean Chem. Soc. 2001, 22, 1067–1068. [Google Scholar]
- Siddiq, A.; Dembitsky, V. Acetylenic anticancer agents. Anticancer Agents Med. Chem. 2008, 8, 132–170. [Google Scholar] [CrossRef] [PubMed]
- Kuklev, D.V.; Domb, A.J.; Dembitsky, V.M. Bioactive acetylenic metabolites. Phytomedicine 2013, 20, 1145–1159. [Google Scholar] [CrossRef] [PubMed]
- Gredicak, M.; Jerić, I. Enediyne compounds—New promises in anticancer therapy. Acta Pharm. 2007, 57, 133–150. [Google Scholar] [CrossRef] [PubMed]
- Kovač-Bešović, E.E.; Durić, K.; Kalođera, Z.; Sofić, E. Identification and isolation of pharmacologically active triterpenes in Betuale Cortex, Betula Pendula Roth., Betulaceae. Bosnian J. Basic Med. Sci. 2009, 9, 31–38. [Google Scholar] [CrossRef] [PubMed]
- Król, S.K.; Kiełbus, M.; Rivero-Muller, A.; Stepulak, A. Comprehensive review on betulin as a potent anticancer agent. Biomed. Res. Int. 2015, 2015, 584189. [Google Scholar] [CrossRef] [PubMed]
- Hordyjewska, A.; Ostapiuk, A.; Horecka, A.; Kurzepa, J. Betulin and betulinic acid: Triterpenoids derivatives with a powerful biological potential. Phytochem. Rev. 2019, 18, 929–951. [Google Scholar] [CrossRef]
- Kadela-Tomanek, M.; Bębenek, E.; Chrobak, E.; Marciniec, K.; Latocha, M.; Kuśmierz, D.; Jastrzębska, M.; Boryczka, S. Betulin-1,4-quinone hybrids: Synthesis, anticancer activity and molecular docking study with NQO1 enzyme. Eur. J. Med. Chem. 2019, 177, 302–315. [Google Scholar] [CrossRef]
- Chipuk, J.E.; Kuwana, T.; Bouchier-Hayes, L.; Droin, N.M.; Newmeyer, D.D.; Schuler, M.; Green, D.R. Direct activation of Bax by p53 mediates mitochondrial membrane permeabilization and apoptosis. Science 2004, 13, 1010–1014. [Google Scholar] [CrossRef]
- Hemann, M.T.; Lowe, S.W. The p53–Bcl-2 connection. Cell Death Differ. 2006, 13, 1256–1259. [Google Scholar] [CrossRef]
- Karagül, M.I.; Aktaş, S.; Yetkin, D.; Bayrak, G.; Çelikcan, D. P53, Bcl2 and Bax expression and apoptosis in perifosine and vitamin D-treated endometrial cancer cell line (HEC1A). Proceedings 2018, 2, 1564. [Google Scholar] [CrossRef]
- Rhee, H.K.; Park, H.J.; Lee, S.K.; Lee, C.O.; Choo, H.Y. Synthesis, cytotoxicity, and DNA topoisomerase II inhibitory activity of benzofuroquinolinediones. Bioorg. Med. Chem. 2007, 15, 1651–1658. [Google Scholar] [CrossRef] [PubMed]
- Gustafson, D.; Page, R. 11—Cancer Chemotherapy. In Withrow and MacEwen’s Small Animal Clinical Oncology, 5th ed.; Elsevier Inc.: Amsterdam, The Netherlands, 2013; pp. 157–179. [Google Scholar]
- Cassini, A.; Högberg, L.D.; Plachouras, D.; Quattrocchi, A.; Hoxha, A.; Simonsen, G.S.; Colomb-Cotinat, M.; Kretzschmar, M.E.; Devleesschauwer, B.; Cecchini, M.; et al. Attributable deaths and disability-adjusted life-years caused by infections with antibiotic-resistant bacteria in the EU and the European Economic Area in 2015: A population-level modelling analysis. Lancet. Infect. Dis. 2019, 19, 56–66. [Google Scholar] [CrossRef]
- Lewis, K. Antibiotics: Recover the lost art of drug discovery. Nature 2012, 485, 439–440. [Google Scholar] [CrossRef] [PubMed]
- Tandon, V.K.; Maurya, H.K.; Yadav, D.B.; Tripathi, A.; Kumar, M.; Shukla, P.K. Naphtho[2,3-b][1,4]-thiazine-5,10-diones and 3-substituted-1,4-dioxo-1,4-dihydronaphthalen-2-yl-thioalkanoate derivatives: Synthesis and biological evaluation as potential antibacterial and antifungal agents. Bioorg. Med. Chem. Lett. 2006, 16, 5883–5887. [Google Scholar] [CrossRef]
