Assessment of the Effect of Multiple Processing of PHBV–Ground Buckwheat Hull Biocomposite on Its Functional and Mechanical Properties
Abstract
1. Introduction
2. Materials and Methodology
2.1. Materials
2.2. Production, Forming and Recycling of the Biocomposite
2.3. Methodology
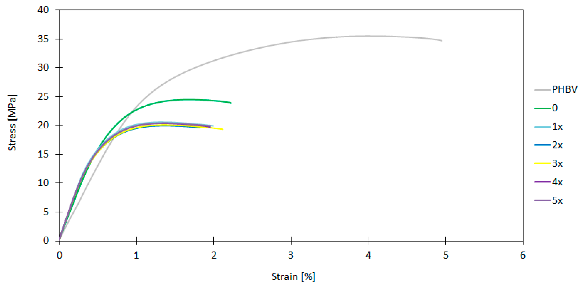
3. Results and Discussion
- 0—the biocomposite originally produced;
- 1x, 2x, …, 5x—sets of biocomposite samples injected during the subsequent recycling cycles (1x—the first recycling cycle, 2x—the second recycling cycle, etc.);
4. Summary and Conclusions
- The reduction in shrinkage in all directions was noted in comparison to the pure PHBV. This might indicate that the filler acts as the dimensional stabilizer. The powder form of the GBHs allowed for even distribution of particles in the matrix, which has reduced the possibility of material deformation during the cooling process and has limited the shrinkage.
- The GBH–PHBV biocomposites showed much greater water adsorption in contrast to the clear PHBV. The increased ability to absorb water in the biocomposite is directly related to the presence of hydrophilic particles of GBH containing cellulose and lignin.
- The multiple processing has led to the structural degradation of the polymer characterized by the reduction in the tensile strength and the elongation at break.
- The initial decrease in the tensile impact strength was noted during the recycling process. But then the parameter has stabilized at the level of 5.92 kJ/m2, showing the improvement of the microstructure homogeneity and the better embedding of the filler particles.
- The addition of GBHs has also influenced the increase in the biocomposite hardness compared to the pure PHBV. The parameter increased with the subsequent recycling cycles, which might be an effect of better integration of filler particles with the matrix and the reduction in porosity.
- The microscopic analysis shows that the surface of samples has changed with the subsequent processing cycles. After several cycles (3x–5x), the particles were embedded deeper and the surface was more homogenous. A more homogenous surface of the material was observed after the recycling process.
- The recycling process decreased the mechanical properties initially, but the stabilization of the microstructure and the improvement of the composite homogeneity were observed after several processing cycles.
- The results show that GBH–PHBV biocomposite might be a more dimensionally stable and more recycling resistant alternative to pure polymers. This is particularly important in terms of the sustainable development and the reuse of materials in industry sectors.
Author Contributions
Funding
Institutional Review Board Statement
Informed Consent Statement
Data Availability Statement
Conflicts of Interest
References
- Barletta, M.; Aversa, C.; Ayyoob, M.; Gisario, A.; Hamad, K.; Mehrpauya, M.; Vahabi, H. Poly(butylene succinate) (PBS): Materials, processing, and industrial applications. Prog. Polym. Sci. 2022, 132, 101579. [Google Scholar] [CrossRef]
- Ibrahim, N.I.; Shahar, F.S.; Sultan, M.T.H.; Shah, A.U.M.; Safri, S.N.A.; Mat Yazik, M.H. Overview of Bioplastic Introduction and Its Applications in Product Packaging. Coatings 2021, 11, 1423. [Google Scholar] [CrossRef]
- Volchok, A.A.; Sharpovalova, E.D.; Osmakova, A.G. Perspective for the Development of the Bioplastics Market in Russia: Key Products and Technologies. Eur. Res. Stud. J. 2018, 21, 744–753. [Google Scholar]
- Tennakoon, P.; Chandika, P.; Yi, M.; Jung, W.-K. Marine-derived biopolymers as potential bioplastics, an eco-friendly alternative. iScience 2023, 26, 106404. [Google Scholar] [CrossRef] [PubMed]
- Oliver-Cuenca, V.; Salaris, V.; Muñoz-Gimena, P.F.; Agüero, Á.; Peltzer, M.A.; Montero, V.A.; Arrieta, M.P.; Sempere-Torregrosa, J.; Pavon, C.; Samper, M.D.; et al. Bio-Based and Biodegradable Polymeric Materials for a Circular Economy. Polymers 2024, 16, 3015. [Google Scholar] [CrossRef] [PubMed]
- Niaounakis, M. Recycling of biopolymers—The patent perspective. Eur. Polym. J. 2019, 114, 464–475. [Google Scholar] [CrossRef]
