Design, Synthesis, and Biological Evaluation of Novel N-Acylhydrazone Bond Linked Heterobivalent β-Carbolines as Potential Anticancer Agents
Abstract
1. Introduction
2. Results and Discussion
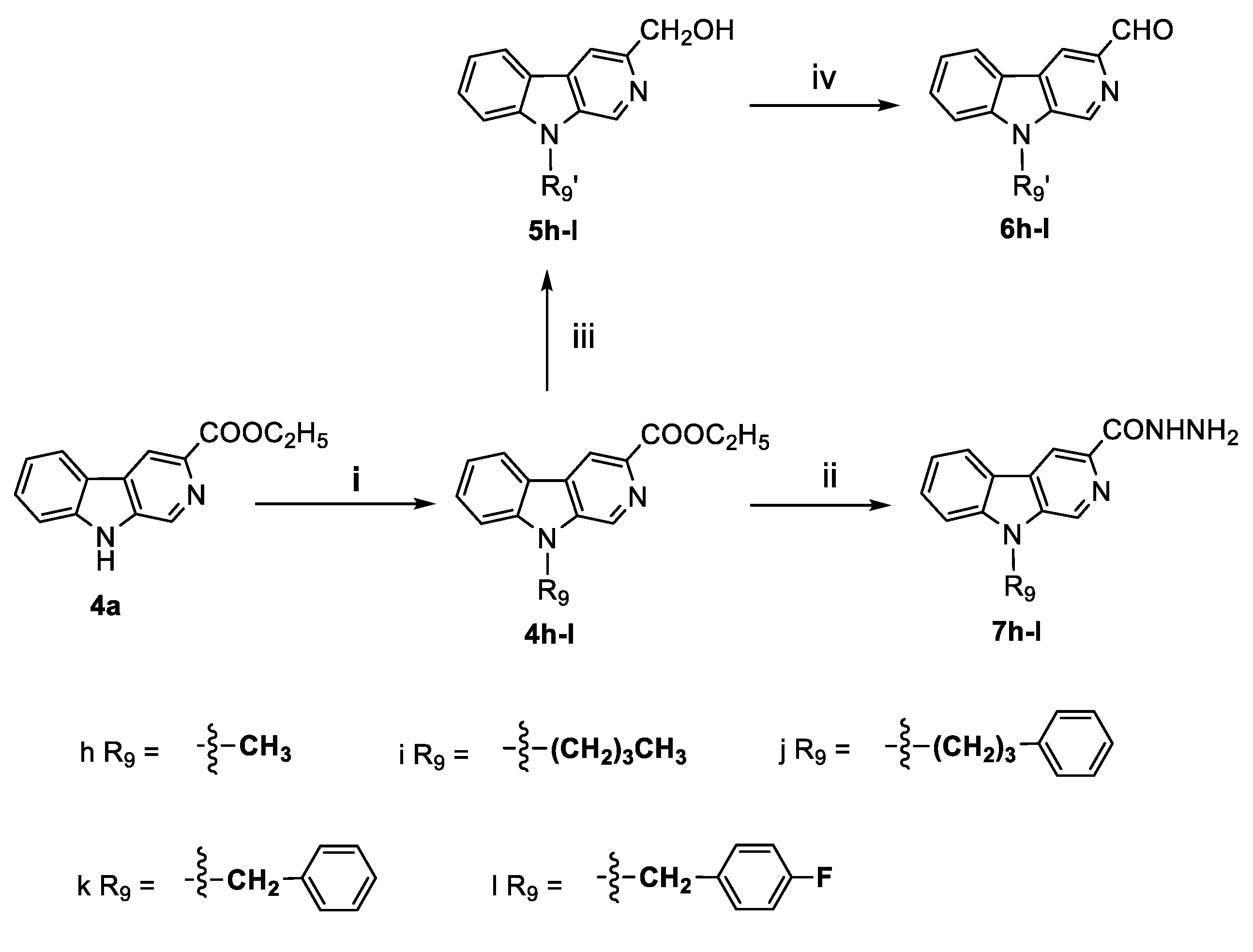
2.1. Chemistry
2.2. MTT Assay of Compounds 8a–8ab
2.3. Inhibition of Angiogenesis in the Chicken Chorioallantoic Membrane (CAM) Assay
3. Materials and Methods
3.1. Reagents and General Methods
3.2. General Procedure for the Preparation of 6a–lc
3.3. General Procedure for the Preparation of Compounds 7a–l
3.4. General Procedure for the Preparation of Heterobivalent β-Carbolines 8a–ab
3.5. MTT Assay
3.6. CAM Assay in Vivo
4. Conclusions
Supplementary Materials
Author Contributions
Funding
Conflicts of Interest
References
- Song, M. Progress in discovery of KIF5B-RET kinase inhibitors for the treatment of non-small-cell lung cancer. J. Med. Chem. 2015, 58, 3672–3681. [Google Scholar] [CrossRef] [PubMed]
- Cao, R.H.; Peng, W.L.; Wang, Z.H.; Xu, A.L. β-Carboline alkaloids: Biochemical and pharmacological functions. Curr. Med. Chem. 2007, 14, 479–500. [Google Scholar] [CrossRef] [PubMed]
- Sathish, M.; Kavitha, B.; Nayak, V.L.; Tangella, Y.; Ajitha, A.; Nekkanti, S.; Alarifi, A.; Shankaraiah, N.; Nagesh, N.; Kamal, A. Synthesis of podophyllotoxin linked β-carboline congeners as potential anticancer agents and DNA topoisomerase II inhibitors. Eur. J. Med. Chem. 2018, 144, 557–571. [Google Scholar] [CrossRef] [PubMed]
- Tokala, R.; Thatikonda, S.; Vanteddu, U.S.; Sana, S.; Godugu, C.; Shankaraiah, N. Design and synthesis of DNA-interactive β-carboline-oxindole hybrids as cytotoxic and apoptosis-inducing agents. ChemMedChem 2018, 13, 1909–1922. [Google Scholar] [CrossRef] [PubMed]
- Ling, Y.; Guo, J.; Yang, Q.X.; Zhu, P.; Miao, J.F.; Gao, W.J.; Peng, Y.F.; Yang, J.Y.; Xu, K.; Xiong, B.; et al. Development of novel β-carboline-based hydroxamate derivatives as HDAC inhibitors with antiproliferative and antimetastatic activities in human cancer cells. Eur. J. Med. Chem. 2018, 144, 398–409. [Google Scholar] [CrossRef] [PubMed]
- Patil, S.A.; Addo, J.K.; Deokar, H.; Sun, S.; Wang, J.; Li, W.; Suttle, D.P.; Wang, W.; Zhang, R.; Buolamwini, J.K. Synthesis, biological evaluation and modeling studies of new pyrido[3,4-b]indole derivatives as broad-spectrum potent anticancer agents. Drug Des. 2017, 6, 143. [Google Scholar] [CrossRef] [PubMed]
- Kumar, S.; Singh, A.; Kumar, K.; Kumar, V. Recent insights into synthetic β-carbolines with anti-cancer activities. Eur. J. Med. Chem. 2017, 142, 48–73. [Google Scholar] [CrossRef]