- Ibis, C.; Tuyun, A.F.; Ozsoy-Gunes, Z.; Bahar, H.; Stasevych, M.V.; Musyanovych, R.Y.; Komarovska-Porokhnyavets, O.; Novikov, V. Design, synthesis and biological evaluation of novel nitrogen and sulfur containing hetero-1,4-naphthoquinones as potent antifungal and antibacterial agents. Eur. J. Med. Chem. 2011, 46, 5861–5867. [Google Scholar] [CrossRef]
- Riffel, A.; Medina, L.F.; Stefani, V.; Santos, R.C.; Bizani, D.; Brandelli, A. In vitro antimicrobial activity of a new series of 1,4-naphthoquinones. Braz. J. Med. Biol. Res. 2002, 35, 811–818. [Google Scholar] [CrossRef]
- Ryu, C.K.; Kim, H.J. The synthesis of 6-(N-arylamino)-7-chloro-5,8-quinolinedione derivatives for evaluation of antifungal activities. Arch. Pharm. Res. 1994, 17, 139–144. [Google Scholar] [CrossRef]
- Ryu, C.K.; Choi, J.A.; Kim, S.H. Synthesis and antifungal evaluation of 6-(N-arylamino)-7-methylthio-5,8-quinolinediones. Arch. Pharm. Res. 1998, 21, 440–444. [Google Scholar] [CrossRef]
- Ryu, C.K.; Lee, J.Y.; Jeong, S.H.; Nho, J.H. Synthesis and antifungal activity of 1H-pyrrolo[3,2-g]quinoline-4,9-diones and 4,9-dioxo-4,9-dihydro-1H-benzo[f]indoles. Bioorg. Med. Chem. Lett. 2009, 19, 146–148. [Google Scholar] [CrossRef]
- Ezugwu, J.A.; Ezeokonkwo, M.A.; Okafor, S.N.; Godwin-Nwakwasi, E.U.; Ibeanu, F.N. Palladium-catalyzed sonogashira synthesis of alkynyl derivatives of quinoline-5,8-dione. Asian J. Appl. Sci. 2017, 5, 1137–1144. [Google Scholar]
- Ezeokonkwo, M.A.; Ezugwu, J.A.; Okafor, S.N.; Onoabedje, E.A.; Godwin-Nwakwasi, E.U.; Ibeanu, F.N. Double alkynylation of quinoline-5,8-diones and their in-silico and antimicrobial studies. J. Appl. Sci. Environ. Manag. 2018, 22, 1121–1127. [Google Scholar] [CrossRef][Green Version]
- Barb, A.W.; Zhou, P. Mechanism and inhibition of LpxC: An essential zinc-dependent deacetylase of bacterial lipid A synthesis. Curr. Pharm. Biotechnol. 2008, 9, 9–15. [Google Scholar] [CrossRef] [PubMed]
- Erwin, A.L. Antibacterial drug discovery targeting the lipopolysaccharide biosynthetic enzyme LpxC. Cold Spring Harb. Perspect. Med. 2016, 6, 025304–025318. [Google Scholar] [CrossRef] [PubMed]
- World Health Organization. Available online: https://www.who.int/gho/tb/epidemic/cases_deaths/en (accessed on 30 September 2019).
- Jameson, J.; Fauci, A.; Kasper, D.; Hauser, S.; Longo, D.; Loscalzo, J. Harrison’s Principles of Internal Medicine, 20th ed.; McGraw-Hill Education: New York, NY, USA, 2018. [Google Scholar]
- Kumar, V.; Mahajan, A.; Chibale, K. Synthetic medicinal chemistry of selected antimalarial natural products. Bioorg. Med. Chem. 2009, 17, 2236–2275. [Google Scholar] [CrossRef] [PubMed]
- Hsu, E. Reflections on the discovery of the antimalarial qinghao. Br. J. Clin. Pharmacol. 2006, 61, 666–670. [Google Scholar] [CrossRef] [PubMed]
- Lanfranchi, D.A.; Cesar-Rodo, E.; Bertrand, B.; Huang, H.H.; Day, L.; Johann, L.; Elhabiri, M.; Becker, K.; Williams, D.L.; Davioud-Charvet, E. Synthesis and biological evaluation of 1,4-naphthoquinones and quinoline-5,8-diones as antimalarial and schistosomicidal agents. Org. Biomol. Chem. 2012, 10, 6375–6387. [Google Scholar] [CrossRef]
- Hussain, H.; Specht, S.; Sarite, S.R.; Hoerauf, A.; Krohn, K. New quinoline-5,8-dione and hydroxynaphthoquinone derivatives inhibit a chloroquine resistant Plasmodium falciparum strain. Eur. J. Med. Chem. 2012, 54, 936–942. [Google Scholar] [CrossRef]
- Global Statistic. Available online: https://www.hiv.gov/hiv-basics/overview/data-and-trends/global-statistics (accessed on 30 September 2019).