- Swetha, A.T.; Ananthi, V.; Bora, A.; Sengottuvelan, N.; Ponnuchamy, K.; Muthusamy, G.; Arun, A. A review on biodegradable polylactic acid (PLA) production from fermentative food waste—Its applications and degradation. Int. J. Biol. Macromol. 2023, 234, 123703. [Google Scholar] [CrossRef] [PubMed]
- Garbarski, J.; Fabijański, M. Application possibilities and properties of plastic mixtures based on biodegradable polymers. Pol. Tech. Rev. 2024, 2, 2–8. [Google Scholar]
- Cheng, J.; Gao, J.; Zhu, Y.; Lin, Q. Applications of biodegradable materials in food packaging: A review. Alex Eng. J. 2024, 91, 70–83. [Google Scholar] [CrossRef]
- Zavradashvili, N.; Jokhadze, G.; Gverdtsiteli, M.; Tugushi, D.; Katsarava, R. Biodegradable functional polymers composed of naturally occurring amino acids. Res. Rev. Polym. 2017, 8, 105–128. [Google Scholar]
- Loladze, T.; Neparidze, N.; Chkhaidze, E.; Jokhadze, G.; Siradze, M.; Chumburidze, G. Characterization and Properties of Polyesteramides. J. Tech. Sci. Technol. 2016, 5, 29–33. [Google Scholar] [CrossRef]
- Kantor, Ł.; Michalik, K.; Laska, J. Engineering polymers with high mechanical and thermal resistance for electric motors. Sci. Technol. Innov. 2017, 1, 38–42. [Google Scholar] [CrossRef][Green Version]
- Jamróz, E.; Kulawik, P.; Kopel, P. The Effect of Nanofillers on the Functional Properties of Biopolymer-Based Films: A Review. Polymers 2019, 11, 675. [Google Scholar] [CrossRef]
- Dintcheva, N.T.; Infurna, G.; Baiamonte, M.; D’Anna, F. Natural Compounds as Sustainable Additives for Biopolymers. Polymers 2020, 12, 732. [Google Scholar] [CrossRef] [PubMed]
- Trigueiro, P.; Pereira, J.P.d.L.; Ferreira, M.G.; Silva, L.B.; Neves, L.; Peña-Garcia, R.R. Clay Minerals and Biopolymers in Film Design: Overview of Properties and Applications. Minerals 2024, 14, 613. [Google Scholar] [CrossRef]
- Dharini, V.; Periyar Selvam, S.; Jayaramudu, J.; Sadiku Emmanuel, R. Functional properties of clay nanofillers used in the biopolymer-based composite films for active food packaging applications—Review. Appl. Clay Sci. 2022, 226, 106555. [Google Scholar] [CrossRef]
- Krešić, I.; Erceg, M.; Vrandečić, N.S.; Jozić, S.P. Preparation and characterization of poly (ethylene oxide)/Cloisite 20A nanocomposites. In Proceedings of the 27th Croatian Meeting of Chemists and Chemical Engineers, Veli Lošinj, Croatia, 5–8 October 2021. [Google Scholar]
- Dreanca, A.; Muresan-Pop, M.; Taulescu, M.; Tóth, Z.-R.; Bogdan, S.; Pestean, C.; Oren, S.; Toma, C.; Popescu, A.; Páll, E.; et al. Bioactive glass-biopolymers-gold nanoparticle based composites for tissue engineering applications. Mat Sci Eng C-Mater. 2021, 123, 112006. [Google Scholar] [CrossRef] [PubMed]
- Fukushima, K.; Tabuani, D.; Abbate, C.; Arena, M.; Rizzarelli, P. Preparation, characterization and biodegradation of biopolymer nanocomposites based on fumed silica. Eur. Polym. J. 2011, 47, 139–152. [Google Scholar] [CrossRef]
- Rosendo de Lima, D.; Sousa Vieira, I.R.; Dutra da Rocha, E.B.; Furtado de Sousa, A.M.; Augusto da Costa, A.C.; Guimarães Furtado, C.R. Biodegradation of natural rubber latex films by highlighting the crosslinked bond. Ind. Crops Prod. 2023, 204, 117290. [Google Scholar] [CrossRef]
- Verstraete, S.; Buffel, B.; Madhav, D.; Debruyne, S.; Desplentere, F. Short Flax Fibres and Shives as Reinforcements in Bio Composites: A Numerical and Experimental Study on the Mechanical Properties. Polymers 2023, 15, 2239. [Google Scholar] [CrossRef] [PubMed]
- Roldán-San Antonio, J.E.; Martίn-Hernandez, E.; Briones, R.; Martίn, M. Process design and scale-up study for the production of polyol-based biopolymers from sawdust. Sustain. Prod. Consum. 2021, 27, 462–470. [Google Scholar] [CrossRef]
- Rizal, S.; HPS, A.K.; Oyekanmi, A.A.; Gideon, O.N.; Abdullah, C.K.; Yahya, E.B.; Alfatah, T.; Sabaruddin, F.A.; Rahman, A.A. Cotton Wastes Functionalized Biomaterials from Micro to Nano: A Cleaner Approach for a Sustainable Environmental Application. Polymers 2021, 13, 1006. [Google Scholar] [CrossRef] [PubMed]