- Wu, J.; Zhao, M.; Qian, K.; Lee, K.H.; Morris-Natschke, S.; Peng, S.Q. Novel N-(3-carboxyl-9-benzyl-β-carboline-1-yl) ethylamino acids: Synthesis, anti-tumor evaluation, intercalating determination, 3D QSAR analysis and docking investigation. Eur. J. Med. Chem. 2009, 44, 4153–4161. [Google Scholar] [CrossRef]
- Ikeda, R.; Kurosawa, M.; Okabayashi, T.; Takei, A.; Yoshiwara, M.; Kumakura, T.; Sakai, N.; Morita, O.A.; Ikekita, M.; Nakaike, Y.; et al. 3-(3-Phenoxybenzyl) amino-β-carboline: A novel antitumor drug targeting α-tubulin. Bioorg. Med. Chem. Lett. 2011, 21, 4784–4787. [Google Scholar] [CrossRef]
- Yang, M.; Kuo, P.; Hwang, T.; Chiou, W.; Qian, K.; Lai, C.; Lee, K.; Wu, T. Synthesis, in vitro anti-inflammatory and cytotoxic evaluation, and mechanism of action studies of 1-benzoyl-β-carboline and 1-benzoyl-3-carboxy-β-carboline derivatives. Bioorg. Med. Chem. 2011, 19, 1674–1682. [Google Scholar] [CrossRef]
- Shankaraiah, N.; Siraj, K.P.; Nekkanti, S.; Srinivasulu, V.; Sharma, P.; Senwar, K.R.; Sathish, M.; Vishnuvardhan, M.V.P.S.; Ramakrishna, S.; Jadala, C.; et al. DNA-binding affinity and anticancer activity of β-carboline–chalcone conjugates as potential DNA intercalators: Molecular modelling and synthesis. Bioorg. Chem. 2015, 59, 130–139. [Google Scholar] [CrossRef]
- Taira, Z.; Kanzawas, S.; Dohara, C.; Ishida, S.; Matsumoto, M.; Sakiya, Y. Intercalation of six beta-carboline derivatives into DNA. Jpn. J. Toxicol. Environ. Health 1997, 43, 83–91. [Google Scholar] [CrossRef]
- Cao, R.H.; Peng, W.L.; Chen, H.S.; Ma, Y.; Liu, X.D.; Hou, X.R.; Guan, H.J.; Xu, A.L. DNA binding properties of 9-substituted harmine derivatives. Biochem. Biophys. Res. Commun. 2005, 338, 1557–1563. [Google Scholar] [CrossRef]
- Kamal, A.; Sathish, M.; Nayak, V.L.; Srinivasulu, V.; Kavitha, B.; Tangella, Y.; Thummuri, D.; Bagul, C.; Shankaraiah, N.; Nagesh, N. Design and synthesis of dithiocarbamate linked β-carboline derivatives: DNA topoisomerase II inhibition with DNA binding and apoptosis inducing ability. Bioorg. Med. Chem. 2015, 23, 5511–5526. [Google Scholar] [CrossRef]
- Figueiredo, P.O.; Perdomo, R.T.; Garcez, F.R.; Matos, M.F.C.; Carvalho, J.E.; Garcez, W.S. Further constituents of Galianthe thalictroides (Rubiaceae) and inhibition of DNA topoisomerases I and IIa by its cytotoxic β-carboline alkaloids. Bioorg. Med. Chem. Lett. 2014, 24, 1358–1361. [Google Scholar] [CrossRef]