- Take, Y.; Inouye, Y.; Nakamura, S.; Allaudeen, H.S.; Kubo, A. Comparative studies of the inhibitory properties of antibiotics on human immunodeficiency virus and avian myeloblastosis virus reverse transcriptases and cellular DNA polymerases. J. Antibiot. (Tokyo) 1989, 42, 107–115. [Google Scholar] [CrossRef]
- Alfadhli, A.; Mack, A.; Harper, L.; Berk, S.; Ritchie, C.; Barklis, E. Analysis of quinolinequinone reactivity, cytotoxicity, and anti-HIV-1 properties. Bioorg. Med. Chem. 2016, 27, 5618–5625. [Google Scholar] [CrossRef]
- Lim, K.M.; Lee, J.Y.; Lee, S.M.; Bae, O.N.; Noh, J.Y.; Kim, E.J.; Chung, S.M.; Chung, J.H. Potent anti-inflammatory effects of two quinolinedione compounds, OQ1 and OQ21, mediated by dual inhibition of inducible NO synthase and cyclooxygenase-2. Br. J. Pharmacol. 2009, 156, 328–337. [Google Scholar] [CrossRef]
- Ryu, C.K.; Jung, S.H.; Lee, J.A.; Kim, H.J.; Lee, S.H.; Chung, J.H. 6-arylamino-5,8-quinolinediones and 7-arylamino-5,8-isoquinolinediones as inhibitors of endothelium-dependent vasorelaxation. Bioorg. Med. Chem. Lett. 1999, 9, 2469–2472. [Google Scholar] [CrossRef]
- Choo, H.Y.; Choi, S.; Ryu, C.K.; Kim, H.J.; Lee, I.Y.; Paeb, A.N.; Koh, H.Y. QSAR study of quinolinediones with inhibitory activity of endothelium-dependent vasorelaxation by CoMSIA. Bioorg. Med. Chem. 2003, 11, 2019–2023. [Google Scholar] [CrossRef]
- Dewang, P.M.; Hsu, N.M.; Peng, S.Z.; Li, W.R. Protein tyrosine phosphatases and their inhibitors. Curr. Med. Chem. 2015, 12, 1–22. [Google Scholar] [CrossRef] [PubMed]
- Jung, E.; Lee, J.Y.; Kim, H.J.; Ryu, C.K.; Lee, K.I.; Kim, M.; Lee, C.K.; Go, Y.Y. Identification of quinone analogues as potential inhibitors of picornavirus 3C protease in vitro. Bioorg. Med. Chem. Lett. 2018, 28, 2533–2538. [Google Scholar] [CrossRef] [PubMed]

























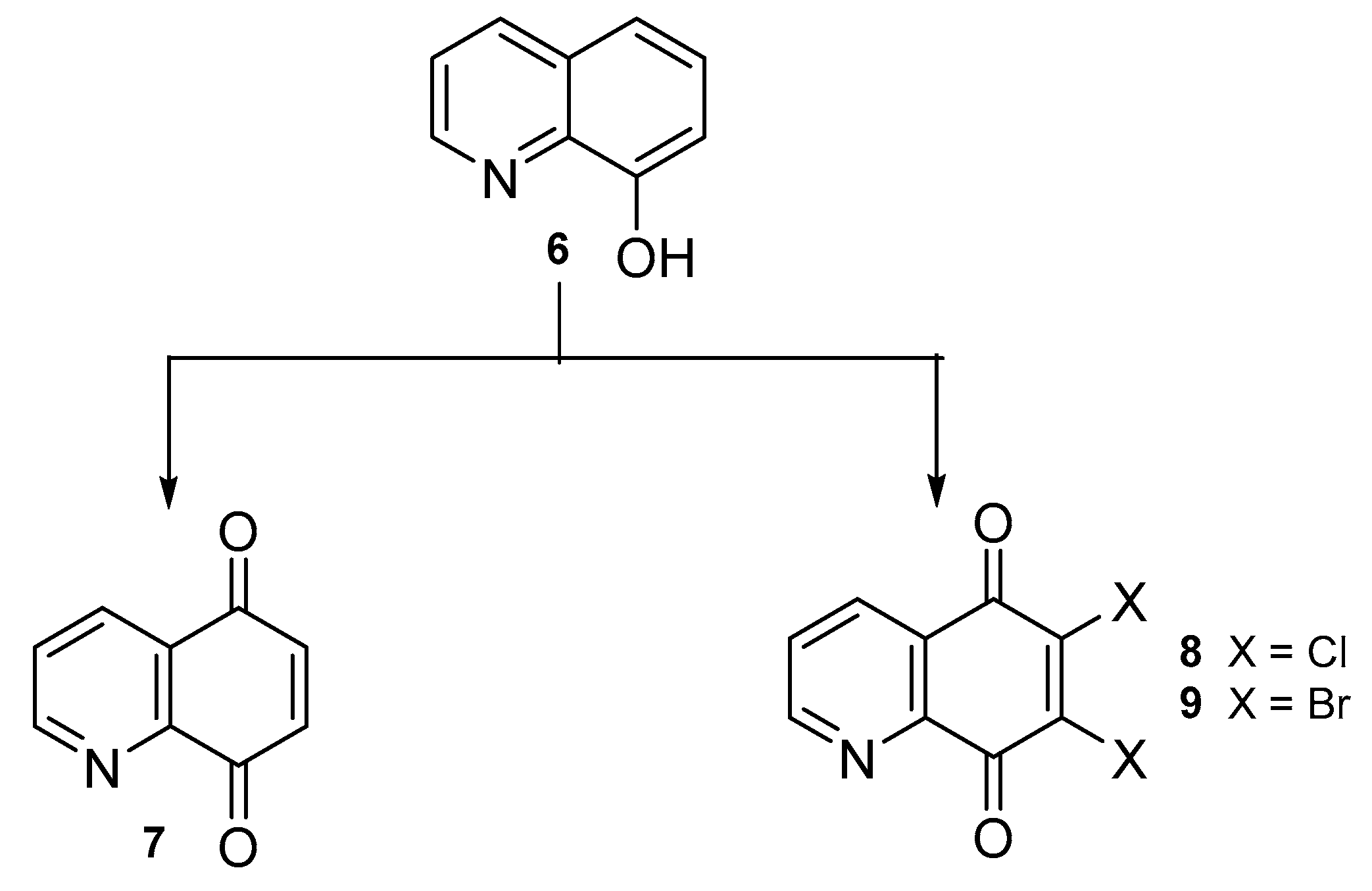
| Compound. | Reaction Conditions | Yield [%] | Ref. |
|---|---|---|---|
| 7 | Bis-[(trifluoroacetoxy)iodo]benzene, water-acetonitrile, 0 ℃ | 82–89 | [31,32] |