- Sutivisedsak, N.; Cheng, H.N.; Dowd, M.K.; Selling, G.W.; Biswas, A. Evaluation of cotton byproducts as fillers for poly(lactic acid) and low density polyethylene. Ind. Crops Prod. 2012, 36, 127–134. [Google Scholar] [CrossRef]
- Zulfiqar, A.; ur Rehman Shah, A.; Khalil, M.S.; Azad, M.M.; Zulfiqar, Y.; Naseem, M.S.; Song, J.-I. Enhancing properties of jute/starch bio-composite material through incorporation of magnesium carbonate hydroxide pentahydrate: A sustainable approach. Mater. Chem. Phys. 2024, 314, 128690. [Google Scholar] [CrossRef]
- Yang, Y.; Haurie, L.; Wen, J.; Zhang, S.; Ollivier, A.; Wang, D.-Y. Effect of oxidized wood flour as functional filler on the mechanical, thermal and flame-retardant properties of polylactide biocomposites. Ind. Crops Prod. 2019, 130, 301–309. [Google Scholar] [CrossRef]
- Hazrol, M.D.; Sapuan, S.M.; Zainudin, E.S.; Wahab, N.I.A.; Ilyas, R.A. Effect of Kenaf Fibre as Reinforcing Fillers in Corn Starch-Based Biocomposite Film. Polymers 2022, 14, 1590. [Google Scholar] [CrossRef] [PubMed]
- Botta, L.; Teresi, R.; Titone, V.; Salvaggio, G.; La Mantia, F.P.; Lopresti, F. Use of Biochar as Filler for Biocomposite Blown Films: Structure-Processing-Properties Relationships. Polymers 2021, 13, 3953. [Google Scholar] [CrossRef]
- Suaduang, N.; Ross, S.; Ross, G.M.; Pratumshat, S.; Mahasaranon, S. Effect of spent coffee grounds filler on the physical and mechanical properties of poly(lactic acid) bio-composite films. Mater. Today 2019, 17, 2104–2210. [Google Scholar] [CrossRef]
- Singh, T.; Pattnaik, P.; Aherwar, A.; Ranakoti, L.; Dogossy, G.; Lendvai, L. Optimal Design of Wood/Rice Husk-Waste-Filled PLA Biocomposites Using Integrated CRITIC–MABAC-Based Decision-Making Algorithm. Polymers 2022, 14, 2603. [Google Scholar] [CrossRef] [PubMed]
- Kargarzadeh, H.; Johar, N.; Ahmad, I. Starch biocomposite film reinforced by multiscale rice husk fiber. Compos. Sci. Technol. 2017, 151, 147–155. [Google Scholar] [CrossRef]
- Suhot, M.A.; Hassan, M.Z.; Aziz, S.A.; Md Daud, M.Y. Recent Progress of Rice Husk Reinforced Polymer Composites: A Review. Polymers 2021, 13, 2391. [Google Scholar] [CrossRef]
- Kamath, S.S.; Chandrappa, R.K. Egg shell as a filler in composite materials—A review. J. Mech. Energy Eng. 2020, 4, 335–340. [Google Scholar]
- Nanni, A.; Parisi, M.; Colonna, M. Wine By-Products as Raw Materials for the Production of Biopolymers and of Natural Reinforcing Fillers: A Critical Review. Polymers 2021, 13, 381. [Google Scholar] [CrossRef] [PubMed]
- Koutsomitopoulou, A.F.; Bénézet, J.C.; Bergeret, A.; Papanicolaou, G.C. Preparation and characterization of olive pit powder as a filler to PLA-matrix bio-composites. Powder Technol. 2014, 255, 10–16. [Google Scholar] [CrossRef]
- Zhiltsova, T.; Campos, J.; Costa, A.; Oliveira, M.S.A. Sustainable Polypropylene-Based Composites with Agro-Waste Fillers: Thermal, Morphological, Mechanical Properties and Dimensional Stability. Materials 2024, 17, 696. [Google Scholar] [CrossRef] [PubMed]
- Jayarathna, S.; Andersson, M.; Andersson, R. Recent Advances in Starch-Based Blends and Composites for Bioplastics Applications. Polymers 2022, 14, 4557. [Google Scholar] [CrossRef]
- Righetti, M.C.; Cinelli, P.; Mallegni, N.; Massa, C.A.; Bronco, S.; Stäbler, A.; Lazzeri, A. Thermal, Mechanical, and Rheological Properties of Biocomposites Made of Poly(lactic acid) and Potato Pulp Powder. Int. J. Mol. Sci. 2019, 20, 675. [Google Scholar] [CrossRef]
- Elfaleh, I.; Abbassi, F.; Habibi, M.; Ahmad, F.; Guedri, M.; Nasri, M.; Garnier, C. A comprehensive review of natural fibers and their composites: An eco-friendly alternative to conventional materials. Results Eng. 2023, 19, 101271. [Google Scholar] [CrossRef]
- Akindoyo, J.O.; Pickering, K.; Beg, M.D.; Mucalo, M. Combined digestion and bleaching of New Zealand flax/harakeke fibre and its effects on the mechanical, thermal, and dynamic mechanical properties of poly(lactic) acid matrix composites. Compos. Part A-Appl. Sci. Manuf. 2023, 164, 107326. [Google Scholar] [CrossRef]
- Hu, R.; Lim, J.K. Fabrication and mechanical properties of completely biodegradable hemp fiber reinforced polylactic acid composites. J. Compos. Mater. 2007, 41, 1655–1669. [Google Scholar] [CrossRef]