- Song, Y.; Kesuma, D.; Wang, J.; Deng, Y.; Duan, J.; Wang, J.H.; Qi, R.Z. Specific inhibition of cyclin-dependent kinases and cell proliferation by harmine. Biochem. Biophys. Res. Commun. 2004, 317, 128–132. [Google Scholar] [CrossRef]
- Li, Y.; Liang, F.; Jiang, W.; Yu, F.S.; Cao, R.H.; Ma, Q.H.; Dai, X.Y.; Jiang, J.D.; Wang, Y.C.; Si, S.Y. DH334, a β-carboline anticancer drug, inhibits the CDK activity of budding yeast. Cancer Biol. Ther. 2007, 6, 1193–1199. [Google Scholar] [CrossRef]
- Zhang, J.; Li, Y.; Guo, L.; Cao, R.H.; Zhao, P.; Jiang, W.; Ma, Q.; Yi, H.; Li, Z.; Jiang, J.D.; et al. DH166, a beta-carboline derivative, inhibits the kinase activity of PLK1. Cancer Biol. Ther. 2009, 8, 2374–2383. [Google Scholar] [CrossRef]
- Barsanti, P.A.; Wang, W.; Ni, Z.; Duhl, D.; Brammeier, N.; Martin, E. The discovery of tetrahydro-β-carbolines as inhibitors of the kinesin Eg5. Bioorg. Med. Chem. Lett. 2010, 20, 157–160. [Google Scholar] [CrossRef]
- Castro, A.C.; Dang, L.C.; Soucy, F.; Grenier, L.; Mazdiyasni, H.; Hottelet, M.; Parent, L.; Pien, C.; Palombella, V.; Adams, J. Novel IKK inhibitors: β-carbolines. Bioorg. Med. Chem. Lett. 2003, 13, 2419–2422. [Google Scholar] [CrossRef]
- Barbosa, V.A.; Barea, P.; Mazia, R.S.; Ueda-Nakamura, T.; Costa, W.F.D.; Foglio, M.A.; Goes Ruiz, A.L.T.; Carvalho, J.E.; Vendramini-Costa, D.B.; Nakamura, C.V.; et al. Synthesis and evaluation of novel hybrids beta-carboline-4-thiazolidinones as potential antitumor and antiviral 766 agents. Eur. J. Med. Chem. 2016, 124, 1093–1104. [Google Scholar] [CrossRef]
- Misra, S.; Ghatak, S.; Patil, N.; Dandawate, P.; Ambike, V.; Adsule, S.; Unni, D.; Venkateswara Swamy, K.; Padhye, S. Novel dual cyclooxygenase and lipoxygenase inhibitors targeting hyaluronan-CD44v6 pathway and inducing cytotoxicity in colon cancer cells. Bioorg. Med. Chem. 2013, 21, 2551–2559. [Google Scholar] [CrossRef][Green Version]
- Cardoso, L.N.F.; Nogueira, T.C.M.; Rodrigues, F.A.R.; Oliveira, A.C.A.; Luciano, M.C.S.; Pessoa, C.; de Souza, M.V.N. N-acylhydrazones containing thiophene nucleus: A new anticancer class. Med. Chem. Res. 2017, 26, 1605–1608. [Google Scholar] [CrossRef]
- Sun, K.; Peng, J.D.; Suo, F.Z.; Zhang, T.; Fu, Y.D.; Zheng, Y.C.; Liu, H.M. Discovery of tranylcypromine analogs with an acylhydrazone substituent as LSD1 inactivators: Design, synthesis and their biological evaluation. Bioorg. Med. Chem. Lett. 2017, 27, 5036–5039. [Google Scholar] [CrossRef]