| oxygen, methanol-dichloromethane, 15 ℃ | 64 | [33] | |
| Potassium dihydrogenphosphate, potassium nitrososulfonate, methanol, room temperature | 92 | [34] | |
| phenyliodine(III) diacetate, water-acetonitrile, 0 ℃ | 86 | [35] | |
| 5,10,15,20-Tetrakisphenylporphyrin, oxygen, dichloromethane, 20 ℃ | 82 | [36] | |
| [Bis(acetoxy)iodo]benzene, water-acetonitrile, 0 ℃ | 82 | [37] | |
| 8 | Hydrogenchloride, sodium chlorate, 30–60 ℃ | 17–30 | [26,30,38,39,40] |
| Hydrogenchloride, nitric acid, 90 ℃ | 39 | [41] | |
| Multi-step reaction with 3 steps: 1: hydrogenchloride, sodium nitrite, water, 0–4 °C 2: sodium dithionite, sulfuric acid, sodium hydroxide 3: hydrogenchloride, sodium chlorate | No date | [42,43] | |
| 9 | Multi-step reaction with 3 steps: 1: hydrogenchloride, sodium nitrite, water, 0–4 °C 2: sodium dithionite, sulfuric acid, sodium hydroxide 3: sodium bromate, hydrogen bromide | No date | [42,44] |
© 2019 by the authors. Licensee MDPI, Basel, Switzerland. This article is an open access article distributed under the terms and conditions of the Creative Commons Attribution (CC BY) license (http://creativecommons.org/licenses/by/4.0/).
Share and Cite
Kadela-Tomanek, M.; Bębenek, E.; Chrobak, E.; Boryczka, S. 5,8-Quinolinedione Scaffold as a Promising Moiety of Bioactive Agents. Molecules 2019, 24, 4115. https://doi.org/10.3390/molecules24224115
Kadela-Tomanek M, Bębenek E, Chrobak E, Boryczka S. 5,8-Quinolinedione Scaffold as a Promising Moiety of Bioactive Agents. Molecules. 2019; 24(22):4115. https://doi.org/10.3390/molecules24224115
Chicago/Turabian StyleKadela-Tomanek, Monika, Ewa Bębenek, Elwira Chrobak, and Stanisław Boryczka. 2019. "5,8-Quinolinedione Scaffold as a Promising Moiety of Bioactive Agents" Molecules 24, no. 22: 4115. https://doi.org/10.3390/molecules24224115
APA StyleKadela-Tomanek, M., Bębenek, E., Chrobak, E., & Boryczka, S. (2019). 5,8-Quinolinedione Scaffold as a Promising Moiety of Bioactive Agents. Molecules, 24(22), 4115. https://doi.org/10.3390/molecules24224115