- Gamiz-Conde, A.K.; Burelo, M.; Franco-Urquiza, A.; Martinez-Franco, E.; Luna-Barcemas, G.; Bravo-Alfaro, E.A.; Treviño-Quintanilla, C.D. Development and properties of bio-based polymer composites using PLA and untreated agro-industrial residues. Polym. Test. 2024, 139, 108576. [Google Scholar] [CrossRef]
- Sun, Y.; Zheng, Z.; Wang, Y.; Yang, B.; Wang, J.; Mu, W. PLA composites reinforced with rice residues or glass fiber—A review of mechanical properties, thermal properties and biodegradation properties. J. Polym. Res. 2022, 29, 422. [Google Scholar] [CrossRef]
- Mohammed, M.; Mohammad Jawad, A.J.; Mohammed, A.M.; Oleiwi, J.K.; Adam, T.; Osman, A.F.; Dahham, O.S.; Betar, B.O.; Gopinath, S.C.B.; Jaafar, M. Challenges and advancement in water absorption of natural fiber-reinforced polymer composites. Polym. Test. 2023, 124, 108083. [Google Scholar] [CrossRef]
- Folino, A.; Karageorgiou, A.; Calabrò, P.S.; Komilis, D. Biodegradation of Wasted Bioplastics in Natural and Industrial Environments: A Review. Sustainability 2020, 12, 6030. [Google Scholar] [CrossRef]
- Sudhakar, M.P.; Maurya, R.; Mehariya, S.; Karthikeyan, O.P.; Dharani, G.; Arunkumar, K.; Pereda, S.V.; Hernández-González, M.C.; Buschmann, A.H.; Pugazhendhi, A. Feasibility of bioplastic production using micro- and macroalgae—A review. Environ. Res. 2024, 240, 117465. [Google Scholar] [CrossRef] [PubMed]
- Chidambarampadmavathy, K.; Karthikeyan, O.P.; Heimann, K. Sustainable bio-plastic production through landfill methane recycling. Renew. Sustain. Energy Rev. 2017, 71, 555–562. [Google Scholar] [CrossRef]
- Anderson, G.; Shenkar, N. Potential effects of biodegradable single-use items in the sea: Polylactic acid (PLA) and solitary ascidians. Environ. Pollut. 2021, 268, 115364. [Google Scholar] [CrossRef] [PubMed]
- Srivastava, A.; Srivastava, A.K.; Singh, A.; Singh, P.; Verma, S.; Vats, M.; Sagadevan, S. Biopolymers as renewable polymeric materials for sustainable development—An overview. Polimery 2022, 67, 183–238. [Google Scholar] [CrossRef]
- Morici, E.; Carroccio, S.C.; Bruno, E.; Scarfato, P.; Filippone, G.; Dintcheva, N.T. Recycled (Bio)Plastics and (Bio)Plastic Composites: A Trade Opportunity in a Green Future. Polymers 2022, 14, 2038. [Google Scholar] [CrossRef]
- Akinsemolu, A.A.; Idowu, A.M.; Onyeaka, H.N. Recycling Technologies for Biopolymers: Current Challenges and Future Directions. Polymers 2024, 16, 2770. [Google Scholar] [CrossRef] [PubMed]
- Janowski, G.; Frącz, W.; Bąk, Ł.; Trzepieciński, T. The Effect of the Extrusion Method on Processing and Selected Properties of Poly(3-hydroxybutyric-co-3-hydroxyvaleric Acid)-Based Biocomposites with Flax and Hemp Fibers. Polymers 2022, 14, 5370. [Google Scholar] [CrossRef]
- Frącz, W.; Janowski, G.; Smusz, R.; Szumski, M. The Influence of Chosen Plant Fillers in PHBV Composites on the Processing Conditions, Mechanical Properties and Quality of Molded Pieces. Polymers 2021, 13, 3934. [Google Scholar] [CrossRef] [PubMed]
- Frącz, W.; Pacana, A.; Siwiec, D.; Janowski, G.; Bąk, Ł.; Szawara, P. Wood Polymer Composite Based on Poly-3-hydroxybutyrate-3-hydroxyvalerate (PHBV) and Wood Flour—The Process Optimization of the Products. Materials 2024, 17, 2955. [Google Scholar] [CrossRef]
- Yu, K.; Zhang, Z.; Liang, J.; Liang, C. Natural biomass-derived porous carbons from buckwheat hulls used as anode for lithium-ion batteries. Diam. Relat. Mater. 2021, 119, 108553. [Google Scholar] [CrossRef]
- Anna, S.; Karolina, M.; Sylwia, C. Buckwheat Hulls/Perlite as an Environmentally Friendly Flame-Retardant System for Rigid Polyurethane Foams. Polymers 2023, 15, 1913. [Google Scholar] [CrossRef] [PubMed]
- Siauciunas, R.; Valanciene, V. Influence of buckwheat hulls on the mineral composition and strength development of easily fusible clay body. Appl. Clay Sci. 2020, 197, 105794. [Google Scholar] [CrossRef]
- EN ISO 527-1; Plastics—Determination of Tensile Properties. In Part 1: General Principles. International Organization for Standardization: Geneva, Switzerland, 2019.