- Zheng, Y.W.; Ren, J.; Wu, Y.Q.; Meng, X.T.; Zhao, Y.B.; Wu, C.L. Proteolytic unlocking of ultrastable twin-acylhydrazone linkers for lysosomal acid-triggered release of anticancer drugs. Bioconjug. Chem. 2017, 28, 2620–2626. [Google Scholar] [CrossRef]
- Li, F.Y.; Wang, X.; Duan, W.G.; Lin, G.S. Synthesis and in vitro anticancer activity of novel dehydroabietic acid-based acylhydrazones. Molecules 2017, 22, 1087. [Google Scholar] [CrossRef]
- Rodrigues, A.P.; Costa, L.M.; Santos, B.L.; Maia, R.C.; Miranda, A.L.; Barreiro, E.J.; Fraga, C.A. Novel furfurylidene N-acylhydrazones derived from natural safrole: Discovery of LASSBio-1215, a new potent antiplatelet prototype. J. Enzym Inhib. Med. Chem. 2012, 27, 101–109. [Google Scholar] [CrossRef]
- Norsworthy, K.J.; Ko, C.W.; Lee, J.E.; Liu, J.; John, C.S.; Przepiorka, D.; Farrell, A.T.; Pazdur, R. FDA approval summary: Mylotarg for treatment of patients with relapsed or refractory CD33-positive acute myeloid leukemia. Oncologist 2018, 23, 1103–1108. [Google Scholar] [CrossRef]
- Peterson, Q.P.; Goode, D.R.; West, D.C.; Ramsey, K.N.; Lee, J.J.; Hergenrother, P.J. PAC-1 activates procaspase-3 in vitro through relief of zinc-mediated inhibition. J. Mol. Biol. 2009, 388, 144–158. [Google Scholar] [CrossRef]
- Misra, M.C. Drug treatment of haemorrhoids. Drugs 2005, 65, 1481–1491. [Google Scholar] [CrossRef]
- Guo, L.; Cao, R.H.; Fan, W.X.; Ma, Q. Synthesis and biological evaluation of 1,2,7,9-tetrasubstituted harmine derivatives as potential antitumor agents. Chem. J. Chin. Univ. 2014, 35, 518–523. [Google Scholar]
- Guo, L.; Fan, W.X.; Chen, X.M.; Ma, Q.; Cao, R.H. Synthesis and antitumor activities of β-carboline derivatives. Chin. J. Org. Chem. 2013, 33, 332–338. [Google Scholar] [CrossRef]
- Guo, L.; Fan, W.X.; Gan, Z.Y.; Chen, W.; Ma, Q.; Cao, R.H. Design and synthesis of 1-substituted-β-carboline derivatives as potential anticancer agents. J. Chin. Pharm. Sci. 2015, 24, 801–808. [Google Scholar]
- Zhang, G.X.; Cao, R.H.; Guo, L.; Ma, Q.; Fan, W.X.; Chen, X.M.; Li, J.R.; Shao, G.; Qiu, L.Q.; Ren, Z.H. Synthesis and structureeactivity relationships of N2-alkylated quaternary β-carbolines as novel antitumor agents. Eur. J. Med. Chem. 2013, 65, 21–31. [Google Scholar] [CrossRef]
- Posner, G.H.; D’Angelo, J.; O’Neill, P.M.; Mercer, A. Anticancer activity of artemisinin-derived trioxanes. Expert Opin. Ther. Pat. 2006, 16, 1665–1672. [Google Scholar] [CrossRef]