- EN ISO 2039-1; Plastics—Determination of Hardness Part 1: Ball Indentation Method. International Organization for Standardization: Geneva, Switzerland, 2001.
- EN ISO 8256; Plastics—Determination of Tensile-Impact Strength. International Organization for Standardization: Geneva, Switzerland, 2023.
- EN ISO 62; Plastics—Determination of Water Absorption. International Organization for Standardization: Geneva, Switzerland, 2018.
- Czerniecka-Kubicka, A.; Janowski, G.; Pyda, M.; Frącz, W. Biocomposites based on the poly (3-hydroxybutyrate-co-3-hydroxyvalerate) matrix with the hemp fibers: Thermal and mechanical properties. J. Therm. Anal. Calorim. 2022, 147, 1017–1029. [Google Scholar] [CrossRef]
- Tong, H.W.; Wang, M.; Lu, W.W. Electrospinning and evaluation of PHBV-based tissue engineering scaffolds with different fibre diameters, surface topography and compositions. J. Biomater. Sci. Polym. Ed. 2012, 23, 779–806. [Google Scholar] [CrossRef]
- Zhao, M.; Yu, J.; Ou, Z.; Chen, X.; Sun, L.; Wei, Z.; Chen, K.; Pan, Z. Facile Fabrication of Photochromic Poly (lactic acid)/poly (3-hydroxybutyrate-co-3-hydroxyvalerate) Fibers via a Scalable Melt-Spinning Process. ACS App. Polym. Mater. 2023, 5, 4811–4819. [Google Scholar] [CrossRef]
- Satterthwaite, J.D.; Maisuria, A.; Vogel, K.; Watts, D. Effect of resin-composite filler particle size and shape on shrinkage-stress. Dent. Mater. 2012, 28, 609–614. [Google Scholar] [CrossRef] [PubMed]
- Fischer, J. Handbook of Molded Part Shrinkage and Warpage, 2nd ed.; William Andrew: Norwich, NY, USA, 2013; pp. 1–200. [Google Scholar]
- Frącz, W.; Pacana, A.; Siwiec, D.; Janowski, G.; Bąk, Ł. Reprocessing Possibilities of Poly(3-hydroxybutyrate-co-3-hydroxyvalerate)–Hemp Fiber Composites Regarding the Material and Product Quality. Materials 2024, 17, 55. [Google Scholar] [CrossRef]
- Tajvidi, M.; Takemura, A. Recycled natural fiber polypropylene composites: Water absorption/desorption kinetics and dimensional stability. J. Polym. Environ. 2010, 18, 500–509. [Google Scholar] [CrossRef]
- Ngaowthong, C.; Borůvka, M.; Běhálek, L.; Lenfeld, P.; Švec, M.; Dangtungee, R.; Siengchin, S.; Rangappa, S.M.; Parameswaranpillai, J. Recycling of sisal fiber reinforced polypropylene and polylactic acid composites: Thermo-mechanical properties, morphology, and water absorption behavior. Waste Manage. 2019, 97, 71–81. [Google Scholar] [CrossRef] [PubMed]
- Tomano, N.; Boondamnoen, O.; Aumnate, C.; Potiyaraj, P. Enhancing impact resistance and biodegradability of PHBV by melt blending with ENR. Sci. Rep. 2022, 12, 22633. [Google Scholar] [CrossRef] [PubMed]
- Bledzki, A.K.; Jaszkiewicz, A. Mechanical performance of biocomposites based on PLA and PHBV reinforced with natural fibres–A comparative study to PP. Compos. Sci. Technol. 2010, 70, 1687–1696. [Google Scholar] [CrossRef]
- Premalal, H.G.; Ismail, H.; Baharin, A.J.P.T. Comparison of the mechanical properties of rice husk powder filled polypropylene composites with talc filled polypropylene composites. Polym. Test. 2002, 21, 833–839. [Google Scholar] [CrossRef]
- Srubar III, W.V.; Pilla, S.; Wright, Z.C.; Ryan, C.A.; Greene, J.P.; Frank, C.W.; Billington, S.L. Mechanisms and impact of fiber–matrix compatibilization techniques on the material characterization of PHBV/oak wood flour engineered biobased composites. Compos. Sci. Technol. 2012, 72, 708–715. [Google Scholar] [CrossRef]
- Hejna, A.; Sulyman, M.; Przybysz, M.; Saeb, M.R.; Klein, M.; Formela, K. On the correlation of lignocellulosic filler composition with the performance properties of poly (ε-caprolactone) based biocomposites. Waste Biomass Valori. 2020, 11, 1467–1479. [Google Scholar] [CrossRef]
- Chun, K.S.; Husseinsyah, S.; Osman, H. Mechanical and thermal properties of coconut shell powder filled polylactic acid biocomposites: Effects of the filler content and silane coupling agent. J. Polym. Res. 2012, 19, 9859. [Google Scholar] [CrossRef]
- Avérous, L.; Le Digabel, F. Properties of biocomposites based on lignocellulosic fillers. Carbohydr. Polym. 2006, 66, 480–493. [Google Scholar] [CrossRef]
- Melendez-Rodriguez, B.; Torres-Giner, S.; Aldureid, A.; Cabedo, L.; Lagaron, J.M. Reactive Melt Mixing of Poly(3-Hydroxybutyrate)/Rice Husk Flour Composites with Purified Biosustainably Produced Poly(3-Hydroxybutyrate-co-3-Hydroxyvalerate). Materials 2019, 12, 2152. [Google Scholar] [CrossRef] [PubMed]
- Frącz, W.; Janowski, G.; Bąk, Ł. Influence of the alkali treatment of flax and hemp fibers on the properties of PHBV based biocomposites. Polymers 2021, 13, 1965. [Google Scholar] [CrossRef] [PubMed]
- Naseem, R.; Montalbano, G.; German, M.J.; Ferreira, A.M.; Gentile, P.; Dalgarno, K. Influence of PCL and PHBV on PLLA Thermal and Mechanical Properties in Binary and Ternary Polymer Blends. Molecules 2022, 27, 7633. [Google Scholar] [CrossRef] [PubMed]
- Faruk, O.; Bledzki, A.K.; Fink, H.P.; Sain, M. Biocomposites reinforced with natural fibers: 2000–2010. Prog. Polym. Sci. 2012, 37, 1552–1596. [Google Scholar] [CrossRef]
- Salasinska, K.; Ryszkowska, J. The effect of filler chemical constitution and morphological properties on the mechanical properties of natural fiber composites. Compos. Interfaces 2015, 22, 39–50. [Google Scholar] [CrossRef]
- Soroudi, A.; Jakubowicz, I. Recycling of bioplastics, their blends and biocomposites: A review. Eur. Polym. J. 2013, 49, 2839–2858. [Google Scholar] [CrossRef]
- Le Duigou, A.; Pillin, I.; Bourmaud, A.; Davies, P.; Baley, C. Effect of recycling on mechanical behaviour of biocompostable flax/poly (l-lactide) composites. Compos.-A Appl. Sci. Manuf. 2008, 39, 1471–1478. [Google Scholar] [CrossRef]
- Chaudhary, D.S.; Jollands, M.C.; Cser, F. Recycling rice hull ash: A filler material for polymeric composites? Adv. Polym. Techol. 2004, 23, 147–155. [Google Scholar] [CrossRef]
- Klyosov, A.A. Wood-Plastic Composites, 1st ed.; John Wiley & Sons, Inc.: Hoboken, NJ, USA, 2007; pp. 100–220. [Google Scholar]
- Andrzejewski, J.; Krawczak, A.; Wesoły, K.; Szostak, M. Rotational molding of biocomposites with addition of buckwheat husk filler. Structure-property correlation assessment for materials based on polyethylene (PE) and poly (lactic acid) PLA. Compos. B Eng. 2020, 202, 108410. [Google Scholar] [CrossRef]