- Alagbala, A.A.; McRiner, A.J.; Borstnik, K.; Labonte, T.; Chang, W.; D’Angelo, J.G.; Posner, G.H.; Foster, B.A. Biological mechanisms of action of novel C-10 non-acetal trioxane dimers in prostate cancer cell lines. J. Med. Chem. 2006, 49, 7836–7842. [Google Scholar] [CrossRef]
- Posner, G.H.; McRiner, A.J.; Paik, I.H.; Sur, S.; Borstnik, K.; Xie, S.; Shapiro, T.A.; Alagbala, A.A.; Foster, B. Anticancer and antimalarial efficacy and safety of artemisininderived trioxane dimers in rodents. J. Med. Chem. 2004, 47, 1299–1301. [Google Scholar] [CrossRef]
- Jung, M.; Lee, S.; Ham, J.; Lee, K.; Kim, H.; Kim, S.K. Antitumor activity of novel deoxoartemisinin monomers, dimers, and trimer. J. Med. Chem. 2003, 46, 987–994. [Google Scholar] [CrossRef]
- Guo, L.; Chen, W.; Fan, W.X.; Ma, Q.; Sun, R.Q.; Shao, G.; Cao, R.H. Synthesis and preliminary evaluation of novel alkyl diamine linked bivalent β-carbolines as angiogenesis inhibitors. Med. Chem. Commun. 2016, 7, 2177–2183. [Google Scholar] [CrossRef]
- Chen, W.; Zhang, G.X.; Guo, L.; Fan, W.X.; Ma, Q.; Zhang, X.D.; Du, R.L.; Cao, R.H. Synthesis and biological evaluation of novel alkyl diamine linked bivalent β-carbolines as angiogenesis inhibitors. Eur. J. Med. Chem. 2016, 124, 249–261. [Google Scholar] [CrossRef]
- Guo, L.; Chen, W.; Cao, R.H.; Fan, W.X.; Ma, Q.; Zhang, J.; Dai, B. Synthesis and structure-activity relationships of asymmetric dimeric β-carboline derivatives as potential antitumor agents. Eur. J. Med. Chem. 2018, 147, 253–265. [Google Scholar] [CrossRef]
- Guo, L.; Ma, Q.; Chen, W.; Fan, W.X.; Zhang, J.; Dai, B. Synthesis and biological evaluation of novel N9-heterobivalent β-carbolines as angiogenesis inhibitors. J. Enzyme Inhib. Med. Chem. 2019, 34, 375–387. [Google Scholar] [CrossRef]
- Shi, B.X.; Cao, R.H.; Fan, W.X.; Guo, L.; Ma, Q.; Chen, X.M.; Zhang, G.X.; Qiu, L.Q.; Song, H.C. Design, synthesis and in vitro and in vivo antitumor activities of novel bivalent β-carbolines. Eur. J. Med. Chem. 2013, 60, 10–22. [Google Scholar] [CrossRef]
- Daoud, A.; Song, J.; Xiao, F.; Shang, J. B-9-3, a novel β-carboline derivative exhibits anti-cancer activity via induction of apoptosis and inhibition of cell migration in vitro. Eur. J. Pharmacol. 2014, 724, 219–230. [Google Scholar] [CrossRef]
- Ma, Q.; Chen, W.; Chen, W. Anti-tumor angiogenesis effect of a new compound: B-9-3 through interference with VEGFR2 signaling. Tumor Biol. 2016, 37, 6107–6116. [Google Scholar] [CrossRef]