- Włoch, M.; Landowska, P. Preparation and Properties of Thermoplastic Polyurethane Composites Filled with Powdered Buckwheat Husks. Materials 2022, 15, 356. [Google Scholar] [CrossRef] [PubMed]
- Kawalerczyk, J.; Walkiewicz, J.; Sedliačik, J.; Dukarska, D.; Woźniak, M.; Mirski, R. Modified Buckwheat Husk as a Filler for Urea–Formaldehyde Resin in Plywood Production. Polymers 2024, 16, 1350. [Google Scholar] [CrossRef] [PubMed]
- Vázquez-Fletes, R.C.; Sadeghi, V.; González-Núñez, R.; Rodrigue, D. Effect of Surface Modification on the Properties of Buckwheat Husk—High-Density Polyethylene Biocomposites. J. Compos. Sci. 2023, 7, 429. [Google Scholar] [CrossRef]







| Parameter | Value |
|---|---|
| Mold temperature (°C) | 90 |
| Melt temperature (°C) | 190 |
| Cooling time (s) | 25 |
| Packing time (s) | 25 |
| Packing pressure (MPa) | 55 |
| Injection speed (cm3/s) | 35 |
| Material Type | Parameter | Shrinkage | |||
|---|---|---|---|---|---|
| Longitudinal | Transverse | In Thickness | Volumetric | ||
| PHBV | x [%] * | 2.50 | 2.7 | 4.85 | 10.77 |
| s * | 0.66 | 0.6 | 0.92 | 0.8712 | |
| V * | 0.2640 | 0.2222 | 0.1897 | 0.8089 | |
| 0 | x [%] | 1.07 | 1.35 | 0.62 | 3.02 |
| s | 0.0142 | 0.0506 | 0.1244 | 0.1270 | |
| V | 0.0132 | 0.0374 | 0.2010 | 0.0421 | |
| 1x | x [%] | 1.22 | 1.91 | 0.93 | 4.01 |
| s | 0.0253 | 0.1420 | 0.1983 | 0.3204 | |
| V | 0.0208 | 0.0743 | 0.2128 | 0.0800 | |
| 2x | x [%] | 1.21 | 1.90 | 0.93 | 3.99 |
| s | 0.0213 | 0.1033 | 0.1163 | 0.2042 | |
| V | 0.0176 | 0.0543 | 0.1249 | 0.0511 | |
| 3x | x [%] | 1.21 | 1.92 | 0.98 | 4.06 |
| s | 0.0120 | 0.0620 | 0.0762 | 0.0777 | |
| V | 0.0099 | 0.0322 | 0.0777 | 0.0192 | |
| x [%] | 1.23 | 1.96 | 1.00 | 4.14 | |
| 4x | s | 0.0149 | 0.0685 | 0.0000 | 0.0691 |
| V | 0.0121 | 0.0349 | 0.0000 | 0.0167 | |
| x [%] | 1.21 | 1.91 | 1.05 | 4.12 | |
| 5x | s | 0.0181 | 0.0723 | 0.1016 | 0.1107 |
| V | 0.0149 | 0.0378 | 0.0965 | 0.0268 | |
| Material | Parameter | E [MPa] | σM [MPa] | εM [%] |
|---|---|---|---|---|
| PHBV | x [%] | 2617.37 | 35.48 | 4.12 |
| s | 112.02 | 0.86 | 0.15 | |
| V | 4.28 | 2.42 | 3.63 | |
| 0 | x [%] | 3620.52 | 24.50 | 1.70 |
| s | 99.28 | 0.31 | 0.035 | |
| V | 2.74 | 1.27 | 2.063 | |
| 1x | x [%] | 4028.94 | 20.57 | 1.30 |
| s | 84.21 | 0.25 | 0.032 | |
| V | 2.09 | 1.22 | 2.457 | |
| 2x | x [%] | 3944.50 | 19.96 | 1.35 |
| s | 80.11 | 0.21 | 0.029 | |
| V | 2.03 | 1.05 | 2.142 | |
| 3x | x [%] | 3941.35 | 20.08 | 1.36 |
| s | 79.57 | 0.19 | 0.027 | |
| V | 2.02 | 0.95 | 1.990 | |
| x [%] | 3998.18 | 20.37 | 1.33 | |
| 4x | s | 78.86 | 0.19 | 0.025 |
| V | 1.97 | 0.93 | 1.878 | |
| x [%] | 4147.43 | 20.42 | 1.37 | |
| 5x | s | 79.69 | 0.20 | 0.025 |
| V | 1.92 | 0.98 | 1.820 |
| Material | Parameter | Measurement Point | ||||||||
|---|---|---|---|---|---|---|---|---|---|---|
| 1 | 2 | 3 | 4 | 5 | 6 | 7 | 8 | 9 | ||
| PHBV | x [N/mm2] | 77.8 | 74.0 | 79.6 | 84.5 | 82.6 | 76.4 | 74.7 | 78.2 | 79.4 |
| s | 12.6 | 13.1 | 11.9 | 10.2 | 11.6 | 12.4 | 13.5 | 14.2 | 13.9 | |