- Zhong, H.; Daoud, A.; Han, J.; An, X.; Qiao, C.; Duan, L.; Wang, Y.; Chen, Z.; Zhou, J.; Shang, J. A small β-carboline derivative “B-9-3” modulates TGF-β signaling pathway causing tumor regression in vivo. Front. Pharmacol. 2018, 9, 788. [Google Scholar] [CrossRef]
- Guo, L.; Xie, J.W.; Fan, W.X.; Chen, W.; Dai, B.; Ma, Q. Synthesis and antitumor activities of novel bivalent 1-Heterocyclic-β-carbolines linked by alkylamino spacer. Chin. J. Org. Chem. 2017, 37, 1741–1747. [Google Scholar] [CrossRef]
- Cao, R.H.; Chen, H.S.; Peng, W.L.; Ma, Y.; Hou, X.R.; Guan, H.J.; Liu, X.; Xu, A.L. Design, synthesis and in vitro and in vivo antitumor activities of novel β-carboline derivatives. Eur. J. Med. Chem. 2005, 40, 991–1001. [Google Scholar] [CrossRef]
Sample Availability: Samples of the compounds 8a–ab are available from the authors. |








| Comp. | R1′ | R9′ | R1 | R9 | IC50(μM) ± SD | ||||
|---|---|---|---|---|---|---|---|---|---|
| LLCc | BGC823 | CT-26 | Bel-7402 | MCF-7 | |||||
| 8a | H | H | H | H | 91.9 ± 6.8 | 68.4 ± 6.2 | 63.6 ± 7.5 | 86.3 ± 9.4 | 56.6 ± 3.5 |
| 8b | CH3 | H | H | H | 81.2 ± 7.5 | 3.2 ± 0.7 | 94.7 ± 11.8 | 45.7 ± 3.2 | 40.6 ± 5.4 |
| 8c | CH(CH3)2 | H | H | H | 76.7 ± 6.3 | 9.7 ± 0.9 | 38.5 ± 10.4 | 14.6 ± 3.2 | 15.3 ± 2.7 |
| 8d | ![]() | H | H | H | 61.3 ± 5.5 | 6.3 ± 1.6 | 57.2 ± 4.1 | 20.7 ± 3.3 | 11.5 ± 2.1 |
| 8e | ![]() | H | H | H | 58.5 ± 5.7 | 10.8 ± 1.4 | 68.4 ± 4.8 | 54.3 ± 6.9 | 34.2 ± 5.2 |
| 8f | ![]() | H | H | H | 70.3 ± 6.8 | 10.2 ± 2.3 | 22.2 ± 3.2 | 11.7 ± 0.9 | 17.6 ± 2.6 |
| 8g | ![]() | H | H | H | 48.8 ± 3.8 | 61.4 ± 7.6 | 57.4 ± 4.5 | 52.6 ± 5.8 | 30.9 ± 4.2 |
| 8h | H | CH3 | H | H | 71.3 ± 10.8 | 78.6 ± 6.5 | 43.4 ± 4.2 | 41.2 ± 3.1 | 21.4 ± 5.3 |
| 8i | H | n-butyl | H | H | 30.7 ± 2.9 | 27.4 ± 3.2 | 57.1 ± 5.6 | 15.3 ± 3.5 | 14.0 ± 3.5 |
| 8j | H | ![]() | H | H | 40.7 ± 4.7 | 25.6 ± 2.1 | 23.4 ± 2.8 | 68.9 ± 5.4 | 21.6 ± 3.7 |
| 8k | H | ![]() | H | H | 17.4 ± 4.6 | 52.9 ± 5.8 | 15.6 ± 4.1 | 16.3 ± 4.7 | 18.5 ± 5.1 |
| 8l | H | ![]() | H | H | 29.2 ± 5.1 | 69.9 ± 8.4 | 15.8 ± 3.2 | 15.5 ± 2.9 | 17.3 ± 3.4 |
| 8m | H | H | CH3 | H | 24.7 ± 3.9 | 17.5 ± 2.1 | 13.8 ± 2.7 | 15.6 ± 2.9 | 16.0 ± 4.3 |
| 8n | H | H | CH(CH3)2 | H | 38.2 ± 5.7 | 19.9 ± 2.9 | 22.0 ± 3.7 | 41.1 ± 7.8 | 14.5 ± 2.1 |
| 8o | H | H | ![]() | H | 72.1 ± 6.5 | 9.1 ± 1.4 | 56.3 ± 4.2 | 73.7 ± 9.8 | 14.4 ± 4.2 |
| 8p | H | H | ![]() | H | 68.4 ± 9.4 | 76.6 ± 5.2 | 69.5 ± 11.7 | 70.2 ± 8.5 | >100 |
| 8q | H | H | H | 20.3 ± 1.3 | 24.5 ± 5.1 | 13.4 ± 3.7 | 13.3 ± 2.1 | 14.7 ± 4.2 | |