| V | 0.16 | 0.18 | 0.15 | 0.12 | 0.14 | 0.16 | 0.18 | 0.18 | 0.18 | |
| 0 | x [N/mm2] | 122.4 | 108.9 | 115.3 | 118.7 | 119.7 | 109.7 | 108.6 | 110.8 | 115.4 |
| s | 7.9 | 6.5 | 7.8 | 9.7 | 8.9 | 7.4 | 8.2 | 12.4 | 12.9 | |
| V | 0.06 | 0.06 | 0.07 | 0.08 | 0.07 | 0.07 | 0.08 | 0.11 | 0.11 | |
| 1x | x [N/mm2] | 115.0 | 114.4 | 109.5 | 111.8 | 121.0 | 119.6 | 119.9 | 120.1 | 123.0 |
| s | 6.2 | 6.3 | 3.6 | 8.5 | 5.2 | 5.8 | 6.9 | 6.6 | 6.3 | |
| V | 0.05 | 0.06 | 0.03 | 0.08 | 0.04 | 0.05 | 0.06 | 0.06 | 0.05 | |
| 2x | x [N/mm2] | 117.5 | 110.7 | 114.0 | 111.9 | 127.7 | 122.3 | 126.2 | 119.1 | 128.4 |
| s | 4.1 | 4.6 | 5.4 | 4.6 | 3.1 | 5.7 | 4.1 | 3.2 | 3.8 | |
| V | 0.04 | 0.04 | 0.05 | 0.04 | 0.02 | 0.05 | 0.03 | 0.03 | 0.03 | |
| 3x | x [N/mm2] | 115.0 | 111.7 | 114.2 | 117.9 | 128.4 | 125.1 | 129.5 | 123.5 | 128.6 |
| s | 4.1 | 6.7 | 4.8 | 3.1 | 6.5 | 2.3 | 4.8 | 5.3 | 3.8 | |
| V | 0.04 | 0.06 | 0.04 | 0.03 | 0.05 | 0.02 | 0.04 | 0.04 | 0.03 | |
| x [N/mm2] | 118.7 | 121.3 | 118.0 | 121.6 | 132.1 | 131.1 | 131.0 | 128.8 | 134.8 | |
| 4x | s | 4.0 | 6.1 | 4.7 | 4.9 | 2.6 | 4.3 | 3.6 | 3.5 | 2.9 |
| V | 0.03 | 0.05 | 0.04 | 0.04 | 0.02 | 0.03 | 0.03 | 0.03 | 0.02 | |
| x [N/mm2] | 119.1 | 132.5 | 121.6 | 119.8 | 135.0 | 135.9 | 131.8 | 133.9 | 139.1 | |
| 5x | s | 2.1 | 8.1 | 3.9 | 4.7 | 3.1 | 5.8 | 6.2 | 3.2 | 3.7 |
| V | 0.02 | 0.06 | 0.03 | 0.04 | 0.02 | 0.04 | 0.05 | 0.02 | 0.03 | |
Disclaimer/Publisher’s Note: The statements, opinions and data contained in all publications are solely those of the individual author(s) and contributor(s) and not of MDPI and/or the editor(s). MDPI and/or the editor(s) disclaim responsibility for any injury to people or property resulting from any ideas, methods, instructions or products referred to in the content. |
© 2024 by the authors. Licensee MDPI, Basel, Switzerland. This article is an open access article distributed under the terms and conditions of the Creative Commons Attribution (CC BY) license (https://creativecommons.org/licenses/by/4.0/).
Share and Cite
Janowski, G.; Wójcik, M.; Frącz, W.; Bąk, Ł.; Ryzińska, G. Assessment of the Effect of Multiple Processing of PHBV–Ground Buckwheat Hull Biocomposite on Its Functional and Mechanical Properties. Materials 2024, 17, 6136. https://doi.org/10.3390/ma17246136
Janowski G, Wójcik M, Frącz W, Bąk Ł, Ryzińska G. Assessment of the Effect of Multiple Processing of PHBV–Ground Buckwheat Hull Biocomposite on Its Functional and Mechanical Properties. Materials. 2024; 17(24):6136. https://doi.org/10.3390/ma17246136
Chicago/Turabian StyleJanowski, Grzegorz, Marta Wójcik, Wiesław Frącz, Łukasz Bąk, and Grażyna Ryzińska. 2024. "Assessment of the Effect of Multiple Processing of PHBV–Ground Buckwheat Hull Biocomposite on Its Functional and Mechanical Properties" Materials 17, no. 24: 6136. https://doi.org/10.3390/ma17246136
APA StyleJanowski, G., Wójcik, M., Frącz, W., Bąk, Ł., & Ryzińska, G. (2024). Assessment of the Effect of Multiple Processing of PHBV–Ground Buckwheat Hull Biocomposite on Its Functional and Mechanical Properties. Materials, 17(24), 6136. https://doi.org/10.3390/ma17246136