| 8r | H | H | H | CH3 | 88.7 ± 5.6 | 34.8 ± 4.6 | 14.0 ± 3.3 | 12.4 ± 4.2 | 68.9 ± 7.5 |
| 8s | H | H | H | n-butyl | 86.5 ± 10.7 | 2.4 ± 0.6 | 3.1 ± 1.2 | 21.5 ± 4.2 | 16.8 ± 1.9 |
| 8t | H | H | H | ![]() | 13.3 ± 2.3 | 14.7 ± 2.1 | 12.6 ± 1.7 | 20.1 ± 5.2 | 2.5 ± 0.4 |
| 8u | H | H | H | ![]() | 83.2 ± 14.6 | 5.3 ± 0.9 | 2.7 ± 0.3 | 8.7 ± 1.5 | 2.8 ± 0.7 |
| 8v | H | H | H | ![]() | 41.5 ± 5.1 | 43.4 ± 3.6 | 33.5 ± 2.7 | 46.7 ± 8.3 | 76.8 ± 5.2 |
| 8w | H | n-butyl | H | n-butyl | 58.6 ± 4.4 | 28.2 ± 2.4 | 33.3 ± 6.2 | 25.3 ± 7.5 | 73.0 ± 12.9 |
| 8x | H | n-butyl | CH3 | n-butyl | 70.2 ± 6.4 | 66.2 ± 5.8 | 55.8 ± 4.7 | 72.2 ± 11.4 | 49.5 ± 9.8 |
| 8y | H | n-butyl | CH3 | ![]() | 57.1 ± 4.6 | 39.2 ± 3.4 | 41.8 ± 5.3 | 60.4 ± 4.2 | >100 |
| 8z | CH3 | ![]() | H | n-butyl | 9.9 ± 0.9 | 8.6 ± 1.4 | 6.2 ± 2.5 | 9.9 ± 0.5 | 5.7 ± 1.2 |
| 8aa | CH3 | ![]() | CH3 | n-butyl | 44.5 ± 4.9 | 54.8 ± 3.2 | 44.3 ± 5.5 | 58.6 ± 4.3 | 28.2 ± 3.2 |
| 8ab | CH3 | ![]() | CH3 | ![]() | 18.4 ± 2.7 | 61.6 ± 4.3 | 19.9 ± 3.5 | 44.7 ± 5.7 | 30.1 ± 4.2 |
| DDP | 21.3 ± 1.1 | 8.4 ± 0.7 | 4.2 ± 0.7 | 15.4 ± 1.9 | 10.5 ± 2.3 | ||||
© 2019 by the authors. Licensee MDPI, Basel, Switzerland. This article is an open access article distributed under the terms and conditions of the Creative Commons Attribution (CC BY) license (http://creativecommons.org/licenses/by/4.0/).
Share and Cite
Chen, X.; Guo, L.; Ma, Q.; Chen, W.; Fan, W.; Zhang, J. Design, Synthesis, and Biological Evaluation of Novel N-Acylhydrazone Bond Linked Heterobivalent β-Carbolines as Potential Anticancer Agents. Molecules 2019, 24, 2950. https://doi.org/10.3390/molecules24162950
Chen X, Guo L, Ma Q, Chen W, Fan W, Zhang J. Design, Synthesis, and Biological Evaluation of Novel N-Acylhydrazone Bond Linked Heterobivalent β-Carbolines as Potential Anticancer Agents. Molecules. 2019; 24(16):2950. https://doi.org/10.3390/molecules24162950
Chicago/Turabian StyleChen, Xiaofei, Liang Guo, Qin Ma, Wei Chen, Wenxi Fan, and Jie Zhang. 2019. "Design, Synthesis, and Biological Evaluation of Novel N-Acylhydrazone Bond Linked Heterobivalent β-Carbolines as Potential Anticancer Agents" Molecules 24, no. 16: 2950. https://doi.org/10.3390/molecules24162950
APA StyleChen, X., Guo, L., Ma, Q., Chen, W., Fan, W., & Zhang, J. (2019). Design, Synthesis, and Biological Evaluation of Novel N-Acylhydrazone Bond Linked Heterobivalent β-Carbolines as Potential Anticancer Agents. Molecules, 24(16), 2950. https://doi.org/10.3390/molecules24162950

















